Changes in Soil Hydro-Physical Properties and SOM Due to Pine Afforestation and Grazing in Andean Environments Cannot Be Generalized
Abstract
1. Introduction
2. Materials and Methods
2.1. Study Area
2.2. Selection and Implementation of Study Sites
2.3. Soil Properties Characterization
2.4. Laboratory Analyses
2.5. Statistical Analyses
3. Results
3.1. General Description of the Experimental Sites
3.2. Soil Properties in Undisturbed Natural Cover Sites
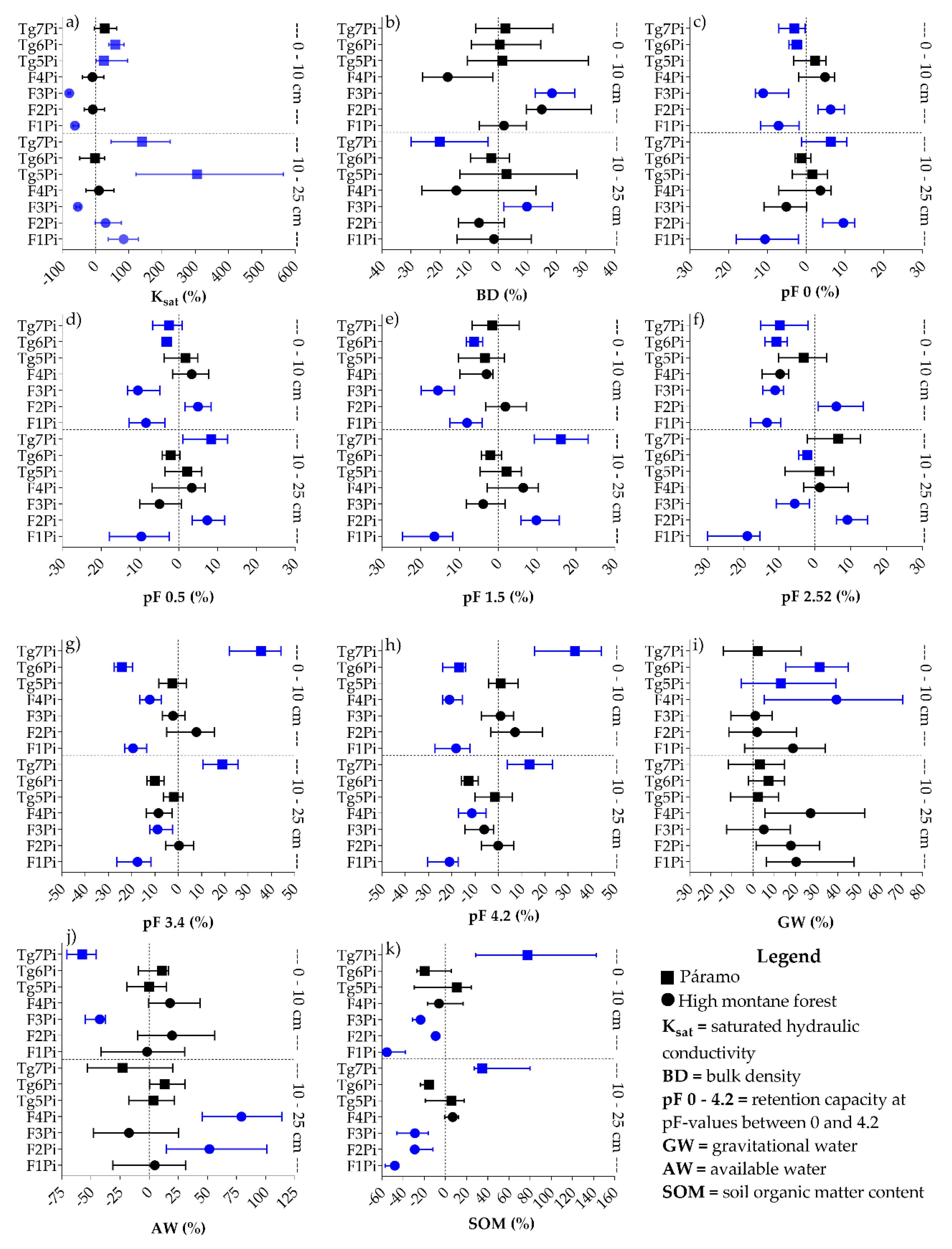
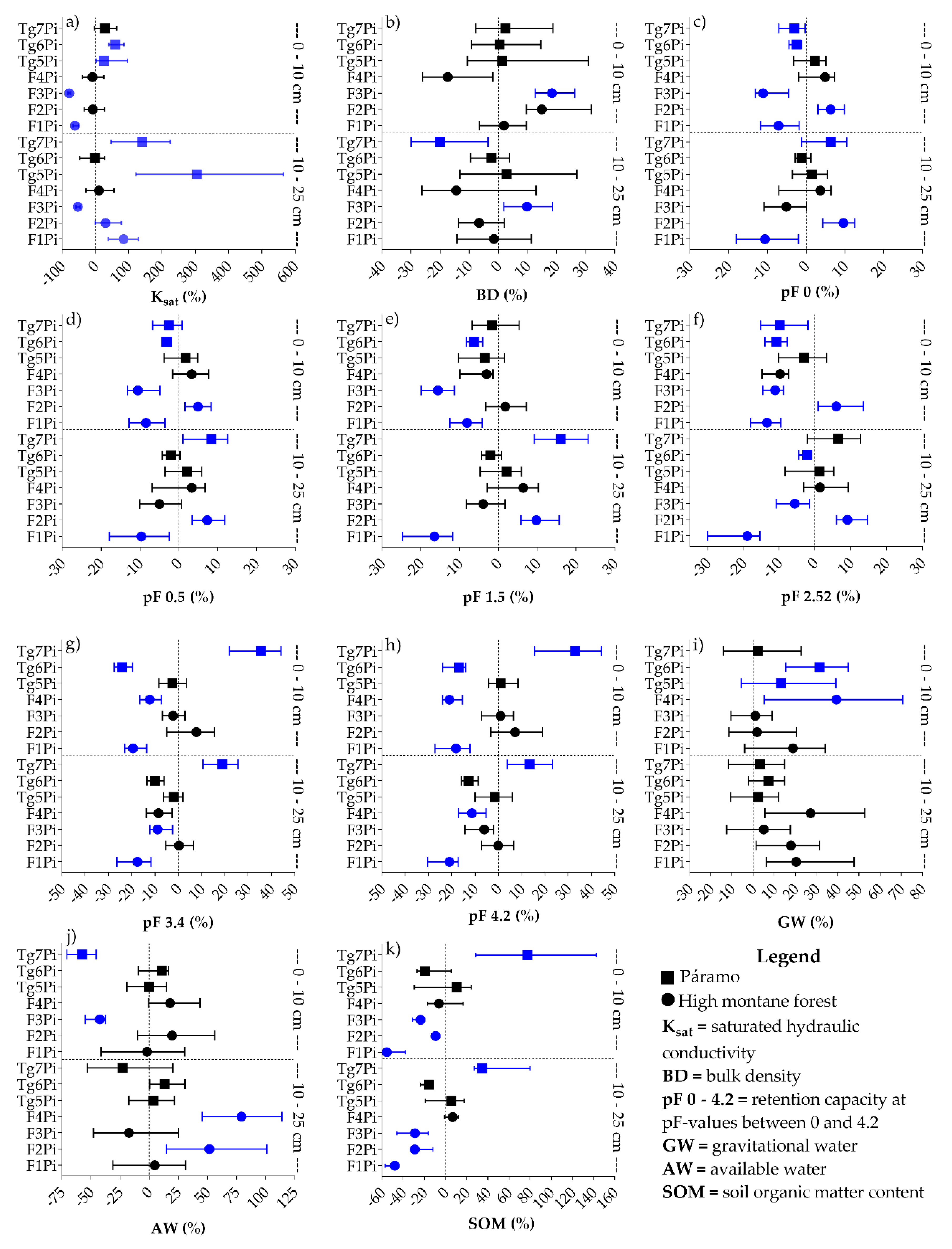
3.3. Changes in Hydro-Physical and SOM Content under Pine Afforestation
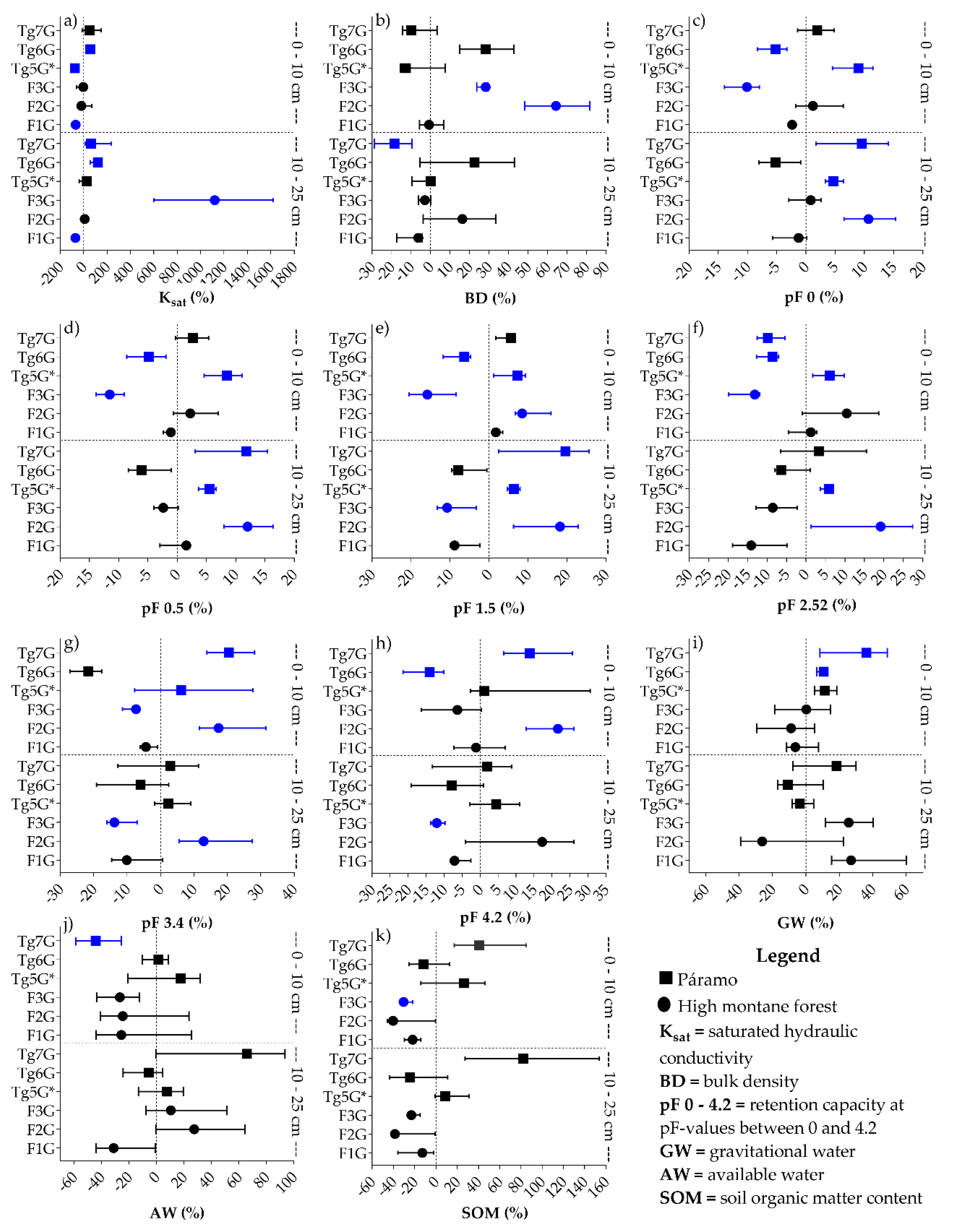
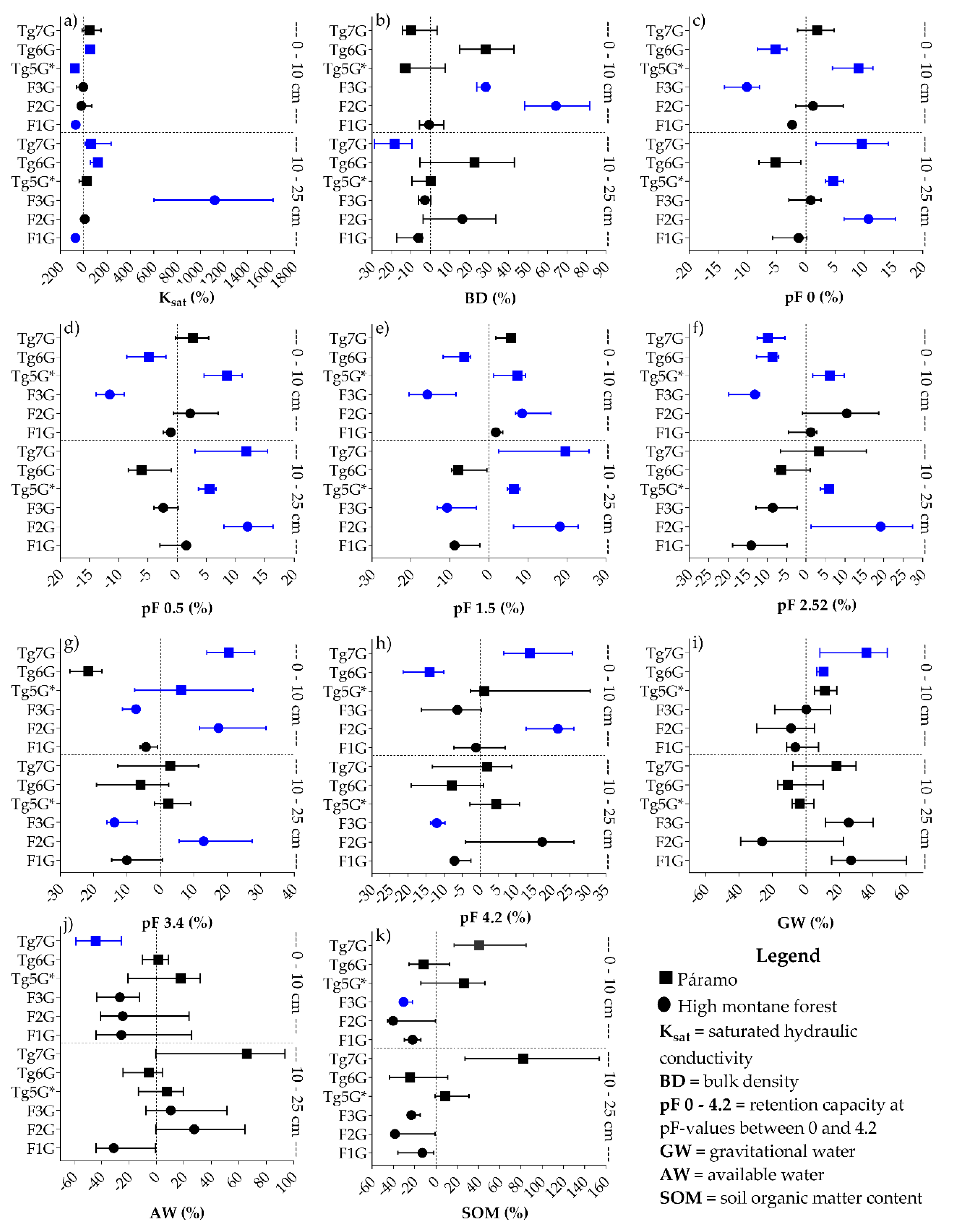
3.4. Changes in Hydro-Physical and SOM Content under Grazing
4. Discussion
5. Conclusions
Author Contributions
Funding
Acknowledgments
Conflicts of Interest
Appendix
| Elevation | <3250 m a.s.l. | >3250–<3550 m a.s.l. | >3550 m a.s.l. | |||||
|---|---|---|---|---|---|---|---|---|
| Properties | F1 | F2 | F3 | F4 | Tg5 | Tg6 | Tg7 | |
| 0–10 cm soil layer | Ksat (cm h−1) | 12.91 (9.34–20.55) Aa | 4.92 (3.34–7.10) Aab | 17.30 (12.70–19.18) Aa | 7.26 (5.62–13.08) Aab | 3.33 (2.47–4.12) Aab | 1.38 (1.29–1.49) Ab | 1.92 (1.65–2.82) Ab |
| BD (g cm−3) | 0.97 (0.95–1.00) Ba | 0.38 (0.34–0.55) Ab | 0.72 (0.67–0.78) Bab | 0.67 (0.56–0.78) Aab | 0.51 (0.43–0.64) Aab | 0.32 (0.29–0.36) Bb | 0.60 (0.59–0.63) Bab | |
| 0 pF (cm3 cm−3) | 0.65 (0.63–0.66) Ab | 0.71 (0.67–0.73) Ab | 0.70 (0.68–0.71) Ab | 0.72 (0.67–0.76) Aab | 0.75 (0.70–0.79) Aab | 0.87 (0.85–0.90) Aa | 0.73 (0.72–0.75) Aab | |
| 0.5 pF (cm3 cm−3) | 0.64 (0.58–0.66) Ab | 0.69 (0.66–0.72) Ab | 0.69 (0.67–0.70) Aab | 0.70 (0.67–0.76) Aab | 0.75 (0.70–0.79) Aab | 0.85 (0.83–0.89) Aa | 0.72 (0.71–0.73) Aab | |
| 1.5 pF (cm3 cm−3) | 0.54 (0.52–0.56) Ab | 0.60 (0.57–0.64) Ab | 0.60 (0.57–0.61) Ab | 0.65 (0.59–0.71) Aab | 0.73 (0.68–0.77) Aa | 0.81 (0.77–0.85) Aa | 0.66 (0.64–0.69) Aab | |
| 2.52 pF (cm3 cm−3) | 0.47 (0.46–0.49) Ab | 0.49 (0.46–0.52) Ab | 0.46 (0.45–0.47) Ab | 0.60 (0.50–0.62) Aab | 0.64 (0.60–0.66) Aa | 0.69 (0.66–0.72) Aa | 0.58 (0.55–0.59) Aab | |
| 3.4 pF (cm3 cm−3) | 0.46 (0.43–0.46) Aab | 0.40 (0.39–0.43) Bab | 0.37 (0.36–0.38) Ab | 0.49 (0.48–0.53) Aa | 0.47 (0.46–0.48) Aab | 0.55 (0.48–0.57) Aa | 0.35 (0.30–0.39) Ab | |
| 4.2 pF (cm3 cm−3) | 0.40 (0.34–0.44) Aab | 0.36 (0.34–0.40) Bab | 0.33 (0.32–0.35) Ab | 0.47 (0.43–0.48) Aa | 0.42 (0.40–0.45) Aab | 0.48 (0.46–0.55) Aa | 0.33 (0.26–0.35) Ab | |
| GW (cm3 cm−3) | 0.17 (0.13–0.18) Aab | 0.21 (0.18–0.25) Aa | 0.24 (0.23–0.27) Aa | 0.14 (0.13–0.18) Aab | 0.11 (0.11–0.12) Ab | 0.18 (0.18–0.19) Aab | 0.17 (0.14–0.18) Aab | |
| AW (cm3 cm−3) | 0.08 (0.04–0.13) Ab | 0.11 (0.08–0.15) Ab | 0.12 (0.11–0.14) Aab | 0.14 (0.07–0.15) Aab | 0.20 (0.17–0.25) Aab | 0.21 (0.16–0.25) Aab | 0.25 (0.22–0.30) Aa | |
| SOM (%) | 10.16 (8.24–11.57) Ab | 33.69 (31.06–37.66) Aa | 15.36 (13.92–17.38) Aab | 25.83 (20.64–31.61) Aab | 20.57 (16.75–29.93) Aab | 41.15 (29.49–47.22) Aa | 15.47 (14.95–18.44) Aab | |
| 10–25 cm soil layer | Ksat (cm h−1) | 2.98 (1.93–4.62) Ba | 1.59 (0.92–2.07) Bab | 1.84 (1.80–2.62) Bab | 1.44 (1.20–2.46) Bab | 0.17 (0.15–0.18) Bc | 0.30 (0.29–0.31) Bbc | 0.37 (0.34–0.46) Bbc |
| BD (g cm−3) | 1.18 (1.06–1.25) Aa | 0.50 (0.41–0.58) Ab | 0.92 (0.91–0.96) Aa | 0.72 (0.68–0.80) Aab | 0.56 (0.51–0.78) Aab | 0.43 (0.35–0.44) Ab | 0.88 (0.77–0.94) Aa | |
| 0 pF (cm3 cm−3) | 0.60 (0.57–0.62) Bb | 0.68 (0.64–0.70) Aab | 0.62 (0.60–0.62) Bb | 0.70 (0.67–0.73) Aab | 0.74 (0.69–0.77) Aa | 0.82 (0.81–0.84) Ba | 0.63 (0.60–0.67) Ab | |
| 0.5 pF (cm3 cm−3) | 0.58 (0.56–0.60) Ab | 0.67 (0.63–0.69) Aab | 0.61 (0.59–0.61) Bb | 0.70 (0.66–0.73) Aab | 0.73 (0.68–0.76) Aa | 0.82 (0.81–0.84) Aa | 0.61 (0.58–0.64) Bb | |
| 1.5 pF (cm3 cm−3) | 0.54 (0.49–0.57) Ab | 0.59 (0.57–0.64) Aab | 0.52 (0.51–0.53) Bb | 0.64 (0.62–0.67) Aab | 0.71 (0.65–0.74) Aa | 0.78 (0.77–0.81) Aa | 0.53 (0.51–0.59) Bb | |
| 2.52 pF (cm3 cm−3) | 0.49 (0.46–0.54) Aab | 0.52 (0.50–0.57) Aab | 0.41 (0.39–0.43) Bb | 0.57 (0.56–0.64) Aab | 0.63 (0.58–0.66) Aa | 0.67 (0.66–0.68) Aa | 0.46 (0.41–0.50) Bb | |
| 3.4 pF (cm3 cm−3) | 0.45 (0.44–0.49) Aab | 0.47 (0.44–0.51) Aab | 0.40 (0.37–0.40) Aab | 0.54 (0.48–0.56) Aa | 0.48 (0.46–0.52) Aab | 0.51 (0.31–0.57) Aab | 0.38 (0.34–0.43) Ab | |
| 4.2 pF (cm3 cm−3) | 0.41 (0.35–0.42) Aa | 0.41 (0.40–0.46) Aa | 0.35 (0.33–0.37) Aa | 0.46 (0.43–0.53) Aa | 0.43 (0.38–0.47) Aa | 0.48 (0.26–0.51) Aa | 0.36 (0.31–0.39) Aa | |
| GW (cm3 cm−3) | 0.12 (0.06–0.16) Aab | 0.14 (0.11–0.17) Bab | 0.20 (0.18–0.22) Ba | 0.10 (0.08–0.17) Aab | 0.11 (0.10–0.12) Ab | 0.15 (0.13–0.16) Bab | 0.17 (0.14–0.20) Aab | |
| AW (cm3 cm−3) | 0.06 (0.06–0.08) Ab | 0.11 (0.08–0.15) Aab | 0.06 (0.04–0.09) Bb | 0.10 (0.06–0.14) Aab | 0.20 (0.16–0.22) Aa | 0.21 (0.13–0.42) Aa | 0.09 (0.07–0.13) Bab | |
| SOM (%) | 8.00 (6.14–8.36) Ab | 28.73 (26.64–31.39) Ba | 13.19 (11.35–14.39) Aab | 18.98 (18.30–22.45) Aab | 19.02 (11.45–22.50) Aab | 36.65 (25.19–43.98) Aa | 8.83 (8.22–10.93) Bb | |
| Elevation | <3250 m a.s.l. | >3250–<3550 m a.s.l. | >3550 m a.s.l. | |||||
|---|---|---|---|---|---|---|---|---|
| Properties | F1Pi | F2Pi | F3Pi | F4Pi | Tg5Pi | Tg6Pi | Tg7Pi | |
| 0–10 cm soil layer | Ksat (cm h−1) | 4.94 (4.32–6.41) A↓ | 4.52 (3.25–6.22) A | 3.62 (2.99–4.30) A↓ | 6.59 (4.45–9.069) A | 4.17 (3.38–6.53) A↑ | 2.19 (1.92–2.55) A↑ | 2.46 (1.85–3.14) A |
| BD (g cm−3) | 0.99 (0.91–1.07) B | 0.44 (0.42–0.50) A | 0.86 (0.81–0.91) B↑ | 0.55 (0.50–0.66) A | 0.52 (0.45–0.67) B | 0.32 (0.29–0.37) B | 0.62 (0.55–0.71) B | |
| 0 pF (cm3 cm−3) | 0.61 (0.58–0.64) A↓ | 0.75 (0.73–0.78) A↑ | 0.63 (0.61–0.67) A↓ | 0.75 (0.70–0.77) A | 0.77 (0.73–0.79) A | 0.85 (0.83–0.86) A↓ | 0.71 (0.68–0.73) A↓ | |
| 0.5 pF (cm3 cm−3) | 0.59 (0.56–0.62) A↓ | 0.73 (0.71–0.75) A↑ | 0.62 (0.60–0.66) A↓ | 0.72 (0.69–0.75) A | 0.76 (0.72–0.79) A | 0.83 (0.82–0.83) A↓ | 0.70 (0.67–0.72) A↓ | |
| 1.5 pF (cm3 cm−3) | 0.50 (0.48–0.52) A↓ | 0.61 (0.58–0.64) B↑ | 0.50 (0.48–0.53) A↓ | 0.63 (0.59–0.64) B | 0.71 (0.66–0.75) A | 0.76 (0.74–0.78) A↓ | 0.65 (0.61–0.69) A | |
| 2.52 pF (cm3 cm−3) | 0.41 (0.39–0.43) A↓ | 0.52 (0.49–0.55) B↑ | 0.41 (0.39–0.42) A↓ | 0.55 (0.52–0.56) B | 0.62 (0.58–0.66) A | 0.61 (0.59–0.63) B↓ | 0.52 (0.49–0.57) A↓ | |
| 3.4 pF (cm3 cm−3) | 0.37 (0.35–0.39) A↓ | 0.43 (0.38–0.46) B | 0.37 (0.35–0.38) A | 0.43 (0.41–0.46) B↓ | 0.46 (0.43–0.49) A | 0.42 (0.40–0.44) B↓ | 0.47 (0.43–0.50) A↑ | |
| 4.2 pF (cm3 cm−3) | 0.33 (0.29–0.35) A↓ | 0.39 (0.35–0.43) A | 0.33 (0.30–0.35) A | 0.37 (0.35–0.39) B↓ | 0.42 (0.40–0.45) A | 0.40 (0.36–0.41) B↓ | 0.43 (0.38–0.47) A↑ | |
| GW (cm3 cm−3) | 0.21 (0.17–0.23) A | 0.22 (0.19–0.26) A | 0.25 (0.22–0.26) A | 0.20 (0.15–0.25) A↑ | 0.13 (0.11–0.16) A↑ | 0.24 (0.21–0.26) B↑ | 0.17 (0.14–0.21) A | |
| AW (cm3 cm−3) | 0.08 (0.05–0.11) A | 0.13 (0.10–0.18) A | 0.07 (0.05–0.08) A↓ | 0.16 (0.14–0.20) A | 0.20 (0.16–0.23) A | 0.23 (0.19–0.24) A | 0.10 (0.07–0.13) A↓ | |
| SOM (%) | 5.29 (4.36–5.34) A↓ | 23.92 (23.44–29.71) A↓ | 10.91 (8.32–12.84) A↓ | 27.57 (25.59–29.06) A | 24.98 (16.62–28.94) A | 34.70 (31.33–35.16) A | 20.87 (19.64–27.82) A↑ | |
| 10-25 cm soil layer | Ksat (cm h−1) | 5.50 (4.12–6.82) A↑ | 2.07 (1.58–2.82) B↑ | 0.87 (0.76–0.98) B↓ | 1.60 (1.04–2.25) B | 0.70 (0.38–1.14) B↑ | 0.29 (0.16–0.38) B | 0.89 (0.55–1.20) B↑ |
| BD (g cm−3) | 1.17 (1.02–1.32) A | 0.46 (0.43–0.51) A | 1.01 (0.94–1.09) A↑ | 0.62 (0.53–0.81) A | 0.58 (0.49–0.72) A | 0.42 (0.39–0.44) A | 0.71 (0.62–0.85) A↓ | |
| 0 pF (cm3 cm−3) | 0.53 (0.49–0.59) B↓ | 0.74 (0.71–0.76) A↑ | 0.58 (0.55–0.62) B | 0.73 (0.66–0.75) A | 0.75 (0.71–0.78) A | 0.81 (0.80–0.83) B | 0.67 (0.63–0.70) B↑ | |
| 0.5 pF (cm3 cm−3) | 0.52 (0.47–0.56) B↓ | 0.71 (0.69–0.74) A↑ | 0.58 (0.55–0.61) B | 0.72 (0.65–0.74) A | 0.75 (0.71–0.77) A | 0.80 (0.78–0.82) B | 0.67 (0.62–0.69) B↑ | |
| 1.5 pF (cm3 cm−3) | 0.45 (0.41–0.48) B↓ | 0.65 (0.63–0.68) A↑ | 0.50 (0.48–0.53) A | 0.68 (0.62–0.70) A | 0.72 (0.67–0.75) A | 0.77 (0.75–0.79) A | 0.62 (0.58–0.66) A↑ | |
| 2.52 pF (cm3 cm−3) | 0.40 (0.34–0.42) A↓ | 0.57 (0.55–0.60) A↑ | 0.38 (0.36–0.40) B↑ | 0.58 (0.55–0.63) B | 0.64 (0.58–0.67) A | 0.66 (0.64–0.67) A↑ | 0.49 (0.45–0.52) B | |
| 3.4 pF (cm3 cm−3) | 0.37 (0.33–0.40) A↓ | 0.47 (0.44–0.50) A | 0.36 (0.35–0.39) A↓ | 0.49 (0.46–0.52) B | 0.47 (0.45–0.49) A | 0.46 (0.44–0.48) A | 0.45 (0.42–0.48) B↑ | |
| 4.2 pF (cm3 cm−3) | 0.33 (0.29–0.34) A↓ | 0.41 (0.38–0.44) A | 0.33 (0.30–0.35) A | 0.40 (0.38–0.43) A↓ | 0.42 (0.38–0.45) A | 0.42 (0.40–0.44) A | 0.41 (0.37–0.44) A↑ | |
| GW (cm3 cm−3) | 0.15 (0.13–0.18) B | 0.17 (0.15–0.19) B | 0.21 (0.17–0.23) B | 0.13 (0.11–0.15) B | 0.11 (0.10–0.12) B | 0.16 (0.15–0.17) A | 0.18 (0.15–0.20) A | |
| AW (cm3 cm−3) | 0.07 (0.04–0.08) A | 0.16 (0.12–0.21) A↑ | 0.05 (0.03–0.07) B | 0.18 (0.15–0.22) A↑ | 0.21 (0.17–0.25) A | 0.24 (0.21–0.27) A | 0.07 (0.04–0.11) B | |
| SOM (%) | 3.56 (3.32–4.95) B↓ | 26.05 (25.84–26.71) A↓ | 10.09 (9.06–10.52) A↓ | 17.82 (15.73–22.15) B | 21.05 (13.42–23.64) B | 29.41 (26.82–38.63) A | 15.68 (11.34–21.40) B↑ | |
| Elevation | <3250 m a.s.l. | >3250–<3550 m a.s.l. | >3550 m a.s.l. | ||||
|---|---|---|---|---|---|---|---|
| Properties | F1G | F2G | F3G | Tg5G * | Tg6G | Tg7G | |
| 0–10 cm soil layer | Ksat (cm h−1) | 4.02 (2.67–4.38) A↓ | 3.92 (3.61–8.36) A | 16.58 (6.99–19.20) A | 0.81 (0.52–0.96) A↓ | 2.14 (1.77–2.40) A↑ | 2.91 (1.65–4.80) A |
| BD (g cm−3) | 0.97 (0.92–1.04) A | 0.62 (0.56–0.69) A↑ | 0.93 (0.89–0.93) A↑ | 0.44 (0.43–0.55) A | 0.41 (0.37–0.46) A | 0.54 (0.51–0.62) B | |
| 0 pF (cm3 cm−3) | 0.64 (0.63–0.64) A | 0.72 (0.69–0.75) A | 0.63 (0.61–0.65) A↓ | 0.82 (0.79–0.84) A↑ | 0.82 (0.80–0.84) A↓ | 0.75 (0.72–0.77) A | |
| 0.5 pF (cm3 cm−3) | 0.63 (0.63–0.64) A | 0.71 (0.69–0.74) A | 0.61 (0.59–0.63) A↓ | 0.81 (0.78–0.83) A↑ | 0.81 (0.78–0.84) A↓ | 0.74 (0.72–0.76) A | |
| 1.5 pF (cm3 cm−3) | 0.55 (0.54–56) A | 0.65 (0.64–0.70) A↑ | 0.50 (0.47–0.55) A↓ | 0.79 (0.74–0.80) A↑ | 0.76 (0.71–0.77) A↓ | 0.70 (0.67–0.70) A | |
| 2.52 pF (cm3 cm−3) | 0.48 (0.45–0.49) A | 0.54 (0.48–0.58) B | 0.40 (0.37–0.40) A↓ | 0.68 (0.65–0.70) A↑ | 0.63 (0.60–0.64) A↓ | 0.52 (0.51–0.55) A↓ | |
| 3.4 pF (cm3 cm−3) | 0.44 (0.43–0.45) A | 0.47 (0.45–0.53) B↑ | 0.35 (0.33–0.35) A↓ | 0.50 (0.44–0.60) A | 0.43 (0.40–0.45) A↓ | 0.42 (0.40–0.45) A↑ | |
| 4.2 pF (cm3 cm−3) | 0.40 (0.37–0.43) A | 0.44 (0.41–0.46) A↑ | 0.30 (0.27–0.33) A | 0.42 (0.41–0.55) A | 0.41 (0.38–0.43) A↓ | 0.37 (0.35–0.41) A↑ | |
| GW (cm3 cm−3) | 0.16 (0.15–0.19) A | 0.19 (0.15–0.22) A | 0.24 (0.20–0.28) A | 0.13 (0.12–0.14) A | 0.20 (0.19–0.20) A↑ | 0.23 (0.18–0.25) A↑ | |
| AW (cm3 cm−3) | 0.06 (0.05–0.10) A | 0.08 (0.07–0.14) A | 0.09 (0.07–0.11) A | 0.23 (0.16–0.26) A | 0.21 (0.19–0.22) A | 0.14 (0.10–0.18) A↓ | |
| SOM (%) | 7.94 (7.14–8.72) A | 20.11 (18.31–33.54) A | 10.68 (10.19–12.00) A↓ | 25.98 (17.67–30.03) A | 36.35 (30.74–46.42) A | 21.79 (18.14–28.58) A | |
| 10–25 cm soil layer | Ksat (cm h−1) | 0.86 (0.32–1.27) B↓ | 1.72 (1.17–2.19) B | 22.50 (12.93–31.70) A↑ | 0.22 (0.11–0.26) B | 0.66 (0.47–0.73) A↑ | 0.60 (0.41–1.24) B↑ |
| BD (g cm−3) | 1.11 (0.98–1.13) A | 0.58 (0.48–0.66) A | 0.89 (0.86–0.92) A | 0.56 (0.51–0.58) A | 0.52 (0.40–0.61) A | 0.72 (0.63–0.80) A↓ | |
| 0 pF (cm3 cm−3) | 0.59 (0.56–0.60) B | 0.75 (0.72–0.78) A↑ | 0.62 (0.60–0.63) A | 0.77 (0.76–0.79) A↑ | 0.78 (0.76–0.82) A | 0.69 (0.64–0.72) B↑ | |
| 0.5 pF (cm3 cm−3) | 0.59 (0.56–0.59) B | 0.75 (0.72–0.77) A↑ | 0.59 (0.58–0.61) A | 0.77 (0.76–0.78) A↑ | 0.77 (0.75–0.81) A | 0.69 (0.63–0.71) B↑ | |
| 1.5 pF (cm3 cm−3) | 0.49 (0.49–0.53) B | 0.70 (0.63–-0.73) A↑ | 0.46 (0.45–0.50) A↓ | 0.75 (0.74–0.76) A↑ | 0.72 (0.71–0.78) A | 0.64 (0.55–0.67) B↑ | |
| 2.52 pF (cm3 cm−3) | 0.42 (0.40–0.47) A | 0.62 (0.53–0.66) A↑ | 0.37 (0.35–0.40) A | 0.67 (0.66–0.68) A↑ | 0.63 (0.62–0.68) A | 0.48 (0.43–0.53) B | |
| 3.4 pF (cm3 cm−3) | 0.41 (0.39–0.45) A | 0.53 (0.49–0.60) A↑ | 0.34 (0.34–0.37) A↓ | 0.49 (0.47–0.52) A | 0.48 (0.41–0.52) A | 0.39 (0.33–0.42) A | |
| 4.2 pF (cm3 cm−3) | 0.38 (0.38–0.40) A | 0.48 (0.39–0.52) A | 0.31 (0.30–0.32) A↓ | 0.45 (0.41–0.47) A | 0.44 (0.39–0.48) A | 0.37 (0.31–0.39) A | |
| GW (cm3 cm−3) | 0.15 (0.14–0.19) A | 0.11 (0.09–0.18) B | 0.25 (0.22–0.28) A | 0.11 (0.10–0.11) B | 0.14 (0.13–0.17) B | 0.20 (0.16–0.22) A | |
| AW (cm3 cm−3) | 0.04 (0.04–0.06) A | 0.13 (0.11–0.17) A | 0.06 (0.05–0.09) A | 0.22 (0.18–0.24) A | 0.20 (0.16–0.22) A | 0.15 (0.09–0.18) A | |
| SOM (%) | 6.98 (5.13–7.84) A | 17.66 (16.85–28.56) A | 10.14 (9.85–11.24) A | 20.71 (18.85–24.95) A | 27.74 (20.63–40.71) A | 16.08 (11.24–22.40) A | |
| Elevation | <3250 m a.s.l. | >3250–<3550 m a.s.l. | >3550 m a.s.l. | |||||
|---|---|---|---|---|---|---|---|---|
| Properties | F1Pi | F2Pi | F3Pi | F4Pi | Tg5Pi | Tg6Pi | Tg7Pi | |
| 0–10 cm soil layer | Ksat | 0.16 | 0.59 | 0.19 | 0.18 | 0.36 | 0.45 | 0.66 |
| BD | 0.62 | 0.82 | 0.92 | 0.76 | 0.92 | 0.79 | 0.91 | |
| 0 pF | 0.48 | 0.4 | 0.38 | 0.74 | 0.76 | 0.3 | 0.93 | |
| 0.5 pF | 0.97 | 0.43 | 0.59 | 0.9 | 0.76 | 0.53 | 0.94 | |
| 1.5 pF | 0.97 | 0.8 | 0.71 | 0.08 | 0.77 | 0.55 | 0.93 | |
| 2.52 pF | 0.65 | 0.95 | 0.36 | 0.24 | 0.97 | 0.42 | 0.79 | |
| 3.4 pF | 0.18 | 0.53 | 0.27 | 0.25 | 0.24 | 0.88 | 0.45 | |
| 4.2 pF | 0.32 | 0.74 | 0.42 | 0.19 | 0.18 | 0.37 | 0.93 | |
| GW | 0.93 | 0.43 | 0.48 | 0.32 | 0.68 | 0.77 | 0.58 | |
| AW | 0.8 | 0.71 | 0.2 | 0.81 | 0.52 | 0.59 | 1 | |
| 10–25cm soil layer | Ksat | 0.56 | 0.9 | 0.03 | 0.38 | 0.54 | 0.82 | 0.21 |
| BD | 0.97 | 0.76 | 0.97 | 0.93 | 0.97 | 0.84 | 0.91 | |
| 0 pF | 0.98 | 0.74 | 0.6 | 1 | 0.97 | 0.76 | 0.89 | |
| 0.5 pF | 0.92 | 0.66 | 0.51 | 0.92 | 0.9 | 0.82 | 0.84 | |
| 1.5 pF | 0.9 | 0.58 | 0.74 | 0.88 | 0.92 | 0.95 | 0.78 | |
| 2.52 pF | 0.66 | 0.34 | 0.68 | 0.79 | 0.8 | 0.87 | 0.94 | |
| 3.4 pF | 0.88 | 0.03 | 0.19 | 0.69 | 0.68 | 0.77 | 1 | |
| 4.2 pF | 0.6 | 0.14 | 0.93 | 0.25 | 0.76 | 0.12 | 0.58 | |
| GW | 0.66 | 0.53 | 0.3 | 0.9 | 0.79 | 0.79 | 0.91 | |
| AW | 0.51 | 0.19 | 0.49 | 0.2 | 0.87 | 0.12 | 0.67 | |
References
- Buytaert, W.; Cuesta-Camacho, F.; Tobón, C. Potential impacts of climate change on the environmental services of humid tropical alpine regions. Glob. Ecol. Biogeogr. 2011, 20, 19–33. [Google Scholar] [CrossRef]
- Célleri, R.; Feyen, J. The hydrology of tropical Andean ecosystems: Importance, knowledge status, and perspectives. Mt. Res. Dev. 2009, 29, 350–355. [Google Scholar] [CrossRef]
- Mosquera, G.; Lazo, P.; Célleri, R.; Wilcox, B.; Crespo, P. Runoff from tropical alpine grasslands increases with areal extent of wetlands. Catena 2015, 125, 120–128. [Google Scholar] [CrossRef]
- Mosquera, G.; Célleri, R.; Lazo, P.; Vaché, K.; Perakis, S.; Crespo, P. Combined use of isotopic and hydrometric data to conceptualize ecohydrological processes in a high-elevation tropical ecosystem. Hydrol. Process. 2016, 30, 2930–2947. [Google Scholar] [CrossRef]
- Correa, A.; Windhorst, D.; Tetzlaff, D.; Crespo, P.; Célleri, R.; Feyen, J.; Breuer, L. Temporal dynamics in dominant runoff sources and flow paths in the Andean Páramo. Water Resour. Res. 2017, 53, 5998–6017. [Google Scholar] [CrossRef]
- Buytaert, W.; Celleri, R.; Willems, P.; De Bievre, B.; Wyseure, G. Spatial and temporal rainfall variability in mountainous areas: A case study from the south Ecuadorian Andes. J. Hydrol. 2006, 329, 413–421. [Google Scholar] [CrossRef]
- Poulenard, J.; Podwojewski, P.; Herbillon, A.J. Characteristics of non-allophanic Andisols with hydric properties from the Ecuadorian páramos. Geoderma 2003, 117, 267–281. [Google Scholar] [CrossRef]
- Hofstede, R.; Lips, J.; Jongsma, W. Geografía, Ecología y Forestación de la Sierra Alta del Ecuador; Abya-Yala: Quito, Ecuador, 1998; ISBN 9978044213. [Google Scholar]
- Mena, P.; Josse, C.; Medina, G. Los Suelos del Páramo; GTP/Abya-Yala: Quito, Ecuador, 2000. [Google Scholar]
- Buytaert, W.; Deckers, J.; Dercon, G.; De Bièvre, B.; Poesen, J.; Govers, G. Impact of land use changes on the hydrological properties of volcanic ash soils in South Ecuador. Soil Use Manag. 2002, 18, 94–100. [Google Scholar] [CrossRef]
- Shoji, S.; Nanzyo, M.; Dahlgren, R. Volcanic Ash Soils: Genesis, Properties and Utilization; Elsevier: Amsterdam, The Netherlands, 1993. [Google Scholar]
- Buytaert, W.; Célleri, R.; De Bièvre, B.; Cisneros, F.; Wyseure, G.; Deckers, J.; Hofstede, R. Human impact on the hydrology of the Andean páramos. Earth-Sci. Rev. 2006, 79, 53–72. [Google Scholar] [CrossRef]
- Mena, P.; Hofstede, R. Los páramos ecuatorianos. Bot. Econ. Los Andes Cent. 2006, 91–109. [Google Scholar]
- Buytaert, W.; Iñiguez, V.; De Bièvre, B. The effects of afforestation and cultivation on water yield in the Andean páramo. For. Ecol. Manag. 2007, 251, 22–30. [Google Scholar] [CrossRef]
- Harden, C.P.; Hartsig, J.; Farley, K.A.; Lee, J.; Bremer, L.L. Effects of land-use change on water in Andean páramo grassland soils. Ann. Assoc. Am. Geogr. 2013, 103, 375–384. [Google Scholar] [CrossRef]
- Knoke, T.; Bendix, J.; Pohle, P.; Hamer, U.; Hildebrandt, P.; Roos, K.; Gerique, A.; Sandoval, M.L.; Breuer, L.; Tischer, A.; et al. Afforestation or intense pasturing improve the ecological and economic value of abandoned tropical farmlands. Nat. Commun. 2014, 5, 5612. [Google Scholar] [CrossRef] [PubMed]
- Farley, K.A.; Kelly, E.F. Effects of afforestation of a páramo grassland on soil nutrient status. For. Ecol. Manag. 2004, 195, 271–290. [Google Scholar] [CrossRef]
- Hofstede, R. El Impacto de las Actividades Humanas sobre el Páramo; Abya-Yala: Quito, Ecuador, 2001. [Google Scholar]
- Hofstede, R.G.M.; Groenendijk, J.P.; Coppus, R.; Fehse, J.C.; Sevink, J. Impact of pine plantations on soils and vegetation in the Ecuadorian high Andes. Mt. Res. Dev. 2002, 22, 159–167. [Google Scholar] [CrossRef]
- Farley, K.A.; Kelly, E.F.; Hofstede, R.G.M. Soil organic carbon and water retention after conversion of grasslands to pine plantations in the Ecuadorian Andes. Ecosystems 2004, 7, 729–739. [Google Scholar] [CrossRef]
- Medina, G.; Josse, C.; Mena, A. La forestación en los páramos. Ser. Páramo 2000, 6, 1–76. [Google Scholar]
- Buytaert, W.; Wyseure, G.; De Bièvre, B.; Deckers, J. The effect of land-use changes on the hydrological behaviour of Histic Andosols in south Ecuador. Hydrol. Process. 2005, 19, 3985–3997. [Google Scholar] [CrossRef]
- Podwojewski, P.; Poulenard, J.; Zambrana, T.; Hofstede, R. Overgrazing effects on vegetation cover and properties of volcanic ash soil in the páramo of Llangahua and La Esperanza (Tungurahua, Ecuador). Soil Use Manag. 2002, 18, 45–55. [Google Scholar] [CrossRef]
- López, M.; Veldkamp, E.; de Koning, G.H.J. Soil carbon stabilization in converted tropical pastures and forests depends on soil type. Soil Sci. Soc. Am. J. 2005, 69, 1110–1117. [Google Scholar] [CrossRef]
- Ochoa, B.F.; Buytaert, W.; De Bièvre, B.; Célleri, R.; Crespo, P.; Villacís, M.; Llerena, C.A.; Acosta, L.; Villazón, M.; Guallpa, M.; et al. Impacts of land use on the hydrological response of tropical Andean catchments. Hydrol. Process. 2016, 30, 4074–4089. [Google Scholar] [CrossRef]
- Crespo, P.J.; Feyen, J.; Buytaert, W.; Bücker, A.; Breuer, L.; Frede, H.-G.; Ramírez, M. Identifying controls of the rainfall–runoff response of small catchments in the tropical Andes (Ecuador). J. Hydrol. 2011, 407, 164–174. [Google Scholar] [CrossRef]
- Greenwood, W.J.; Buttle, J.M. Effects of reforestation on near-surface saturated hydraulic conductivity in a managed forest landscape, southern Ontario, Canada. Ecohydrology 2012, 7, 45–55. [Google Scholar] [CrossRef]
- Quichimbo, P.; Tenorio, G.; Borja, P.; Cardenas, I.; Crespo, P.; Celleri, R. Efectos sobre las propiedades físicas y químicas de los suelos por el cambio de la cobertura vegetal y uso del suelo: Páramo de Quimsacocha al sur del Ecuador. Suelos Ecuat. 2012, 42, 138–153. [Google Scholar]
- Chacón, G.; Gagnon, D.; Paré, D. Comparison of soil properties of native forests, Pinus patula plantations and adjacent pastures in the Andean highlands of southern Ecuador: Land use history or recent vegetation effects? Soil Use Manag. 2009, 25, 427–433. [Google Scholar] [CrossRef]
- La Manna, L.; Buduba, C.G.; Rostagno, C.M. Soil erodibility and quality of volcanic soils as affected by pine plantations in degraded rangelands of NW Patagonia. Eur. J. For. Res. 2016, 135, 643–655. [Google Scholar] [CrossRef]
- De Koning, G.H.J.; Veldkamp, E.; López-Ulloa, M. Quantification of carbon sequestration in soils following pasture to forest conversion in northwestern Ecuador. Glob. Biogeochem. Cycles 2003. [Google Scholar] [CrossRef]
- Daza, M.C.; Hernández, F.; Triana, F.A. Efecto del uso del suelo en la capacidad de almacenamiento hídrico en el páramo de Sumapaz-Colombia. Rev. Fac. Nac. Agron. Medellín 2014, 67, 7189–7200. [Google Scholar] [CrossRef]
- Celik, I. Land-use effects on organic matter and physical properties of soil in a southern Mediterranean highland of Turkey. Soil Tillage Res. 2005, 83, 270–277. [Google Scholar] [CrossRef]
- Buytaert, W.; Deckers, J.; Wyseure, G. Regional variability of volcanic ash soils in south Ecuador: The relation with parent material, climate and land use. Catena 2007, 70, 143–154. [Google Scholar] [CrossRef]
- Bussmann, R. Bosques andinos del sur del Ecuador, classificación, regeneración y uso. Rev. Peru. Biol. 2005, 12, 203–216. [Google Scholar]
- Baquero, F.; Sierra, R.; Ordóñez, L.; Tipán, M.; Espinoza, L.; Rivera, M.; Soria, P. La Vegetación de los Andes del Ecuador: Memoria explicativa de los mapas de vegetación potencial y remanente de los Andes del Ecuador a escala 1:250.000 y del modelamiento predictivo con especies indicadoras; EcoCiencia: Quito, Ecuador, 2004; ISBN 9978439994. [Google Scholar]
- Ramsay, P.; Oxley, E. The growth form composition of plant communities in the Ecuadorian páramos. Plant Ecol. 1997, 131, 173–192. [Google Scholar] [CrossRef]
- Luteyn, J.L. Páramos: A Checklist of Plant Diversity, Geographical Distribution, and Botanical Literature; The New York Botanical Garden Press: New York, NY, USA, 1999. [Google Scholar]
- Vuille, M.; Bradley, R.; Keimig, F. Climate variability in the Andes of Ecuador and its relation to tropical Pacific and Atlantic sea surface temperature anomalies. J. Clim. 2000, 13, 2520–2535. [Google Scholar] [CrossRef]
- Córdova, M.; Célleri, R.; Shellito, C.J.; Orellana-Alvear, J.; Abril, A.; Carrillo-Rojas, G. Near-surface air temperature lapse rate over complex terrain in the southern Ecuadorian Andes: Implications for temperature mapping. Arct. Antarct. Alp. Res. 2016, 48, 673–684. [Google Scholar] [CrossRef]
- Padrón, R.S.; Wilcox, B.P.; Crespo, P.; Célleri, R. Rainfall in the Andean páramo: New insights from high-resolution monitoring in southern Ecuador. J. Hydrometeorol. 2015, 16, 985–996. [Google Scholar] [CrossRef]
- Hungerbühler, D.; Steinmann, M.; Winkler, W.; Seward, D.; Egüez, A.; Peterson, D.; Helg, U.; Hammer, C. Neogene stratigraphy and Andean geodynamics of southern Ecuador. Earth-Sci. Rev. 2002, 57, 75–124. [Google Scholar] [CrossRef]
- IUSS Working Group WRB. World Reference Base for Soil Resources 2014, Update 2015 International Soil Classification System for Naming Soils and Creating Legends for Soil Maps; FAO: Rome, Italy, 2015. [Google Scholar]
- Buytaert, W.; Sevink, J.; De Leeuw, B.; Deckers, J. Clay mineralogy of the soils in the south Ecuadorian páramo region. Geoderma 2005, 127, 114–129. [Google Scholar] [CrossRef]
- Aucapiña, G.; Marín, F. Efectos de la Posición Fisiográfica en las Propiedades Hidrofísicas de los Suelos de Páramo de la Microcuenca del río Zhurucay; Universidad de Cuenca: Cuenca, Ecuador, 2014. [Google Scholar]
- Quiroz, C.; Crespo, P.; Stimm, B.; Murtinho, F.; Weber, M.; Hildebrandt, P. Contrasting stakeholders’ perceptions of pine plantations in the páramo ecosystem of Ecuador. Sustainability 2018, 10, 1707. [Google Scholar] [CrossRef]
- Food and Agriculture Organization of the United Nations. Guidelines for Soil Description, 4th ed.; Jahn, R., Blume, H., Asio, V., Spaargaren, O., Schad, P., Eds.; FAO: Rome, Italy, 2006. [Google Scholar]
- Oosterbaan, R.; Nijland, H. Determining the saturated hydraulic conductivity. In Drainage Principles and Applications; International Institute for Land Reclamation and Improvement: Wageningen, The Netherlands, 1994; pp. 1–38. ISBN 90 70754 3 39. [Google Scholar]
- Food and Agriculture Organization of the United Nations. Procedures for Soil Analysis, 6th ed.; van Reeuwijk, L.P., Ed.; FAO: Roma, Italy, 2002. [Google Scholar]
- Guo, L.; Gifford, M. Soil carbon stocks and land use change: A meta analysis. Glob. Chang. Biol. 2002, 8, 345–360. [Google Scholar] [CrossRef]
- Topp, G.C.; Zebchuk, W. The determination of soil-water desorption curves for soil cores. Can. J. Soil Sci. 1979, 59, 19–26. [Google Scholar] [CrossRef]
- Kruskal, W.; Wallis, W. Use of ranks in one-criterion variance analysis. J. Am. Stat. Assoc. 1952, 47, 583–621. [Google Scholar] [CrossRef]
- Nemenyi, P. Distribution-free multiple comparisons. Biometrics 1962, 18, 263. [Google Scholar]
- Mann, H.B.; Whitney, D.R. On a test of whether one of two random variables is stochastically larger than the other. Ann. Math. Stat. 1947, 18, 50–60. [Google Scholar] [CrossRef]
- Sakia, R.M. The Box-Cox transformation technique: A review. J. R. Stat. Soc. Ser. D 1992, 41, 169–178. [Google Scholar] [CrossRef]
- Martín, F.; Navarro, F.; Jiménez, M.; Sierra, M.; Martínez, F.; Romero, A.; Rojo, L.; Fernández, E. Long-term effects of pine plantations on soil quality in southern Spain. L. Degrad. Dev. 2016. [Google Scholar] [CrossRef]
- R Development Core Team. R: A Language and Environment for Statistical Computing; R Foundation for Statistical Computing: Vienna, Austria, 2016. [Google Scholar]
- Broquen, P.; Girardin, J.; Frugoni, M. Evaluación de algunas propiedades de suelos derivados de cenizas volcánicas asociadas con forestaciones de coníferas exóticas (S.O. de la provincia de Neuquén-R. Argentina). Bosque 1995, 16, 69–79. [Google Scholar] [CrossRef]
- Suárez, E.; Arcos, E.; Moreno, C.; Encalada, A.; Álvarez, M. Influence of vegetation types and ground cover on soil water infiltration capacity in a high-altitude páramo ecosystem. Av. Cienc. Ing. 2013, 5, B14–B21. [Google Scholar]
- Wilcox, B.P.; Breshears, D.D.; Turin, H.J. Hydraulic conductivity in a Pinon-Juniper woodland: Influence of vegetation. Soil Sci. Soc. Am. J. 2003, 67, 1243–1249. [Google Scholar] [CrossRef]
- Ruiz, A.; Barberá, G.G.; Navarro, J.A.; Albaladejo, J.; Castillo, V.M. Soil dynamics in Pinus halepensis reforestation: Effect of microenvironments and previous land use. Geoderma 2009, 153, 353–361. [Google Scholar] [CrossRef]
- Ghimire, C.P.; Bonell, M.; Bruijnzeel, L.A.; Coles, N.A.; Lubczynski, M.W. Reforesting severely degraded grassland in the Lesser Himalaya of Nepal: Effects on soil hydraulic conductivity and overland flow production. J. Geophys. Res. Earth Surf. 2013, 118, 2528–2545. [Google Scholar] [CrossRef]
- Liao, C.; Luo, Y.; Fang, C.; Chen, J.; Li, B. The effects of plantation practice on soil properties based on the comparison between natural and planted forests: A meta-analysis. Glob. Ecol. Biogeogr. 2012, 21, 318–327. [Google Scholar] [CrossRef]
- Alarcón, C.; Dörner, J.; Dec, D.; Balocchi, O.; López, I. Efecto de dos intensidades de pastoreo sobre las propiedades hidráulicas de un andisol (Duric Hapludand). Agro Sur 2010, 38, 30–41. [Google Scholar] [CrossRef]
- Poulenard, J.; Podwojewski, P.; Janeau, J.; Collinet, J. Runoff and soil erosion under rainfall simulation of andisols from the Ecuadorian páramo: Effect of tillage and burning. Catena 2001, 45, 185–207. [Google Scholar] [CrossRef]
- Bodner, G.; Scholl, P.; Loiskandl, W.; Kaul, H. Environmental and management influences on temporal variability of near saturated soil hydraulic properties. Geoderma 2013, 204–205, 120–129. [Google Scholar] [CrossRef] [PubMed]
- Cambi, M.; Certini, G.; Neri, F.; Marchi, E. The impact of heavy traffic on forest soils: A review. For. Ecol. Manag. 2015, 338, 124–138. [Google Scholar] [CrossRef]
- Huber, A.; Iroume, A.; Mohr, C.; Frênea, C. Efecto de plantaciones de Pinus radiata y Eucalyptus globulus sobre el recurso agua en la Cordillera de la Costa de la región del Biobío, Chile. Bosque 2010, 31, 219–230. [Google Scholar] [CrossRef]
- Kozlowski, T.T. Soil compaction and growth of woody plants. Scand. J. For. Res. 1999, 14, 596–619. [Google Scholar] [CrossRef]
- Herández, F.; Alba, F.; Daza, M. Efecto de actividades agropecuarias en la capacidad de infiltración de los suelos del páramo del Sumapaz. Ing. Recur. Nat. Ambient. 2009, 8, 29–38. [Google Scholar]
- Azarnivand, H.; Farajollahi, A.; Bandak, E.; Pouzesh, H. Assessment of the effects of overgrazing on the soil physical characteristic and vegetation cover changes in rangelands of Hosainabad in Kurdistan Province, Iran. J. Rangel. Sci. 2011, 1, 95–102. [Google Scholar]
- Donkor, N.T.; Gedir, J.V.; Hudson, R.J.; Bork, E.W.; Chanasyk, D.S.; Naeth, M.A. Impacts of grazing systems on soil compaction and pasture production in Alberta. Can. J. Soil Sci. 2002, 82, 1–8. [Google Scholar] [CrossRef]
- Dörner, J.; Dec, D.; Peng, X.; Horn, R. Efecto del cambio de uso en la estabilidad de la estructura y la función de los poros de un andisol (Typic Hapludand) del sur de Chile. Rev. Cienc. Suelo Nutr. Veg. 2009, 9, 190–209. [Google Scholar] [CrossRef]
- Wall, A.; Hytönen, J. Soil fertility of afforested arable land compared to continuously forested sites. Plant Soil 2005, 275, 247–260. [Google Scholar] [CrossRef]
- Rawls, W.; Pachepsky, Y.; Ritchie, J.; Sobecki, T.; Bloodworth, H. Effect of soil organic carbon on soil water retention. Geoderma 2003, 116, 61–76. [Google Scholar] [CrossRef]
- Sánchez, J.; Rubiano, Y. Procesos específicos de formación de andisoles, alfisoles y ultisoles en Colombia. Rev. EIA 2015, 12, 85–97. [Google Scholar]
- Alameda, D.; Villar, R.; Iriondo, J.M. Spatial pattern of soil compaction: Trees’ footprint on soil physical properties. For. Ecol. Manag. 2012, 283, 128–137. [Google Scholar] [CrossRef]



| Elevation Range (m a.s.l.) | Code | Elevation (m a.s.l.) | Previous Land-Use | Sl (%) | Age (years) | SD (# of trees/plot) | DBH (cm) | Ht (m) | CD (m) | Management |
|---|---|---|---|---|---|---|---|---|---|---|
| <3250 | F1Pi | 2770 | Native forest | 43 | 29 | 34 | 25.6 | 19.4 | 5.1 | Without management |
| F2Pi | 3260 | Native forest | 20 | 18 | 40 | 20.2 | 11.3 | 5.2 | Without management | |
| >3250–<3550 | F3Pi | 3359 | Tussock grass subjected to equine grazing | 12 | 17 | 49 | 18.4 | 8.8 | 5.15 | Pruning |
| F4Pi | 3408 | Tussock grasses subjected to bovine grazing | 16 | 16 | 41 | 23.1 | 9.2 | 5 | Pruning | |
| Tg5Pi | 3485 | Soils under extensive bovine grazing in burnt tussock grasses pasture. | 34 | 21 | 47 | 16.8 | 8.3 | 3.88 | Without management | |
| >3550 | Tg6Pi | 3692 | Tussock grass | 22 | 19 | 33 | 8.75 | 4.45 | 1.58 | Pruning |
| Tg7Pi | 3724 | Compacted and eroded soil due to bovine grazing in burnt tussock grass | 20 | 17.5 | 30 | 11.99 | 5 | 2.99 | Without management |
| Elevation Range (m a.s.l.) | Code | Elevation (m a.s.l.) | Previous Use | Pre-Tilling and Tilling Activities | Grassland Age (years) | Grass | Animal Load (ABU Ha−1) |
|---|---|---|---|---|---|---|---|
| <3250 | F1G | 2836 | Native forest | Preparation through ploughing, liming, and organic fertilization | >10 | Pennisetum clandestinum | 1 |
| F2G | 3211 | Native forest | Preparation through plowing, organic and inorganic fertilization, and pastures irrigation and rotation | >10 | Dactylis sp., Trifolium sp. and Lolium sp. | 2 | |
| >3250–<3550 | F3G | 3330 | Native forest | Forest logging and burning, solid preparation was made using plowing discs | 3 | Dactylis sp. and Pennisetum clandestinum | 1 |
| Tg5G * | 3477 | Tussock grass | Tussock grass burn | <3 | Calamagrostis intermedia | <0.2 | |
| >3550 | Tg6G | 3628 | Tussock grass | Vegetable cover cleaning, soil preparation through plowing and poultry fertilization | 5 | Lolium sp. | 0.5 |
| Tg7G | 3755 | Tussock grass | Ground preparation through harrow and adding of vegetal material into the soil | 7 | Lolium sp. and Dactylis sp. | 0.4 |
| Elevation Range (m a.s.l.) | Site Code | Type of Horizon a | Horizon Thickness (cm) | Number of Roots by dm−2 | pH | SOM b (%) | Structure c | Texture d |
|---|---|---|---|---|---|---|---|---|
| <3250 | F1 | A | 36–50 | 11–33 | 4.58–5.64 | 7.09–14.75 | B-Gr | Fac-FacAr |
| F2 | Ah | 34–106 | 30–200 | 4.89–5.72 | 17.08–39.63 | B-Gr | F | |
| >3250–<3550 | F3 | Ah | 44–82 | 10–40 | 5.05–5.23 | 13.53–16.11 | Gr-B | F-Fac |
| F4 | Ah | 50–57 | 32–64 | 5.06–5.19 | 19.58–29.85 | Gr | Fac | |
| Tg5 | Ah | 38–45 | 50–100 | 5.69–6.32 | 20.98–37.50 | Gr-B | FL-F | |
| >3550 | Tg6 | Ah | 28–55.5 | 84–>200 | 5.00–5.49 | 40.15–42.49 | Gr | Fac-FL |
| Tg7 | Ah | 20–38 | 30–110 | 5.08–5.82 | 11.38–23.71 | Gr | F-FL |
| Properties (0–10 cm) | ρ | Properties (10–25 cm) | ρ |
|---|---|---|---|
| Ksat 1 (cm h−1) | −0.74 * | Ksat 2 (cm h−1) | −0.66 * |
| BD 1 (g cm−3) | −0.29 * | BD 2 (g cm−3) | −0.15 |
| 0pF 1 (cm3 cm−3) | 0.68 * | 0pF 2 (cm3 cm−3) | 0.34 * |
| 0.5pF 1 (cm3 cm−3) | 0.66 * | 0.5pF 2 (cm3 cm−3) | 0.33 * |
| 1.5pF 1 (cm3 cm−3) | 0.71 * | 1.5pF 2 (cm3 cm−3) | 0.28 * |
| 2.52pF 1 (cm3 cm−3) | 0.70 * | 2.52pF 2 (cm3 cm−3) | 0.23 |
| 3.4pF 1 (cm3 cm−3) | 0.08 | 3.4pF 2 (cm3 cm−3) | −0.19 |
| 4.2pF 1 (cm3 cm−3) | 0.04 | 4.2pF 2 (cm3 cm−3) | −0.11 |
| GW 1 (cm3 cm−3) | −0.27 * | GW 2 (cm3 cm−3) | 0.11 |
| AW 1 (cm3 cm−3) | 0.73 * | AW 2 (cm3 cm−3) | 0.37 * |
| SOM 1 (%) | 0.32 * | SOM 2 (%) | 0.20 |
© 2018 by the authors. Licensee MDPI, Basel, Switzerland. This article is an open access article distributed under the terms and conditions of the Creative Commons Attribution (CC BY) license (http://creativecommons.org/licenses/by/4.0/).
Share and Cite
Marín, F.; Dahik, C.Q.; Mosquera, G.M.; Feyen, J.; Cisneros, P.; Crespo, P. Changes in Soil Hydro-Physical Properties and SOM Due to Pine Afforestation and Grazing in Andean Environments Cannot Be Generalized. Forests 2019, 10, 17. https://doi.org/10.3390/f10010017
Marín F, Dahik CQ, Mosquera GM, Feyen J, Cisneros P, Crespo P. Changes in Soil Hydro-Physical Properties and SOM Due to Pine Afforestation and Grazing in Andean Environments Cannot Be Generalized. Forests. 2019; 10(1):17. https://doi.org/10.3390/f10010017
Chicago/Turabian StyleMarín, Franklin, Carlos Quiroz Dahik, Giovanny M. Mosquera, Jan Feyen, Pedro Cisneros, and Patricio Crespo. 2019. "Changes in Soil Hydro-Physical Properties and SOM Due to Pine Afforestation and Grazing in Andean Environments Cannot Be Generalized" Forests 10, no. 1: 17. https://doi.org/10.3390/f10010017
APA StyleMarín, F., Dahik, C. Q., Mosquera, G. M., Feyen, J., Cisneros, P., & Crespo, P. (2019). Changes in Soil Hydro-Physical Properties and SOM Due to Pine Afforestation and Grazing in Andean Environments Cannot Be Generalized. Forests, 10(1), 17. https://doi.org/10.3390/f10010017

