Abstract
The prediction of biological processes, which involve growth and plant development, is possible via the adjustment of mathematical models. In forest areas, these models assist in management practices, silviculture, harvesting, and soil fertility. Diameter, basal area, and height are predictors of volume and biomass estimates in forest stands. This study utilized different non-linear models for estimating biomass and nutrient values in the aerial biomass and roots of an unmanaged eucalypt stand in Cerrado dystrophic soil. It was hypothesized that the models would estimate the nutrients of the aboveground biomass and roots after meeting the selection and validation criteria. By statistical analysis of the parameters and subsequent validation, the Schumacher–Hall model was presented to be the best fit for biomass and nutrients. This result confirmed the ability of different variables, including diameter, basal area, and height, to be predicted. Estimating the nutrient values in the aboveground biomass and roots allowed a better understanding of the quality of the vegetal residues that remained in the soil. For dystrophic soils, which occur in the Cerrado, these estimates become even more relevant.
1. Introduction
Increasing global demand for wood has resulted in the expansion of tree plantations worldwide, with eucalyptus often the species of choice due to its high productivity. Brazilian plantations have among the highest rates of productivity and the shortest rotations in the world. In 2018, eucalyptus plantations in Brazil had average productivity of 36.0 m3 ha−1 y−1 []. Eucalyptus stands are the main source of wood production and have become Brazil’s main producers of sawn wood [,] and bioenergy []. High productivity has been achieved through extensive research in recent decades, mainly in improvements in genetics and forestry operations. Lately, some concerns have arisen in regard to the sustainability of productivity, which is increasingly shorter, and the high export of nutrients during the harvest [,,].
The maintenance of forest stand production in Brazil has shown importance of maintaining environmental conservation. Some studies have focused on understanding the dynamics of growth and export of nutrients, since it is becoming important for the maintenance of soil fertility and to maintaining the productivity of the stands [,,].
Modeling is an essential tool for predicting phenomena and biological standards, determining coefficients, and decreasing the inherent costs of data collection Models provide information to better determine management techniques and protocols for forested lands. The use of mathematical models to obtain reliable estimates of variables of interest is a common practice in the fields of agricultural and forestry sciences. Regression analysis has been used, with an emphasis on solving most of the forest problems, especially when it is intended to obtain estimates of forest parameters, using biometric relationships that make it possible to obtain indirectly-estimated values through regression equations [,].
Models are classified as linear or non-linear depending on the additive pattern of the parameters; therefore, the choice of the best model to use is determined by visual interpretation and statistical analysis of parameters. Richards’s empirical model is based on Von Bertalanffy’s growth theory, is widely used to describe the process of tree growth, and has great adaptability [] for forestry studies when the model is used in volume and biomass timber prediction []. The Weibull growth function is also used in the forestry area [], as a function that allows the adjustment coefficients to be obtained by different statistical methods, and is suitable for different types of forest data. Schumacher–Hall is the most-used model to estimate the volume of a tree stem or sections of the stem [,,]. The model was developed by relating the variables of diameter and height based on the formula for the volume of a cylinder, which results in almost always accurate and non-biased estimates. In addition to volume, this model was used to estimate aboveground biomass and carbon stock [,,].
The plotting of observed data as a function of the estimated data, dispersion of the residues versus the adjusted values [], and the frequency of the distribution of error classes [] are the main visual interpretations utilized. Careful visual examination is one of the best ways to begin to understand a set of data, to choose a model to represent the data, and to check the model and data errors []. The adjusted coefficient of determination and standard error estimated in percentages are the main statistical parameters used for choosing the best model [,,]. The validation of the selected model, which is performed using some of the observed data, also constitutes an important step of the modeling process [,].
Volume and biomass projections from model outcomes are well-established for the management of forest stands. Such prior knowledge allows these models to estimate the nutrient values of eucalypt stands. The distribution of nutrients along the stem [] and the efficiency of use, mainly with an increase in stand age, are important for biogeochemical cycling []. Viera et al. [] reported the order of nutrient pools follows: leaves > branches > wood > bark. In addition, the models of biomass estimation showed a pattern of aboveground allocation more favorable to crown components in a eucalypt stand.
Before planting, the soil preparation can affect the availability of soil organic matter (SOM) and soil carbon (C). During site preparation techniques, the mechanical methods, such as tillage, raking, windrowing, disking, and piling can lead to reductions in SOM. Chemical site preparation (i.e., herbicides) rather than tillage to remove understory species can reduce the SOM []. This effect can be mitigated by leaving biomass on-site [].
Harvest operations result in the removal of more than 45% of the total aboveground nutrient pool, and as a result either phosphorus (P) or calcium (Ca) may limit productivity in the next rotation []. In the past, the organic residues from the harvest were burned, and this led to losses (e.g., 7.36 Mg ha−1 of organic C, 0.21 Mg ha−1 of N, 3.48 Mg ha−1 of Ca, and 2.82 Mg ha−1 of Mg) []. Residues have different decomposition times in the soil, although the amount of N mineralization is greater in a eucalypt stand (e.g., 3.2 g m2 yr−1) than in the savanna (e.g., 2.0 g m2 yr−1) []. The monitoring of harvest residues in litter bags has shown that the decomposition of leaves and fine roots were much faster than that of branches and coarse roots [].
Harvest residues provide the return of macronutrients (e.g., P) in eucalypt stands []. The incorporate of residues constitute a better way to maintain the nutrient capital in the plantations and to enhance tree growth []. Eucalyptus plantations can benefit from nutrient pools inherited from the previous land use over several rotations, and fertilizer applications required in the short-term to maximize stand productivity are likely to be much lower than long-term requirements to balance nutrient budgets []. The equatorial climate results in faster amounts of N, P, and K release by harvest residue decomposition than in temperate zones [].
The objective of this study was to test the application of non-linear models for estimating the biomass and nutrients in a eucalypt stand established in the Cerrado (Brazilian Savanna) oxisol. The hypothesis that the models can estimate the nutrients of the aboveground biomass and roots was tested after the selection and validation criteria were met.
2. Materials and Methods
2.1. Study Area
The study was conducted at Fazenda Água Limpa (Figure 1), which belongs to the University of Brasília and is located in the Distrito Federal. The eucalypt stand was established in January 2010 (72 months of age), and occupies a total area of 3.29 hectares. The clone I224, Eucalyptus urophylla S. T. Blake × E. grandis Hill ex-Maiden, was planted at 3 × 2 m spacing.

Figure 1.
Study area in Fazenda Água Limpa, Distrito Federal, Brazil.
The soil was described as Latossolo Vemelho distrófico (oxisol). Prior to planting, grinding and subsoiling at 40 cm depth and fertilization of the planting line were undertaken using 100 g of super simple phosphate and 100 g of NPK - nitrogen, phosphorus and potassium (4-30-16). After 30 days of planting, cover fertilization was added using 100 g of NPK (20-0-20). Liming and supplemental fertilization with micronutrients were not performed.
2.2. Data Collection
A forest inventory was documented, with a simple random sampling process in 40 parcels with dimensions of 10 × 10 m, totaling 550 trees. In each plot, the diameter at breast height (DBH) at 1.3 m of each tree was measured using diametric tape. The heights were obtained using the Sunnto clinometer at 15 m for all trees.
The Smalian method was used to calculate the timber wood volume. This method uses the tree section in n logs, measuring the diameter (di) or circumference (ci) at the ends of each section and the length of the log (h1) []. A total of 40 trees with DBH ≥ 5 cm were harvested (Table S1). The trees were chosen in proportion to the number of diameter classes from the forestry inventory. The weights of 40 trees and the different components were measured (e.g., leaves, branches, crown wood, stem wood, and bark) (Tables S2 and S3). According to the regional demand, we determined the commercial high in the forest inventory; up to 8 cm of diameter below this value we consider the crown. We collected branches and leaves (below 8 cm of diameter) from the principal stem. We did not consider the distinction between branches (e.g., fine or thick), and the weight of then was obtained separately from the principal stem.
Samples from all tree components were collected to determine the concentration of the following nutrients: nitrogen (N), phosphorus (P), potassium (K), calcium (Ca), and magnesium (Mg). The K, Ca, and Mg concentrations in the leaves, branches, crown wood, stem wood, bark, and roots were determined by nitro-perchloric digestion and analyzed by inductively coupled plasma. Sulfuric digestion and distillation were used to measure the N concentration using the Kjeldahl method. Phosphorus was determined with the molecular absorption spectrophotometer. All analyses followed the manual described by Silva [].
The sampled trees were classified as suppressed (between 5 and 11 cm DBH) median (between 11.1 and 17 cm DBH) and dominant (between 17.1 and 23 cm DBH); we choose three trees by each class. We used the data average to estimate the biomass and nutrient roots for all trees in the forest inventory. (Table S4).
The root biomass sampling was done by collecting 10 circular soil cores, with a median diameter of 23 cm for each tree. Within 0.5 m of each stem, four soil cores were collected perpendicular to the planting line and six parallel to the planting line. The choice of 10 soil cores per tree was due to the spatial distribution of the planting arrangement (i.e., 3 × 2 m); if the planting spacing was larger or smaller, we would have to make proportional adjustments to the spacing to carry out representative analyses. The soil cores were stratified into three depth intervals of 0–20, 20–40, and 40–60 cm []. The roots were sieved through a mesh of 1 mm and dried with forced air ventilation in a greenhouse (65 ± 5 °C) until a constant weight of dry biomass was obtained.
2.3. Volume Estimate, Biomass, and Nutrient Values
After the harvesting and weighing of 40 trees, the modeling of volume and biomass for the stand was undertaken. The adjustment was done with 33 randomly selected trees; the remaining seven trees were used for the validation of the model through t-tests for paired data. Applying the Schumacher–Hall [] model, two equations were obtained for the volume and biomass predictions for each of the inventoried trees.
Using the equations obtained from the modeling, the estimated volume and biomass, in m3 and Mg, respectively, for each of the inventoried trees were obtained. From this information, it was possible to obtain the volume and biomass of the stand, in m3 ha−1 and Mg ha−1, respectively, and calculate the statistical parameters of the stand (Table 1).

Table 1.
Parameters obtained via the forest inventory carried out in eucalypt stands.
Each inventoried tree was allocated within one of the following classes: dominant, median, and suppressed, as described in the methodology for the collected roots. Using this information and the sum of the nutrient concentrations of the components, whose sample trees were also separated by class, the average concentrations of each nutrient for each inventoried tree was determined.
Multiplying the average class concentration of nutrients by the biomass amount, the value of each nutrient in kg−1 was obtained for each inventoried tree, and the nutrient values in Mg ha−1 were calculated for the 40 parcels. Combining the information of volume, biomass, nutrients, basal area, and average height, the model biomass and nutrients based on the variables DBH, basal area, and height were obtained.
2.4. Modeling of Biomass and Nutrients
From the information obtained on the biomass and the respective value of each nutrient in Mg ha−1, the sum of each portion for every variable was obtained. These were subjected to Pearson’s correlation analysis, in which DBH, basal area, and total tree height were defined as the predictor variables, and biomass and nutrients were the dependent variables (Table 2).

Table 2.
Pearson’s correlation matrix between the predictor variables (basal area, height, and DBH) and dependent variables (biomass and nutrients).
Based on the correlation values between the predictive and independent variables, the variables that composed the models were chosen. Basal area and total height were used for biomass adjustment; DBH and total height for N; and basal area for P, K, Ca, and Mg. A total of 40 plots were used to model the biomass and nutrients, of which 30 were used for the adjustment and the other 10 for the validation.
The non-linear regression models (Table 3) used were Richards [], Weibull [], and Schumacher–Hall []. The first model was originally proposed for inserting biological factors in the growth estimates of Cucumis melo L., a variety of melon []. The second model was used to estimate the population growth of protozoa, the size of a bean grain, and the strength capacity of Indian cotton fiber []. The double entry model proposed by Schumacher and Hall [] was proposed to estimate the volume of wood based on the correlation between diameter and height. The different parameters chosen (e.g., basal area, height, and diameter at breast height) to compose the models changed according to the correlation between predictor and dependent variables (Table 2).

Table 3.
Non-linear models and their equations used to estimate the biomass and nutrients in the eucalypt stand.
3. Results
The N, P, K, Ca, and Mg percentages measured in each of components of the 40 trees showed that the leaves had the highest percentages of N, P, and K, whereas the Ca and Mg percentages were higher in the bark than in the other components (Table 4). The percentage of each nutrient in different compartments was calculated by the sample nutrient concentrations in the compartment. The relationship between weight and concentration was estimated to be the total weight of each 40 trees.

Table 4.
Mean biomass and percentage of nutrients per tree component in a eucalypt stand.
The non-linear models tested estimated the dependent variables. The statistical parameters used to choose the best models, such as the correlation of the coefficient and estimated standard error, presented similar values for biomass (Table 5), N (Table 6), P (Table 7), K (Table 8), Ca (Table 9), and Mg (Table 10).

Table 5.
Statistical parameters of the non-linear models obtained by adjusting the total biomass in the eucalypt stand.

Table 6.
Statistical parameters of the non-linear models obtained in the adjustment of the amount of nitrogen in the eucalypt stand.

Table 7.
Statistical parameters of the non-linear models obtained in the adjustment of the amount of phosphorus in the eucalypt stand.

Table 8.
Statistical parameters of the non-linear models obtained in the adjustment of the amount of potassium in the eucalypt stand.

Table 9.
Statistical parameters of the non-linear models obtained in the adjustment of the amount of calcium in the eucalypt stand.

Table 10.
Statistical parameters of the non-linear models obtained in the adjustment of the amount of magnesium in the eucalypt stands.
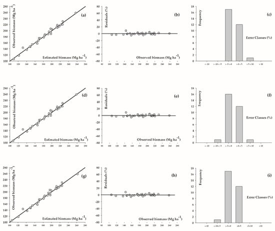
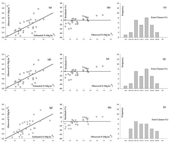
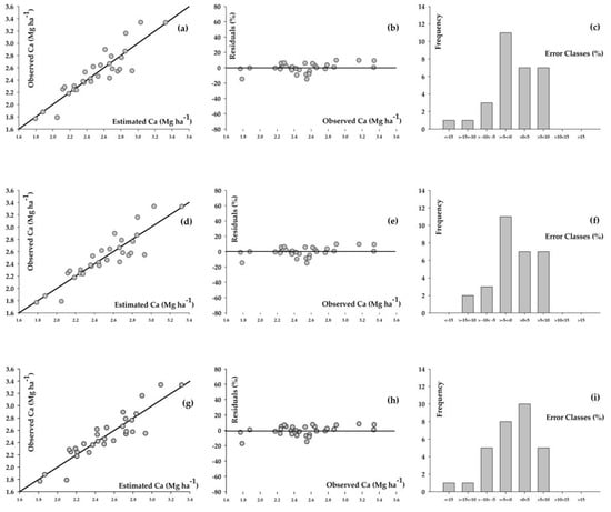
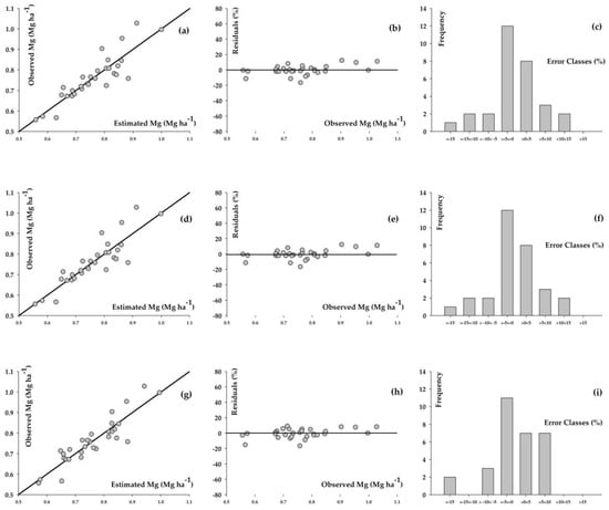
The visual presentation of the ratio of the observed and estimated data, i.e., the plot of the residuals in percentage as a function of the observed data and the frequency of the distribution of the error classes, contributed to the choice of the best adjustment. Thus, the Schumacher–Hall model was considered the best model for all the estimated variables, presenting a distribution frequency concentrated in the lowest error classes (Figure 2, Figure 3, Figure 4, Figure 5, Figure 6 and Figure 7).

Figure 2.
Dispersion of estimated value by observed value, dispersion of residues, and distribution in error classes obtained for the biomass adjustments (Mg ha−1) using non-linear models, where (a–c) refer to the Richards model, (d–f) to the Weibull model, and (g–i) to the Schumacher–Hall model.

Figure 3.
Dispersion of estimated value by observed value, dispersion of residues, and distribution in error classes obtained for the nitrogen adjustments (Mg ha−1) using non-linear models, where (a–c) refer to the Richards model, (d–f) to the Weibull model, and (g–i) to the Schumacher–Hall model.

Figure 4.
Dispersion of estimated value by observed value, dispersion of residues, and distribution in error classes obtained for the phosphorus adjustments (mg ha−1) using non-linear models, where (a–c) refer to the Richards model, (d–f) to the Weibull model, and (g–i) to the Schumacher–Hall model.

Figure 5.
Dispersion of estimated value by observed value, dispersion of residues, and distribution in error classes obtained for potassium adjustments (Mg ha−1) using non-linear models, where (a–c) refer to the Richards model, (d–f) to the Weibull model, and (g–i) to the Schumacher–Hall model.

Figure 6.
Dispersion of estimated value by observed value, dispersion of residues, and distribution in error classes obtained for the calcium adjustments (Mg ha−1) using non-linear models, where (a–c) refer to the Richards model, (d–f) to the Weibull model, and (g–i) to the Schumacher–Hall model.

Figure 7.
Dispersion of estimated value by observed value, dispersion of residues, and distribution in error classes obtained for the magnesium adjustments (Mg ha−1) using non-linear models, where (a–c) refer to the Richards model, (d–f) to the Weibull model, and (g–i) to the Schumacher–Hall model.
The standard error in percentage resulting from the adjustments presented the lowest value for biomass estimation (Table 5), and N was the nutrient with the largest error (Table 6). The visual interpretation of the residues as a percentage function of the observed data showed that the adjusted values for nutrients were slightly overestimated (Figure 2, Figure 3, Figure 4, Figure 5, Figure 6 and Figure 7).
This pattern, in which N, P, K, Ca, and Mg were overestimated was also verified using the negative percentage of the aggregate difference between the observed and estimated values. Nevertheless, the observed and estimated values for biomass and nutrients did not present statistical differences from the t-tests for the paired data that were used to validate the Schumacher–Hall model (Table 11).

Table 11.
Validation of the Schumacher–Hall model estimating biomass and nutrients in the eucalypt stand.
4. Discussion
In general, non-linear models provide good outcomes for biomass estimations in eucalypt stands [,,]. Using diameter measurements, Wernsdörfer et al. [] modeled nutrients in a Fagus sylvatica settlement. However, for nutrients, estimates have been made indirectly, applying a logarithmic model to estimate the volume and establishing a relationship with the concentration of nutrients []. The product of the average concentration of nutrients and biomass can also be used to quantify the nutrients [].
Using methodological distinctions in biomass and nutrient estimates, the statistical and visual parameters resulting from the adjustments were adequate for choosing the best model. The ratio between the residues and observed variables [], the aggregate difference [], and the dispersion of the observed value for the estimated value [] all proved the efficacy of all models tested in the present study.
The interpretation of these parameters was essential for choosing the Schumacher–Hall model as the best for biomass and nutrient estimations. This is a double-entry model and is well-established in forestry management for volume [,,] and biomass estimates [,]. Although the Richards and Weibull models include biological interpretations, population dynamics, and growth over time [,,], Campos and Leite [] highlighted the Schumacher–Hall model results in less biased estimates.
In large-scale crops, N is the most important element, and its application represents the highest soil fertilization costs. Nitrogen is strictly linked to the increase in productivity of annual and perennial crops; however, this macronutrient does not have high assimilation by eucalypt seedlings under nursery conditions []. The increment of N fertilization in established planting cannot increase the density of the wood, as was observed by Assis et al. [] in a hybrid stand of E. grandis × E. urophylla in Minas Gerais state, Brazil. Thus, post-harvest organic residues are the alternative to increase the levels of organic matter and nutrients in the soil.
The conventional harvest operation in eucalypt stand leads to macronutrient exports of between 66% and 76%, and micronutrient exports of between 58% and 89% of the amount in the aboveground biomass []. The rate of nutrient exportation is very high, reaching 33.6 ha−1 year−1 of N, 1.15 of P, 13.8 of K, 15.5 of Ca, and 5.8 kg of Mg []. Different systems harvest (e.g., stemwood, stemwood without debarking, and full-tree) shows an increase of nutrient exported levels with harvest intensification [].
The permanence time of organic eucalypt residue is long, and can take five years []. Lignin, cellulose, waxes, and tannins, such as leaves, branches, and petioles, still remain, reducing the rate of decomposition [,,]. Roots are the only component that present faster decomposition than the aboveground components []. Leaves, bark, and branches are the main residues that remain in eucalypt stand soil. In the present study, these components had higher concentrations of N and Ca than did the other components. A higher concentration of N in the leaves was observed by Gatto et al. [] in oxisol and Verão et al. [] in Argissolos (Ultisols) in an E. grandis × E. urophylla stand in the western center. This pattern was also verified by Vieira et al. [] in an E. urophylla × E. globulus stand in Argissolos (Ultisols) in the south. The highest concentration of Ca that was verified in the bark may be related to its low mobility in plant tissues, resulting in structuring the pectic chains present in the cell wall []. Leaves and branches had the highest percentages of nutrients, which has been verified in newer tree structures [] and is related to mobility and metabolic activity.
Even when nutrients presented good statistical parameters, the percentage of the standard error of the adjustments was higher than that of the biomass. This may be associated with the mobility and distribution of nutrients along the stem []. Téo et al. [] showed that mathematical models, traditionally used for volume estimates in forest areas, did not present a satisfactory performance for estimating the micronutrient content in individuals of Mimosa scabrella. The authors attributed this result to the site conditions and age of the sampled individuals.
For N, the inherent complexity of its cycle, which according to Wink et al. [] is influenced by several factors, such as losses in aboveground biomass and translocation of N to the soil through the root system [], was justified by the highest percentage of estimated standard error compared with the other nutrients. The difficulty in determining N remains even after the litterfall. Plant residue quality, microbial activity, and the Ca/N ratio are variables that may influence the adjustment of N [,].
Nevertheless, there are models designed for forest ecosystems that can simulate biogeochemical dynamics in response to environmental changes in forest ecosystems [,]. The non-linear forest ecosystem model ForSAFE has correctly reproduced the chemical aspects of soil water, aboveground biomass, and N and P concentrations in coniferous forests []. The concentrations and distribution of Al, Ca, Cl, K, Mg, and Mn in distinct fractions of the aboveground biomass in pine forests were estimated using a compartment model []. Thus, the studied elements in the present study followed the same pathways inside the tree, allowing an understanding of the cycling of nutrients in forest ecosystems that suffered radioactive accidents.
5. Conclusions
Non-linear models were tested to estimate the biomass and nutrients using DBH, basal area, and height variables, and were effective in the studi eucalypt stand. Thus, these models could predict the nutrient values in the aboveground biomass, and so the hypothesis raised was corroborated.
All tested models presented good adjustments; however, the Schumacher–Hall model was the best for estimating the N, P, K, Ca, and Mg concentrations of the aboveground biomass and roots. Analyzing both the visual plots and statistical parameters of the adjustments was important.
By predicting biomass and nutrients, the nutrient values of the eucalypt stand could be estimated. For secondary crop rotation, the coefficients obtained via the model adjustments could determine the input of nutrients and carbon in the soil system after harvesting. Considering the dystrophic character of Cerrado soils, this knowledge is very important for the management of these areas.
Supplementary Materials
The following are available online at https://www.mdpi.com/1999-4907/11/10/1097/s1, Table S1: Parameters obtained from the forest inventory of 40 plots in eucalypt stand, Table S2: Compartment’s weight of the felled trees in eucalypt stand, Table S3: Nutrient estimating from trees components and according 40 plots in eucalypt stand, Table S4: Mean of roots data and nutrients according 9 diameter categories in eucalypt stand.
Author Contributions
Conceptualization: M.B.X.V., A.G., E.P.M., and F.P.R.; methodology: M.B.X.V., K.M.S.C., F.P.R., J.I., M.I.R., T.R.S.M., D.A.V., R.A.M.M., and M.B.O.L.; formal analysis and investigation: M.B.X.V., K.M.S.C., A.G., E.P.M., and T.R.S.M.; writing—original draft preparation: M.B.X.V.; writing—review and editing: M.B.X.V. and F.P.R.; Funding acquisition: M.B.X.V., A.G., and E.P.M.; resources: M.B.X.V., A.G., and E.P.M.; supervision: M.B.X.V., A.G., and E.P.M. All authors have read and agreed to the published version of the manuscript.
Funding
This research received no external funding.
Acknowledgments
The authors acknowledge the support from Fazenda Água Limpa, especially Sebastião Carlos Abadio, Geraldo Cardoso Oliveira, Augusto Pereira Alves, Mauro Barbosa dos Santos, Luiz Carlos Oliveira, Weiner Raulã Moreira Diniz, and Augusto Álvaro Pereira dos Santos.
Conflicts of Interest
The authors declare no conflict of interest.
References
- IBÁ-Industria Brasileira de Árvores. Relatório 2019. Available online: https://iba.org/datafiles/publicacoes/relatorios/iba-relatorioanual2019.pdf (accessed on 25 March 2020).
- Gonçalves, J.L.M.; Alvares, C.A.; Higa, A.R.; Silva, E.V.; Alfenas, A.C.; Stahl, J.; Ferraz, S.F.B.; Lima, W.P.; Brancalion, P.H.S.; Hubner, A.; et al. Integrating genetic and silvicultural strategies to minimize abiotic and biotic constraints in Brazilian eucalypt plantations. Ecol. Manag. 2013, 301, 6–27. [Google Scholar] [CrossRef]
- Colodette, J.L.; Gomes, C.M.; Gomes, F.J.; Cabral, C.P. The Brazilian wood biomass supply and utilization focusing on eucalypt. Chem. Biol. Technol. Ag. 2014, 25, 1–8. [Google Scholar] [CrossRef]
- Ouyang, Y.; Xu, D.; Leininger, T.D.; Zhang, N. A system dynamic model to estimate hydrological processes and water use in a eucalypt plantation. Ecol. Eng. 2016, 86, 290–299. [Google Scholar] [CrossRef]
- Versini, A.; Mareschal, L.; Matsoumbou, T.; Zeller, B.; Ranger, J.; Laclau, J.P. Effects of litter manipulation in a tropical Eucalyptus plantation on leaching of mineral nutrients, dissolved organic nitrogen and dissolved organic carbon. Geoderma 2014, 232–234, 426–436. [Google Scholar] [CrossRef]
- Gatto, A.; Bussinguer, A.P.; Ribeiro, F.C.; Azevedo, G.B.; Bueno, C.B.; Monteiro, M.M.; Souza, P.F. Ciclagem e balanço de nutrientes no sistema solo-planta em um plantio de Eucalyptus sp., no Distrito Federal. R. Bras. Ciênc. Solo 2014, 38, 879–887. [Google Scholar] [CrossRef]
- Ferreira, G.W.D.; Soares, E.M.B.; Oliveira, F.C.C.; Silva, I.R.; Dungait, J.A.J.; Souza, I.F.; Vergütz, L. Nutrient release from decomposing Eucalyptus harvest residues following simulated management practices in multiple sites in Brazil. Ecol. Manag. 2016, 370, 1–11. [Google Scholar] [CrossRef]
- Richards, A.E.; Forrester, D.I.; Bauhus, J.; Scherer-Lorenzen, M. The influence of mixed tree plantations on the nutrition of individual species: A review. Tree Physiol. 2010, 30, 1192–1208. [Google Scholar] [CrossRef]
- Skorupa, A.L.A.; Barros, N.F.; Neves, J.L.C. Forest litter decomposition as affected by eucalyptus stand age and topography in south-eastern Brazil. Rev. Árvore 2015, 39, 1055–1064. [Google Scholar] [CrossRef]
- Azevedo, T.L.; Mello, A.A.; Ferreira, R.A.; Sanquetta, C.R.; Nakajima, N.Y. Equações hipsométricas e volumétricas para um povoamento de Eucalyptus sp. localizado na FLONA do Ibura, Sergipe. Rev. Bras. Ciênc. Agrár. 2011, 6, 105–112. [Google Scholar] [CrossRef][Green Version]
- Persson, H.J.; Ståhl, G. Characterizing uncertainty in forest remote sensing studies. Remote Sens. 2020, 12, 505. [Google Scholar] [CrossRef]
- Zhang, H.; Feng, Z.; Chen, P.; Chen, X. Development of a Tree Growth Difference Equation and Its Application in Forecasting the Biomass Carbon Stocks of Chinese Forests in 2050. Forests 2019, 10, 582. [Google Scholar] [CrossRef]
- Schikowski, A.B.; Corte, A.P.D.; Sanquetta, C.R. Modelagem do crescimento e de biomassa individual de Pinus. Pesq. Flor. Bras. 2013, 33, 269–278. [Google Scholar] [CrossRef]
- Sedmák, R.; Scheer, L. Modelling of tree diameter growth using growth functions parameterised by least squares and Bayesian methods. J. Sci. 2012, 58, 245–252. [Google Scholar]
- Martins, R.M.; Leite, M.V.S.; Cabacinha, C.D.; Assis, A.L. Teste de identidade de modelos volumétricos para povoamentos de Eucalyptus sp. em sete municípios de Minas Gerais. Enciclopédia Biosf. 2015, 11, 18–33. [Google Scholar]
- Nunes, J.S.; Soares, T.S. Estimativas volumétricas para um povoamento adensado de Eucalyptus sp. em regime de curta rotação. J. Neotrop. Agric. 2017, 4, 77–86. [Google Scholar] [CrossRef][Green Version]
- Ramos, J.H.; Santos-Posadas, H.M.; Lazalde, J.R.V.; Urias, J.C.T.; Pérez, G.Á.; Hernández-Ramos, H.; Méndez-Lopez, B.; Peduzzi, A. Estimación del volumen comercial en plantaciones de Eucalyptus urophylla con modelos de volumen total y de razón. Agrociencia 2017, 51, 561–580. [Google Scholar]
- Sanquetta, C.R.; Wojciechowski, J.; Corte, D.A.P.; Behling, A.; Netto, S.P.; Rodrigues, A.L.; Sanquetta, M.N.I. Comparison of data mining and allometric model in estimation of tree biomass. Bioinformatics 2015, 16, 1–9. [Google Scholar] [CrossRef] [PubMed][Green Version]
- Lima, M.C.D.; Barreto-Garcia, P.A.B.; Sanquetta, C.R.; Novaes, A.B.; Melo, L.C. Biomass and carbon stock from Pinus caribaea var. hondurensis under homogenous stands in southwest Bahia, Brazil. Cienc. Rural 2016, 46, 957–962. [Google Scholar] [CrossRef]
- Mendes, T.R.S.; Miguel, E.P.; Vasconcelos, P.G.A.; Valadão, M.B.X.; Rezende, A.V.; Matricardi, E.A.T.; Angelo, H.; Gatto, A.; Nappo, M.E. Use of aerial image in the estimation of volume and biomass of Eucalyptus sp. forest stand. Aust. J. Crop. Sci. 2020, 14, 286–294. [Google Scholar] [CrossRef]
- Vanclay, J.K. Modeling Forest Growth and Yield: Applications to Mixed Tropical Forests, 1st ed.; CABI: Wallingford, UK, 1994; pp. 154–196. [Google Scholar]
- Pereira, A.R.S.; Cordeiro, M.A.; Abreu, J.C.; Santos, R.O.; Natalino, J.; Silva, M. Modelagem volumétrica para Eucalyptus urograndis no Município de Porto Grande, Amapá, Brasil. Biota Amaz. 2016, 6, 10–14. [Google Scholar] [CrossRef]
- Machado, S.A.; Figura, M.A.; Silva, L.C.R.; Téo, S.J.; Stolle, L.; Urbano, E. Modelagem volumétrica para bracatinga (Mimosa scabrella) em bracatingais nativos. Pesq. Flor. Bras. 2008, 56, 17–29. [Google Scholar]
- Assis, C.O.; Trugilho, P.F.; Goulart, S.L.; Assis, M.R.; Bianchi, M.L. Efeito da aplicação de nitrogênio na produção e qualidade da madeira e carvão vegetal de um híbrido de Eucalyptus grandis × Eucalyptus urophylla. Floresta Ambient. 2018, 25, 1–8. [Google Scholar] [CrossRef]
- Pertille, C.T.; Sanquetta, C.R.; Nicoletti, M.F.; Topanotti, L.R. Volume prediction through form factor and regression models by age class for Pinus taeda L. Adv. Sci. 2018, 5, 431–436. [Google Scholar]
- Leal, F.A.; Cabacinha, C.D.; Castro, R.V.O.; Matricardi, E.A.T. Amostragem de árvores de Eucalyptus na cubagem rigorosa para estimativa de modelos volumétricos. Rev. Bras. Biom. 2015, 33, 91–103. [Google Scholar]
- Castro, R.V.O.; Araújo, R.A.A.; Leite, H.G.; Neves, A.F.; Castro, M.; Silva, A.; Pereira, R.S.; Leal, F.A. Modelagem do crescimento e da produção de povoamentos de Eucalyptus em nível de distribuição diamétrica utilizando índice de local. Rev. Árvore 2016, 40, 107–116. [Google Scholar] [CrossRef][Green Version]
- Verão, D.S.; Bleich, M.E.; Martins, N.P.; Bassotto, J.M.; Mortat, A.F.; Santos, A.F.A. Concentração de nutrientes em Eucalyptus urograndis (Eucalyptus grandis W. Hill ex Maiden × Eucalyptus urophylla S. T Blake) com sete anos de idade na borda sul da Amazônia. Biodiversidade 2016, 15, 35–44. [Google Scholar]
- Barros, F.N.; Neves, J.C.L.; Novais, R.F. Nutrição e adubação mineral do eucalipto. In Eucaliptocultura No Brasil: Silvicultura, Manejo e Ambiência, 1st ed.; Vale, A.B., Machado, C.C., Pires, J.M.M., Vilar, M.B., Costa, C.B., Nacif, P.A., Eds.; SIF: Piracicaba, Brazil, 2014; pp. 187–208. [Google Scholar]
- Viera, M.; Schumacher, M.V.; Bonacina, D.M.; Ramos, L.O.O.; Rodrígues-Soalleiro, R. Biomass and nutrient allocation to aboveground components in fertilized Eucalyptus saligna and E. urograndis plantations. New Forests 2017, 48, 445–462. [Google Scholar] [CrossRef]
- Lattimore, B.; Smith, C.T.; Titus, B.D.; Stupak, I.; Ednell, G. Environmental factors in woodfuel production: Opportunities, risks, and criteria and indicators for sustainable practices. Biomass Bioenergy 2009, 33, 1321–1342. [Google Scholar] [CrossRef]
- Viera, M.; Schumacher, M.V.; Trüby, P.; Araújo, E.F. Implicações nutricionais com base em diferentes intensidades de colheita da biomassa de Eucalyptus urophylla × Eucalyptus globulus. Cienc. Rural 2015, 45, 432–439. [Google Scholar] [CrossRef]
- Ellis, R.C.; Graley, A.M. Gains and losses in soil nutrients associated with harvesting and burning eucalypt rainforest. Plant. Soil 1983, 74, 437–450. [Google Scholar] [CrossRef]
- Mareschal, L.; Laclau, J.P.; Nzila, D.D.; Versini, A.; Koutika, L.S.; Mazoumbou, J.C.; Deleporte, P.; Bouillet, J.P.; Ranger, J. Nutrient leaching and deep drainage under Eucalyptus plantations managed in short rotations after afforestation of an African savanna: Two 7-year time series. Ecol. Manag. 2013, 307, 242–254. [Google Scholar] [CrossRef]
- Laclau, J.P.; Ranger, J.; Gonçalves, J.L.M.; Maquère, V.; Krusche, A.V.; M’Bou, A.T.; Nouvellon, Y.; Saint-André, L.; Bouillet, J.P.; Piccolo, M.C.; et al. Biogeochemical cycles of nutrients in tropical Eucalyptus plantations: Main features shown by intensive monitoring in Congo and Brazil. Ecol. Manag. 2010, 259, 1771–1785. [Google Scholar] [CrossRef]
- Valadares, S.V.; Neves, J.C.L.; Leite, H.G.; Barros, N.F.; Cropper Jr, W.P.; Gerber, S. Predicting phosphorus use efficiency and allocation in eucalypt plantations. Ecol. Manag. 2020, 460, 1–5. [Google Scholar] [CrossRef]
- Jones, H.E.; Madeira, M.; Herraez, L.; Dighton, J.; Fabiâo, A.; González-Rio, F.; Fernandez, M.; Gomez, C.; Tomé, M.; Feith, H.; et al. The effect of organic-matter management on the productivity of Eucalyptus globulus stands in Spain and Portugal: Tree growth and harvest residue decomposition in relation to site and treatment. Ecol. Manag. 1999, 122, 73–86. [Google Scholar] [CrossRef]
- Husch, B.; Miller, C.I.; Beers, T.W. Forest Mensuration, 2nd ed.; Jonh Willey & Sons: New York, NY, USA, 1972; p. 367. [Google Scholar]
- Silva, F.C. Análise química de tecido vegetal. In Manual de Análises Químicas de Solo, Plantas e Fertilizantes, 2nd ed.; Embrapa Informação Tecnológica: Brasília, Brazil, 2009; pp. 193–204. [Google Scholar]
- Schumacher, F.X.; Hall, F.S. Logarithmic expression of timber-tree volume. J. Agri. Res. 1933, 47, 719–734. [Google Scholar]
- Richards, F.J. A flexible growth function for empirical use. J. Exp. Bot. 1959, 10, 290–300. [Google Scholar] [CrossRef]
- Weibull, W. A statistical distribution function of wide applicability. J. Appl. Mech. 1951, 18, 293–299. [Google Scholar]
- Subasinghe, S.M.C.U.P. Construction of allometric relationships to predict growth parameters, stem biomass and carbon of Eucalyptus grandis growing in Sri Lanka. J. Trop. Sci. 2015, 5, 26–39. [Google Scholar] [CrossRef][Green Version]
- Assis, M.R.; Trugilho, P.F.; Rosado, S.C.S.; Protasio, T.P.; Goulart, S.L. Modelagem da biomassa e do estoque de carbono em plantas jovens de Eucalyptus. Science 2015, 43, 225–233. [Google Scholar]
- Ribeiro, M.D.S.B.; Jorge, L.A.B.; Mischan, M.M.; Santos, A.L.; Ballarin, A.W. Avaliação da produção de biomassa do fuste de um clone híbrido de eucalipto sob diferentes espaçamentos. Cienc. Florest 2017, 27, 31–45. [Google Scholar]
- Wernsdörfer, H.; Jonard, M.; Genet, A.; Legoutf, A.; Nys, C.; Saint-André, L.; Ponette, Q. Modelling of nutrient concentrations in roundwood based on diameterand tissue proportion: Evidence for an additional site-age effect in the case of Fagus sylvatica. Ecol. Manag. 2014, 330, 192–204. [Google Scholar] [CrossRef]
- Rance, S.J.; Mendham, D.S.; Cameron, D.M.; Grove, T.S. An evaluation of the conical approximation as a generic model for estimating stem volume, biomass and nutrient content in young Eucalyptus plantations. New Forests 2012, 43, 109–128. [Google Scholar] [CrossRef]
- Dick, G.; Schumacher, M.V.; Momolli, D.R.; Santos, J.C.; Ludvichak, A.A.; Guimarães, C.C.; Souza, H.P. Quantificação da biomassa e nutrientes em um povoamento de Eucalyptus dunnii Maiden estabelecido no Bioma Pampa. Ecol. E Nutr. Florest. 2016, 4, 1–9. [Google Scholar] [CrossRef]
- Miguel, E.P.; Rezende, A.V.; Pereira, R.S.; Azevedo, G.B.; Mota, F.C.M.; Souza, A.N.; Joaquim, M.S. Modeling and prediction of volume and aereal biomass of the tree vegetation in a Cerradão area of central Brazil. Interciencia 2017, 42, 21–27. [Google Scholar]
- Piñeiro, G.; Perelman, S.; Guerschman, J.; Paruelo, J.M. How to evaluate models: Observed vs. predicted or predicted vs. observed? Ecol. Model. 2008, 216, 316–322. [Google Scholar] [CrossRef]
- Ré, D.S.; Engel, V.L.; Ota, L.M.S.; Jorge, L.A.B. Equações alométricas em plantios mistos visando à restauração da floresta estacional semidecidual. Cerne 2015, 21, 133–140. [Google Scholar] [CrossRef][Green Version]
- Lanzarin, K.; Fleig, F.D.; Meyer, E.A.; Pereira, L.D.; Schröder, T.; Lisboa, G.S. Crescimento e biomassa de indivíduos jovens de Cabralea canjerana (Vell.) Mart. Biofix 2018, 3, 96–102. [Google Scholar] [CrossRef]
- Fleming, R.A. The Weibull model and an ecological application: Describing the dynamics of foliage biomass on Scots pine. Ecol. Model. 2001, 138, 309–319. [Google Scholar] [CrossRef]
- Anthony, J.; Baccam, J.; Bier, I.; Gregg, E.; Halverson, L.; Mulcahy, R.; Okanla, E.; Osman, S.A.; Pancoast, A.R.; Schultz, K.C.; et al. Modeling mayfly nymph length distribution and population dynamics across a gradient of stream temperatures and stream types. SPORA J. Biomath. 2018, 4, 1–14. [Google Scholar] [CrossRef]
- Teleken, J.T.; Galvão, A.C.; Robazza, W.S. Use of modified Richards model to predict isothermal and non-isothermal microbial growth. Braz. J. Microbiol. 2018, 49, 614–620. [Google Scholar] [CrossRef]
- Campos, J.C.C.; Leite, H.G. Mensuração Florestal: Perguntas e Respostas, 5th ed.; UFV: Viçosa, Brazil, 2017; p. 636. [Google Scholar]
- Souza, A.F.; Junior, E.O.R.; Laura, V.A. Desenvolvimento inicial e eficiência de uso de água e nitrogênio por mudas de Calophyllum brasiliense, Eucalyptus urograndis, Tabebuia impetiginosa e Toona ciliata. Cienc. Florest 2018, 284, 1465–1477. [Google Scholar] [CrossRef]
- Viera, M.; Fernández, F.R.; Rodríguez-Soalleiro, R. Nutritional prescriptions for Eucalyptus plantations: Lessons learned from Spain. Forests 2016, 7, 84. [Google Scholar] [CrossRef]
- Resquin, F.; Navarro-Cerrillo, R.M.; Carrasco-Letelier, L.; Casnati, C.R.; Bentancor, L. Evaluation of the nutrient content in biomass of Eucalyptus species from short rotation plantations in Uruguay. Biomass Bioenergy 2020, 134, 1–14. [Google Scholar] [CrossRef]
- Valadão, M.B.X.; Carneiro, K.M.S.; Inkotte, J.; Ribeiro, F.P.; Miguel, E.P.; Gatto, A. Litterfall, litter layer and leaf decomposition in Eucalyptus stands on Cerrado soils. Sci. Forests 2019, 47, 256–264. [Google Scholar] [CrossRef]
- Carvalho, W.; Canilha, L.; Ferraz, A.; Milagres, A.M.F. Uma visão sobre a estrutura, composição e biodegradação da madeira. Quim. Nova 2009, 32, 2191–2195. [Google Scholar] [CrossRef]
- Viera, M.; Schumacher, M.V.; Araújo, E.F. Disponibilização de nutrientes via decomposição da serapilheira foliar em um plantio de Eucalyptus urophylla × Eucalyptus globulus. Floresta Ambient. 2015, 21, 307–315. [Google Scholar] [CrossRef][Green Version]
- Lima, R.P.; Fernandes, M.M.; Fernandes, M.R.M.; Matricardi, E.A.T. Aporte e Decomposição da Serapilheira na Caatinga no Sul do Piauí. Floresta Ambient. 2015, 22, 42–49. [Google Scholar] [CrossRef]
- Bachega, L.R.; Bouillet, J.P.; Piccolo, M.C.; Saint-André, L.; Bouvete, J.M.; Nouvellon, Y.; Gonçalves, J.L.M.; Robin, A.; Laclau, J.P. Decomposition of Eucalyptus grandis and Acacia mangium leaves and fine roots in tropical conditions did not meet the Home Field Advantage hypothesis. Ecol. Manag. 2016, 359, 33–43. [Google Scholar] [CrossRef]
- Vieira, M.; Schumacher, M.V.; Trüby, P.; Araújo, E.F. Biomassa e nutrientes em um povoamento de Eucalyptus urophylla × Eucalyptus globulus, em Eldorado do Sul-RS. Ecol. E Nutr. Florest. 2013, 1, 1–13. [Google Scholar] [CrossRef]
- Hawkesford, M.; Horst, W.; Kichey, T.; Lambers, H.; Schjoerring, J.; Moller, I.S.; White, P. Functions of macronutrients. In Marschner’s Mineral Nutrition of Higher Plants, 3rd ed.; Marschner, P., Ed.; Elsevier: Oxford, UK, 2012; Volume 1, pp. 135–189. [Google Scholar]
- Saidelles, F.L.F.; Caldeira, M.V.W.; Schumacher, M.V.; Balbinot, R.; Schirmer, W.N. Determinação do ponto de amostragem para a quantificação de macronutrientes em Acacia mearnsii de Wild. Floresta 2010, 40, 49–62. [Google Scholar] [CrossRef]
- Téo, S.J.; Machado, S.A.; Figueiredo Filho, A.; Reissmann, C.B. Modelagem de micronutrientes para Mimosa scabrella na região metropolitana de Curitiba, estado do Paraná. Pesq. Flor. Bras. 2009, 59, 15–26. [Google Scholar] [CrossRef]
- Wink, C.; Reinert, D.J.; Tornquist, C.G.; Silva, I.R. Dinâmica do carbono e nitrogênio em plantações de eucalipto no Rio Grande do Sul. R. Bras. Ciênc. Solo 2015, 39, 1623–1632. [Google Scholar] [CrossRef][Green Version]
- Cantarella, H. Nitrogênio. In Fertilidade do Solo, 1st ed.; Novais, R.F., Alvarez, V.H., Barros, N.F., Fontes, R.L.F., Cantarutti, R.B., Neves, J.C.L., Eds.; SBCS: Viçosa, Brazil, 2007; Volume 1, pp. 375–470. [Google Scholar]
- Barbosa, V.; Barreto-Garcia, P.; Gama-Rodrigues, E.; Paula, A. Biomassa, carbono e nitrogênio na serapilheira acumulada de florestas plantadas e nativa. Floresta Ambient. 2017, 24, 1–9. [Google Scholar] [CrossRef]
- Barreto, P.A.B.; Gama-Rodrigues, E.F.; Gama-Rodrigues, A.C.; Barros, N.F.; Alves, B.J.; Fonseca, S. Mineralização de nitrogênio e carbono em solos sob plantações de eucalipto, em uma sequência de idades. R. Bras. Ciênc. Solo 2010, 34, 735–745. [Google Scholar] [CrossRef]
- Zanchi, G.; Belyazid, S.; Akselsson, C.; Yu, L. Modelling the effects of management intensification on multiple forest services: A Swedish case study. Ecol. Model. 2014, 284, 48–59. [Google Scholar] [CrossRef]
- Yu, L.; Zanchi, G.; Akselsson, C.; Wallander, H.; Belyazid, S. Modeling the forest phosphorus nutrition in a southwestern Swedish forest site. Ecol. Model. 2018, 369, 88–100. [Google Scholar] [CrossRef]
- Gielen, S.; Batllea, J.V.; Vincke, C.; Van Hees, M.; Vandenhovea, H. Concentrations and distributions of Al, Ca, Cl, K, Mg and Mn in a Scots pine forest in Belgium. Ecol. Model. 2016, 324, 1–10. [Google Scholar] [CrossRef]
Publisher’s Note: MDPI stays neutral with regard to jurisdictional claims in published maps and institutional affiliations. |
© 2020 by the authors. Licensee MDPI, Basel, Switzerland. This article is an open access article distributed under the terms and conditions of the Creative Commons Attribution (CC BY) license (http://creativecommons.org/licenses/by/4.0/).