Contribution Analysis of the Spatial-Temporal Changes in Streamflow in a Typical Elevation Transitional Watershed of Southwest China over the Past Six Decades
Abstract
1. Introduction
2. Study Area and Data
3. Methodology
3.1. Framework of Analysis
3.2. Trend and Abrupt Change Detection
3.3. Sensitivity of Runoff Based on the Mezentsev–Choudhury–Yang Equation
3.4. Contributions of Climate Change and Catchment Characteristics to Runoff
4. Results
4.1. Temporal-Spatial Alterations of the Hydrometeorological Variables
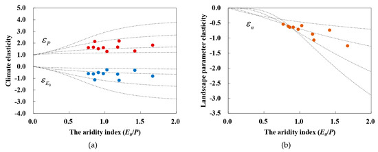
4.2. Sensitivity of Streamflow Alterations to P, E0, and n
4.3. Spatial-Temporal Variations of Contributions of Driving factors to Streamflow Alteration
5. Discussion
5.1. The Possible Reason for the Temporal-Spatial Heterogeneities
5.2. The Synergistic Effects of the Two Driver Factors on Contribution Analyses
6. Conclusions
Author Contributions
Funding
Acknowledgments
Conflicts of Interest
References
- Milly, P.C.; Dunne, K.A.; Vecchia, A.V. Global pattern of trends in streamflow and water availability in a changing climate. Nature 2005, 438, 347–350. [Google Scholar] [CrossRef] [PubMed]
- Cuo, L.; Beyene, T.K.; Voisin, N.; Su, F.; Lettenmaier, D.P.; Alberti, M.; Richey, J.E. Effects of mid-twenty-first century climate and land cover change on the hydrology of the Puget Sound Basin, washington. Hydrol. Process. 2011, 25, 1729–1753. [Google Scholar] [CrossRef]
- van Roosmalen, L.; Sonnenborg, T.O.; Jensen, K.H. Impact of climate and land use change on the hydrology of a large-scale agricultural catchment. Water Resour. Res. 2009, 45. [Google Scholar] [CrossRef]
- Sterling, S.M.; Ducharne, A.; Polcher, J. The impact of global land-cover change on the terrestrial water cycle. Nat. Clim. Chang. 2012, 3, 385–390. [Google Scholar] [CrossRef]
- Carvalho-Santos, C.; Nunes, J.P.; Monteiro, A.T.; Hein, L.; Honrado, J.P. Assessing the effects of land cover and future climate conditions on the provision of hydrological services in a medium-sized watershed of Portugal. Hydrol. Process. 2016, 30, 720–738. [Google Scholar] [CrossRef]
- Serpa, D.; Nunes, J.P.; Santos, J.; Sampaio, E.; Jacinto, R.; Veiga, S.; Lima, J.C.; Moreira, M.; Corte-Real, J.; Keizer, J.J.; et al. Impacts of climate and land use changes on the hydrological and erosion processes of two contrasting Mediterranean catchments. Sci. Total Environ. 2015, 538, 64–77. [Google Scholar] [CrossRef]
- Buendia, C.; Batalla, R.J.; Sabater, S.; Palau, A.; Marcé, R. Runoff trends driven by climate and afforestation in a Pyrenean basin. Land Degrad. Dev. 2016, 27, 823–838. [Google Scholar] [CrossRef]
- Napoli, M.; Massetti, L.; Orlandini, S. Hydrological response to land use and climate changes in a rural hilly basin in Italy. Catena 2017, 157, 1–11. [Google Scholar] [CrossRef]
- Wu, J.; Miao, C.; Wang, Y.; Duan, Q.; Zhang, X. Contribution analysis of the long-term changes in seasonal runoff on the loess plateau, china, using eight Budyko-based methods. J. Hydrol. 2017, 545, 263–275. [Google Scholar] [CrossRef]
- Bronstert, A.; Niehoff, D.; Bürger, G. Effects of climate and land-use change on storm runoff generation: Present knowledge and modelling capabilities. Hydrol. Process. 2002, 16, 509–529. [Google Scholar] [CrossRef]
- IPCC. Climate Change 2014—Impacts, Adaptation and Vulnerability: Regional Aspects; Cambridge University Press: Cambridge, UK, 2014. [Google Scholar]
- Ali, S.; Sethy, B.K.; Singh, R.K.; Parandiyal, A.K.; Kumar, A. Quantification of hydrologic response of staggered contour trenching for Horti-pastoral land use system in small ravine watersheds: A paired watershed approach. Land Degrad. Dev. 2017, 28, 1237–1252. [Google Scholar] [CrossRef]
- King, K.W.; Smiley, P.C.; Baker, B.J.; Fausey, N.R. Validation of paired watersheds for assessing conservation practices in the upper big Walnut Creek Watershed, Ohio. J. Soil Water Conserv. 2008, 63, 380–395. [Google Scholar] [CrossRef]
- Miller, E.L. Sediment yield and storm flow response to clear-cut harvest and site preparation in the Ouachita mountains. Water Resour. Res. 1984, 20, 471–475. [Google Scholar] [CrossRef]
- Clausen, J.C.; Jokela, W.E.; Potter, F.I.; Williams, J.W. Paired watershed comparison of tillage effects on runoff, sediment, and pesticide losses. J. Environ. Qual. 1996, 25, 1000–1007. [Google Scholar] [CrossRef]
- Worqlul, A.W.; Ayana, E.K.; Yen, H.; Jeong, J.; Macalister, C.; Taylor, R.; Gerik, T.J.; Steenhuis, T.S. Evaluating hydrologic responses to soil characteristics using swat model in a paired-watersheds in the upper blue Nile basin. Catena 2018, 163, 332–341. [Google Scholar] [CrossRef]
- Hayashi, S.; Murakami, S.; Xu, K.Q.; Watanabe, M. Simulation of the reduction of runoff and sediment load resulting from the gain for green program in the Jialingjiang catchment, upper region of the Yangtze river, china. J. Environ. Manag. 2015, 149, 126–137. [Google Scholar] [CrossRef]
- Marhaento, H.; Booij, M.J.; Rientjes, T.H.M.; Hoekstra, A.Y. Attribution of changes in the water balance of a tropical catchment to land use change using the swat model. Hydrol. Process. 2017, 31, 2029–2040. [Google Scholar] [CrossRef]
- Dams, J.; Nossent, J.; Senbeta, T.B.; Willems, P.; Batelaan, O. Multi-model approach to assess the impact of climate change on runoff. J. Hydrol. 2015, 529, 1601–1616. [Google Scholar] [CrossRef]
- Séguis, L.; Cappelaere, B.; Milési, G.; Peugeot, C.; Massuel, S.; Favreau, G. Simulated impacts of climate change and land-clearing on runoff from a small Sahelian catchment. Hydrol. Process. 2004, 18, 3401–3413. [Google Scholar] [CrossRef]
- Lørup, J.K.; Refsgaard, J.C.; Mazvimavi, D. Assessing the effect of land use change on catchment runoff by combined use of statistical tests and hydrological modelling: Case studies from Zimbabwe. J. Hydrol. 1998, 205, 147–163. [Google Scholar] [CrossRef]
- Karl, T.R.; Riebsame, W.E. The impact of decadal fluctuations in mean precipitation and temperature on runoff: A sensitivity study over the United States. Clim. Chang. 1989, 15, 423–447. [Google Scholar] [CrossRef]
- Siriwardena, L.; Finlayson, B.L.; McMahon, T.A. The impact of land use change on catchment hydrology in large catchments: The Comet river, Central Queensland, Australia. J. Hydrol. 2006, 326, 199–214. [Google Scholar] [CrossRef]
- Webb, A.A.; Kathuria, A. Response of streamflow to afforestation and thinning at red hill, Murray Darling Basin, Australia. J. Hydrol. 2012, 412–413, 133–140. [Google Scholar] [CrossRef]
- Gao, P.; Li, P.; Zhao, B.; Xu, R.; Zhao, G.; Sun, W.; Mu, X. Use of double mass curves in hydrologic benefit evaluations. Hydrol. Process. 2017, 31, 4639–4646. [Google Scholar] [CrossRef]
- Budyko, M. Climate and Life; Academic Press: New York, NY, USA, 1974; 508p. [Google Scholar]
- Fu, B. On the calculation of the evaporation from land surface. Sci. Atmos. Sin. 1981, 5, 23–31. [Google Scholar]
- Schaake, J.C. From climate to flow. Clim. Chang. US Water Resour. 1990, 177–206. [Google Scholar]
- Mezentsev, V. More on the calculation of average total evaporation. Meteorol. Gidrol. 1955, 5. [Google Scholar]
- Choudhury, B. Evaluation of an empirical equation for annual evaporation using field observations and results from a biophysical model. J. Hydrol. 1999, 216, 99–110. [Google Scholar] [CrossRef]
- Yang, H.; Yang, D.; Lei, Z.; Sun, F. New analytical derivation of the mean annual water-energy balance equation. Water Resour. Res. 2008, 44. [Google Scholar] [CrossRef]
- Zhang, L.; Dawes, W.R.; Walker, G.R. Response of mean annual evapotranspiration to vegetation changes at catchment scale. Water Resour. Res. 2001, 37, 701–708. [Google Scholar] [CrossRef]
- Zhou, G.; Wei, X.; Chen, X.; Zhou, P.; Liu, X.; Xiao, Y.; Sun, G.; Scott, D.F.; Zhou, S.; Han, L. Global pattern for the effect of climate and land cover on water yield. Nat. Commun. 2015, 6, 5918. [Google Scholar] [CrossRef] [PubMed]
- Shen, Q.; Cong, Z.; Lei, H. Evaluating the impact of climate and underlying surface change on runoff within the Budyko framework: A study across 224 catchments in China. J. Hydrol. 2017, 554, 251–262. [Google Scholar] [CrossRef]
- Luo, K.; Tao, F.; Moiwo, J.P.; Xiao, D. Attribution of hydrological change in Heihe river basin to climate and land use change in the past three decades. Sci. Rep. 2016, 6, 33704. [Google Scholar] [CrossRef] [PubMed]
- Ahn, K.-H.; Merwade, V. Quantifying the relative impact of climate and human activities on streamflow. J. Hydrol. 2014, 515, 257–266. [Google Scholar] [CrossRef]
- Li, Z.; Ning, T.; Li, J.; Yang, D. Spatiotemporal variation in the attribution of streamflow changes in a catchment on China’s Loess Plateau. Catena 2017, 158, 1–8. [Google Scholar] [CrossRef]
- Yang, D.; Sun, F.; Liu, Z.; Cong, Z.; Ni, G.; Lei, Z. Analyzing spatial and temporal variability of annual water-energy balance in nonhumid regions of china using the Budyko hypothesis. Water Resour. Res. 2007, 43. [Google Scholar] [CrossRef]
- Yang, H.; Qi, J.; Xu, X.; Yang, D.; Lv, H. The regional variation in climate elasticity and climate contribution to runoff across china. J. Hydrol. 2014, 517, 607–616. [Google Scholar] [CrossRef]
- Ye, X.; Qi, Z.; Jian, L.; Li, X.; Xu, C. Distinguishing the relative impacts of climate change and human activities on variation of streamflow in the Poyang lake catchment, china. J. Hydrol. 2013, 494, 83–95. [Google Scholar] [CrossRef]
- Ouyang, L.; Liu, S.; Ye, J.; Liu, Z.; Sheng, F.; Wang, R.; Lu, Z. Quantitative assessment of surface runoff and base flow response to multiple factors in Pengchongjian small watershed. Forests 2018, 9, 553. [Google Scholar] [CrossRef]
- Wang, W.; Zou, S.; Shao, Q.; Xing, W.; Chen, X.; Jiao, X.; Luo, Y.; Yong, B.; Yu, Z. The analytical derivation of multiple elasticities of runoff to climate change and catchment characteristics alteration. J. Hydrol. 2016, 541, 1042–1056. [Google Scholar] [CrossRef]
- Merz, R.; Blöschl, G.; Parajka, J. Spatio-temporal variability of event runoff coefficients. J. Hydrol. 2006, 331, 591–604. [Google Scholar] [CrossRef]
- Kuraś, P.K.; Weiler, M.; Alila, Y. The spatiotemporal variability of runoff generation and groundwater dynamics in a snow-dominated catchment. J. Hydrol. 2008, 352, 50–66. [Google Scholar] [CrossRef]
- Zhao, G.; Mu, X.; Jiao, J.; An, Z.; Klik, A.; Wang, F.; Jiao, F.; Yue, X.; Gao, P.; Sun, W. Evidence and causes of spatiotemporal changes in runoff and sediment yield on the Chinese loess plateau. Land Degrad. Dev. 2017, 28, 579–590. [Google Scholar] [CrossRef]
- Yan, Y.; Wang, S.; Chen, J. Spatial patterns of scale effect on specific sediment yield in the Yangtze River basin. Geomorphology 2011, 130, 29–39. [Google Scholar] [CrossRef]
- Chen, J.; Wu, X.; Finlayson, B.L.; Webber, M.; Wei, T.; Li, M.; Chen, Z. Variability and trend in the hydrology of the Yangtze River, china: Annual precipitation and runoff. J. Hydrol. 2014, 513, 403–412. [Google Scholar] [CrossRef]
- Chen, J.; Finlayson, B.L.; Wei, T.; Sun, Q.; Webber, M.; Li, M.; Chen, Z. Changes in monthly flows in the Yangtze River, china–with special reference to the three gorges dam. J. Hydrol. 2016, 536, 293–301. [Google Scholar] [CrossRef]
- Kundu, S.; Khare, D.; Mondal, A. Individual and combined impacts of future climate and land use changes on the water balance. Ecol. Eng. 2017, 105, 42–57. [Google Scholar] [CrossRef]
- Zhou, S.; Yu, B.; Zhang, L.; Huang, Y.; Pan, M.; Wang, G. A new method to partition climate and catchment effect on the mean annual runoff based on the Budyko complementary relationship. Water Resour. Res. 2016, 52, 7163–7177. [Google Scholar] [CrossRef]
- Mann, H.B. Nonparametric tests against trend. Econom. J. Econom. Soc. 1945, 245–259. [Google Scholar] [CrossRef]
- Kendall, M. Rank Correlation Measures [m]; Charles Griffin: London, UK.
- Sen, P.K. Estimates of the regression coefficient based on Kendall’s tau. J. Am. Stat. Assoc. 1968, 63, 1379–1389. [Google Scholar] [CrossRef]
- Theil, H. A Rank-Invariant Method of Linear and Polynomial Regression Analysis. In Henri Theil’S Contributions to Economics and Econometrics; Springer: Dordrecht, Netherlands, 1992; pp. 345–381. [Google Scholar]
- Pettitt, A. A non-parametric approach to the change-point problem. Appl. Stat. 1979, 126–135. [Google Scholar] [CrossRef]
- Eagleson, P.S. Climate, soil, and vegetation: 1. Introduction to water balance dynamics. Water Resour. Res. 1978, 14, 705–712. [Google Scholar] [CrossRef]
- Liang, W.; Bai, D.; Wang, F.; Fu, B.; Yan, J.; Wang, S.; Yang, Y.; Long, D.; Feng, M. Quantifying the impacts of climate change and ecological restoration on streamflow changes based on a Budyko hydrological model in China’s Loess Plateau. Water Resour. Res. 2015, 51, 6500–6519. [Google Scholar] [CrossRef]
- Eagleson, P.S. Climate, soil, and vegetation: 7. A derived distribution of annual water yield. Water Resour. Res. 1978, 14, 765–776. [Google Scholar] [CrossRef]
- Allen, R.G.; Pereira, L.S.; Raes, D.; Smith, M. Crop evapotranspiration-guidelines for computing crop water requirements-FAO irrigation and drainage paper 56. FAO Rome 1998, 300, D05109. [Google Scholar]
- Donohue, R.J.; Roderick, M.L.; McVicar, T.R. Can dynamic vegetation information improve the accuracy of budyko’s hydrological model? J. Hydrol. 2010, 390, 23–34. [Google Scholar] [CrossRef]
- Zhou, S.; Yu, B.; Huang, Y.; Wang, G. The complementary relationship and generation of the Budyko functions. Geophys. Res. Lett. 2015, 42, 1781–1790. [Google Scholar] [CrossRef]
- Tan, X.; Gan, T.Y. Contribution of human and climate change impacts to changes in streamflow of Canada. Sci. Rep. 2015, 5, 17767. [Google Scholar] [CrossRef] [PubMed]
- Cristea, N.C.; Lundquist, J.D.; Loheide, S.P.; Lowry, C.S.; Moore, C.E. Modelling how vegetation cover affects climate change impacts on streamflow timing and magnitude in the snowmelt-dominated upper Tuolumne basin, Sierra Nevada. Hydrol. Process. 2014, 28, 3896–3918. [Google Scholar] [CrossRef]
- Peel, M.C.; McMahon, T.A.; Finlayson, B.L.; Watson, F.G.R. Implications of the relationship between catchment vegetation type and the variability of annual runoff. Hydrol. Process. 2002, 16, 2995–3002. [Google Scholar] [CrossRef]
- Grace, J.B. Structural Equation Modeling and Natural Systems; Cambridge University Press: Cambridge, UK, 2006. [Google Scholar]
- Malaeb, Z.A.; Summers, J.K.; Pugesek, B.H. Using structural equation modeling to investigate relationships among ecological variables. Environ. Ecol. Stat. 2000, 7, 93–111. [Google Scholar] [CrossRef]







| Region | Period of R | Z Statistics | Slope (β) | Trend | ||||||
|---|---|---|---|---|---|---|---|---|---|---|
| P | E0 | R | P | E0 | R | P | E0 | R | ||
| TJB | 1960–2009 | −1.446 | 3.268 | −1.33 | −0.993 | 1.339 | −0.676 | ↓ * | ↑ *** | ↓ * |
| LY | 1960–2000 | −1.458 | 0.972 | −2.527 | −1.372 | 0.329 | −3.272 | ↓ * | ↑ ns | ↓ *** |
| SLB | 1960–2000 | −0.51 | 3.827 | −2.819 | −0.313 | 1.11 | −3.67 | ↓ ns | ↑ *** | ↓ *** |
| TZK | 1960–2000 | −0.753 | 0.049 | −2.662 | −0.743 | 0.022 | −10.979 | ↓ ns | ↑ ns | ↓ *** |
| XHB | 1954–2015 | −1.98 | 0.194 | −3.098 | −1.772 | 0.077 | −2.512 | ↓ ** | ↑ ns | ↓ *** |
| WS | 1960–2000 | 0.109 | −2.284 | 0.461 | 0.218 | −0.71 | 1.353 | ↑ ns | ↓ ** | ↑ ns |
| LDX | 1954–2015 | 1.106 | −2.017 | −0.753 | 1.573 | −0.597 | −0.891 | ↑ ns | ↓ ** | ↓ ns |
| BB | 1954–2015 | 1.628 | −2.77 | 3.086 | 1.908 | −1.101 | 5.951 | ↑ * | ↓ *** | ↑ *** |
| MRW | 1954–2015 | −0.826 | 1.859 | −1.664 | −0.548 | 0.468 | −1.133 | ↓ ns | ↑ * | ↓ * |
| JRW | 1954–2015 | −0.194 | 0.207 | −2.831 | −0.172 | 0.066 | −1.868 | ↓ ns | ↑ ns | ↓ *** |
| Region | Period | Drainage Area (km2) | Annual E0 (mm) | Annual P (mm) | Annual R (mm) | E0/P | R/P | n | Elasticity of Runoff | ||
|---|---|---|---|---|---|---|---|---|---|---|---|
| TJB | 1960–2009 | 9535 | 935.33 | 559.42 | 166.55 | 1.67 | 0.3 | 1.21 | 1.82 | −0.82 | −1.26 |
| LY | 1960–2000 | 9671 | 901.47 | 753.39 | 197.33 | 1.2 | 0.26 | 1.79 | 2.18 | −1.18 | −1.07 |
| SLB | 1960–2000 | 29,273 | 873.49 | 615.14 | 354.55 | 1.42 | 0.58 | 0.68 | 1.32 | −0.32 | −0.74 |
| TZK | 1960–2000 | 12,610 | 914.99 | 892.22 | 562.68 | 1.03 | 0.63 | 0.69 | 1.29 | −0.29 | −0.59 |
| XHB | 1954–2015 | 28,901 | 869.07 | 957.09 | 482.94 | 0.91 | 0.5 | 1.06 | 1.52 | −0.52 | −0.64 |
| WS | 1960–2000 | 18,625 | 882.56 | 1026.9 | 346.24 | 0.86 | 0.34 | 2.1 | 2.14 | −1.14 | −0.64 |
| LDX | 1954–2015 | 38,064 | 894.44 | 1159.14 | 567.5 | 0.77 | 0.49 | 1.3 | 1.61 | −0.61 | −0.54 |
| BB | 1954–2015 | 10,057 | 873.09 | 1037.54 | 483.87 | 0.84 | 0.47 | 1.29 | 1.64 | −0.64 | −0.61 |
| MRW | 1954–2015 | 79,714 | 901.63 | 766.79 | 313.76 | 1.18 | 0.41 | 1.15 | 1.65 | −0.65 | −0.87 |
| JRW | 1954–2015 | 156,736 | 892.53 | 912.8 | 415.78 | 0.98 | 0.46 | 1.16 | 1.61 | −0.61 | −0.71 |
| Region | Period | R | P | E0 | ΔR | ΔP | ΔE0 | |||||
|---|---|---|---|---|---|---|---|---|---|---|---|---|
| (mm) | (mm) | (mm) | (mm) | (mm) | (mm) | (mm) | (mm) | (mm) | % | % | ||
| TJB | 1960–1979 | 169.96 | 576.67 | 939.45 | — | — | — | — | — | — | — | — |
| 1980–2009 | 164.28 | 546.96 | 931.64 | −5.68 | −29.71 | −7.81 | −16.14 | 1.19 | 9.3 | 263.85 | −163.85 | |
| LY | 1960–1979 | 211.42 | 782.72 | 919.85 | — | — | — | — | — | — | — | — |
| 1980–2000 | 183.92 | 722.34 | 883.72 | −27.51 | −60.38 | −36.13 | −35.21 | 9.62 | −2.31 | 91.61 | 8.39 | |
| SLB | 1960–1979 | 378.91 | 624.58 | 880.02 | — | — | — | — | — | — | — | — |
| 1980–2000 | 331.35 | 604.99 | 866.11 | −47.56 | −19.58 | −13.91 | −15.31 | 1.73 | −34.43 | 27.6 | 72.4 | |
| TZK | 1960–1979 | 697.21 | 929.4 | 940.32 | — | — | — | — | — | — | — | — |
| 1980–2000 | 434.56 | 850.89 | 889.94 | −262.65 | −78.52 | −50.38 | −68.68 | 6.2 | −207.72 | 20.91 | 79.09 | |
| XHB | 1954–1979 | 519.8 | 988.03 | 875.7 | — | — | — | — | — | — | — | — |
| 1980–2015 | 456.31 | 934.75 | 864.27 | −63.48 | −53.28 | −11.43 | −41.43 | 3.24 | −25.92 | 59.16 | 40.84 | |
| WS | 1960–1979 | 309.06 | 1040.59 | 913.56 | — | — | — | — | — | — | — | — |
| 1980–2000 | 381.65 | 1008.59 | 852.6 | 72.59 | −32.01 | −60.96 | −22.54 | 28.28 | 68.61 | 5.48 | 94.52 | |
| LDX | 1954–1979 | 559.68 | 1133.05 | 921.36 | — | — | — | — | — | — | — | — |
| 1980–2015 | 573.14 | 1177.97 | 875 | 13.46 | 44.92 | −46.37 | 34.97 | 16.23 | −39.63 | 394.29 | −294.29 | |
| BB | 1964–1979 | 394.62 | 1042.61 | 905.98 | — | — | — | — | — | — | — | — |
| 1980–2015 | 548.32 | 1063.42 | 858.21 | 153.7 | 20.81 | −47.77 | 15.12 | 19.15 | 120.34 | 21.7 | 78.3 | |
| MRW | 1954–1979 | 340.57 | 784.21 | 906.94 | — | — | — | — | — | — | — | — |
| 1980–2015 | 294.39 | 754.22 | 897.8 | −46.17 | −29.99 | −9.13 | −20.84 | 2.06 | −27.88 | 39.61 | 60.39 | |
| JRW | 1954–1979 | 426.21 | 920.47 | 904.63 | — | — | — | — | — | — | — | — |
| 1980–2015 | 408.24 | 907.26 | 883.79 | −17.97 | −13.21 | −20.83 | −9.7 | 5.75 | −14.16 | 21.19 | 78.81 |
| Region | (Post-Impact Period-2) | (Post-Impact Period-3) | Initial Master Factor | Change of Master Factor |
|---|---|---|---|---|
| TJB | 1:2.04 | 5.18:1 | Catchment properties | ↓ |
| XHB | 1.79:−1 | 1.03:1 | Climate | ↓ |
| LDX | 1.48:1 | −1:1.79 | Climate | ↓ |
| BB | 1:12.48 | 1: 5.00 | Catchment properties | ↓ |
| MRW | −1:4.50 | 1:2.01 | Catchment properties | ↓ |
| JRW | 1:4.01 | 1:3.77 | Catchment properties | ↓ |
© 2019 by the authors. Licensee MDPI, Basel, Switzerland. This article is an open access article distributed under the terms and conditions of the Creative Commons Attribution (CC BY) license (http://creativecommons.org/licenses/by/4.0/).
Share and Cite
Meng, C.; Zhang, H.; Wang, Y.; Wang, Y.; Li, J.; Li, M. Contribution Analysis of the Spatial-Temporal Changes in Streamflow in a Typical Elevation Transitional Watershed of Southwest China over the Past Six Decades. Forests 2019, 10, 495. https://doi.org/10.3390/f10060495
Meng C, Zhang H, Wang Y, Wang Y, Li J, Li M. Contribution Analysis of the Spatial-Temporal Changes in Streamflow in a Typical Elevation Transitional Watershed of Southwest China over the Past Six Decades. Forests. 2019; 10(6):495. https://doi.org/10.3390/f10060495
Chicago/Turabian StyleMeng, Chengcheng, Huilan Zhang, Yujie Wang, Yunqi Wang, Jian Li, and Ming Li. 2019. "Contribution Analysis of the Spatial-Temporal Changes in Streamflow in a Typical Elevation Transitional Watershed of Southwest China over the Past Six Decades" Forests 10, no. 6: 495. https://doi.org/10.3390/f10060495
APA StyleMeng, C., Zhang, H., Wang, Y., Wang, Y., Li, J., & Li, M. (2019). Contribution Analysis of the Spatial-Temporal Changes in Streamflow in a Typical Elevation Transitional Watershed of Southwest China over the Past Six Decades. Forests, 10(6), 495. https://doi.org/10.3390/f10060495
