Three Invasive Tree Species Change Soil Chemistry in Guam Forests
Abstract
1. Introduction
2. Materials and Methods
2.1. Field Sampling
2.2. Analyses and Incubations
2.3. Statistics
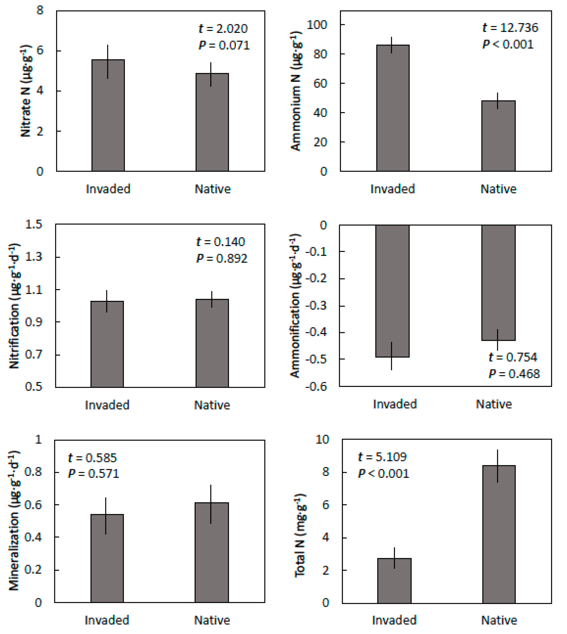
3. Results
3.1. Vitex parviflora
3.2. Leucaena leucocephala
3.3. Spathodea campanulata
4. Discussion
5. Conclusions
Funding
Acknowledgments
Conflicts of Interest
References
- Liao, C.; Peng, R.; Luo, Y.; Zhou, X.; Wu, X.; Fang, C.; Chen, J.; Li, B. Altered ecosystem carbon and nitrogen cycles by plant invasion: a meta-analysis. New Phytol. 2008, 177, 706–714. [Google Scholar] [CrossRef] [PubMed]
- Pejchar, L.; Mooney, H.A. Invasive species, ecosystem services and human well-being. Trends Ecol. Evol. 2009, 24, 497–504. [Google Scholar] [CrossRef]
- Ehrenfeld, J.G. Ecosystem consequences of biological invasions. Annu. Rev. Ecol. Evol. Syst. 2010, 41, 59–80. [Google Scholar] [CrossRef]
- Pyšek, P.; Richardson, D.M. Invasive species, environmental change and management, and health. Annu. Rev. Environ. Resources 2010, 35, 25–55. [Google Scholar] [CrossRef]
- Elgersma, K.J.; Ehrenfeld, J.G.; Yu, S.; Vor, T. Legacy effects overwhelm the short-term effects of exotic plant invasion and restoration on soil microbial community structure, enzyme activities, and nitrogen cycling. Oecologia 2011, 167, 733–745. [Google Scholar] [CrossRef] [PubMed]
- Kulmatiski, A.; Beard, K.H.; Stevens, J.R.; Cobbold, S.M. Plant-soil feedbacks: a meta-analytical review. Ecol. Lett. 2008, 11, 980–992. [Google Scholar] [CrossRef]
- Sanon, A.; Duponnois, R.; Andrianjaka, Z.N.; Prin, Y.; Bally, R.; Thioulouse, J.; Comte, G. Rhizosphere microbiota interferes with plant–plant interactions. Plant Soil 2009, 321, 259–278. [Google Scholar] [CrossRef]
- Coykendall, K.E.; Houseman, G.R. Lespedeza cuneata invasion alters soils facilitating its own growth. Biol. Invasions 2014, 16, 1735–1742. [Google Scholar] [CrossRef]
- Anning, A.K.; Gyamfi, B.; Effah, A.T. Broussonetia papyrifera controls nutrient return to soil to facilitate its own invasion in a tropical forest of Ghana. J. Plant Ecol. 2018, 11, 909–918. [Google Scholar] [CrossRef]
- Richardson, D.M.; Pyšek, P.; Rejmanek, M.; Barbour, M.G.; Panetta, F.D.; West, C.J. Naturalization and invasion of alien plants: Concepts and definitions. Divers. Distrib. 2000, 6, 93–107. [Google Scholar] [CrossRef]
- Davis, M.; Chew, M.K.; Hobbs, R.J.; Lugo, A.E.; Ewel, J.J.; Vermeij, G.J.; Brown, J.H.; Rosenzweig, M.L.; Gardener, M.R.; Carroll, S.P.; et al. Don’t judge species on their origins. Nature 2011, 474, 153–154. [Google Scholar] [CrossRef]
- Reaser, J.K.; Simpson, A.; Guala, G.F.; Morisette, J.T.; Fuller, P. Envisioning a national invasive species information framework. Biol. Invasions 2020, 22, 21–36. [Google Scholar] [CrossRef]
- Hulme, P.E. Weed risk assessment: A way forward or a waste of time? J. Appl. Ecol. 2012, 49, 10–19. [Google Scholar] [CrossRef]
- Hulme, P.E.; Pyšek, P.; Jarosik, V.; Pergl, J.; Schaffner, U.; Vilá, M. Bias and error in understanding plant invasion impacts. Trends Ecol. Evol. 2013, 28, 212–218. [Google Scholar] [CrossRef]
- Pyšek, P.; Jarošík, V.; Hulme, P.E.; Pergl, J.; Hejda, M.; Schaffner, U.; Vilà, M. A global assessment of invasive plant impacts on resident species, communities and ecosystems: The interaction of impact measures, invading species’ traits and environment. Glob. Change Biol. 2012, 18, 1725–1737. [Google Scholar] [CrossRef]
- Prescott, C.E.; Zukswert, J.M. Invasive plant species and litter decomposition: time to challenge assumptions. New Phytol. 2016, 209, 5–7. [Google Scholar] [CrossRef]
- Ward, D.M.; Nelson, K.A.; Gawel, A.M.; Rogers, H.S. The role of trust in public attitudes toward invasive species management on Guam: A case study. J. Environ. Manag. 2019, 229, 133–144. [Google Scholar]
- Weber, E. Invasive Plant Species of the World: A Reference Guide to Environmental Weeds; CABI: Boston, MA, USA, 2003. [Google Scholar]
- Global Invasive Species Database. Leucaena leucocephala. Invasive Species Specialist Group. Available online: www.iucngisd.org (accessed on 28 February 2020).
- Chou, H.-C.; Kuo, Y.-L. Allelopathic research of subtropical vegetation in Taiwan. III. Allelopathic exclusion of understory by Leucaena leucocephala (Lam.) de Wit. J. Chem. Ecol. 1986, 12, 1431–1448. [Google Scholar] [CrossRef]
- Yoshida, K.; Oka, S. Impact of biological invasion of Leucaena leucocephala on successional pathway and species diversity of secondary forest on Hahajima Island, Ogasawara (Bonin) Islands, northwestern Pacific. Japanese J. Ecol. 2000, 50, 111–119. [Google Scholar]
- Marler, T.E.; Dongol, N.; Cruz, G.N. Leucaena leucocephala and adjacent native limestone forest habitats contrast in soil properties on Tinian Island. Commun. Integr. Biol. 2016, 9, e12127–e12192. [Google Scholar] [CrossRef]
- Global Invasive Species Database. Spathodea campanulata. Invasive Species Specialist Group. Available online: www.iucngisd.org (accessed on 28 February 2020).
- United States Department of Agriculture Forest Service. The Pacific Northwest Forest Inventory and Analysis. Available online: https://www.fs.fed.us/pnw/rma/fia-topics/inventory-data/index.php (accessed on 27 January 2020).
- United States Forest Service. Pacific Island Ecosystems at Risk. Available online: http://www.hear.org/pier/ (accessed on 23 February 2020).
- Marler, T.E.; Moore, A. Military threats to terrestrial resources not restricted to wartime: A case study from Guam. J. Environ. Sci. Eng. 2011, 5, 1198–1214. [Google Scholar]
- Young, F.J. Soil Survey of Territory of Guam; U. S. Dept. of Agric. Soil Conservation Service: Washington, DC, USA, 1988. [Google Scholar]
- Olsen, S.R.; Cole, C.V.; Watanabe, F.S.; Dean, L.A. Estimation of Available Phosphorus in Soils by Extraction with Sodium Bicarbonate; U.S. Dept. of Agric. Circ. No. 939: Washington, DC, USA, 1954. [Google Scholar]
- Berghage, R.D.; Krauskopf, D.M.; Warncke, D.D.; Widders, I. Micronutrient Testing of Plant Growth Media Extractant, Identification and Evaluation. Commun. Soil Sci. Plant Anal. 1987, 18, 1089–1109. [Google Scholar] [CrossRef]
- Zheljazkov, V.D.; Warman, P.R. Comparison of three digestion methods for the recovery of 17 plant essential nutrients and trace elements from six composts. Compost Sci. Utiliz. 2002, 10, 197–203. [Google Scholar] [CrossRef]
- Cataldo, D.A.; Haroon, M.; Schrader, L.E.; Youngs, V.L. Rapid colorimetric determination of nitrate in plant tissue by nitration of salicylic acid. Commun. Soil Sci. Plant Anal. 1975, 6, 71–80. [Google Scholar] [CrossRef]
- Eno, C.F. Nitrate production in the field by incubating the soil in polyethylene bags. Proc. Soil Sci. Soc. Amer. 1960, 24, 277–279. [Google Scholar] [CrossRef]
- Mann, H.B.; Whitney, D.R. On a test of whether one of two random variables is stochastically larger than the other. Ann. Math. Stat. 1947, 18, 50–60. [Google Scholar] [CrossRef]
- Castro-Díez, P.; Godoy, O.; Alonso, A.; Gallardo, A.; Saldaña, A. What explains variation in the impacts of exotic plant invasions on the nitrogen cycle? A meta-analysis. Ecol. Lett. 2014, 17, 1–12. [Google Scholar]
- Sardans, J.; Rivas-Ubach, A.; Peñuelas, J. The C:N:P stoichiometry of organisms and ecosystems in a changing world: A review and perspectives. Perspect. Plant Ecol. Evol. Syst. 2012, 14, 33–47. [Google Scholar] [CrossRef]
- Joint Region Marianas. Final Integrated Natural Resources Management Plan-Joint Region Marianas. Guam, Tinian, and Farallon de Medinilla; Prepared under Contract #SF1449-N40192-10-R-9915; 2012. Available online: sablan.house.gov (accessed on 28 February 2020).
- Joint Guam Program Office. Final Environmental Impact Statement. Guam and CNMI Military Relocation. 2010. Available online: guambuildupeis.us (accessed on 28 February 2020).
- Hickam Air Force Base, Hawaii. Biological Assessment for Beddown of Training and Support Initiatives at Northwest Field, Andersen Air Force Base, Guam; Hickam Air Force Base: Hawaii, HI, USA, 2006. [Google Scholar]
- Andersen Air Force Base. Cycas micronesica Management Plan for Andersen Air Force Base, Guam; Prepared under Contract #N40192-12-P-5008; Andersen Air Force Base: Yigo, GU, USA, 2014. [Google Scholar]
- Naval Facilities Engineering Command Marianas. Haputo Ecological Reserve Area General Management Plan, Naval Base Guam; Naval Facilities Engineering Command Marianas: Piti, GU, USA, 2010. [Google Scholar]
- Naval Facilities Engineering Command Marianas. Restoration Plan for the Habitat Management Unit, Naval Support Activity Andersen, Guam; Prepared under Cooperative Agreement N40192-14-2-8003; 2017. Available online: sablan.jouse.gov (accessed on 28 February 2020).
- WESMURPH Consulting. Off-Site Conservation of Threatened Cycas micronesica, Navy Leased Lands, Tinian; Prepared under Contract #N40192-16-M-5006; WESMURPH Consulting: Santa Rita, GU, USA, 2017. [Google Scholar]
- Simberloff, D.; Von Holle, B. Positive interactions of nonindigenous species: Invasional meltdown? Biol. Invasions 1999, 1, 21–32. [Google Scholar] [CrossRef]
- Ehrenfeld, J.G.; Kourtev, P.; Huang, W. Changes in soil functions following invasions of exotic understory plants in deciduous forests. Ecol. Appl. 2001, 11, 1287–1300. [Google Scholar] [CrossRef]
- Corbin, J.D.; D’Antonio, C.M. Effects of exotic species on soil nitrogen cycling: Implications for restoration. Weed Technol. 2004, 18, 1464–1467. [Google Scholar] [CrossRef]
- Kulmatiski, A.; Beard, K.H. Long-term plant growth legacies overwhelm short-term plant growth effects on soil microbial community structure. Soil Biol. Biochem. 2011, 43, 823–830. [Google Scholar] [CrossRef]
- Suding, K.N.; Harpole, W.S.; Fukami, T.; Kulmatiski, A.; MacDougall, A.S.; Stein, C.; van der Putten, W.H. Consequences of plant–soil feedbacks in invasion. J. Ecol. 2013, 101, 298–308. [Google Scholar] [CrossRef]
- van der Putten, W.H.; Bardgett, R.D.; Bever, J.D.; Bezemer, T.M.; Casper, B.B.; Fukami, T.; Kardol, P.; Klironomos, J.N.; Kulmatiski, A.; Schweitzer, J.A.; et al. Plant-soil feedbacks: The past, the present and future challenges. J. Ecol. 2013, 101, 265–276. [Google Scholar] [CrossRef]
- Gibbons, S.M.; Lekberg, Y.; Mummey, D.L.; Sangwan, N.; Ramsey, P.W.; Gilbert, J.A. Invasive plants rapidly reshape soil properties in a grassland ecosystem. mSystems 2017, 2, e00178–e00216. [Google Scholar] [CrossRef]
- Nsikani, M.M.; van Wilgen, B.W.; Gaertner, M. Barriers to ecosystem restoration presented by soil legacy effects of invasive alien N2-fixing woody species: implications for ecological restoration. Restor. Ecol. 2018, 26, 235–244. [Google Scholar] [CrossRef]
- United States Fish & Wildlife Service. Endangered and threatened wildlife and plants; endangered status for 16 species and threatened status for 7 species in Micronesia. Fed. Regist. 2015, 80, 59424–59497. [Google Scholar]
- Marler, T.E.; Lindström, A.J. First, do no harm. Communic. Integr. Biol. 2017, 10, e1393593. [Google Scholar] [CrossRef]
- Osborne, P.E.; Seddon, P.J. Selecting suitable habitats for reintroductions: variation, change and the role of species distribution modelling. In Reintroduction Biology: Integrating Science and Management; Ewen, J.G., Armstrong, D.P., Parker, K.A., Seddon, P.J., Eds.; Wiley-Blackwell: Oxford, UK, 2012; pp. 73–105. [Google Scholar]
- Prach, K.; Šebelíková, L.; Řehounková, K.; del Moral, R. Possibilities and limitations of passive restoration of heavily disturbed sites. Landsc. Res. 2020, 45, 247–253. [Google Scholar] [CrossRef]
- Volis, S. Conservation-oriented restoration—A two for one method to restore both threatened species and their habitats. Plant Divers. 2019, 41, 50–58. [Google Scholar] [CrossRef]
- Prach, K.; Durigan, G.; Fennessy, S.; Overbeck, G.E.; Torezan, J.M.; Murphy, S.D. A primer on choosing goals and indicators to evaluate ecological restoration success. Restor. Ecol. 2019, 27, 917–923. [Google Scholar] [CrossRef]
- Reaser, J.K.; Burgiel, S.W.; Kirkey, J.; Brantley, K.A.; Veatch, S.D.; Burgos-Rodríguez, J. The early detection of and rapid response (EDRR) to invasive species: A conceptual framework and federal capacities assessment. Biol. Invasions 2020, 22, 1–19. [Google Scholar] [CrossRef]




| Soil Property | Invaded | Native | t-test Statistic | Significance |
|---|---|---|---|---|
| pH | 7.72 ± 0.07 | 7.65 ± 0.06 | t = 0.74 | 0.238 |
| Carbon 1 | 120.28 ± 3.44 | 141.68 ± 4.60 | t = 3.36 | 0.004 |
| Phosphorus 2 | 55.45 ± 2.36 | 87.17 ± 5.22 | t = 10.70 | <0.001 |
| Potassium 3 | 32.53 ± 1.39 | 64.56 ± 4.13 | t = 7.35 | <0.001 |
| Calcium 3 | 10.63 ± 0.45 | 11.69 ± 0.50 | t = 1.72 | 0.058 |
| Magnesium 3 | 335.83 ± 14.33 | 381.87 ± 19.85 | t = 1.88 | 0.045 |
| Manganese 3 | 96.84 ± 4.13 | 123.17 ± 5.30 | t = 3.92 | 0.001 |
| Iron 3 | 29.90 ± 1.28 | 52.67 ± 3.19 | t = 6.65 | <0.001 |
| Cobalt 4 | 3.24 ± 0.14 | 9.56 ± 0.41 | t = 14.69 | <0.001 |
| Chromium 4 | 156.49 ± 7.36 | 494.97 ± 21.12 | t = 15.13 | <0.001 |
| Copper 4 | 9.38 ± 0.42 | 25.98 ± 1.11 | t = 14.01 | <0.001 |
| Nickel 4 | 21.03 ± 0.93 | 69.04 ± 2.95 | t = 15.53 | <0.001 |
| Selenium 4 | 0.96 ± 0.05 | 0.63 ± 0.03 | t = 5.70 | <0.001 |
| Zinc 4 | 23.40 ± 0.98 | 23.12 ± 0.99 | t = 0.20 | 0.422 |
| Soil Property | Invaded | Native | t-test Statistic | Significance |
|---|---|---|---|---|
| pH | 7.55 ± 0.04 | 7.72 ± 0.05 | t = 2.41 | 0.018 |
| Carbon 1 | 80.83 ± 2.44 | 105.35 ± 4.49 | t = 4.60 | 0.001 |
| Phosphorus 2 | 23.63 ± 1.55 | 39.06 ± 1.67 | t = 6.78 | <0.001 |
| Potassium 3 | 61.74 ± 4.34 | 33.21± 1.42 | t = 6.24 | <0.001 |
| Calcium 3 | 10.09 ± 0.39 | 8.66 ± 0.37 | t = 2.66 | 0.024 |
| Magnesium 3 | 627.17 ± 30.39 | 483.91 ± 15.73 | t = 4.19 | 0.002 |
| Manganese 3 | 26.73 ± 1.97 | 13.86 ± 0.63 | t = 6.23 | <0.001 |
| Iron 3 | 27.67 ± 0.62 | 14.33 ± 0.69 | t = 14.43 | <0.001 |
| Cobalt 4 | 15.91 ± 1.38 | 21.61 ± 3.49 | t = 1.52 | 0.080 |
| Chromium 4 | 178.30 ± 11.52 | 148.32 ± 10.44 | t = 1.93 | 0.043 |
| Copper 4 | 31.21 ± 4.08 | 49.81 ± 11.15 | t = 1.57 | 0.074 |
| Nickel 4 | 69.73 ± 10.71 | 29.54 ± 6.32 | t = 3.23 | 0.005 |
| Selenium 4 | 1.76 ± 0.30 | 0.38 ± 0.10 | t = 4.36 | 0.001 |
| Zinc 4 | 89.18 ± 6.49 | 77.29 ± 5.50 | t = 1.40 | 0.096 |
| Soil Property | Invaded | Native | t-test Statistic | Significance |
|---|---|---|---|---|
| pH | 7.67 ± 0.04 | 7.73 ± 0.03 | t = 1.69 | 0.061 |
| Carbon 1 | 113.9 ± 2.55 | 137.20 ± 2.64 | t = 4.36 | 0.001 |
| Phosphorus 2 | 46.50 ± 1.18 | 60.33 ± 1.52 | t = 7.20 | <0.001 |
| Potassium 3 | 53.83 ± 1.62 | 41.33 ± 1.05 | t = 6.46 | <0.001 |
| Calcium 3 | 6.51 ± 0.71 | 6.90 ± 0.62 | t = 0.42 | 0.343 |
| Magnesium 3 | 400.33 ± 6.85 | 508.67 ± 7.25 | t = 10.86 | <0.001 |
| Manganese 3 | 19.50 ± 0.76 | 25.11 ± 1.13 | t = 3.61 | 0.002 |
| Iron 3 | 9.33 ± 0.42 | 14.83 ± 1.08 | t = 4.75 | 0.004 |
| Cobalt 4 | 0.19 ± 0.01 | 0.25 ± 0.01 | t = 4.12 | 0.001 |
| Chromium 4 | 4.89 ± 0.25 | 5.22 ± 0.22 | t = 0.99 | 0.174 |
| Copper 4 | 0.02 ± 0.01 | 1.96 ± 0.08 | t = 23.25 | <0.001 |
| Nickel 4 | 0.41 ± 0.04 | 1.23 ± 0.07 | t = 10.91 | <0.001 |
| Selenium 4 | 0.51 ± 0.03 | 0.34 ± 0.02 | t = 4.86 | 0.003 |
| Zinc 4 | 10.47 ± 0.53 | 12.03 ± 0.51 | t = 2.12 | 0.030 |
| Soil Property | Invaded | Native | Statistic 1 | Significance |
|---|---|---|---|---|
| pH | 7.52 ± 0.06 | 7.72 ± 0.05 | t = 2.35 | 0.040 |
| Carbon 2 | 64.64 ± 3.27 | 107.17 ± 5.01 | t = 7.11 | <0.001 |
| Phosphorus 3 | 30.86 ± 1.33 | 40.95 ± 1.56 | t = 4.92 | <0.001 |
| Potassium 4 | 34.71 ± 1.80 | 32.71 ± 1.31 | t = 0.90 | 0.391 |
| Calcium 4 | 7.17 ± 0.32 | 8.76 ± 0.34 | t = 3.42 | 0.007 |
| Magnesium 4 | 513.83 ± 21.86 | 488.88 ± 14.23 | t = 0.96 | 0.361 |
| Manganese 4 | 32.88 ± 1.42 | 15.39 ± 0.99 | t = 10.06 | <0.001 |
| Iron 4 | 20.43 ± 0.91 | 15.90 ± 0.86 | t = 3.61 | 0.005 |
| Cobalt 5 | 26.66 ± 2.52 | 21.61 ± 3.49 | t = 1.17 | 0.134 |
| Chromium 5 | 210.73 ± 9.87 | 148.32 ± 10.44 | t = 4.34 | 0.001 |
| Copper 5 | 62.24 ± 4.52 | 49.81 ± 11.15 | t = 1.03 | 0.163 |
| Nickel 5 | 54.78 ± 4.96 | 29.54 ± 6.32 | t = 3.14 | 0.005 |
| Selenium 5 | 0.05 ± 0.301 | 0.38 ± 0.10 | U = 0.5 | 0.007 |
| Zinc 5 | 94.86 ± 3.51 | 77.29 ± 5.50 | t = 2.69 | 0.011 |
© 2020 by the author. Licensee MDPI, Basel, Switzerland. This article is an open access article distributed under the terms and conditions of the Creative Commons Attribution (CC BY) license (http://creativecommons.org/licenses/by/4.0/).
Share and Cite
Marler, T.E. Three Invasive Tree Species Change Soil Chemistry in Guam Forests. Forests 2020, 11, 279. https://doi.org/10.3390/f11030279
Marler TE. Three Invasive Tree Species Change Soil Chemistry in Guam Forests. Forests. 2020; 11(3):279. https://doi.org/10.3390/f11030279
Chicago/Turabian StyleMarler, Thomas E. 2020. "Three Invasive Tree Species Change Soil Chemistry in Guam Forests" Forests 11, no. 3: 279. https://doi.org/10.3390/f11030279
APA StyleMarler, T. E. (2020). Three Invasive Tree Species Change Soil Chemistry in Guam Forests. Forests, 11(3), 279. https://doi.org/10.3390/f11030279
