A Complete Assessment of Carbon Stocks in Above and Belowground Biomass Components of a Hybrid Eucalyptus Plantation in Southern Brazil
Abstract
1. Introduction
2. Materials and Methods
2.1. Site and Stand Description
2.2. Tree Sampling and Measurements
2.3. Understory and Litter Sampling
2.4. Root and Soil Sampling
2.5. Data Calculation and Analysis
3. Results
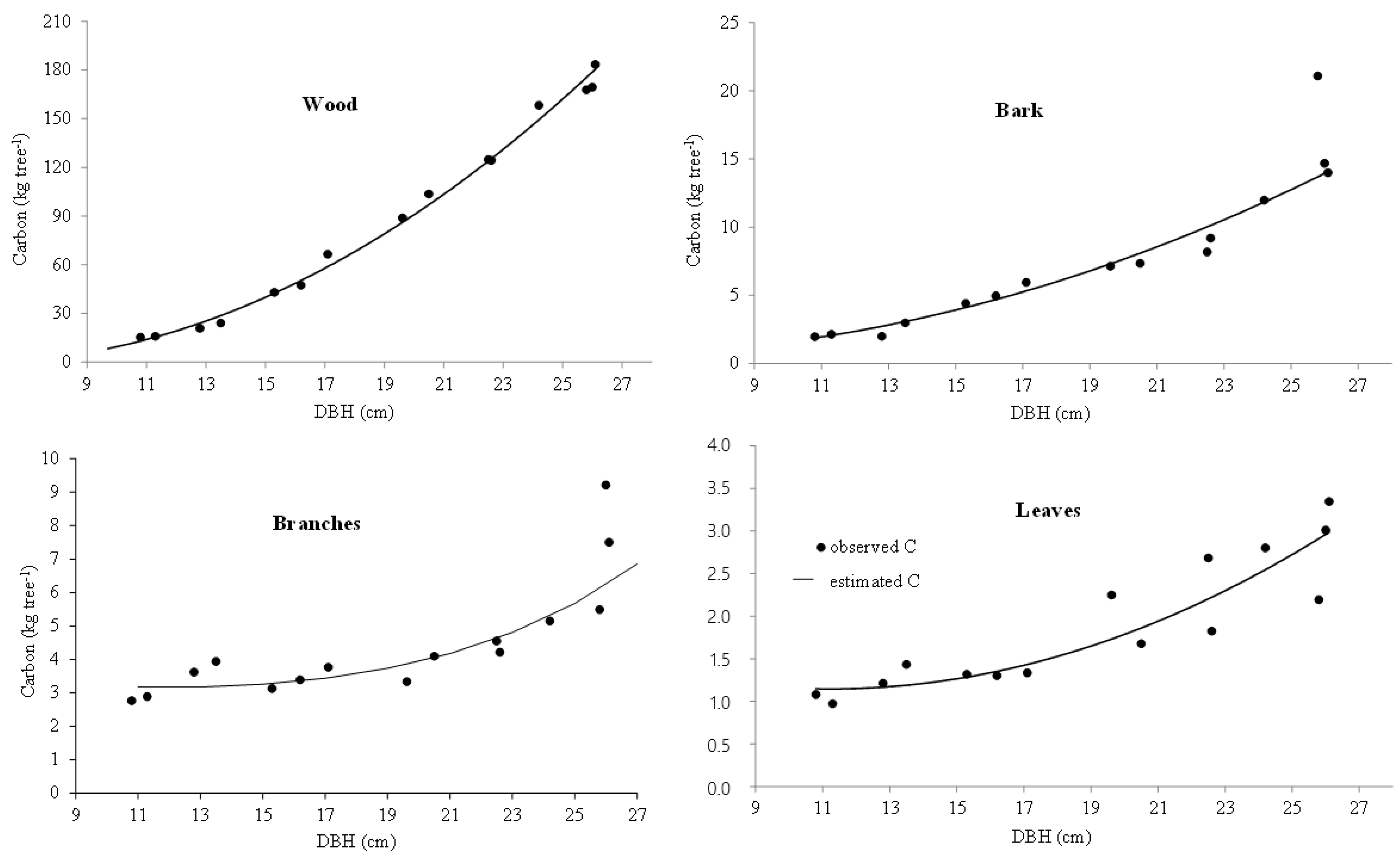
3.1. Equations for Eucalyptus Aboveground Carbon Estimation
3.2. Aboveground Carbon Concentration and Contents
3.3. Belowground Carbon Concentration and Contents
4. Discussion
5. Conclusions
Author Contributions
Funding
Acknowledgments
Conflicts of Interest
References
- IBGE. Instituto Brasileiro de Geografia e Estatística. Produção da extração vegetal e da silvicultura. IBGE 2017, 32, 1–8. [Google Scholar]
- IBA. Brazilian Tree Industry; Report 2015; IBÁ: São Paulo, Brazil, 2015; 64p. [Google Scholar]
- Du, H.; Zeng, F.; Peng, W.; Wang, K.; Zhang, H.; Liu, L.; Song, T. Carbon storage in a Eucalyptus plantation chronosequence in Southern China. Forests 2015, 6, 1763–1778. [Google Scholar] [CrossRef]
- Volkova, L.; Bi, H.; Murphy, S.; Weston, C.J. Empirical estimates of aboveground carbon in open Eucalyptus forests of south-eastern Australia and its potential implication for national carbon accounting. Forests 2015, 6, 3395–3411. [Google Scholar] [CrossRef]
- Fialho, R.C.; Zinn, Y.L. Changes in soil organic carbon under Eucalyptus plantations in Brazil: A comparative analysis. Land Degrad. Dev. 2014, 25, 428–437. [Google Scholar] [CrossRef]
- Justine, M.F.; Yang, W.; Wu, F.; Tan, B.; Khan, M.N.; Zhao, Y. Biomass stock and carbon sequestration in a chronosequence of Pinus massoniana plantations in the upper reaches of the Yangtze River. Forests 2015, 6, 3665–3682. [Google Scholar] [CrossRef]
- Cook, R.L.; Binkley, D.; Stape, J.L. Eucalyptus plantation effects on soil carbon after 20 years and three rotations in Brazil. For. Ecol. Manag. 2016, 359, 92–98. [Google Scholar] [CrossRef]
- Sausen, T.L.; Schaefer, G.F.P.; Tomazi, M.; Santos, L.S.; Bayer, C.; Rosa, L.M.G. Clay content drives carbon stocks in soils under a plantation of Eucalyptus saligna Labill. in southern Brazil. Acta Bot. Bras. 2014, 28, 266–273. [Google Scholar] [CrossRef]
- Vallejos-Barra, O.; Daniluk-Mosquera, G.; Moras, G.; Ponce-Donoso, M.; Conteras, M.A. Above-ground carbon absorption in young Eucalyptus globulus plantations in Uruguay. Sci. For. 2014, 42, 9–19. [Google Scholar]
- Jackson, R.B.; Avissar, R.; Baidya, R.S.; Barrett, D.J.; Cook, C.W.; Farley, K.A.; LeMaitre, D.C.; McCarl, B.A.; Murray, B.C. Trading water for carbon with biological carbon sequestration. Science 2005, 310, 1944–1947. [Google Scholar] [CrossRef]
- Farley, K.A.; Jobbágy, E.G.; Jackson, R.B. Effects of afforestation on water yield: A global synthesis with implications for policy. Glob. Change Biol. 2005, 11, 1565–1576. [Google Scholar] [CrossRef]
- Rodríguez-Soalleiro, R.; Eimil-Fraga, C.; Gómez-García, E.; García-Villabrille, J.D.; Rojo-Alboreca, A.; Muñoz, F.; Oliveira, N.; Sixto, H. Exploring the factors affecting carbon and nutrient concentrations in tree biomass components in natural forests, forest plantations and short rotation forestry. For. Ecosyst. 2018, 5, 35. [Google Scholar] [CrossRef]
- Ryan, M.G.; Stape, J.L.; Binkley, D.; Fonseca, S.; Loos, R.A.; Takahashi, E.N.; Silva, C.R.; Silva, S.R.; Hakamada, R.E.; Ferreira, J.M.; et al. Factors controlling Eucalyptus productivity: How resource availability and stand structure alter production and carbon allocation. For. Ecol. Manag. 2010, 259, 1695–1703. [Google Scholar] [CrossRef]
- Liski, J.; Pussinen, A.; Pingoud, K.; Mäkipää, R.; Karjalainen, T. Which rotation length is favourable to carbon sequestration? Can. J. For. Res. 2001, 31, 2004–2013. [Google Scholar] [CrossRef]
- Maquere, V.; Laclau, J.P.; Bernoux, M.; Saint-Andre, L.; Gonçalves, J.L.M.; Cerri, C.C.; Piccolo, M.C.; Ranger, J. Influence of land use (savanna, pasture, Eucalyptus plantations) on soil carbon and nitrogen stocks in Brazil. Eur. J. Soil Sci. 2008, 59, 863–877. [Google Scholar] [CrossRef]
- Don, A.; Schumacher, J.; Freibauer, A. Impact of tropical land-use change on soil organic carbon stocks – a meta-analysis. Glob. Chang. Biol. 2010, 17, 1658–1670. [Google Scholar] [CrossRef]
- Lal, R. Forest soils and carbon sequestration. For. Ecol. Manag. 2005, 220, 242–258. [Google Scholar] [CrossRef]
- Karvonen, J.; Halder, P.; Kangas, J.; Leskinen, P. Indicators and tools for assessing sustainability impacts of the forest bioeconomy. For. Ecosyst. 2017, 4, 2. [Google Scholar] [CrossRef]
- Marasemi, T. Special Issue Information Forest Carbon Inventories and Management. 2019. Available online: https://www.mdpi.com/journal/forests/special_issues/Forest_Carbon_Inventories (accessed on 10 April 2019).
- Lima, A.M.N.; Silva, I.R.; Neves, J.C.L.; Novais, R.F.; Barros, N.F.; Mendonca, E.S.; Smyth, T.J.; Moreira, M.S.; Leite, F.P. Soil organic carbon dynamics following afforestation of degraded pastures with Eucalyptus in southeastern Brazil. For. Ecol. Manag. 2006, 235, 219–231. [Google Scholar] [CrossRef]
- Stape, J.L.; Bincley, D.; Ryan, M.G. Production and carbon allocation in a clonal Eucalyptus plantation with water and nutrient manipulations. For. Ecol. Manag. 2008, 255, 920–930. [Google Scholar] [CrossRef]
- Trugilho, P.F.; Arantes, M.D.C.; Pádua, F.A.; Almado, R.P.; Ana, E.R.B. Estimativa de carbono na madeira de um clone híbrido de Eucalyptus urophylla e Eucalyptus grandis. Cerne 2010, 16, 33–40. [Google Scholar]
- Gatto, A.; Barros, N.F.; Novais, R.F.; Silva, I.R.; Leite, H.G.; Villani, E.M.A. Estoque de carbono na biomassa de plantações de eucalipto na região centro-leste do estado de Minas Gerais. Rev. Árvore 2011, 35, 895–905. [Google Scholar] [CrossRef]
- Silva, C.A.; Klauberg, C.; Carvalho, S.P.C.; Piccolo, M.C.; Rodriguez, L.C.E. Estoque de carbono na biomassa aérea florestal em plantações comerciais de Eucalyptus spp. Sci. For. 2015, 43, 135–146. [Google Scholar]
- Yang, L.; Wang, J.; Huang, Y.; Hui, D.; Wen, M. Effects of the Interception of Litterfall by the Understory on Carbon Cycling in Eucalyptus Plantations of South China. PLoS ONE 2014, 9, e100464. [Google Scholar] [CrossRef] [PubMed]
- Alvares, C.A.; Stape, J.L.; Sentelhas, P.C.; Gonçalves, J.L.M.; Sparovek, G. Köppen’s climate classification map for Brazil. Meteorol. Z. 2013, 22, 711–728. [Google Scholar] [CrossRef]
- Food and Agriculture Organization of the United Nations. World Reference Base for Soil Resources: A Framework for International Classification, Correlation and Communication; FAO: Rome, Italy, 2014; 192p. [Google Scholar]
- Stape, J.L.; Binkley, D.; Ryan, M.G. Eucalyptus production and the supply, use and efficiency of use of water, light and nitrogen across a geographic gradient in Brazil. For. Ecol. Manag. 2004, 193, 17–31. [Google Scholar] [CrossRef]
- SPSS. Statistical Package for the Social Sciences: Programa de Computador, Ambiente Windows; Versão 7.5.1; IBM: Chicago, IL, USA, 1996. [Google Scholar]
- Brown, S. Measuring carbon in forests: current status and future challenges. Environ. Pollut. 2002, 116, 363–372. [Google Scholar] [CrossRef]
- Fahey, T.J.; Woodbury, P.B.; Battles, J.J.; Goodale, C.L.; Hamburg, S.P.; Ollinger, S.V.; Woodall, C.W. Forest carbon storage: Ecology, management, and policy. Front. Ecol. Environ. 2010, 8, 245–252. [Google Scholar] [CrossRef]
- IPCC. Forest Land. In Guidelines for National Greenhouse Gas Inventories. Volume 4: Agriculture, Forestry and Other Land Use; Cambridge University Press: Cambridge, UK; New York, NY, USA, 2006. [Google Scholar]
- Mancini, M.S.; Galli, A.; Niccolucci, V.; Lin, D.; Bastianoni, S.; Wackernagel, M.; Marchettini, N. Ecological Footprint: Refining the carbon Footprint calculation. Ecol. Indic. 2016, 61, 390–403. [Google Scholar] [CrossRef]
- Dallagnol, F.S.; Mognon, F.; Sanquetta, C.R.; Corte, A.P. Teores de carbono de cinco espécies florestais e seus compartimentos. Floresta Ambient. 2011, 18, 410–416. [Google Scholar] [CrossRef]
- Resh, S.C.; Battaglia, M.; Worledge, D.; Ladiges, S. Coarse root biomass for eucalypt plantations in Tasmania, Australia: Sources of variation and methods for assessment. Trees 2003, 17, 389–399. [Google Scholar] [CrossRef]
- Enquist, B.J.; Niklas, K.J. Global allocation rules for patterns of biomass partitioning in seed plants. Science 2002, 295, 1517–1520. [Google Scholar] [CrossRef]
- Tang, G.; Li, K.; Zhang, C.; Gao, C.; Li, B. Accelerated nutrient cycling via leaf litter, and not root interaction, increases growth of Eucalyptus in mixed-species plantations with Leucaena. For. Ecol. Manag. 2013, 310, 45–53. [Google Scholar] [CrossRef]
- Huang, X.; Liu, S.; Wang, H.; Hu, Z.; Li, Z.; You, Y. Changes of soil microbial biomass carbon and community composition through mixing nitrogen-fixing species with Eucalyptus urophylla in subtropical China. Soil Biol. Biochem. 2014, 73, 42–48. [Google Scholar] [CrossRef]
- Schumacher, M.V.; Witschoreck, R. Inventário de Carbono em Povoamentos de Eucalypus spp nas Propriedades fumageiras do sul do Brasil: “Um Estudo de caso”. In Fixação de Carbono: Atualidades, Projetos e Pesquisas; Sanquetta, C.R., Balbinot, R., Ziliotto, M.A.B., Eds.; AM Impressos: Curitiba, Brazil, 2004; pp. 111–124. [Google Scholar]
- Gatto, A.; Barros, N.F.; Novais, R.F.; Silva, I.R.; Leite, H.G.; Leite, F.P.; Villani, E.M.A. Estoques de carbono no solo e na biomassa em plantações de eucalipto. R. Bras. Ci. Solo 2010, 34, 1069–1079. [Google Scholar] [CrossRef]
- Pérez-Cruzado, C.; Mansilla, P.; Rodríguez-Soalleiro, R.; Merino, A. Influence of tree species on carbon sequestration in afforested pastures in a humid temperate region. Plant Soil 2002, 353, 333–353. [Google Scholar] [CrossRef]
- Kirschbaum, M.U.F.; Guo, L.B.; Gifford, R.M. Why does rainfall affect the trend in soil carbon after converting pastures to forests? A possible explanation based on nitrogen dynamics. For. Ecol. Manag. 2008, 255, 2990–3000. [Google Scholar] [CrossRef]
- De Koning, G.H.J.; Veldkamp, E.; López-Ulloa, M. Quantification of carbon sequestration in soils following pasture to forest conversion in northwestern Ecuador. Glob. Biogeochem. Cycles 2003, 17, 1098. [Google Scholar] [CrossRef]
- Madeira, M.V.; Fabião, A.; Pereira, J.S.; Araújo, M.C.; Ribeiro, C. Changes in carbon stocks in Eucalyptus globulus Labill, plantations induced by different water and nutrient availability. For. Ecol. Manag. 2002, 171, 75–85. [Google Scholar] [CrossRef]
- Keith, H.; MacKey, B.G.; Lindenmayer, D.B. Re-evaluation of forest biomass carbon stocks and lessons from the world’s most carbon-dense forests. Proc. Natl. Acad. Sci. 2009, 106, 11635–11640. [Google Scholar] [CrossRef]
- Canadell, J.G.; Raupach, M.R. Managing forests for climate change mitigation. Science 2008, 320, 1456–1457. [Google Scholar] [CrossRef]



| Depth (cm) | O.M. | N | pH (H2O) | Ca | Mg | Al | Na | CECeffect. | BS | |
| (%) | cmolc dm−3 | % | ||||||||
| 0–25 | 2.46 | 0.08 | 4.64 | 0.34 | 0.41 | 4.13 | 0.28 | 7.47 | 20.68 | |
| 25–50 | 1.94 | 0.07 | 4.73 | 0.25 | 0.42 | 5.38 | 0.25 | 6.09 | 21.56 | |
| 50–75 | 0.90 | 0.03 | 4.81 | 0.24 | 0.38 | 4.83 | 0.22 | 4.72 | 23.78 | |
| 75–100 | 0.48 | 0.02 | 4.87 | 0.24 | 0.30 | 4.45 | 0.30 | 8.02 | 18.53 | |
| Depth (cm) | P | K | Sand | Silt | Clay | Micro Porosity | Macro Porosity | Total Porosity | SD | PD |
| ppm | % | % | g cm−3 | |||||||
| 0–25 | 1.32 | 52.10 | 46.2 | 11.6 | 42.2 | 18.06 | 30.17 | 48.23 | 1.41 | 2.74 |
| 25–50 | 0.64 | 54.07 | 23.5 | 13.8 | 62.7 | 36.16 | 16.45 | 52.62 | 1.33 | 2.81 |
| 50–75 | 0.61 | 40.34 | 29.8 | 19.4 | 50.8 | 36.79 | 15.00 | 51.79 | 1.37 | 2.84 |
| 75–100 | 0.51 | 25.89 | 49.9 | 25.7 | 24.4 | 36.91 | 11.63 | 48.54 | 1.46 | 2.84 |
| Variables | n (trees plot−1) | N (trees ha−1) | Basal Area (m2 ha−1) | DBH (cm) | H (m) | V (m3 ha−1) | LAI (m2 m−2) |
|---|---|---|---|---|---|---|---|
| µ | 73 | 1043 | 34.56 | 20.2 | 28.7 | 366.9 | 2.55 |
| σ | 3.0 | 42.9 | 2.61 | 4.1 | 2.6 | 36.2 | 0.15 |
| Component | Equation | Prob > F | R2 ajd. | Syx |
|---|---|---|---|---|
| Wood | Ln Cw = −5.265 + 1.043 ln(DBH2 × H) | <0.001 | 0.996 | 0.0547 |
| Bark | Ln Cb = −4.855 + 2.299 lnDBH | <0.001 | 0.965 | 0.1417 |
| Branches | Ln Cbr = −20.953 + 18.396 × (DBH × H−1) + 6.624 × (H × DBH−1) | <0.001 | 0.906 | 0.1042 |
| Leaves | Ln Cl = −0.446 + 0.075 × (DBH2 × H−1) | <0.001 | 0.859 | 0.1502 |
| Components | Carbon Concentration (%) | Carbon Amount (Mg ha−1) | |||||
|---|---|---|---|---|---|---|---|
| µ | Lower | Higher | σ | µ | σ | ||
| Eucalyptus | Wood | 49.52 c | 48.64 | 49.93 | 0.32 | 103.40 (87.3) | 10.56 |
| Bark | 45.45 d | 43.88 | 46.23 | 0.71 | 8.57 (7.2) | 0.76 | |
| Branches | 50.41 b | 49.60 | 50.89 | 0.40 | 4.46 (3.8) | 0.35 | |
| Leaves | 55.66 a | 54.48 | 56.78 | 0.57 | 2.02 (1.7) | 0.13 | |
| Total | -- | -- | -- | -- | 118.45 (100) | 11.79 | |
| Understory | Leaves | 51.38 | 49.78 | 52.26 | 0.97 | 0.18 (12.7) | 0.22 |
| Stem | 50.02 | 48.71 | 51.09 | 0.86 | 1.26 (87.3) | 1.35 | |
| Total | -- | -- | -- | -- | 1.44 (100) | 1.47 | |
| Litter | 50 * | -- | -- | -- | 8.34 (100) | 1.75 | |
| Fine roots (<2 mm) | 0–25 cm | 47.68 a | 46.98 | 48.47 | 0.75 | 0.34 (69.9) | 0.01 |
| 25–50 cm | 46.31 ab | 44.72 | 47.37 | 1.40 | 0.09 (18.3) | 0.04 | |
| 50–75 cm | 44.56 b | 43.91 | 45.74 | 1.02 | 0.032 (6.5) | 0.01 | |
| 75–100 cm | 44.52 b | 43.41 | 45.09 | 0.96 | 0.026 (5.3) | 0.02 | |
| 0–100 cm | -- | -- | -- | -- | 0.48 (100) | 0.14 | |
| Medium roots (2–5 mm) | 0–25 cm | 46.30 | 44.91 | 47.28 | 1.24 | 0.22 (75.8) | 0.09 |
| 25–50 cm | 45.45 | 44.18 | 46.72 | 1.27 | 0.04 (13.4) | 0.03 | |
| 50–75 cm | 45.48 | -- | -- | -- | 0.02 (7.5) | 0.02 | |
| 75–100 cm | 45.48 | -- | -- | -- | 0.01 (3.4) | 0.02 | |
| 0–100 cm | -- | -- | -- | -- | 0.29 (100) | 0.13 | |
| Medium roots (5–10 mm) | 0–100 cm | 47.24 | 46.58 | 47.90 | 0.66 | 0.17 | 0.12 |
| Coarse roots (>10 mm) | 0–100 cm | 47.24 | 29.11 | 2.98 | |||
| Soil | 0–25 cm | 1.23 a | 0.80 | 1.76 | 0.32 | 43.1 (43.2) | 10.0 |
| 25–50 cm | 0.97 b | 0.81 | 1.20 | 0.10 | 32.2 (32.3) | 3.9 | |
| 50–75 cm | 0.45 c | 0.21 | 0.70 | 0.14 | 15.5 (15.5) | 5.4 | |
| 75–100 cm | 0.24 d | 0.12 | 0.41 | 0.10 | 8.9 (8.9) | 4.4 | |
| 0–100 cm | -- | -- | -- | -- | 99.7 (100) | 12.1 | |
| Aboveground | -- | -- | -- | -- | 128.2 (49.7) | -- | |
| Belowground | -- | -- | -- | -- | 129.8 (50.3) | -- | |
| Total | -- | -- | -- | -- | 258.0 (100) | -- | |
© 2019 by the authors. Licensee MDPI, Basel, Switzerland. This article is an open access article distributed under the terms and conditions of the Creative Commons Attribution (CC BY) license (http://creativecommons.org/licenses/by/4.0/).
Share and Cite
Viera, M.; Rodríguez-Soalleiro, R. A Complete Assessment of Carbon Stocks in Above and Belowground Biomass Components of a Hybrid Eucalyptus Plantation in Southern Brazil. Forests 2019, 10, 536. https://doi.org/10.3390/f10070536
Viera M, Rodríguez-Soalleiro R. A Complete Assessment of Carbon Stocks in Above and Belowground Biomass Components of a Hybrid Eucalyptus Plantation in Southern Brazil. Forests. 2019; 10(7):536. https://doi.org/10.3390/f10070536
Chicago/Turabian StyleViera, Márcio, and Roque Rodríguez-Soalleiro. 2019. "A Complete Assessment of Carbon Stocks in Above and Belowground Biomass Components of a Hybrid Eucalyptus Plantation in Southern Brazil" Forests 10, no. 7: 536. https://doi.org/10.3390/f10070536
APA StyleViera, M., & Rodríguez-Soalleiro, R. (2019). A Complete Assessment of Carbon Stocks in Above and Belowground Biomass Components of a Hybrid Eucalyptus Plantation in Southern Brazil. Forests, 10(7), 536. https://doi.org/10.3390/f10070536

