Next Article in Journal
Multiperiod Hedging using Futures: Mean Reversion and the Optimal Hedging Path
Previous Article in Journal
Use of Bayesian Estimates to determine the Volatility Parameter Input in the Black-Scholes and Binomial Option Pricing Models
 
 
Journal of Risk and Financial Management is published by MDPI from Volume 6 Issue 1 (2013). Previous articles were published by another publisher in Open Access under a CC-BY (or CC-BY-NC-ND) licence, and they are hosted by MDPI on mdpi.com as a courtesy and upon agreement with Prof. Dr. Raymond A. K. Cox and Prof. Dr. Alan Wong.
Font Type:
Arial Georgia Verdana
Font Size:
Aa Aa Aa
Line Spacing:
Column Width:
Background:
Article

Periodically Collapsing Bubbles in Stock Prices Cointegrated with Broad Dividends and Macroeconomic Factors

1
Florida International University, USA
2
Department of Economics, University Park DM 320A, Florida International University, Miami, FL 33199, USA
*
Author to whom correspondence should be addressed.
J. Risk Financial Manag. 2011, 4(1), 97-132; https://doi.org/10.3390/jrfm4010097
Published: 31 December 2011

Abstract

:
We study fluctuations in stock prices using a framework derived from the present value model augmented with a macroeconomic factor. The fundamental value is derived as the expected present discounted value of broad dividends that include, in addition to traditional cash dividends, other payouts to shareholders. A stochastic discount factor motivated by the consumption-based asset pricing model is utilized. A single macroeconomic factor, namely the output gap determines the non-fundamental component of stock prices. A resulting trivariate Vector Autoregression (TVAR) model of stock prices, broad dividends, and the output gap shows evidence of cointegration in the DJIA and S&P 500 index data. Nonetheless, a sup augmented Dickey-Fuller test reveals existence of periodically collapsing bubbles in S&P 500 data during the late 1990s.
JEL Classification:
E44; E47; G12; G1

1. INTRODUCTION

Most research on understanding the behavior of stock prices is based on the present value model (PVM) or the more general consumption-based model. The present value model was rejected in the early 1980s by LeRoy and Porter (1981), Shiller (1981), and West (1988) when applied to real economic data. The consumption-based model, which allows for a stochastic discount factor, was also found unable to fully support both the level and volatility of stock prices by an extensive literature originating with the work of Mehra and Prescott (1985).
Several modifications of the two models as well as alternatives have been suggested. For instance, more precise measures of fundamentals such as broad dividends and net payouts in place of traditional cash dividends in the present value model, habit formation in consumption designed to add volatility to the stochastic discount factor in the consumption-based model to overcome smoothness in observed consumption, new utility functions such as Epstein-Zin (1989) recursive utility, heterogeneous agent models, irrational expectations on the part of investors, and bubbles have been proposed to resolve the discrepancy between the empirical implications of the two models and observed stock market data. However, none of these explanations has been convincing enough to stop the search for alternative explanations for rationalizing movements in stock prices.
The impetus to this paper is that macroeconomic factors such as business cycle indicators are found to have predictive power over stock market returns. If we incorporate these macroeconomic factors (as non-fundamentals), these factors along with fundamentals may be able to explain stock prices better.
It is well known that stock prices are procyclical. Broad dividends, net payouts, or other forms of fundamentals do not show this pattern. The present value model with a constant discount rate cannot explain this comovement of stock prices with business cycles. Also, inherent smoothness in observed consumption determining the stochastic discount factor in the consumption-based model does not provide enough volatility around business cycles to explain this procyclical pattern of stock prices either. Other alternatives to the two models noted earlier are not able to address this property as well.
Stock markets have never been isolated from other economic activity. As Fischer and Merton (1984) state, there is a close empirical connection between stock market movements and the subsequent behavior of the economy. The consumption-based model of Lucas (1978) is the simplest general equilibrium asset pricing model. It relates stock prices to the real economy by equating the stochastic discount factor to the intertemporal marginal rate of substitution which is a function of aggregate optimal consumption.
But, considering the quite smooth consumption data since World War II, the high returns and volatility of stock returns have been perplexing. Unless risk aversion is much higher than is deemed acceptable, these equity premium and excess volatility puzzles (see Mehra and Prescott (1985) and Shiller (1981)) cannot be resolved.
Lately, many economists have tried to use macroeconomic factors to predict asset returns since, apparently, information drawn from the past values of dividends and aggregate consumption alone is not sufficient to understand movements in stock prices. These macro factors contain independent information, besides the fundamentals, to account for the procyclical pattern of stock prices.
In this study, we try to address whether stock prices, fundamentals, and non- fundamentals are cointegrated. A theory free Vector Autoregression (VAR) framework developed from the consumption-based model is used to test for cointegration between these three variables. Cointegration between them would suggest that stock prices share a common long run linear trend with fundamentals and macro factors. If we cannot find cointegration between them, there may be either a nonlinear relationsip between these variables or we may have missed some other elements, such as expectations generated from new technologies.
But, even if we find cointegration between stock prices, fundamentals, and macro factors, it still does not rule out the presence of periodically collapsing bubbles (as described in Evans (1991)). These could potentially make the behavior of an explosive series appear like an I(1) or even stationary series. Phillips et al. (2007) discuss this issue. They develop ADFr and sup ADFr statistics to test for the existence of periodically collapsing bubbles.
The rest of the paper is organized as follows. Section 1 discusses literature related to the measures of fundamentals and macro factors (non-fundamentals) used in the paper. Section 2 builds up the theoretical model. Section 3 develops the VAR framework as well as the single equation model for cointegration tests, and discusses the sup augmented test for periodically collapsing bubbles. Section 4 describes the data and provides empirical results of the analysis. Section 5 concludes with a summary of the main findings of the paper. An appendix provides technical details on the sup augmented test for periodically collapsing bubbles.

2. RELATED LITERATURE

2.1. Fundamentals (Broad Dividends)

Traditional cash dividends have failed to satisfy the Euler equation of the consumption- based asset pricing model of Lucas (1978) since the 1980s. Modern dividend policy has distorted investors’ judgments on the true profitability of a firm. Fama and French (2001) address the disappearing dividends phenomenon. Boudoukh et al. (2007) show that repurchases had substituted for dividends over the last 20 years since SEC rule 10b-18 was released in 1985, which provided a legal safe harbor for firms to repurchase shares. A structural break is found in dividend yield series around the time of the enactment of this rule. New measures of dividends are therefore useful.
Boudoukh et al. (2007) find total payouts and net total payouts to have significant predictive power for equity returns instead of narrow dividends. Total payouts are the sum of narrow dividends and repurchases. Net total payouts are total payouts less seasoned equity issues. These payouts refer to distributed cash flows going to shareholders. No instability is detected in these payout measures around the time of release of the SEC rule 10b-18.
Regression of returns on the payout yield over the period 1926 to 1985 show that payout yield coefficient is very similar to that found in the period 1926 to 2003, which shows that repurchases have substituted for dividends over the later period. At the same time, net total payout yield shows a striking explanatory power for excess market returns compared with dividend yield and total payout yield. The results in Boudoukh et al. (2007) imply that asset pricing tests employing measures of cash distributions to shareholders are less likely to accurately capture effects of fundamentals if these studies ignore repurchases.
Broad dividends include not only conventional cash dividends but also other forms of cash payouts to shareholders (e.g., share repurchases and acquisitions). So, they still apply to firms for which regular cash dividends are 0. Broad dividends are valid for companies which substitute dividends with repurchases, and companies which have earnings but postpone payments of dividends until much later in their life cycle.
Broad dividends are chosen in this study to replace narrow traditional dividends as fundamentals. Broad dividends Xt are calculated as earnings Rt in time period t minus all changes in book value (Bt − Bt−1) , Xt = Bt−1 + RtBt. See Ohlson (1991, 1995), Feltham and Ohlson (1995), and Jiang and Lee (2005) for a detailed discussion of broad dividends and related cash flow measures.
While broad dividends include more information than net total payouts, such as acquisitions and any other changes in book values, it is not clear that those acquisitions, along with some repurchases, would be taken as information when forming expectations of future payouts. Also, for companies who do not have much earnings and do not pay much dividends but have high values, such as dot com companies in early stages in their life cycle, broad dividends do not have much theoretical explanatory power. Predicting future payouts of such companies requires more information than that contained in just the historical data, such as for instance the age of companies explored in Pastor and Veronesi (2003). But, in this paper, we take a simpler approach and view such information as noise outside of the investors’ information set.

2.2. Non-Fundamentals (Macroeconomic Factors)

Lee (1998), Allen and Yang (2000) use a Trivariate Moving Average (TMA) to model how prices behave in response to three types of innovations: permanent and temporary changes in fundamentals, and non-fundamental factors, by imposing restrictions on the model to identify each kind of innovations. Results show that non-fundamentals contribute a substantial fraction to the variance of the Australian stock market data. But they do not specify what the non-fundamental factors are nor their characteristics.
Ludvigson and Ng (2005) perform dynamic factor analysis with large datasets to investigate possible empirical linkages between forecastable variation in excess returns of one through five year zero coupon U.S. Treasury Bond and macroeconomic fundamentals. Several common factors generated from large datasets of 132 economic series have strong explanatory power for excess returns. Rangvid (2006) shows that the ratio of share prices to GDP tracks a larger fraction of variation over time in expected returns on the aggregate stock market than do price-earnings and price-dividend ratios.
Cooper and Priestley (2007) single out the output gap, a production based macroeconomic variable and prime business indicator, as the non-fundamental factor. Their work shows that output gap is a strong predictor of U.S. stock returns and that it forecasts returns both in- and out-of-sample. As discussed in Cooper and Priestley (2007), the output gap has several apriori advantages over other predictive variables, including price ratios such as Lettau and Ludvigson’s (2001) cay. Moreover, as noted in Cochrane (2005), the output gap uses only production-related data and, hence, its predictive power constitutes independent evidence regarding the variation of risk premia over the business cycle.
Thus, the above studies have shown that non-fundamental factors are important for explaining stock price fluctuations. Moreover, we can specify the output gap as one such factor. But they do not address whether this factor is sufficient to explain the volatility of stock prices.
Most research, including all the studies mentioned above, explore only a linear relationship between stock prices and macro factors correlations between returns and the macro factors.

3. THEORETICAL MODELS

3.1. The Consumption-Based Asset Pricing Model

The consumption-based model of Lucas (1978) features a stochastic discount factor, which improves on the unrealistic assumption of a constant discount factor in the present value model. Consider the optimization problem of an agent with time-separable utility, which can be written as maximizing the lifetime expected discounted value of utilities of consumption:
Jrfm 04 00097 i001
where β = 1 (1+ r) , and r is the subjective rate of time preference. Within an exchange economy, for a consumer who can freely buy or sell assets, under rational expectations, to maximize consumer’s utility, the Euler equation is
Jrfm 04 00097 i002
where Pit is the real price of asset i at time period t and Dit+1 is the real dividend paid at t+1 time period. The information set is available to all market participants at time t. Here, we only care about aggregate stock prices and dividends, so we drop the subscript i in the Euler equation to obtain
Jrfm 04 00097 i003

3.2. Fundamental Value of an Asset

From Equation (3), we get
Jrfm 04 00097 i004
Marginal utility u'(Ct) is a decreasing function of Ct, being high in recessions and low in expansions. Coupled with the procyclical nature of prices, this leads to less variation in the present sacrificed utility u'(Ct)Pt through business cycles than in Pt.
Assume a constant relative risk aversion (CRRA) utility function Jrfm 04 00097 i005, where α is the coefficient of relative risk aversion. With this utility function, Equation (4) yields
Jrfm 04 00097 i006
Figure 1 shows real stock prices, both actual (raw) and those deflated by marginal utility Jrfm 04 00097 i007. Given the discussion in Section 1.1, using Xt to denote broad dividends, this is re-expressed as
Jrfm 04 00097 i008
Denoting Jrfm 04 00097 i009, we can rewrite
Jrfm 04 00097 i010
Figure 2 shows real broad dividends and deflated broad dividends X ͡ t + 1 . From now on, for convenience, X ͡ t and P ͡ t are called broad dividends and stock prices, whereas Xt and Pt are referred to as raw broad dividends and raw stock prices, respectively.
By iterating Equation (7) forward and imposing a transversality condition, we get a special solution to the above Euler equation
Jrfm 04 00097 i011
where P ͡ t * is called the (marginal utility-deflated) fundamental value of a stock.

3.3. Non-Fundamentals or Macroeconomic Factors

Following up on the discussion in Section 1.2, we assume that stock prices are made up of the fundamental value P ͡ t * and a non-fundamental component Bt. For simplicity, we assume that the non-fundamental component is simply deviation of stock price from its fundamental value, that is
Jrfm 04 00097 i012
We define Bt as a linear function of the output gap, providing a direct link between stock prices and the single macroeconomic factor under consideration. Figure 3 plots the output gap.
The non-fundamental price is assumed to be
Jrfm 04 00097 i013
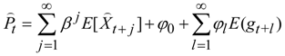
where gt is the output gap at time t. The non-fundamental price is a linear function of expected future output gaps, with ϕl being the weights restricted as Jrfm 04 00097 i014 to ensure finite prices.
Substituting P ͡ t * and Bt in Equation (9) gives stock prices as the present value of future expected broad dividends plus weighted expected future output gaps
Jrfm 04 00097 i015

4. ECONOMETRIC MODELS

4.1. VAR Framework

A trivariate Vector Autoregression (TVAR) framework is set up for P ͡ t , X ͡ t and gt
Jrfm 04 00097 i016
where amn(L) are polynomials of order k in the lag operator.
We test this TVAR to see whether P ͡ t , X ͡ t and gt cointegrate, according to Johansen (1988) and Stock and Watson (1988) procedures. Details on these procedures are given in Appendix A. Unlike Campbell and Shiller (1986), we only test the unrestricted TVAR above for cointegration.

4.2. Single Equation Framework

Compared with the Johansen (1988) and Stock and Watson (1988) cointegration tests, the Engle-Granger (1987) procedure has several defects. It may give different results depending on the dependent variable chosen. Also, being a two-step estimation procedure, error in the first step is carried over to the second step.
However, for our purposes here, based on the Engle-Granger procedure, we can apply the sup ADFr test developed by Phillips et al. (2007) to test whether stock prices, fundamentals, and no-fundamentals truly cointegrate or there exist periodically collapsing bubbles.
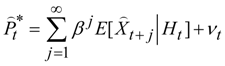
Suppose HtIt, contains only the information on current and past broad dividends. Then, the fundmanetal value of the stock can be rewritten from Equation (8) as
Jrfm 04 00097 i017
where Jrfm 04 00097 i018.
If X ͡ t follows an autoregressive (AR) model,
Jrfm 04 00097 i019
then
Jrfm 04 00097 i020
The non-fundamental component of the stock price can be rewritten from Equation (10) as
Jrfm 04 00097 i021
where Jrfm 04 00097 i022.
If the output gap is also modeled as an AR process
Jrfm 04 00097 i023
then the non-fundamental part in Equation (16) becomes a linear function of past values of the output gap
Jrfm 04 00097 i024
Susbtituting from Equations (15) and (18) into Equation (9), the corresponding single equation for stock prices becomes
Jrfm 04 00097 i025
Besides the TVAR cointegration test by Johansen (1988) and Stock and Watson (1988) discussed in Section 3.1 above, we apply the Engle-Granger (1987) single equation method to test for cointegration between P ͡ t , X ͡ t , and gt. Additionally, this single equation will also be used to test for existence of periodically collapsing bubbles as elaborated in the next section.

4.3. Test for Periodically Collapsing Bubbles

Evans (1991) argues that explosive behavior is only temporary when economic bubbles periodically collapse. In such cases, the observed trajectories may appear more like an I(1) or even stationary series, thereby confounding empirical evidence. He demonstrates that standard unit root tests have difficulties in detecting such periodically collapsing bubbles. Thus, a test of periodically collapsing bubbles is necessary since, even if we find cointegration between the time series concerned, we cannot rule out the existence of such bubbles.
Phillips et al. (2007) develop ADFr (augmented Dickey-Fuller) and sup ADFr test statistics for detecting periodically collapsing bubbles. A series of ADF test statistics is obtained by forward recursive regressions on the time series concerned. The first regression may contain nr = [nr0] observations, for some fraction r0 of the total sample. Subsequent regressions employ this data set, supplemented by successive observations thus utilizing an increasing sample of size nr = [nr] for r0r ≤ 1. ADF1 thencorresponds to the full sample. Under the null, we have
Jrfm 04 00097 i026
where W is the standard Brownian motion.
Sup ADFr is obtained by choosing the largest value in the series of ADFr test statistics. To locate the timing of bubbles, we compare the series of ADFr test statistics with the right tailed critical values from the asymptotic distribution of the standard ADF test statistic.
We apply the first step of the Engle-Granger (1987) procedure, estimation of long-run equilibrium relationship, given in Equation (19). Then, we apply Phillips et al. (2007) method to residuals from the first step. Further details are provided in the Appendix.

5. EMPIRICAL RESULTS

5.1. Data

We use two data sets, Standard and Poor 500 (S&P 500) and Dow Jones Industrial Average (DJIA) indices. Both contain annual aggregate price indices, earnings, and book values from 1949-2004. Annual prices are calculated as prices in January divided by producer price index (PPI). Earnings and book values are also deflated by the PPI. Index earnings series are earnings per share, adjusted to index, 4-quarter total, fourth quarter. S&P index data is obtained from CRSP, and annual DJIA index data are from Value Line publication, A Long-Term Perspective: Dow Jones Industrial Average. Seasonally adjusted observations on aggregate real consumption of nondurables and services are obtained from Federal Reserve Board publications. Real per capita consumption series are constructed by dividing each observation by population, published by the Bureau of Census. Output gap is obtained from St. Louis Fed Economic Data.
It is well-known that, in order to explain the equity premium puzzle, the CRRA coefficient α needs to be much higher than a value of one. West (1988) shows that α needs to take a value higher than 1 in order to meet the volatility test of the consumption- based model. Here, we choose a reasonably low number for α to avoid the suspicion that a high value for α is what accounts for movements in stock prices that we are interested in understanding. A value of 1.001 is assigned, although alternatively choosing a value of 0.99, 1, or 1.05 for would not materially affect our conclusions.

5.2. Results

5.2.1. Tests for Unit Roots

A preliminary test is done to check for unit roots in variables appearing in the TVAR model of Equation (12). An augmented Dickey-Fuller (ADF) test is performed on stock prices Pt, broad dividends Xt, and the output gap gt. We also test raw (not deflated by marginal utility) stock prices Pt and broad dividends Xt for comparison.
Table 1 reports the ADF test statistics. All statistics are larger than the left tail critical values at the 0.05 significance level. Thus, we fail to reject a unit root in all the variables.
We next check correlation between the output gap and each of stock prices and dividends. Table 2 provides the coefficient of determination in individual regressions of Xt, X ͡ t , Pt, P ͡ t on gt, respectively. Their pairwise correlation coefficient is also reported in the table. We find that broad dividends, whether deflated by marginal utility or not, have no significant correlation with gt, since values of the coefficient of determination and the correlation coefficient are both very low. This indicates that the output gap contains information that is orthogonal to broad dividends.
Raw (not deflated by marginal utility) stock prices Pt also show low correlation with the output gap. However, stock prices deflated by marginal utility P ͡ t show higher correlation, as high as 0.35 for DJIA data.

5.2.2. Tests for Cointegration

We now proceed to test for cointegration between stock prices, broad dividends, and the output gap using the TVAR and single equation frameworks of section 3.1 and section 3.2. For comparison of results with the TVAR framework, a bivariate Vector Autoregression (BVAR) model of broad dividends and stock prices is also tested. Unlike the BVAR framework of Campbell and Shiller (1986), our BVAR model is unrestricted for ease of comparison with the TVAR framework.
The cointegration tests used here follow the procedures of Johansen (1988) and Stock and Watson (1988). See Enders (1995) for a textbook exposition. Results are reported in Table 3, Table 4, Table 5 and Table 6. r is the number of linearly independent cointegrating vectors. The null hypothesis stated in the first column rx is that there are x or less than xindependent cointegrating vectors against the alternative r= x+1, x+ 2,..., or n, where n is the length of the vector being tested for cointegration (2 for BVAR models and 3 for TVAR models). If the test statistic is larger than critical value, we reject the null hypothesis.
In what follows, we make three comparisons of test results. First, we compare test results from the BVAR and the TVAR frameworks (Panels A versus B in Table 3, Table 4, Table 5 and Table 6). Second, we compare results for raw stock prices and dividends not deflated
by marginal utility (that is, Table 3 and Table 4 labeled ‘without consumption data’) with the deflated versions of these variables (that is, Table 5 and Table 6 labeled ‘with consumption data’). Third, we compare results of DJIA data with S&P 500 data (that is, compare Table 3 versus 4, and Table 5 versus 6).
We discuss results from the tables below at the 0.05 significance level. For BVAR models we cannot reject the null hypothesis that there is no vector cointegrating stock prices and broad dividends (raw or deflated by marginal utility) for both the DJIA and S&P 500 data. Broad dividends alone do not sufficiently account for movements of stock prices, even in the long run. Hence, in what follows, we do not consider BVAR models any further.
We now compare results for raw stock prices and dividends with those deflated by marginal utility for the TVAR models only. We find that for models with raw data (Panel B in Table 3 and Table 4), we cannot reject the hypothesis that there is no vector cointegrating stock prices, broad dividends, and the output gap for either the DJIA or the S&P 500 data.
However, for models with deflated data (Panel B in Table 5 and Table 6), we reject that there is no cointegrating vector when stock prices and broad dividends are deflated by marginal utility. When we test for how many independent cointegrating vectors exist between these three variables, we cannot reject the hypothesis that there is zero or one cointegrating vector against the alternative that there are 2 vectors. We conclude that there is a single vector with which stock prices, broad dividends, and the output gap cointegrate.
When we make the third comparison of DJIA against S&P data, we do not find any qualitative difference in our statistical inferences whatsoever.
In summary, for both the DJIA and S&P data, deflated broad dividends along with the output gap can account for long run movements in deflated stock prices (cointegration between the three variables) within the TVAR framework. Broad dividends alone cannot rationalize long run movements in stock prices (no cointegration between the two). As discussed earlier in the previous section, output gap is largely orthogonal to broad dividends (whether deflated by marginal utility or not). Hence, it can account for the procyclical fluctuations in stock prices (whether deflated by marginal utility or not).

5.2.3. Tests for Periodically Collapsing Bubbles

As discussed in Phillips et al. (2007), evidence of cointegration does not preclude existence of periodically collapsing bubbles. In what follows, we test for such bubbles, but only with stock prices and broad dividends deflated by marginal utility since raw prices and dividends fail to exhibit cointegration in TVAR tests reported in the previous subsection.
Panel A of Table 7 reports sup ADFr statistics and ADF1 statistics (equivalent to the single equation cointegration test statistic of Engle and Granger (1988)). Panel B provides critical values for both test statistics. The last column in Panel B reproduces critical values for the sup ADFr test statistic obtained by Monte-Carlo simulations with 10,000 replications given in Phillips et al. (2007).
The ADF1 test statistics reported in the second row of Panel A are all less than the critical value at the 0.05 significance level. Thus, we cannot reject unit roots in the residuals of the single equation framework given in Equation (19). This means that we reject cointegration for both the DJIA and S&P series even when the output gap is included in the stock price equation. This is not totally consistent with the TVAR cointegration tests reported in the previous subsection where we did find cointegration between the three variables when prices and dividends are deflated by marginal utility.
Although our dataset runs from 1949 to 2004, the ADFr test statistics are only computed from 1963 through 2004 by forward recursive regressions as in Phillips et al. (2007). Sup ADFr test statistics reported in the first row of Panel A show no explosive behavior in residuals from Equation (19) for the DJIA (with or without including the output gap). For the S&P series, however, both test statistics (for equations with and without the output gap) are larger than the 0.05 critical value. Thus, the null hypothesis of no explosive behavior in the residuals of Equation (19) is rejected. We therefore cannot rule out existence of periodically collapsing bubbles in S&P 500 data series. There is something in these stock prices that cannot be fully accounted for by both the fundamentals and macroeconomic factors considered here.
Next, we locate the timing of these periodically collapsing bubbles. Figure 4 and Figure 5 plot the ADFr test statistics against time for the DJIA and S&P 500 series, respectively. The solid lines plot ADFr test statistics for regression of stock prices on broad dividends only. The dashed lines plot these statistics for regression of stock prices on both broad dividends and the output gap. Critical values at the 0.05 and 0.10 significance levels are also shown.
As evident in the figures, compared with regressions of stock prices only on broad dividends, regressions on broad dividends and the output gap lower the ADFr test statistics. This is reasonable since, as reported in subsection 4.2.1, the output gap contains procyclical information on stock prices that is orthogonal to broad dividends.
From Figure 4, with the output gap, there is no evidence of periodically collapsing bubbles in the DJIA data even at the 0.10 significance level. Without the output gap, however, at the 0.10 significance level, we find two periodically collapsing bubbles, one around 1980 and one in the late 1990s. From Figure 5, we find periodically collapsing bubbles in S&P 500 data (with and without the output gap) in the late 1990s at the 0.05 significance level.

5.3. Discussion

Stock prices in the 1990s have been investigated extensively. There is debate over whether the run up in prices was due to irrational exuberance or due to reasonable expectations based on arrival of new technology, echoing a similar debate over the stock market run up in the 1920s (White 2006).
In the 1920s, a new industrial system emerged with continuous-process technology, large-scale new industry (automobiles), widespread use of internal combustion engines, and the spread of electricity. In New Levels in the Stock Market (1929), Charles Amos Dice (1929) argued that higher stock prices were the product of higher productivity. Dice identified increased expenditure on research and development and the application of modern management methods as prime factors behind the boom. Irving Fisher (1930) saw the stock market boom as justified by rising earnings, driven by systematic application of science and invention in industry, and the acceptance of new industrial management methods of Frederick Taylor (1911).
In the 1990s, rapid developments in computers, information technology, and biotechnology were heralded as placing the economy on a higher trajectory. This “new era” vision was supported by some economists. It potentially explains why we find periodically collapsing bubbles in S&P 500 data but not in DJIA, since there are more companies in S&P 500 than DJIA involved with those new technologies.
If one takes the view that the run up in stockprices is indeed caused by expectations of “new era”, then further research is needed to understand how investors build expectations for this kind of “new era”, and what kind of indicators we could use to model such expectations.

6. CONCLUSIONS

We investigate a model of stock prices, made up of fundamental and non-fundamental components. Fundamental component is formed as expected present value of all future broad dividends, discounted with a stochastic factor motivated by the consumption-based asset pricing model. Non-fundamental component is formed as a linear function of a macroeconomic factor, namely the output gap.
A trivariate VAR (TVAR) model for stock prices, broad dividends, and the output gap is used to test for cointegration between these three variables with Johansen (1988) and Stock and Watson (1988) procedures. A single equation model relating these three variables is used to test for periodically collapsing bubbles with the ADFr and Sup ADFr tests of Phillips et al. (2007).
We test the model with U.S. stock market data on annual DJIA and S&P 500 indices. We find that both stock price indices cointegrate with broad dividends and the output gap. At the same time, however, according to the sup ADFr test, we cannot rule out existence of periodically collapsing bubbles in S&P 500 data. The bubbles are in the 1990s booming period.

Appendix: ADFr and Sup ADFr Tests

The single equation for the ADFr and sup ADFr tests is equation (19)
Jrfm 04 00097 i027
The first step is to estimate the above equation with OLS regression. The lag length k is determined by the minimum SIC criterion.
In the second step of the Engle-Granger (1987) test for cointegration, we consider the following autoregression of the residuals
Jrfm 04 00097 i028
If the estimated residuals ω ˆ t are stationary, then P ͡ t , X ͡ t , and gt are cointegrated. As is well-known, this is the standard augmented Dickey-Fuller (ADF) test.
For the ADFr and sup ADFr tests for periodically collapsing bubbles, recursive regressions (B1) are estimated. The first regression may contain nr = [nr0] observations, for some fraction r0 of the total sample. Subsequent regressions employ this data set, supplemented by successive observations thus utilizing an increasing sample of size nr = [nr] for r0r ≤ 1 . ADF1, corresponding to the full sample, is also the Engle-Granger (1987) test statistic for cointegration. Under the null, we have
Jrfm 04 00097 i029
where W is the standard Brownian motion.
Sup ADFr is obtained by choosing the largest value in the series of ADFr test statistics obtained from the recursive regressions of Equation (B1). To locate the timing of periodically collapsing bubbles, we compare the ADFr test statistics with the right tailed critical values from the asymptotic distribution of the standard ADF test statistic.

References

  1. David Allen, and Young Wenling. “Variation of Share Prices Due to Fundamental and Non-fundamental Innovations.” Working Paper 00.5; School of Finance and Business Economics, Edith Cowan University, 2000. [Google Scholar]
  2. Jacob Boudoukh, Michaely Roni, Richardson Matthew, and R. Roberts Michael. “On the Importance of Measuring Payout Yield: Implications for Empirical Asset Pricing.” Journal of Finance 62, 2 (2007): 877–915. [Google Scholar] [CrossRef]
  3. John Y. Campbell, and J. Shiller Robert. “Cointegration and Tests of Present Value Models.” Journal of Political Economy 95, 5 (1986): 1062–1088. [Google Scholar] [CrossRef]
  4. John Cochrane. “Financial Markets and the Real Economy.” NBER Working Papers No. 11193. 2005. [Google Scholar]
  5. Ian Cooper, and Priestley Richard. “Time-Varying Risk Premia and the Output Gap.” Review of Financial Studies 22, 7 (2009): 2801–2833. [Google Scholar] [CrossRef]
  6. Charles Amos Dice. New Levels in the Stock Market. McGraw-Hill Book Co., 1929. [Google Scholar]
  7. Robert Engle, and W.J. Granger Clive. “Co-integration and Error Correction: Representation, Estimation and Testing.” Econometrica 55, 2 (1987): 251–276. [Google Scholar] [CrossRef]
  8. Larry G. Epstein, and E. Zin Stanley. “Substitution, Risk Aversion, and the Temporal Behavior of Consumption and Asset Returns: An Empirical Analysis.” Journal of Political Economy 99, 2 (1991): 263–286. [Google Scholar] [CrossRef]
  9. Eugene F. Fama, and R. French Kenneth. “French. Disappearing Dividends: Changing Firm Characteristics or Lower Propensity to Pay? ” Journal of Financial Economics 60, 1 (2001): 3–43. [Google Scholar] [CrossRef]
  10. Gerald A. Feltham, and A. Ohlson James. “Valuation and Clean Surplus Accounting for Operating and Financial Activities.” Contemporary Accounting Research 11, 4 (1995): 689–731. [Google Scholar] [CrossRef]
  11. Stanley Fischer, and C. Merton Robert. “Macroeconomics and Finance: The Role of the Stock Market.” Carnegie-Rochester Conference Series on Public Policy, 1984, 21, 1, 57–108. [Google Scholar]
  12. Irving Fisher. “The Stock Market Crash and After.” Macmillan Company, 1930. [Google Scholar]
  13. Xiaoquan Jiang, and Lee Bon-Soo. “An Empirical Test of the Accounting-Based Residual Income Model and the Traditional Dividend Discount Model.” Journal of Business 78, 4 (2005): 1465–1504. [Google Scholar] [CrossRef]
  14. Soren Johansen. “Statistical Analysis of Cointegrating Vectors.” Journal of Economic Dynamics and Control 12, 2 (1988): 231–254. [Google Scholar] [CrossRef]
  15. Boo Soo Lee. “Permanent, Temporary, and Nonfundamental Components of Stock Prices.” Journal of Financial and Quantitative Analysis 33, 1 (1998): 1–32. [Google Scholar] [CrossRef]
  16. Stephen F. LeRoy, and D. Porter Richard. “The Present-Value Relation: Tests Based on Implied Variance Bounds.” Econometrica 49, 3 (1981): 555–74. [Google Scholar] [CrossRef]
  17. Martin Lettau, and Ludvigsion Sydney. “Time-Varying Risk Premia and the Cost of Capital: an Alternative Implication of the Q Theory of Investment.” Journal of Monetary Economics 49, 1 (2002): 31–66. [Google Scholar] [CrossRef]
  18. Robert E Lucas Jr. “Asset Prices in an Exchange Economy.” Econometrica 46, 6 (1978): 1429–45. [Google Scholar] [CrossRef]
  19. Sydney Ludvigson, and Ng Serena. “Macro Factors in Bond Risk Premia, forthcoming.” Review of Financial Studies, 2005. [Google Scholar]
  20. N. Gregory Mankiw, and Shapiro Matthew. “Risk and Return: Consumption versus Market Beta.” Review of Economics and Statistics 68, 3 (1984): 452–459. [Google Scholar] [CrossRef]
  21. Rajnish Mehra, and C. Prescott Edward. “The Equity Premium: A Puzzle.” Journal of Monetary Economics 15, 2 (1985): 145–161. [Google Scholar] [CrossRef]
  22. James A. Ohlson. “The Theory of Value and Earnings, and an Introduction to the Ball-Brown Analysis.” Contemporary Accounting Research 8, 3 (1991): 1–19. [Google Scholar] [CrossRef]
  23. James A. Ohlson. “Earnings, Book Values, and Dividends in Equity Valuation.” Contemporary Accounting Research 11, 2 (1995): 661–687. [Google Scholar] [CrossRef]
  24. Lubos Pastor, and Pietro. Veronesi. “Stock Valuation and Learning about Profitability.” Journal of Finance 58, 5 (2003): 1749–1790. [Google Scholar] [CrossRef]
  25. Peter C. B. Phillips, Wu Yangru, and Yu Jun. “Explosive Behavior in 1990s Nasdaq: When Did Exuberance Escalate Asset Values? ” Hong Kong Institute for Monetary Research: Working Paper No. 222007. 2007. [Google Scholar]
  26. Jesper Rangvid. “Output and Expected Returns.” Journal of Financial Economics 81, 3 (2006): 595–624. [Google Scholar] [CrossRef]
  27. Sanford J. Grossman, and J. Shiller Robert. “The Determinants of the Variability of Stock Market Prices.” American Economic Review 71, 2 (1981): 222–27. [Google Scholar]
  28. Robert J. Shiller. “Do Stock Prices Move Too Much to Be Justified by Subsequent Changes in Dividends? ” American Economic Review 71, 3 (1981): 421–436. [Google Scholar]
  29. James H Stock, and W. Watson Mark. “Variable Trends in Economic Time Series.” Journal of Economic Perspectives 2, 3 (1988): 147–74. [Google Scholar] [CrossRef]
  30. Frederick W. Taylor. “Principles of Scientific Management.” Harper & brothers, 1911. [Google Scholar]
  31. Kenneth D. West. “Dividend Innovations and Stock Price Volatility.” Econometrica 56, 1 (1988): 37–61. [Google Scholar] [CrossRef]
  32. Eugene N. White. “Bubbles and Busts: The 1990s in the Mirror of the 1920s, The Global Economy in the 1990s: A Long-run perspective.” 2006, 193–217. [Google Scholar]
Figure 1. Stock Prices
Figure 1. Stock Prices
Jrfm 04 00097 g001
Real prices are index prices deflated by PPI (1982 is the base base).
Figure 2. Broad Dividends
Figure 2. Broad Dividends
Jrfm 04 00097 g002
Real broad dividends are broad dividends on stock indices deflated by PPI (1982 is the base year).
Figure 3. Output Gap
Figure 3. Output Gap
Jrfm 04 00097 g003
Output gap is obtained from St. Louis Fed Economic Data.
Figure 4. ADFr Test Statistics for DJIA
Figure 4. ADFr Test Statistics for DJIA
Jrfm 04 00097 g004
Explanatory notes as in Table 7.
Figure 5. ADFr Test Statistics for S&P 500
Figure 5. ADFr Test Statistics for S&P 500
Jrfm 04 00097 g005
Explanatory notes as in Table 7.
Table 1. Unit Root Tests
Table 1. Unit Root Tests
variablesDJIAS&P
Pt0.2977-0.5150
Xt-2.0833-1.9025
P ͡ t -2.0096-1.4935
X ͡ t -2.5006-2.0460
gt-2.7622
Notes:
  • An AR(p) model Jrfm 04 00097 i030 with constant, but no time trend, is used here for each series.
  • The lag length p is determined by minimum SIC criterion.
  • The table reports ADF test statistics for unit roots.
Table 2. Correlations with Output Gap
Table 2. Correlations with Output Gap
Jrfm 04 00097 i031
Notes:
  • The first row for each of the two stock price indices reports the coefficient of determination R2 in individual regressions of Xt, X ͡ t , Pt, and P ͡ t on gt.
  • The second row reports pairwise correlation coefficient between each of Xt, X ͡ t , Pt, and P ͡ t with gt
Table 3. Cointegration Tests for DJIA (without consumption data)
Table 3. Cointegration Tests for DJIA (without consumption data)
Jrfm 04 00097 i032
Notes:
  • Panel A reports results for BVAR models. Panel B reports results for TVAR models. Results are from the Johansen (1988) and Stock and Watson (1988) procedures. Test statistics are Trace test statistics.
  • Rank r is number of linearly independent cointegrating vectors.
  • Null hypothesis rx is that there are x or less than xindependent cointegrating vectors against the alternative r= x + 1, x + 2,..., or n where n is the length of the vector being tested for cointegration (2 for BVAR models and 3 for TVAR models).
  • Stock prices and broad dividends here are raw data, not deflated by marginal utility.
Table 4. Cointegration Tests for S&P (without consumption data)
Table 4. Cointegration Tests for S&P (without consumption data)
Jrfm 04 00097 i033
Notes: As in Table 3.
Table 5. Cointegration Tests for DJIA (with consumption data)
Table 5. Cointegration Tests for DJIA (with consumption data)
Jrfm 04 00097 i034
Notes:
  • Panel A reports results for BVAR models. Panel B reports results for TVAR models. Results are from the Johansen (1988) and Stock and Watson (1988) procedures. Test statistics are Trace test statistics.
  • Rank r is number of linearly independent cointegrating vectors.
  • Null hypothesis rx is that there are x or less than x independent cointegrating vectors against the alternative r = x + 1, x + 2,..., or n, where n is the length of the vector being tested for cointegration (2 for BVAR models and 3 for TVAR models).
  • Stock prices and broad dividends here are deflated by marginal utility.
Table 6. Cointegration Tests for S&P (with consumption data)
Table 6. Cointegration Tests for S&P (with consumption data)
Jrfm 04 00097 i035
Notes: As in Table 5.
Table 7. Periodically Collapsing Bubbles Tests
Table 7. Periodically Collapsing Bubbles Tests
Jrfm 04 00097 i036
Notes:
  • Panel A reports ADF1 and sup ADFr test statistics in individual regressions of of P ͡ t on X ͡ t (labeled ‘without g’), and of P ͡ t on X ͡ t and gt (labeled ‘with g’).
  • The whole sample runs from 1949 to 2004. ADFr test statistics are computed from 1963 to 2004, starting with r=0.1, by forward recursive regressions as in Phillips et al. (2007).
  • The last column in Panel B reproduces critical values for the sup ADFr test statistic obtained by Monte-Carlo simulations with 10,000 replications given in Phillips et al. (2007).

Share and Cite

MDPI and ACS Style

Fu, M.; Bidarkota, P.V. Periodically Collapsing Bubbles in Stock Prices Cointegrated with Broad Dividends and Macroeconomic Factors. J. Risk Financial Manag. 2011, 4, 97-132. https://doi.org/10.3390/jrfm4010097

AMA Style

Fu M, Bidarkota PV. Periodically Collapsing Bubbles in Stock Prices Cointegrated with Broad Dividends and Macroeconomic Factors. Journal of Risk and Financial Management. 2011; 4(1):97-132. https://doi.org/10.3390/jrfm4010097

Chicago/Turabian Style

Fu, Man, and Prasad V. Bidarkota. 2011. "Periodically Collapsing Bubbles in Stock Prices Cointegrated with Broad Dividends and Macroeconomic Factors" Journal of Risk and Financial Management 4, no. 1: 97-132. https://doi.org/10.3390/jrfm4010097

APA Style

Fu, M., & Bidarkota, P. V. (2011). Periodically Collapsing Bubbles in Stock Prices Cointegrated with Broad Dividends and Macroeconomic Factors. Journal of Risk and Financial Management, 4(1), 97-132. https://doi.org/10.3390/jrfm4010097

Article Metrics

Back to TopTop