Next Article in Journal
Imperfect Competition, Real Estate Prices and New Stylized Facts
Next Article in Special Issue
Optimal Portfolio Allocation between Global Stock Indexes and Safe Haven Assets: Gold versus the Swiss Franc (1999–2021)
Previous Article in Journal
Information Jumps, Liquidity Jumps, and Market Efficiency
Previous Article in Special Issue
Optimal Allocation of Retirement Portfolios
 
 
Font Type:
Arial Georgia Verdana
Font Size:
Aa Aa Aa
Line Spacing:
Column Width:
Background:
Article

Mean–Variance Portfolio Efficiency under Leverage Aversion and Trading Impact

by
Chanaka Edirisinghe
1,* and
Jaehwan Jeong
2
1
Lally School of Management, Rensselaer Polytechnic Institute, Troy, NY 12180, USA
2
Davis College of Business and Economics, Radford University, Radford, VA 24142, USA
*
Author to whom correspondence should be addressed.
J. Risk Financial Manag. 2022, 15(3), 98; https://doi.org/10.3390/jrfm15030098
Submission received: 20 January 2022 / Revised: 17 February 2022 / Accepted: 18 February 2022 / Published: 23 February 2022
(This article belongs to the Special Issue Dynamic Portfolio Investment with Changing Economic States)

Abstract

:
This paper addresses the optimal rebalancing problem of a long–short portfolio with high net asset value under trading impact losses. The fund manager may employ leveraging as a tool to increase portfolio returns. However, to mitigate potential leverage risks, frequent rebalancing may become necessary, which leads to significant slippage losses that dampen portfolio performance ex post. We consider the problem in an integrated framework by incorporating trading impact and leverage restrictions ex ante within a mean–variance framework, where leverage control is imposed using a chance constraint. The resulting mean–variance–leverage optimization model (MVL) is non-convex, and we develop an efficient scheme to obtain the optimal portfolio. We investigate how portfolio leverage modifies the MV efficient frontier in the presence of trading impact, and highlight the significant outperformance of the proposed model relative to the standard mean–variance model. Increased target means require less restrictions on leverage, which result in higher rates of slippage losses. Our analysis supports the notion that leverage restrictions contribute to choosing high beta assets, even in the presence of trading impact.

When you combine ignorance and leverage, you get some pretty interesting results.
(Warren Buffett)

1. Introduction

Portfolio diversification is a fundamental strategy for reducing risk by combining assets of different risk–return profiles, the cornerstone of the modern portfolio theory (Markowitz 1952), in which standard deviation is employed as the subadditive risk measure. Subadditivity is one of the four axioms of “coherent” measures of risk (Artzner et al. 1999), which implies that a portfolio is less volatile than the sum of its component volatilities. The popularity of mean–variance (MV) portfolio selection has eventually grown to accommodate the practice of leveraging,1 or borrowing exogenous funds to invest further in a given MV-efficient portfolio in an attempt to reach higher expected returns without incurring a proportionate increase in portfolio risk. However, leveraging carries unique risks to a portfolio, particularly during sudden market declines, because liquidity risks can exacerbate losses due to market impact in forced deleveraging (Jacobs and Levy 2014). Moreover, when over-sized short positions are present in a leveraged portfolio, even when markets rise, the short assets may need to be ‘cover purchased’ at elevated prices, resulting in portfolio losses (Jacobs and Levy 2012). This paper focuses on integrating leverage restrictions and market impact losses due to portfolio rebalancing within a mean–variance efficiency framework to provide insights on portfolio selection for high net worth funds.
We consider the situation of a large risky fund that must be rebalanced periodically (say, monthly) to new portfolio positions for managing risks due to changes in the economy, hence, in the asset return parameters. Optimal trades so determined are typically executed over a shorter time period (say, over a day or two). With leveraged and large funds, the buy and sell orders are likely substantial in size, which inevitably lead to market impact or slippage losses due to illiquidity. Slippage refers to the situation when trade execution occurs at a price different (and worse) from the expected on an entry or exit from a trade. While market orders guarantee successful trade execution, due to time delays in bid–ask spread display, the time it takes for orders to reach the exchange, and the discrete step-wise nature of the order book, execution prices can be substantially different from those anticipated, hence the risk of incurring unforeseen trading losses.
Intuitively, in the absence of leverage control, choosing low risk assets and over-weighting them relative to high-risk assets can create a levered portfolio that yields increased expected returns, compared to an unlevered MV portfolio with equal risk. Such an argument is made for the existence of a leverage risk premium for low volatility assets (Frazzini and Pedersen 2014).
Empirically, as expected, leverage restrictions are associated with high risk assets, thus increasing the demand for those that result in relatively flat risk–return profiles (Boguth and Simutin 2018; Jylhä 2018; Lu and Qin 2021). Using closed-end funds that face restrictions in employing leverage, it was recently shown that tighter leverage constraints cause investors to hold portfolios of higher-beta securities (Jylhä and Rintamäki 2021). The model in this paper may be used to address this concern in a more fundamental way: are higher beta assets routinely chosen when tighter leverage conditions are imposed on a portfolio in the presence of market impact losses? Conversely, would relaxing leverage controls result in portfolios with lower beta stocks? Our preliminary analysis supports the notion that leverage restrictions contribute to choosing high beta assets, even in the presence of slippage losses of trading.
Theoretically, the MV-based CAPM implies that in meeting an improved return target, assets of higher-risk profile need to be included under leverage restrictions; conversely, if leverage conditions are relaxed, one may use assets of a lower risk profile with leveraging to achieve the target. Moreover, the MV theory also suggests that the latter portfolios are more diversified, as opposed to the more imbalanced portfolios under low risk aversion. Consequently, an investment strategy, referred to as risk parity (RP), aims to distribute portfolio risk somewhat equally among asset classes (with lower risk and lower return) for better diversification (Booth and Fama 1992; Chaves et al. 2011; Maillard et al. 2010), whose portfolio expected returns are then boosted by employing portfolio leverage. It is unclear, however, how slippage losses in trade execution might distort this rationale and affect the optimal portfolio choice. Our work is a step in this direction to develop insights.
Market impact depends on several factors: the price at which the trade is desired, trade quantity relative to the market daily volume in the security, and other specifics, such as market capitalization, and the beta of the security (Keim and Madhavan 1996, 1997, 1998; Loeb 1983). In this paper, we employ a slippage loss per unit of trade that incorporates a fixed cost and a variable cost of trading that depends on the fraction of the total (daily) volume traded in the asset (Edirisinghe 2007). Quadratic market impact within continuous-time trading models is employed for deleveraging portfolios during times of market turbulence within an MV framework (Edirisinghe et al. 2021). While many loss models are quadratic in the trade size, slippage may grow in reality at a rate slower than quadratic (Almgren et al. 2005; Gatheral 2010), for example, as a power function with an exponent between one and two (DeMiguel et al. 2016), as we shall allow in our model.
In an MV-efficient portfolio, long and short positions may exist depending on risk aversion, and thus, the portfolio carries margin risk, even in the absence of exogenous borrowing, which we refer to as margin leveraging. Since MV theory does not account for an acceptable level of margin leveraging, one must enforce control to generate MV efficiency with acceptable long–short portfolios. Jacobs and Levy (2012, 2013) introduced a (margin) leverage risk aversion into the portfolio variance minimization objective to determine efficient portfolios, but without incorporating trading impact or exogenous borrowing. We focus on exogenous borrowing to evaluate portfolio liability to satisfy leverage restrictions, while incorporating slippage losses in trade execution. Noting that the period-ending leverage level of the portfolio is random, and the investor’s leverage aversion is captured via satisfying a given maximum allowable leverage in ‘probability’ or a chance-constraint (Charnes and Cooper 1959).
The three-dimensional risk–return–leverage analysis in Jacobs and Levy is close to the analysis performed in this paper, but in our case includes the mean, variance, and allowable leverage level of the portfolio, along with market impact costs of trading. In that sense, our analysis provides deeper insights into how leverage restrictions affect the mean–variance efficiency of portfolio selection as market impact (liquidity) costs become significant. The work in this paper can be viewed as optimally improving an MV-optimal portfolio by satisfying a leverage target in order to obtain a higher mean return under market costs of trading, herein referred to as the MVL model. In particular, we are interested in the effect on the portfolio variance risk as the portfolio’s leverage risk is increased under trading impact. The resulting model is non-convex and computationally tedious. We study its theoretical properties to devise an efficient solution scheme to obtain the MVL efficient frontier. We provide a computational analysis of the MVL model using major ETF assets for a monthly rebalanced portfolio with one-day trade execution, where slippage loss parameters are estimated using millisecond transaction data.
We show that ignoring slippage losses, as in the standard MV model, leads to efficient frontiers that significantly worsen (when losses are incorporated ex-post) compared to the proposed MVL model embedding trading impact ex ante. Furthermore, as leverage is more relaxed, the slippage losses can grow steeply if the portfolio target mean is sufficiently high. In fact, an investor requiring a higher mean is compelled to relax leverage restrictions (or less leverage risk averse), thereby incurring more trade impact losses and limiting the extent to which the target mean can be further increased. In the limited computations, we also find partial evidence for the previous claim that when leveraging is more restricted, higher beta assets tend to have higher portfolio allocations.
The remainder of the paper is organized as follows. In Section 2, we present the methodological approach for constructing the portfolio selection model by providing a mathematical formulation of the problem. The required notation is introduced as it becomes necessary. Section 3 simplifies the model, and a new solution procedure is developed to determine the optimum portfolio numerically. In Section 4, we present a case study using nine ETF assets and provide market impact and asset return parameter estimation. Section 5 presents an analysis and discussion of the proposed model. Section 6 concludes the paper.

2. Methodology

We use optimization modeling as the basic methodology to design a portfolio of assets when the portfolio is subject to leverage restrictions and asset transactions impact trading prices in the form of slippage losses. Since asset prices at the end of the portfolio holding period are uncertain, the realized value of portfolio leverage is also subject to uncertainty.
To develop the model, consider a universe of n (risky) assets at the beginning of an investment period. The investor’s initial position (i.e., the number of shares in each asset) is x 0 ( R n ). The (market) price of asset j at the current investment epoch is p 0 j per share. At the end of the investment period, the rate of return vector is r, which indeed is a random n-vector conditioned upon a particular history of market evolution. Thus, price of security j changes during the investment period to p 1 j ( 1 + r j ) p 0 j . Note that r j 1 since the asset prices are non-negative. We use the vector notation p 1 = D ( p 0 ) ( 1 + r ) , where the diagonal matrix D ( p 0 ) : = diag ( p 01 , , p 0 n ) . Let the borrowing and lending of funds be at the (per period) risk-free rate of return r f .
We shall assume that random asset returns (per period) are normally distributed, i.e., r N ( μ , V ) , where μ is the mean return vector and V is the covariance matrix of the returns. While r is observed only at the end of the investment period, portfolio decisions must be made at the beginning of the period, i.e., revision of portfolio positions from x 0 to x 1 R n .
Note that x 1 j x 0 j is the number of shares purchased in asset j if it is positive; if it is negative, it is the number of shares sold. This trade vector is denoted by y | x 1 x 0 | R n , where | . | indicates the absolute value. The portfolio allocation problem is concerned with determining an optimal trade vector y to maximize the investor’s expected utility of preferences whilst satisfying policy requirements.

2.1. Slippage Losses

When the fund is rebalanced, in reality, portfolio positions change from x 0 to x 1 along some trading trajectory t x t j , thus incurring the market impact of trading. Our approximation of this process for the optimal portfolio allocation is that x 0 x 1 occurs at t = 0 (without time delay) with accumulated market impact being represented by the loss function Π ( x 1 ) .
Given the current share price p 0 j , when the chosen trade size y j | x 1 j x 0 j | is significant (buy or sell order), completing the execution of the trade occurs effectively at a price higher than p 0 j for a buy order, and at a lower price when it is a sell order due to, for example, the available liquidity. We utilize fixed transactions costs and volume-based variable costs for each unit of trading to evaluate the slippage loss. The former cost per unit of trade in asset j is a j 0 . The latter cost is expressed per unit of trade and it depends directly on the fraction of the market volume of the asset that is being traded, y j . Denoting the expected market volume (during the execution period) in asset j by Q j shares, and b j 0 denoting the constant of proportionality, the impact loss per unit of trade is c j ( y j ) = a j + b j p 0 j y j Q j 1 2 γ + 1 , where γ is a non-negative integer (thus, 2 γ + 1 is odd). This is a generalization from the linear per unit variable cost function (Edirisinghe 2007) to a less than linear per unit variable cost. Then, the total slippage loss in asset j is y j c j ( y j ) , and thus, the total market impact cost of portfolio rebalancing is
Π ( x 1 ) = j = 1 n a j + b j p 0 j y j Q j 1 2 γ + 1 y j = j = 1 n a j | x 1 j x 0 j | + b j p 0 j Q j 1 2 γ + 1 ( x 1 j x 0 j ) 2 ( γ + 1 ) 2 γ + 1 ,
which is convex in asset positions x 1 , since γ is a non-negative integer. Observe that Π ( x 1 ) is quadratic in x 1 for γ = 0 , but for a , b , γ > 0 , the slippage costs grow slower than quadratic in x 1 , yet faster than linear.

2.2. Portfolio Model of Return, Risk, and Leverage

Let the initial cash (or liability) position of the fund be K 0 , a positive value indicating an initial excess cash position and a negative number for an initial liability. The net cash generated by trading in the risky assets at t = 0 is
C 0 ( x 1 ) : = p 0 ( x 0 x 1 ) Π ( x 1 ) ,
which is a concave function, and it can be positive or negative. If self-financing trading is required, C 0 0 must be imposed, but we shall treat C 0 as being unrestricted in sign. Then, C 0 ( x 1 ) + K 0 is the cash position of the fund after rebalancing at time ‘0’. We assume that borrowing and lending of funds are at the (per period) risk-free rate of return, r f . Define
K 1 ( x 1 ) : = ( 1 + r f ) ( C 0 ( x 1 ) + K 0 ) ,
which is the cash (or liability) position at the end of the horizon (at time ‘1’), and is concave. The initial (net) asset position is A 0 : = p 0 x 0 + K 0 , and that at the end of the horizon is
A 1 ( x 1 ) : = p 1 x 1 + K 1 ( x 1 ) ,
which is concave. Without loss of generality, we assume that the net asset values A 0 and A 1 are positive. Observe that A 1 is a random variable while K 1 is deterministic. Moreover, portfolio revision may render C 0 < 0 , which is the case when exogenous cash funds have been deployed to support the current rebalancing period costing at the risk-free rate. There are two concerns for the investor: does the portfolio net return distribution satisfy the investor’s preferences? Additionally, does the liability position by the end of the period violate a given maximum allowable leverage level for the fund?
To address the above concerns, denote the investor’s risk-averse utility function by U ( W ) on wealth W. The objective is to maximize the expected utility of the asset position at the end of the period, i.e., E r [ U ( A 1 ( x 1 ) ) ] . On the other hand, to control the leverage risk for the fund, the investor applies a maximum allowable leverage level ρ . That is, the total liability, relative to the net asset position, expressed as the random variable 1 A 1 ( x 1 ) max { 0 , K 1 ( x 1 ) } , must not exceed the investor-specified level, ρ , with high probability. Considering the reliability of satisfying the liability threshold by a minimum probability (of satisfaction) of α ( 0 , 1 ) , the following chance constraint is imposed during portfolio selection:
P K 1 ( x 1 ) A 1 ( x 1 ) ρ α ,
where K 1 ( x 1 ) : = max { 0 , K 1 ( x 1 ) } , a convex function in x 1 . Let l j and u j denote the minimum and maximum (share) positions specified for each asset j, respectively. For example, l j may be used to limit short positions to control the portfolio margin. The optimal portfolio rebalancing problem is
max x 1 [ l , u ] E U ( A 1 ( x 1 ) ) s . t . P K 1 ( x 1 ) A 1 ( x 1 ) ρ α .
In the portfolio model (6), we note that the leverage constraint serves as the budget constraint. Note that if K 0 A 0 > ρ holds for the initial portfolio, then the leverage threshold is violated for sure at time ‘0’. The objective of the rebalancing model is to bring the fund in alignment with the leverage requirement with high probability α by the end of time ‘1’ while maximizing the investor’s expected utility.

3. Solution Approach

Observe that model (6) is difficult to solve in its current form due to the probabilistic constraint on leverage control. In this section, we develop a general solution procedure to obtain the optimal portfolio of (6) by, first, transforming it into a quadratic optimization model, and then, developing a special solution scheme.
When U ( . ) is a risk-averse utility function, and since r 1 is multivariate normally distributed, the expected utility maximizing objective in (6) is equivalent to a mean–variance trade-off of the distribution of the portfolio net return random variable. It consists of the asset gains and cash gains for the period, and is given by
R P ( x 1 ) : = A 1 ( x 1 ) A 0 1 = ( 1 + r ) D ( p 0 ) x 1 + K 1 ( x 1 ) p 0 x 0 + K 0 1 .
This yields
μ P ( x 1 ) E [ R P ( x 1 ) ] = ( 1 + μ ) D ( p 0 ) x 1 + K 1 ( x 1 ) p 0 x 0 + K 0 1 and σ P 2 ( x 1 ) V a r [ R P ( x 1 ) ] = x 1 D ( p 0 ) V D ( p 0 ) x 1 ( p 0 x 0 + K 0 ) 2 .
Consequently, the model in (6) for a risk-averse decision maker is equivalent to minimizing the variance σ 2 ( x 1 ) of the portfolio return, subject to a user-specified portfolio mean return threshold m and portfolio leverage threshold ρ 0 , i.e.,
f ( m , ρ ) : = min x 1 [ l , u ] σ P 2 ( x 1 ) s . t . μ P ( x 1 ) m P K 1 ( x 1 ) A 1 ( x 1 ) ρ α .

3.1. Deterministic Equivalent

The leverage constraint expression in (9) can be simplified due to the normally distributed asset returns, as follows:
P K 1 ( x 1 ) A 1 ( x 1 ) ρ = P K 1 ( x 1 ) ρ [ p 1 x 1 + K 1 ( x 1 ) ] = P r D ( p 0 ) x 1 K 1 ( x 1 ) / ρ K 1 ( x 1 ) p 0 x 1 = 1 P r D ( p 0 ) x 1 K 1 ( x 1 ) / ρ K 1 ( x 1 ) p 0 x 1 = 1 P z K 1 ( x 1 ) / ρ K 1 ( x 1 ) p 0 x 1 μ D ( p 0 ) x 1 x 1 D ( p 0 ) V D ( p 0 ) x 1 = 1 Z K 1 ( x 1 ) / ρ K 1 ( x 1 ) ( 1 + μ ) D ( p 0 ) x 1 x 1 D ( p 0 ) V D ( p 0 ) x 1 ,
where z is the standard normal random variable, and Z ( . ) denotes the cdf of z. Noting (8), the leverage constraint is expressed as
L ( x 1 , ρ ) ρ θ A 0 σ P ( x 1 ) 0 ,
where the constant A 0 = p 0 x 0 + K 0 , the parameter θ : = Z 1 ( 1 α ) , inverse of the standard normal cdf, and
L ( x 1 , ρ ) : = K 1 ( x 1 ) ρ K 1 ( x 1 ) + ( 1 + μ ) D ( p 0 ) x 1 .
Note that L ( x 1 , ρ ) is a convex function in x 1 . The parameter θ in (11) may be viewed as incorporating risk aversion in the leverage constraint when uncertainty is present. As the reliability level α increases, θ decreases, and thus, (11) indicates that rebalancing becomes more restrictive in order to maintain the leverage ratio within the desired level ρ ; α 0 implies (11) no imposition of any restriction on leverage. At α = 0.5 , θ = 0 holds and the leverage constraint is satisfied under risk neutrality, using only the expected asset value, i.e., L ( x 1 , ρ ) 0 . For a risk-averse decision maker, α > 0.5 holds, which implies that θ < 0 , as is considered in this paper. As θ becomes more negative, where θ ( , 0 ) , the investor become more leverage risk averse for the specified leverage level ρ .
By replacing the probabilistic leverage constraint by its deterministic equivalent in (11), we obtain the mean–variance–leverage (MVL) model from (9), where the risk-averse investor specifies θ < 0 :
f ( m , ρ ) = min x 1 [ l , u ] σ P 2 ( x 1 ) s . t . μ P ( x 1 ) m L ( x 1 , ρ ) ρ θ A 0 σ P ( x 1 ) 0 .

3.2. Solution Procedure

Although σ P 2 ( x 1 ) and L ( x 1 , ρ ) are convex in x 1 , and μ P ( x 1 ) and σ P ( x 1 ) are concave in x 1 , the MVL portfolio model (13) is a non-convex optimization problem since θ < 0 . Therefore, the computational solution of the MVL model is difficult. We consider an iterative reformulation below, whose properties allow us to develop an efficient solution procedure for (13).
Define the parameterized value function using the non-negative scalar parameter s:
f ( m , ρ , s ) : = min x 1 [ l , u ] σ P 2 ( x 1 ) = 1 ( A 0 ) 2 x 1 D ( p 0 ) V D ( p 0 ) x 1 s . t . ( 1 + μ ) D ( p 0 ) x 1 + K 1 ( x 1 ) ( 1 + m ) A 0 L ( x 1 , ρ ) ( ρ θ A 0 ) s ,
which is a convex program; moreover, the value function f ( m , ρ , s ) is convex in s (Mangasarian 1970). Standard convex programming software can be used to solve (14) efficiently. Additionally, note that for sufficiently large s, (14) is infeasible since θ < 0 , a case denoted by f ( m , ρ , s ) = + . Define s min and s max by
s min : = f ( m , ρ , 0 ) a n d s max : = sup s 0 s : f ( m , ρ , s ) < + .
Proposition 1.
For a risk-averse optimal portfolio x 1 of (13), define s : = σ P ( x 1 ) f ( m , ρ ) . The following properties hold for (14):
(i) 
For s [ 0 , s max ) , f ( m , ρ , s ) is convex-nondecreasing in s.
(ii) 
For s [ 0 , s ] , f ( m , ρ , s ) f ( m , ρ ) . Moreover, f ( m , ρ , s ) = f ( m , ρ ) .
(iii) 
s s min , and if f ( m , ρ , s min ) = ( s min ) 2 , then s = s min .
(iv) 
If f ( m , ρ , s min ) > ( s min ) 2 , then s > s min .
Proof. 
See Appendix A.1. □
The following result is fundamental in determining the optimal solution of (13).
Proposition 2.
s = min { s S } , where the set S is defined by
S : = s [ s min , s max ] : f ( m , ρ , s ) = s 2 .
Proof. 
See Appendix A.2. □
The properties of f in Propositions 1 and 2 are used to devise an iterative scheme to obtain s , starting with the initial iterate s 0 = 0 . For a general iterate s k , for k 1 , the following results hold.
Proposition 3.
Suppose s k < s and f ( m , ρ , s k ) > ( s k ) 2 . Let s k + 1 : = f ( m , ρ , s k ) . Then, f ( m , ρ , s k + 1 ) ( s k + 1 ) 2 and s s k + 1 hold. Moreover,
(i) 
if f ( m , ρ , s k + 1 ) > ( s k + 1 ) 2 , then s > s k + 1 and
(ii) 
if f ( m , ρ , s k + 1 ) = ( s k + 1 ) 2 , then s = s k + 1 .
Proof. 
See Appendix A.3. □
To see the motivation behind the algorithm, observe that if we were to set s 1 = s min , and if it turns out f ( m , ρ , s min ) = ( s min ) 2 , then we must terminate the scheme, concluding that s = s min , due to Proposition 1. If, on the other hand, f ( m , ρ , s min ) > ( s min ) 2 , then we must conclude s > s min , due to Proposition 1. The latter satisfies the conditions of Proposition 3, and we set s 2 = f ( m , ρ , s min ) as the next iterate. The algorithmic steps for obtaining an optimal portfolio of the MVL model in (13) are as follows:
Algorithm-MVL:
(0)
Initialization: Solve (14) with s = 0 and set s 0 = f ( m , ρ , 0 ) , and k = 0 .
(1)
Solve (14) with s = s k and obtain the optimal portfolio x 1 ( k ) .
(2)
If f ( m , ρ , s k ) ( s k ) 2 , STOP; x 1 ( k ) is an optimal portfolio in (13).
(3)
If f ( m , ρ , s k ) > ( s k ) 2 , set s k + 1 = f ( m , ρ , s k ) , k k + 1 , and go to Step (1).
An illustration of the above solution scheme is in Figure 1. The parametric convex program (14) to be solved iteratively in the above algorithm is presented in extensive format in Appendix A.4.

4. Case Study and Results

We consider the frontiers between portfolio mean, and the volatility and leverage risks, using the MVL model (9) specified with real data, and the corresponding optimal portfolio is computed using the preceding Algorithm-MVL. We employ nine sector ETF U.S. assets (ticker symbols XLB, XLE, XLF, XLI, XLK, XLP, XLU, XLV, and XLY), with the trading period set to one day and the trade holding period (investment horizon) set to 20 days. These sector-based ETF assets offer diversification benefits within various market sectors spanning the S&P 500 index, and thus, liquidity costs are not expected to be excessive. As such, advantages of the MVL model are not unduly magnified relative to the standard MV-optimal portfolio that ignores market impact completely. We test a scenario of liquidity costs to ascertain the effects of leveraging on portfolio efficiency.

4.1. Trade Impact Parameter Estimation

We use Trade and Quote (millisecond) data from NYSE to estimate slippage parameters a and b in (1). Trade (execution) transactions data for a given day (for a given asset) are aggregated into five-minute intervals during regular trading time, and separated by the day of the week, using the sample time period of a fixed quarter. This way, for a given day, the total of 390 min is divided into 78 five-minute intervals, for Monday through Friday of trading. Assuming four weeks per month in the sample quarter, there are 78 × 12 = 936 total number of 5 min intervals available for each day of the week, indexed by t = 1 , , 78 ; d = 1 , , 12 . To determine the net trading volume in an interval, each trade execution needs to be classified as a ‘buy’ or a ‘sell’ since the raw data do not provide that classification, and thus, the trade direction must be inferred. There are several rules used in the literature, such as the tick test, quote set, or the Lee–Ready algorithm (Lee and Ready 1991). However, since no bid-ask data are available, we use the tick rule to assign trade direction (Asquith et al. 2010). We consider that two consecutive trades are the ‘same’ if the price difference is no more than USD 0.005.
For a given day d, let the open price for the day be p 0 , d . Having classified each trade by the above tick rule, for each five-minute interval (denoted t) in the day d, the following trade statistics are calculated:
  • Total trade volume: v t , d (shares);
  • Net dollar trading volume:2  s t , d ;
  • Open and close prices (in the 5 min interval): p t , d o and p t , d c ;
  • Total trade volume for the day d: Q d t = 1 T v t , d , where T = 78 .
See Figure 2 for an illustration of how the above input data are obtained from the trade transactions.
The slippage function in (1) represents the cost per traded share based on the net dollar value of the trade as a ratio of the total share volume traded in the day. Given a 5 min interval, we consider the latter price impact to be the price difference, | p t , d c p t , d o | . For the case study here, we set the parameter γ = 0 in (1). The parameters a and b are estimated using OLS regression:3
| p t , d c p t , d o | = a + b | s t , d | Q d + ε t , d , t = 1 , 78 , d = 1 , 12 ,
where ε t , d is the error term (residual) of the regression model of an ETF asset for the pair t and d.
Using the period January–March 2015, the estimated a and b are shown in Table 1. We hold these parameters as fixed throughout our MVL computational analysis.

4.2. MVL Portfolio Parameters

The initial portfolio (net risky) investment is p 0 x 0 = $ 2 m, and the initial cash position is K 0 = $ 1 m, thus, a liability. The initial wealth is A 0 = p 0 x 0 + K 0 = $ 1 m. The initial portfolio x 0 is reported in Table 2 as portfolio dollar weights, computed by p 0 j x 0 j / p 0 x 0 , j . Thus, the long portfolio is p 0 x 0 + = $ 3 m, while the short portfolio value is p 0 x 0 = $ 1 m. The initial positions are largely ‘long’, consistent with the prevailing conditions, including the positive market index return (+1.5%) for the period 1–31 July. However, a negative market performance ( 0.27 % ) with 1.2% volatility is predicted for 3–31 August, thus requiring portfolio revision. The annualized risk-free rate is set to r 0 = 2 % (used to compute the monthly compounded rate). The lower limits on revised asset positions are set to no more than 2% of the initial positions to control margin, i.e., l j = 0.02 x 0 j , while the long positions are set to being unlimited in size as allowed by the specified leverage limit. To compute the monthly return forecasts in Table 2, a sample of 40 monthly returns is generated for each asset, where each sample point represents the total return over a consecutive 21 (trading) day period preceding 3 August 2015. That is, the first sample point is for the period from 7 May to 5 June 2015, while the last sample point is for 2 July to 31 July 2015.
The (initial) leverage ratio of x 0 is K 0 A 0 = 1.0 . Due to the predicted market downturn as indicated by the return parameters, portfolio performance could worsen significantly if the portfolio is not rebalanced during the trading day of 3 August, and x 1 is held unchanged through 31 August. It is worthwhile noting, on hindsight, that leaving the initial portfolio x 0 as is would lead to its net value on 31 August 2015 to become USD 0.887 m (long value = USD 2.833 m, short value = USD 0.944 m, cash liability = USD 1.002 m), yielding a portfolio loss of 11.3% over the month; furthermore, the fund leverage ratio will be 1.126 on 31 August in that eventuality.
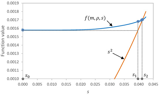
Portfolio rebalancing parameters are the target portfolio mean return m, the allowable maximum leverage ρ , and leverage risk aversion θ ( = Z 1 ( 1 α ) , where α is the required probability of satisfaction), specified in the MVL model (13). For α = 95 % , we have θ = 1.6449 , and the MVL optimal portfolio x 1 ( m , ρ ) is computed by Algorithm-MVL in Section 3.2; see Figure 3 for a sample run, where s min = s 1 = 0.0397 .

5. Analysis and Discussion

The mean–variance efficient frontiers of the MVL model for a range of mean parameter m 0.27 % (which is the expected return of the S&P 500 index) are plotted in Figure 4, where leverage is unrestricted; in the same plot, we show the standard MV portfolio assuming no market impact, and also the resulting ex post frontier when slippage losses are incorporated. Notice the significant sub optimality of the standard MV frontier when compared to the proposed MVL model; the security market line (SML) overestimates (ex ante) the portfolio performance substantially when slippage losses are ignored.
The MVL frontiers as the leverage threshold parameter varies (with aversion set to θ = 1.6449 ) are shown in Figure 5. Note that for a sufficiently small target mean, the frontiers are shared by the indicated leverage levels since the leverage constraint is not active at small target means. The maximum leverage ρ is attained (i.e., the constraint becomes active) as m increases to a maximum, and beyond that target mean, there does not exist a feasible portfolio. At higher levels of ρ , the maximum attainable target mean also increases, as indicated by ‘circles’ in Figure 5, say m ^ ( ρ , θ ) . That is, for any given portfolio (variance) risk, by increasing the leverage threshold, the portfolio mean can be further increased, i.e., m ^ ( ρ , θ ) increases in ρ for fixed θ ; note the ‘branching-off’ curves in Figure 5. On the other hand, what happens if the investor becomes less leverage risk averse, say θ = Z 1 ( 1 0.6 ) = 0.2533 ? Using the monthly risk-free rate of 0.1663%, monthly Sharpe ratios are computed for the two levels of leverage aversion θ over a range of leverage ratios ρ that yield the corresponding maximum mean m ^ ( ρ , θ ) . As Figure 6 shows, for fixed leverage ratio ρ , being less leverage risk averse helps to generate better risk-adjusted returns.
The trading losses associated with the MVL-efficient portfolios corresponding to the frontiers in Figure 5 are expressed as a fraction of the initial portfolio value, i.e., Π ( x 1 ( m , ρ ) ) / A 0 , see (1). These slippage losses per unit of initial wealth are shown in Figure 7. Quite interestingly, for sufficiently small target mean returns, the slippage loss fraction declines, and then it rises rapidly. This implies, under trading impact, that the practice of leveraging (in risk parity strategies) to increase target means results in increasing slippage loss rates quite drastically. The indicated declines in the loss rate, i.e., ‘downward branches’, are due to restricting leverage.
While leverage control at level ρ is expressed as a probabilistic constraint, depending on the specified portfolio target mean m, the full leverage (provided by ρ ) may not be utilized in designing the optimal portfolio x 1 ( m , ρ ) . As m increases, indeed, the model-realized leverage also increases. We compute the (expected) leverage achieved by the optimal portfolio, for inputs ( m , ρ ) , by
L ( m , ρ ) : = K 1 ( x 1 ( m , ρ ) ) E [ A 1 ( x 1 ( m , ρ ) ) ] = K 1 ( x 1 ( m , ρ ) ) ( 1 + μ ) D ( p 0 ) x 1 ( m , ρ ) + K 1 ( x 1 ( m , ρ ) ) .
Figure 8 depicts the realized leverage L ( m , ρ ) as the target mean and leverage threshold are varied. As m increases, the portfolio-realized leverage also increases for fixed input ρ until the leverage threshold is reached. For further increases in m, one must specify a higher ρ , and consequently, the model-realized leverage increases as well.
As indicated earlier, it has been argued that tighter leverage constraints cause investors to hold portfolios of higher-beta securities (Jylhä and Rintamäki 2021). To develop insights on this claim using the proposed MVL model, we consider relaxing leverage restrictions by increasing ρ gradually, and check if higher beta ETF assets are chosen in optimal portfolios with decreasing relative weights. In Figure 9, assets are ordered in increasing order of beta, and for each asset, four leverage levels are tested. Among the more significant allocations, the high beta (>1) asset XLP is allocated progressively less weight as leverage restrictions are relaxed, and to a lesser extent for more moderate beta assets, e.g., XLV or XLY. In this case, low beta assets are allocated insignificant amounts. A larger pool of assets should be used to provide conclusive evidence for the above claim.

6. Conclusions

This paper presents an extended mean–variance portfolio selection model by incorporating trading impact and leverage restrictions. The focus is on addressing the issue of portfolio leveraging to achieve a given target mean. We model the leverage constraint as a chance constraint, where market impact is modeled using fixed and variable costs. The resulting portfolio optimization model is non-convex and difficult to solve, but we develop an efficient computational procedure that requires no more than solving a sequence of standard convex programs iteratively.
The case study involves fairly liquid ETF assets, where one would expect the slippage losses to be not so significant. Even in this case, we find that standard MV optimization can underperform significantly relative to the proposed MVL model. When the investor demands a higher target mean, leverage has to be more relaxed, and the rate of slippage losses can grow steeply. This paper provides an objective approach to determine what the appropriate leverage control should be in order to achieve a target mean in an MV-efficient manner when faced with trading losses in the market. In our limited computations, we also find partial evidence for the claim that when leveraging is more restricted, higher beta assets tend to be chosen with greater portfolio allocations. Larger pools of differing assets need to be incorporated in the experiments before any conclusive statements can be made in this regard. Our future work will focus on this issue.

Author Contributions

Conceptualization, C.E. and J.J.; methodology, C.E. and J.J.; formal analysis, C.E. and J.J.;writing—original draft preparation, C.E. and J.J.; writing—review and editing, C.E. and J.J. All authors have read and agreed to the published version of the manuscript.

Funding

This research received no external funding.

Institutional Review Board Statement

Not applicable.

Informed Consent Statement

Not applicable.

Data Availability Statement

Not applicable.

Acknowledgments

The authors sincerely thank the anonymous referees for their thorough and insightful suggestions to improve the presentation of the paper. Any remaining errors in the paper are ours.

Conflicts of Interest

The authors declare no conflict of interest.

Appendix A

Appendix A.1. Proof of Proposition 1

(i)
To show that f is monotonic, let s 1 , s 2 [ 0 , s max ) be such that s 1 < s 2 . Let an optimal solution of (14) for s = s 2 be x ^ 1 . Then, L ( x ^ 1 ) ( ρ θ A 0 ) s 2 < ( ρ θ A 0 ) s 1 , implying that x ^ 1 is feasible in (14) for s = s 1 . Thus, f ( m , ρ , s 1 ) f ( m , ρ , s 2 ) , proving that f ( m , ρ , . ) is nondecreasing. The convexity follows from f being the value function of the convex program (14) as the right hand side of a constraint varies.
(ii)
For portfolio x 1 optimal in (13), L ( x 1 ) ( ρ θ A 0 ) x 1 D ( p 0 ) V D ( p 0 ) x 1 = ( ρ θ A 0 ) s . Then, for s ¯ [ 0 , s ] , ( ρ θ A 0 ) s ( ρ θ A 0 ) s ¯ holds, and thus, that L ( x 1 ) ( ρ θ A 0 ) s ( ρ θ A 0 ) s ¯ . That is, x 1 is feasible in (14) for s = s ¯ , implying
f ( m , ρ , s ¯ ) x 1 D ( p 0 ) V D ( p 0 ) x 1 / ( A 0 ) 2 = f ( m , ρ ) , as claimed.
In particular, for s = s , f ( m , ρ , s ) f ( m , ρ ) . By contradiction, suppose f ( m , ρ , s ) < f ( m , ρ ) . This implies that x ˜ 1 D ( p 0 ) V D ( p 0 ) x ˜ 1 < x 1 D ( p 0 ) V D ( p 0 ) x 1 , where x ˜ 1 is an optimal portfolio of (14) for s = s . By the optimality of x ˜ 1 , L ( x ˜ 1 ) ( ρ θ ) s = ( ρ θ A 0 ) x 1 D ( p 0 ) V D ( p 0 ) x 1 < ( ρ θ A 0 ) x ˜ 1 D ( p 0 ) V D ( p 0 ) x ˜ 1 . This implies that x ˜ 1 is feasible in (9), with an objective function strictly better than f ( m , ρ ) . This violates the optimality of x 1 . Therefore, f ( m , ρ , s ) = f ( m , ρ ) must hold.
(iii)
For x 1 optimal in (9), L ( x 1 ) ( ρ θ A 0 ) x 1 D ( p 0 ) V D ( p 0 ) x 1 < 0 . Thus, x 1 is feasible in (14) for s = 0 , implying f ( m , ρ , 0 ) f ( m , ρ ) . That is, ( s min ) 2 ( s ) 2 , or s s min .
Suppose f ( m , ρ , s min ) = ( s min ) 2 . By contradiction, let s > s min . Let an optimal solution of (14) for s = s min be denoted by x ^ 1 . Then,
f ( m , ρ , s min ) = x ^ 1 D ( p 0 ) V D ( p 0 ) x ^ 1 / ( A 0 ) 2 = ( s min ) 2 < ( s ) 2 / ( A 0 ) 2 = x 1 D ( p 0 ) V D ( p 0 ) x 1 / ( A 0 ) 2 = f ( m , ρ ) .
Moreover, L ( x ^ 1 ) ( ρ θ A 0 ) s min = ( ρ θ A 0 ) x ^ 1 D ( p 0 ) V D ( p 0 ) x ^ 1 . Thus, x ^ 1 is feasible in (9) with a strictly better objective value than f ( m , ρ ) , violating the optimality of x . Hence, we must have s = s min if f ( m , ρ , s min ) = ( s min ) 2 .
(iv)
Since x 1 solves (9), we have L ( x 1 ) ( ρ θ A 0 ) s ( ρ θ A 0 ) s min since s s min due to part (iii). Thus, x 1 is feasible in (14) for s = s min , which implies f ( m , ρ , s min ) x 1 D ( p 0 ) V D ( p 0 ) x 1 / ( A 0 ) 2 = ( s ) 2 . Given that f ( m , ρ , s min ) > ( s min ) 2 , therefore, ( s min ) 2 < ( s ) 2 holds, or s > s min .

Appendix A.2. Proof of Proposition 2

For some s k [ s min , s max ] , let f ( m , ρ , s k ) = ( s k ) 2 . Let an optimal solution of (14) for s = s k be denoted by x 1 k . Then, f ( m , ρ , s k ) = x 1 k D ( p 0 ) V D ( p 0 ) x 1 k / ( A 0 ) 2 = ( s k ) 2 . Moreover, L ( x 1 k ) ( ρ θ A 0 ) s k = ( ρ θ A 0 ) x 1 k D ( p 0 ) V D ( p 0 ) x 1 k , and thus, x 1 k is feasible in (9). Therefore, f ( m , ρ ) = ( s ) 2 x 1 k D ( p 0 ) V D ( p 0 ) x 1 k / ( A 0 ) 2 = ( s k ) 2 . Hence, we must have s k s if f ( m , ρ , s k ) = ( s k ) 2 . Next, observe that min { s S } is equivalent to min s { s [ s , s max ] : f ( m , ρ , s ) = s 2 } . Its minimum has the value s since f ( m , ρ , s ) = ( s ) 2 , due to Proposition 1, part (ii). This completes the proof.

Appendix A.3. Proof of Proposition 3

Noting ( s k + 1 ) 2 = f ( m , ρ , s k ) > ( s k ) 2 , it follows that s k + 1 > s k , which implies, due to Proposition 1, part (i), that f ( m , ρ , s k + 1 ) f ( m , ρ , s k ) , i.e., f ( m , ρ , s k + 1 ) ( s k + 1 ) 2 . Furthermore, L ( x ) ( ρ θ A 0 ) s < ( ρ θ A 0 ) s k , and thus, x is feasible in (14) for s = s k , implying ( s ) 2 f ( m , ρ , s k ) = ( s k + 1 ) 2 . That is, s s k + 1 holds.
(i)
If f ( m , ρ , s k + 1 ) > ( s k + 1 ) 2 , then s k + 1 S where S is defined in (16). Hence, s k + 1 s and thus, s > s k + 1 must hold.
(ii)
If f ( m , ρ , s k + 1 ) = ( s k + 1 ) 2 , then s k + 1 S . Since s = min { s S ] , we must have s k + 1 s . Combining with the result proven earlier that s s k + 1 , it follows that s = s k + 1 must hold.

Appendix A.4. Extensive Formulation of the Parametric MVL Convex Program

The parametric convex program (14), to be solved iteratively, has the following extensive exposition, where the constant A 0 = ( p 0 x 0 + K 0 ) > 0 :
f ( m , ρ , s ) = min x 1 , y , K 1 , L 1 1 ( A 0 ) 2 x 1 D ( p 0 ) V D ( p 0 ) x 1 s . t . ( 1 + μ ) D ( p 0 ) x 1 + K 1 ( 1 + m ) A 0 L 1 ρ K 1 + ( 1 + μ ) D ( p 0 ) x 1 ( ρ θ A 0 ) s 1 1 + r f K 1 p 0 ( x 0 x 1 ) j a j y j + b j p 0 j Q j 1 2 γ + 1 y j 2 ( γ + 1 ) 2 γ + 1 + K 0 L 1 + K 1 0 y j x 1 j x 0 j , y j + x 1 j x 0 j j = 1 , , n x 1 j [ l j , u j ] , y 0 , L 1 0 , K 1 : unrestricted in sign .

Notes

1
Leverage here is the level of liability relative to the portfolio assets.
2
Uptick volume multiplied by trading price minus downtick volume multiplied by trading price for each trade and summed up over all trades in the 5 min interval.
3
When slippage cost grows less than linearly per unit of trade, hence the case of γ > 0 , the parameters a and b are estimated by the regression: | p t , d c p t , d o | = a + 0.5 b ( p t , d c + p t , d o ) v t , d Q d 1 2 γ + 1 + ε t , d , t = 1 , , 78 , d = 1 , , 12 .

References

  1. Almgren, Robert, Chee Thum, Emmanuel Hauptmann, and Hong Li. 2005. Direct estimation of equity market impact. Risk 18: 58–62. [Google Scholar]
  2. Artzner, Philippe, Freddy Delbaen, Jean-Marc Eber, and David Heath. 1999. Coherent measures of risk. Mathematical Finance 3: 203–28. [Google Scholar] [CrossRef]
  3. Asquith, Paul, Rebecca Oman, and Christopher Safaya. 2010. Short sales and trade classification algorithms. Journal of Financial Markets 13: 157–73. [Google Scholar] [CrossRef] [Green Version]
  4. Boguth, Oliver, and Mikhail Simutin. 2018. Leverage constraints and asset prices: Insights from mutual fund risk taking. Journal of Financial Economics 341: 325–41. [Google Scholar] [CrossRef]
  5. Booth, David G., and Eugene F. Fama. 1992. Diversification returns and asset contributions. Financial Analysts Journal 48: 26–32. [Google Scholar] [CrossRef]
  6. Charnes, Abraham, and William W. Cooper. 1959. Chance-constrained programming. Management Science 6: 73–79. [Google Scholar] [CrossRef]
  7. Chaves, Denis, Jason Hsu, Feifei Li, and Omid Shakernia. 2011. Risk parity portfolio vs. other asset allocation heuristic portfolios. The Journal of Investing 20: 108–18. [Google Scholar] [CrossRef] [Green Version]
  8. Mei, Xiaoling, Victor DeMiguel, and Francisco J. Nogales. 2016. Multiperiod portfolio optimization with multiple risky assets and general transaction costs. Journal of Banking and Finance 69: 108–20. [Google Scholar] [CrossRef] [Green Version]
  9. Zenios, Stavros A., and William T. Ziemba, eds. 2007. Integrated risk control using stochastic programming ALM models for money management. In Handbook of Asset and Liability Management. Amsterdam: Elsevier, chp. 16. vol. 2, pp. 707–50. [Google Scholar]
  10. Edirisinghe, Chanaka, Jaehwan Jeong, and Jingnan Chen. 2021. Optimal portfolio deleveraging under market impact and margin restrictions. European Journal of Operational Research 294: 746–59. [Google Scholar] [CrossRef]
  11. Frazzini, Andrea, and Lasse Heje Pedersen. 2014. Betting against beta. Journal of Financial Economics 111: 1–25. [Google Scholar] [CrossRef] [Green Version]
  12. Gatheral, Jim. 2010. No-dynamic-arbitrage and market impact. Quantitative Finance 10: 749–59. [Google Scholar] [CrossRef]
  13. Jacobs, Bruce I., and Kenneth N. Levy. 2013. Leverage aversion, efficient frontiers, and the efficient region. Journal of Portfolio Management 39: 54–64. [Google Scholar] [CrossRef]
  14. Jacobs, Bruce I., and Kenneth N. Levy. 2012. Leverage aversion and portfolio optimality. Financial Analysts Journal 68: 89–94. [Google Scholar] [CrossRef] [Green Version]
  15. Bruce, I., and Kenneth N. Levy. 2014. The unique risks of portfolio leverage: Why modern portfolio theory fails and how to fix it. The Journal of Financial Perspectives 2: 113–26. [Google Scholar]
  16. Jylhä, Petri. 2018. Margin requirements and the security market line. Journal of Finance 73: 1281–321. [Google Scholar]
  17. Jylhä, Petri, and Paul Rintamäki. 2021. Leverage Constraints Affect Portfolio Choice: Evidence from Closed-End Funds. SSRN, 1–55. [Google Scholar]
  18. Keim, Donald B., and Ananth Madhavan. 1996. The upstairs market for large-block transactions: Analysis and measurement of price effects. Review of Financial Studies 9: 1–36. [Google Scholar] [CrossRef]
  19. Keim, Donald B., and Ananth Madhavan. 1997. Transactions costs and investment style: An inter-exchange analysis of institutional equity trades. Journal of Financial Economics 46: 265–92. [Google Scholar] [CrossRef]
  20. Keim, Donald B., and Ananth Madhavan. 1998. The cost of institutional equity trades. Financial Analysts Journal 54: 50–69. [Google Scholar] [CrossRef]
  21. Lee, Charles M. C., and Mark J. Ready. 1991. Inferring trade direction from intraday data. The Journal of Finance 46: 733–46. [Google Scholar] [CrossRef]
  22. Loeb, Thomas F. 1983. Trading cost: The critical link between investment information and results. Financial Analysts Journal 39: 39–44. [Google Scholar] [CrossRef]
  23. Lu, Zhongjin, and Zhongling Qin. 2021. Leveraged funds and the shadow cost of leverage constraints. Journal of Finance 73: 1295–338. [Google Scholar] [CrossRef]
  24. Maillard, Sébastien, Thierry Roncalli, and Jérôme Teïletche. 2010. The properties of equally weighted risk contribution portfolios. The Journal of Portfolio Management 36: 60–70. [Google Scholar]
  25. Mangasarian, Olvi L. 1970. Convexity, pseudo-convexity, and quasi-convexity of composite functions. Cahiers du Centre d’Etudes de Recherche Operationelle 12: 114–22. [Google Scholar]
  26. Markowitz, Harry M. 1952. Portfolio selection. Journal of Finance 1: 77–91. [Google Scholar]
Figure 1. Algorithmic steps toward optimal portfolio of the MVL model in (13) using f defined in (14).
Figure 1. Algorithmic steps toward optimal portfolio of the MVL model in (13) using f defined in (14).
Jrfm 15 00098 g001
Figure 2. An illustration of input data for trade impact estimation in time slot t on day d.
Figure 2. An illustration of input data for trade impact estimation in time slot t on day d.
Jrfm 15 00098 g002
Figure 3. Performance of Algorithm-MVL for ( m , ρ ) = ( 0.93 % , 1.5 ) : optimal portfolio is obtained at iteration 4.
Figure 3. Performance of Algorithm-MVL for ( m , ρ ) = ( 0.93 % , 1.5 ) : optimal portfolio is obtained at iteration 4.
Jrfm 15 00098 g003
Figure 4. Effect on MV efficient frontiers due to market impact (leverage risk aversion, θ = 1.6449 ).
Figure 4. Effect on MV efficient frontiers due to market impact (leverage risk aversion, θ = 1.6449 ).
Jrfm 15 00098 g004
Figure 5. Effect of leverage ratio on MV frontiers under market impact ( θ = 1.6449 ).
Figure 5. Effect of leverage ratio on MV frontiers under market impact ( θ = 1.6449 ).
Jrfm 15 00098 g005
Figure 6. Effect of leverage ratio and risk aversion on portfolio Sharpe ratio under market impact.
Figure 6. Effect of leverage ratio and risk aversion on portfolio Sharpe ratio under market impact.
Jrfm 15 00098 g006
Figure 7. Slippage loss of trading as a fraction of initial wealth as target mean and leverage restrictions.
Figure 7. Slippage loss of trading as a fraction of initial wealth as target mean and leverage restrictions.
Jrfm 15 00098 g007
Figure 8. Model-realized expected leverage on target mean m as ρ is increased.
Figure 8. Model-realized expected leverage on target mean m as ρ is increased.
Jrfm 15 00098 g008
Figure 9. Portfolio allocation on assets with high beta as leverage restrictions are relaxed.
Figure 9. Portfolio allocation on assets with high beta as leverage restrictions are relaxed.
Jrfm 15 00098 g009
Table 1. Estimated parameters for the slippage loss model (case of γ = 0 ).
Table 1. Estimated parameters for the slippage loss model (case of γ = 0 ).
ETFXLBXLEXLFXLIXLKXLPXLUXLVXLY
R 2 54.40%61.30%42.80%55.20%47.40%52.50%49.50%53.00%39.20%
a0.2700.1400.2840.4290.3210.3240.2940.6020.590
p-value00.1660000000
b0.6805.6381.1841.0060.6060.8281.8321.0700.670
p-value000000000
Table 2. Market impact parameters and asset return parameter forecasts for period 3–31 August 2015.
Table 2. Market impact parameters and asset return parameter forecasts for period 3–31 August 2015.
ParameterXLBXLEXLFXLIXLKXLPXLUXLVXLYSPY
Asset monthly return distribution parameters
Mean ( μ )−0.038−0.0460.009−0.019−0.0090.010−0.0070.0130.015−0.003
Std.Dev ( σ )0.0230.0180.0130.0120.0200.0270.0320.0130.0130.012
Asset beta ( β )0.1550.1740.9070.8591.4581.3581.3760.8780.9691.000
Asset correlations ( ρ )
XLB (Basic Materials)10.8740.1050.512−0.120−0.569−0.6070.461−0.0910.080
XLE (Energy) 10.0400.509−0.169−0.363−0.5060.4590.0600.116
XLF (Financials) 10.6990.8390.2900.2070.6250.6270.837
XLI (Industrial Goods) 10.6600.1960.1430.8480.670.839
XLK (Technology) 10.4730.4980.5860.6470.881
XLP (Consumer Staples) 10.8830.3030.8070.605
XLU (Utilities) 10.1970.6440.526
XLV (Health Care) 10.6790.819
XLY (Consumer Discre) 10.884
Initial portfolio weights−12.5%−12.5%−12.5%−12.5%25.0%37.5%37.5%12.5%37.5%0
Open price $ p 0 (3 August)44.4566.5719.7552.4341.4148.4141.7074.8078.22203.80
Publisher’s Note: MDPI stays neutral with regard to jurisdictional claims in published maps and institutional affiliations.

Share and Cite

MDPI and ACS Style

Edirisinghe, C.; Jeong, J. Mean–Variance Portfolio Efficiency under Leverage Aversion and Trading Impact. J. Risk Financial Manag. 2022, 15, 98. https://doi.org/10.3390/jrfm15030098

AMA Style

Edirisinghe C, Jeong J. Mean–Variance Portfolio Efficiency under Leverage Aversion and Trading Impact. Journal of Risk and Financial Management. 2022; 15(3):98. https://doi.org/10.3390/jrfm15030098

Chicago/Turabian Style

Edirisinghe, Chanaka, and Jaehwan Jeong. 2022. "Mean–Variance Portfolio Efficiency under Leverage Aversion and Trading Impact" Journal of Risk and Financial Management 15, no. 3: 98. https://doi.org/10.3390/jrfm15030098

APA Style

Edirisinghe, C., & Jeong, J. (2022). Mean–Variance Portfolio Efficiency under Leverage Aversion and Trading Impact. Journal of Risk and Financial Management, 15(3), 98. https://doi.org/10.3390/jrfm15030098

Article Metrics

Back to TopTop