Next Article in Journal
Effects of Global Oil Price on Exchange Rate, Trade Balance, and Reserves in Nigeria: A Frequency Domain Causality Approach
Next Article in Special Issue
Examination and Modification of Multi-Factor Model in Explaining Stock Excess Return with Hybrid Approach in Empirical Study of Chinese Stock Market
Previous Article in Journal
The Role of Entrepreneurial Strategy, Network Ties, Human and Financial Capital in New Venture Performance
Previous Article in Special Issue
Friendship of Stock Market Indices: A Cluster-Based Investigation of Stock Markets
 
 
Font Type:
Arial Georgia Verdana
Font Size:
Aa Aa Aa
Line Spacing:
Column Width:
Background:
Article

Determining Distribution for the Quotients of Dependent and Independent Random Variables by Using Copulas

1
Faculty of Mathematics and Statistics, Ton Duc Thang University, Ho Chi Minh City 756636, Vietnam
2
Department of Finance, Fintech Center, and Big Data Research Center, Asia University, Taichung 41354, Taiwan
3
Department of Medical Research, China Medical University Hospital, Taichung 40402, Taiwan
4
Department of Economics and Finance, Hang Seng University of Hong Kong, Shatin 999077, Hong Kong, China
*
Author to whom correspondence should be addressed.
J. Risk Financial Manag. 2019, 12(1), 42; https://doi.org/10.3390/jrfm12010042
Submission received: 21 February 2019 / Revised: 4 March 2019 / Accepted: 8 March 2019 / Published: 12 March 2019
(This article belongs to the Special Issue Mathematical Finance with Applications)

Abstract

:
Determining distributions of the functions of random variables is a very important problem with a wide range of applications in Risk Management, Finance, Economics, Science, and many other areas. This paper develops the theory on both density and distribution functions for the quotient Y = X 1 X 2 and the ratio of one variable over the sum of two variables Z = X 1 X 1 + X 2 of two dependent or independent random variables X 1 and X 2 by using copulas to capture the structures between X 1 and X 2 . Thereafter, we extend the theory by establishing the density and distribution functions for the quotients Y = X 1 X 2 and Z = X 1 X 1 + X 2 of two dependent normal random variables X 1 and X 2 in the case of Gaussian copulas. We then develop the theory on the median for the ratios of both Y and Z on two normal random variables X 1 and X 2 . Furthermore, we extend the result of median for Z to a larger family of symmetric distributions and symmetric copulas of X 1 and X 2 . Our results are the foundation of any further study that relies on the density and cumulative probability functions of ratios for two dependent or independent random variables. Since the densities and distributions of the ratios of both Y and Z are in terms of integrals and are very complicated, their exact forms cannot be obtained. To circumvent the difficulty, this paper introduces the Monte Carlo algorithm, numerical analysis, and graphical approach to efficiently compute the complicated integrals and study the behaviors of density and distribution. We illustrate our proposed approaches by using a simulation study with ratios of normal random variables on several different copulas, including Gaussian, Student-t, Clayton, Gumbel, Frank, and Joe Copulas. We find that copulas make big impacts from different Copulas on behavior of distributions, especially on median, spread, scale and skewness effects. In addition, we also discuss the behaviors via all copulas above with the same Kendall’s coefficient. The approaches developed in this paper are flexible and have a wide range of applications for both symmetric and non-symmetric distributions and also for both skewed and non-skewed copulas with absolutely continuous random variables that could contain a negative range, for instance, generalized skewed-t distribution and skewed-t Copulas. Thus, our findings are useful for academics, practitioners, and policy makers.

1. Introduction

Determining distributions of the functions of random variables is a very crucial task and this problem has been attracted a number of researchers because there are numerous applications in Risk Management, Finance, Economics, Science, and, many other areas, see, for example, (Donahue 1964; Ly et al. 2016; Nadarajah and Espejo 2006; Springer 1979). Basically, the distributions of an algebraic combination of random variables including the sum, product, and quotient are focused on some common distributions along with the assumptions of independence or correlated through Pearson’s coefficient or dependence via multivariate normal joint distributions (Arnold and Brockett 1992; Bithas et al. 2007; Cedilnik et al. 2004; Hinkley 1969; Macalos and Arcede 2015; Marsaglia 1965; Matović et al. 2013; Mekićet al. 2012; Nadarajah and Espejo 2006; Nadarajah and Kotz 2006a, 2006b; Gia 2006; Pham-Gia 2000; Rathie et al. 2016; Sakamoto 1943). Regarding ratio, it often appears in the problems of constructing statistics used in hypothesis testing and estimating issues. Some well-known distributions are results of such quotients. For example, the quotient of a Gaussian random variable divided by a square root of an independent chi-distributed random variable follows the t-distribution while the F-distribution is derived via the ratio of two independent chi-squared distributed random variables. To relax independence assumption, it is necessary to develop a framework for modeling dependence structures of random vectors in more general sense. To do so, Dolati et al. (2017) develop the distribution for X / Y in which both X and Y are positive.
In our paper, we first extend the theory developed by Dolati et al. (2017) to relax the positive assumption for the variables by developing the theory on both density and distribution function (CDF) for the quotient Y = X 1 X 2 of two dependent or independent continuous random variables X 1 and X 2 in which X 1 and X 2 could be any real number. Thereafter, we develop a theory on both density and distribution function for the ratio of one variable over the sum of two variables Z = X 1 X 1 + X 2 of two dependent or independent continuous random variables X 1 and X 2 by using copulas to capture the structures between X 1 and X 2 .
Since the density and the CDF formula of the ratios of both Y and Z are in terms of integrals and are very complicated, we cannot obtain the exact forms of the densities and the CDFs. To circumvent the difficulty, in this paper, we propose to use a Monte Carlo algorithm, numerical analysis and graphical approach to study behavior of density and distribution. We illustrate our proposed approaches by using a simulation study with ratios of standard normal random variables on several different copulas, including Gaussian, Student-t, Clayton, Gumbel, Frank, and Joe Copulas and we find that copulas make big impacts from different Copulas on behavior of distributions, especially on median, spread, skewness and scale effects. For instance, when X 1 and X 2 tend to be more co-monotonic indicated by increasing the parameters of copulas, then the median of Y is shifted to be higher and its shape tends to be more symmetric. In the meantime, the median of Z is equally unchanged one-half and the shape always has symmetry. We note that the approaches developed in this paper are flexible and have a wide range of applications for both symmetric and non-symmetric distributions and also for both skewed and non-skewed copulas with absolutely continuous random variables that could contain a negative range, for instance, generalized skewed-t distribution and skewed-t Copulas.1 Thus, our findings are useful for academics, practitioners, and policy makers.
The rest of the paper is organized as follows. In Section 2 and Section 3, we will briefly discuss the background theory and copula theory related to the theory developed in our paper. In Section 4, we provide main results on the quotients of dependent and independent random variables. Section 5 proposes using the Monte Carlo to deal with complex integrals and estimate some percentiles by using some special copulas, and investigate their effects on the behavior of ratios of two standard normal random variables. The last section provides the conclusions.

2. Background Theory

We first review some previous work on the weighted sum, for example, in constructing portfolio Y 1 that is composed of two dependent assets defined by
Y 1 = w 1 X 1 + w 2 X 2 ,
in which the random variables X i , t ( i = 1 , 2 ) denotes the rate of return at time t for the asset defined in terms of the following random quotient:
X i , t = P i , t P i , t 1 P i , t 1 , ,
where P i , t denotes the price of the i th asset at time t. Note that X i is assumed to be absolutely continuous with the cumulative distribution functions (CDF) F i . Suppose that ( X 1 , X 2 ) follows copula C, then the CDF, F Y 1 y , of Y 1 defined in (1) satisfies:
F Y 1 y = 1 { w 2 < 0 } + sgn ( w 2 ) 0 1 u C u , F 2 y w 1 F 1 1 u w 2 d u ,
where sgn ( · ) denotes the sign function such that
sgn ( x ) = 1 , if x > 0 , 1 , if x < 0 .
Then, the CDF, F Y 1 , can be used to estimate the distortion risk measure of the portfolio defined by
R g [ Y 1 ] = 0 g ( F ¯ Y 1 ( y ) ) d y + 0 [ g ( F ¯ Y 1 ( y ) ) 1 ] d y ,
where g is a distortion function and F ¯ Y 1 ( y ) = 1 F Y 1 ( y ) is a survival function of Y 1 . Readers may refer to Ly et al. (2016) for more detailed information.
In the credit model, the total loss is defined as the aggregation of the product of risk factors. Thus, it is necessary to find the distribution for the product case, for instance, Y 2 given by
Y 2 = X 1 X 2 .
Ly et al. (2019) show that the CDF of Y 2 can be determined by
F Y 2 ( y ) = F 1 ( 0 ) + 0 1 sgn F 1 1 ( u ) u C u , F 2 y F 1 1 ( u ) d u .

3. Copulas

In this section, we will briefly discuss the copula theory related to the theory developed in our paper. Readers may refer to (Cherubini et al. 2004; Joe 1997; Nelsen 2007; Tran et al. 2015, 2017) for more information. Let I = [ 0 , 1 ] be the closed unit interval and I 2 = [ 0 , 1 ] × [ 0 , 1 ] be the closed unit square interval. We first state the most basic definition of copula in two dimensions in the following:
Definition 1. 
(Copula)A 2-copula (two-dimensional copula) is a function C: I 2 I satisfying the following conditions:
(i) 
C ( u , 0 ) = C ( 0 , v ) = 0 for any u , v I ;
(ii) 
C ( u , 1 ) = u and C ( 1 , v ) = v for any u , v I ; and
(iii) 
for any u 1 , u 2 , v 1 , v 2 I with u 1 u 2 and v 1 v 2 ,
C ( u 2 , v 2 ) + C ( u 1 , v 1 ) C ( u 2 , v 1 ) C ( u 1 , v 2 ) 0 .
In copula theory, Sklar proposed a very important theorem in 1959 called Sklar’s Theorem (Cherubini et al. (2004); Joe (1997); Nelsen (2007)), which plays the most important role in this theory. It tells us that given a random vector ( X 1 , X 2 ) with absolutely continuous marginal distribution functions F X 1 and F X 2 , respectively, and its joint distribution function denoted by H, and then there exists a unique copula C such that
H ( x 1 , x 2 ) = C F X 1 ( x 1 ) , F X 2 ( x 2 ) , h ( x 1 , x 2 ) = 2 x 1 x 2 H ( x 1 , x 2 ) = c F X 1 ( x 1 ) , F X 2 ( x 2 ) f X 1 ( x 1 ) f X 2 ( x 2 ) ,
where c ( u , v ) : = 2 u v C ( u , v ) denotes density of copula C, f X i is probability density function (PDF) of X i , i = 1 , 2 , and h ( x 1 , x 2 ) is the joint density function of X 1 and X 2 . Copula is used to combine several univariate distributions together into bivariate [multivariate] settings so as the copula C can capture the dependence structure of ( X 1 , X 2 ) [ ( X 1 , , X n ) ]. For any copula C, we have the bounds
W ( u , v ) C ( u , v ) M ( u , v ) ,
where the copula W ( u , v ) : = max ( u + v 1 , 0 ) captures counter-monotonicity structure; that is, X 2 = f ( X 1 ) a.s., where f is strictly decreasing, while the copula M ( u , v ) : = min ( u , v ) is used to capture comonotonicity; that is, X 2 = f ( X 1 ) a.s., where f is strictly increasing. In case X 1 and X 2 are independent, they follow copula denoted by Π ( u , v ) : = u v . Copulas can be used not only to model the dependence structure of the variables, but also capture the correlation between the variables. The Kendall’s coefficient τ can be expressed in terms of copulas as shown in the following:
τ ( X 1 , X 2 ) = τ ( C ) = 4 I 2 C ( u , v ) d C ( u , v ) 1 .
In the next section, we will derive the two main propositions regarding formulas that can be used to determine the probability density and probability distribution of the quotient of dependent random variables by using copulas. In addition, we will apply the results to derive some corollaries on PDFs, CDFs, and median of the ratios in case X 1 and X 2 are normal distributed and they follow the Gaussian copulas.

4. Theory

We now develop two propositions on both density and distribution functions for the quotient Y : = X 1 X 2 and the ratio of one variable over the sum of two variables Z : = X 1 X 1 + X 2 of two dependent random variables X 1 and X 2 by using copulas. We first develop the proposition on the density and distribution functions for the quotient Y = X 1 X 2 as stated in the following:
Proposition 1.
Supposing that ( X 1 , X 2 ) is a vector of two absolutely continuous random variables X 1 and X 2 with the marginal distributions F 1 and F 2 , respectively, let C be an absolutely continuous copula modeling dependence structure of the random vector ( X 1 , X 2 ) , and define Y as
Y : = X 1 X 2 .
Then, the density f Y ( y ) and distribution functions F Y ( y ) of Y are
f Y ( y ) = 0 1 | F 2 1 ( v ) | c F 1 y F 2 1 ( v ) , v f 1 y F 2 1 ( v ) d v ,
F Y ( y ) = F 2 ( 0 ) + 0 1 sgn F 2 1 ( v ) v C F 1 y F 2 1 ( v ) , v d v ,
respectively, where F 2 1 denotes the inverse function of F 2 , c is the density of copula C, and sgn ( · ) stands for a sign function such that
sgn ( x ) = 1 , i f x > 0 , 1 , i f x < 0 .
Proof. 
Letting
Y 1 : = X 1 X 2 , Y 2 : = X 2 .
We note that since X 2 is absolutely continuous, P ( X 2 = 0 ) = 0 ; that is, X 2 0 almost surely. Hence, the transformation Y 1 = X 1 X 2 always exists with probability 1 and we can obtain its inverse transformation by using
X 1 = Y 1 Y 2 , X 2 = Y 2 ,
and their corresponding Jacobian
J = Y 2 Y 1 0 1 = Y 2 .
Then, we obtain the joint density of Y 1 and Y 2 such that
h ( y 1 , y 2 ) = f ( y 1 y 2 , y 2 ) y 2 = y 2 c F 1 ( y 1 y 2 ) , F 2 y 2 f 1 ( y 1 y 2 ) f 2 y 2 .
This yields the density of Y 1 :
f Y 1 ( y 1 ) = y 2 c F 1 ( y 1 y 2 ) , F 2 y 2 f 1 ( y 1 y 2 ) f 2 y 2 d y 2
= 0 1 F 2 1 ( v ) c F 1 y 1 F 2 1 ( v ) , v f 1 y 1 F 2 1 ( v ) d v .
As a result, the CDF of Y 1 is determined by
F Y 1 t = 0 1 t F 2 1 ( v ) c F 1 y 1 F 2 1 ( v ) , v f 1 y 1 F 2 1 ( v ) d y 1 d v .
By changing variable, u = F 1 y 1 F 2 1 v , we get d u = F 2 1 v f 1 y 1 F 2 1 v d y 1 and we note that
F 2 1 ( v ) 0 v [ 0 , F 2 ( 0 ) ] , and F 2 1 ( v ) 0 v [ F 2 ( 0 ) , 1 ] .
This yields
F Y 1 ( t ) = 0 F 2 ( 0 ) 1 F 1 t F 2 1 ( v ) 2 u v C u , v d u d v + F 2 ( 0 ) 1 0 F 2 t F 1 1 ( v ) 2 u v C u , v d v d u = 0 F 2 ( 0 ) v C F 1 t F 2 1 ( v ) , v v C ( 1 , v ) d v + F 2 ( 0 ) 1 v C F 1 t F 2 1 ( v ) , v d v = F 2 ( 0 ) + 0 1 sgn F 2 1 ( v ) v C F 1 t F 2 1 ( v ) , v d v .
Thus, the assertions of Proposition 1 hold. □
From Proposition 1 and applying Equation (8), we obtain the following corollary on both density and distribution functions for the quotient Y = X 1 X 2 of two independent random variables X 1 and X 2 by using copulas:
Corollary 1.
When X 1 and X 2 are independent, then its copula C ( u , v ) = u v has the density c ( u , v ) = 1 , u , v I and the density f Y ( y ) of the ratio Y : = X 1 X 2 of two independent random variables becomes
f Y ( y ) = | x | f 1 ( x y ) f 2 ( x ) d x .
This result is well known in the literature.
Next, we apply Equation (9) to derive both density and distribution function for Y = X 1 X 2 in case X 1 and X 2 are normal random variables and their dependence structure is captured by Gaussian Copulas. We first obtain the following corollary:
Corollary 2.
Assume that X 1 N ( μ 1 , σ 1 2 ) , X 2 N ( μ 2 , σ 2 2 ) and ( X 1 , X 2 ) follows Gaussian Copulas C r ( u , v ) , | r | < 1 , given in (46). Then, the density f Y ( y ) and distribution function F Y ( y ) of Y = X 1 X 2 have the forms
f Y ( y ) = 0 1 s g n σ 2 Φ 1 ( v ) + μ 2 φ ( y σ 2 r σ 1 ) Φ 1 ( v ) + y μ 2 μ 1 σ 1 1 r 2 σ 2 Φ 1 ( v ) + μ 2 σ 1 1 r 2 d v ,
F Y ( y ) = Φ μ 2 σ 2 + 0 1 s g n σ 2 Φ 1 ( v ) + μ 2 Φ ( y σ 2 r σ 1 ) Φ 1 ( v ) + y μ 2 μ 1 σ 1 1 r 2 d v ,
respectively, where φ ( x ) and Φ ( x ) are PDF and CDF of the standard normal distribution, respectively, and Φ 1 ( x ) denotes for the inverse function of Φ ( x ) .
Proof. 
Let X 1 N ( μ 1 , σ 1 2 ) , and X 2 N ( μ 2 , σ 2 2 ) ; then, their CDFs and inverse functions can be expressed in the following form:
F i ( x ) = Φ x μ i σ i , F i 1 ( v ) = σ i Φ 1 ( v ) + μ i , i = 1 , 2 .
Given Gaussian Copulas C r ( u , v ) with | r | < 1 , one can obtain its derivative C r v ( u , v ) , see Meyer (2013), as shown in the following:
C r v ( u , v ) = Φ Φ 1 ( u ) r Φ 1 ( v ) 1 r 2 .
Now, applying Equation (9), we can simplify it to be
F Y ( y ) = Φ μ 2 σ 2 + 0 1 s g n σ 2 Φ 1 ( v ) + μ 2 Φ Φ 1 Φ y σ 2 Φ 1 ( v ) + y μ 2 μ 1 σ 1 r Φ 1 ( v ) 1 r 2 = Φ μ 2 σ 2 + 0 1 s g n σ 2 Φ 1 ( v ) + μ 2 Φ ( y σ 2 r σ 1 ) Φ 1 ( v ) + y μ 2 μ 1 σ 1 1 r 2 d v .
Taking derivative of F y ( y ) with respect to y, one gets the density f Y ( y ) defined as in (14). The assertions of Corollary 2 hold. □
We note that the probability exhibited in (15) can be easily computed by using the following Monte Carlo algorithm: For each y R , we generate V from the uniform distribution on the unit interval [ 0 , 1 ] with sample size N, say N = 10,000, and then the estimated probability is given by
F ^ y ( y ) Φ μ 2 σ 2 + 1 N i = 1 N s g n σ 2 Φ 1 ( v i ) + μ 2 Φ ( y σ 2 r σ 1 ) Φ 1 ( v i ) + y μ 2 μ 1 σ 1 1 r 2 .
Using the result, we obtain the following corollary:
Corollary 3.
If X 1 N ( μ 1 , σ 1 2 ) , X 2 N ( 0 , σ 2 2 ) , and ( X 1 , X 2 ) follows Gaussian Copulas C r ( u , v ) , | r | < 1 , given in (46), then the median of Y = X 1 X 2 satisfies
m e d i a n ( Y ) = r σ 1 σ 2 , f o r a l l μ 1 R .
Proof. 
Since X 2 N ( 0 , σ 2 2 ) , Φ ( μ 2 σ 2 ) = Φ ( 0 ) = 0.5 . Hence, it is sufficient to prove that the integral term given in (15) is equal to zero. In fact, we find that
F Y r σ 1 σ 2 = 0.5 + 0 1 s g n ( σ 2 Φ 1 ( v ) ) Φ μ 1 σ 1 1 r 2 d v = 0 . 5 + Φ μ 1 σ 1 1 r 2 0 1 / 2 d v + 1 / 2 1 d v = 0.5 .
Hence, the quantity r σ 1 σ 2 is the median of Y. The proof is complete. □
We turn to develop the proposition on density and distribution functions for the ratio of one variable over the sum of two variables Z : = X 1 X 1 + X 2 of two dependent random variables X 1 and X 2 by using copulas as stated in the following:
Proposition 2.
Suppose that ( X 1 , X 2 ) is a vector of two absolutely continuous random variables X 1 and X 2 with the marginal distributions F 1 and F 2 , respectively, and let C be an absolutely continuous copula modeling dependence structure of the random vector ( X 1 , X 2 ) , and define Z as
Z : = X 1 X 1 + X 2 .
Then, the density f Z ( z ) and distribution function F Z ( z ) of Z are
f Z ( z ) = 0 1 F 1 1 ( u ) z 2 c u , F 2 1 z z F 1 1 ( u ) f 2 1 z z F 1 1 ( u ) d u , i f   z 0 , f 1 ( 0 ) 0 1 | F 2 1 ( v ) | c F 1 ( 0 ) , v d v , i f   z = 0 ,
F Z ( z ) = 1 { z 0 } + 0 1 sgn F 1 1 ( u ) u C u , F 2 F 1 1 ( u ) u C u , F 2 1 z z F 1 1 ( u ) d u ,
respectively, where 1 { · } denotes an indicator function, F i 1 denotes the inverse function of F i for i = 1 , 2 , c is the density of copula C, and sgn ( · ) is the sign function such that
1 { z 0 } = 1 , i f z 0 , 0 , i f z < 0 , a n d sgn ( x ) = 1 , i f x > 0 , 1 , i f x < 0 .
Proof. 
By defining
Z 1 = X 1 X 1 + X 2 , Z 2 = X 1 + X 2 .
Here, we note that, since X 1 and X 2 are absolutely continuous, P ( X 1 + X 2 = 0 ) = 0 ; that is, X 1 + X 2 0 almost surely. Hence, the transformation Z 1 = X 1 X 1 + X 2 always exists with probability 1 and we obtain the following inverse transformation:
X 1 = Z 1 Z 2 , X 2 = Z 2 Z 1 Z 2 ,
and the Jacobian
J = Z 2 Z 1 Z 2 1 Z 1 = Z 2 .
Thus, the joint density of Z 1 and Z 2 becomes
h ( z 1 , z 2 ) = f ( z 1 z 2 , z 2 z 1 z 2 ) z 2 = z 2 c F 1 ( z 1 z 2 ) , F 2 z 2 z 1 z 2 f 1 ( z 1 z 2 ) f 2 z 2 z 1 z 2 ,
which leads us to get the density of Z 1 such that
f Z 1 ( z 1 ) = z 2 c F 1 ( z 1 z 2 ) , F 2 z 2 z 1 z 2 f 1 ( z 1 z 2 ) f 2 z 2 z 1 z 2 d z 2 .
If z 1 = 0 , then by taking v : = F 2 ( z 2 ) , we get
f Z 1 ( 0 ) = f 1 ( 0 ) 0 1 F 2 1 ( v ) c F 1 ( 0 ) , v d v .
If z 1 > 0 , then by taking u : = F 1 ( z 1 z 2 ) , we obtain
f Z 1 ( z 1 ) = 0 1 F 1 1 ( u ) z 1 2 c u , F 2 1 z 1 z 1 F 1 1 ( u ) f 2 1 z 1 z 1 F 1 1 ( u ) d u .
If z 1 < 0 , then also by taking u : = F 1 ( z 1 z 2 ) , we yield
f Z 1 ( z 1 ) = 1 0 F 1 1 ( u ) z 1 2 c u , F 2 1 z 1 z 1 F 1 1 ( u ) f 2 1 z 1 z 1 F 1 1 ( u ) d u .
Hence, for z 1 0 , we obtain
f Z 1 ( z 1 ) = 0 1 F 1 1 ( u ) z 1 2 c u , F 2 1 z 1 z 1 F 1 1 ( u ) f 2 1 z 1 z 1 F 1 1 ( u ) d u for z 1 0 .
As a consequence, the distribution of Z 1 becomes
F Y 1 t = 0 1 t F 1 1 ( u ) z 1 2 c u , F 2 1 z 1 z 1 F 1 1 ( u ) f 2 1 z 1 z 1 F 1 1 ( u ) d z 1 d u .
Setting v = F 2 1 z 1 z 1 F 1 1 u d v = F 1 1 u z 1 2 f 2 1 z 1 z 1 F 1 1 u d z 1 , and note that
F 1 1 ( u ) 0 u F 1 ( 0 ) , and F 1 1 ( u ) 0 u F 1 ( 0 ) ,
we consider two cases as follows:
(i)
Case 1: For t < 0 , we have
F Z 1 ( t ) = 0 F 1 ( 0 ) F 2 ( F 1 1 ( u ) ) F 2 1 t t F 1 1 ( u ) 2 u v C u , v d v d u F 1 ( 0 ) 1 F 2 ( F 1 1 ( u ) ) F 2 1 t t F 1 1 ( u ) 2 u v C u , v d v d u = 0 F 1 ( 0 ) u C u , F 2 1 t t F 1 1 ( u ) u C u , F 2 F 1 1 ( u ) d u F 1 ( 0 ) 1 u C u , F 2 1 t t F 1 1 ( u ) u C u , F 2 F 1 1 ( u ) d u = 0 1 sgn F 1 1 ( u ) u C u , F 2 F 1 1 ( u ) u C u , F 2 1 t t F 1 1 ( u ) d u .
(ii)
Case 2: For t 0 , we first split the integrals
F Z 1 ( t ) = 0 1 0 F 1 1 ( u ) z 1 2 c u , F 2 1 z 1 z 1 F 1 1 ( u ) f 2 1 z 1 z 1 F 1 1 ( u ) d z 1 d u + 0 1 0 t F 1 1 ( u ) z 1 2 c u , F 2 1 z 1 z 1 F 1 1 ( u ) f 2 1 z 1 z 1 F 1 1 ( u ) d z 1 d u = : I 1 + I 2 .
We then apply (24) to obtain the following expression for the integral I 1 :
I 1 = F Z 1 ( 0 ) = 0 1 sgn F 1 1 ( u ) u C u , F 2 F 1 1 ( u ) u C u , lim t 0 F 2 1 t t F 1 1 ( u ) d u = 0 1 sgn F 1 1 ( u ) u C u , F 2 F 1 1 ( u ) d u + 0 F 1 ( 0 ) u C u , 1 d u F 1 ( 0 ) 1 u C u , 0 d u = 0 1 sgn F 1 1 ( u ) u C u , F 2 F 1 1 ( u ) d u + F 1 ( 0 ) ,
and obtain the following expression for the integral I 2 :
I 2 = 0 F 1 ( 0 ) 0 F 2 1 t t F 1 1 ( u ) 2 u v C u , v d v d u F 1 ( 0 ) 1 1 F 2 1 t t F 1 1 ( u ) 2 u v C u , v d v d u = 0 F 1 ( 0 ) u C u , F 2 1 t t F 1 1 ( u ) u C ( u , 0 ) d u F 1 ( 0 ) 1 u C u , F 2 1 t t F 1 1 ( u ) u C u , 1 d u = 1 F 1 ( 0 ) 0 1 sgn F 1 1 ( u ) u C u , F 2 F 1 1 ( u ) d u .
From (25) and (27), we get the following for t 0 ,
F Z 1 ( t ) = 1 + 0 1 sgn F 1 1 ( u ) u C u , F 2 F 1 1 ( u ) u C u , F 2 1 t t F 1 1 ( u ) d u .
Combining (24) and (28) imply (20), we complete the proof. □
In the situation X 1 and X 2 are independent, applying Proposition 2, we obtain the following corollary:
Corollary 4.
When X 1 and X 2 are independent, then its copula C ( u , v ) = u v has the density c ( u , v ) = 1 , u , v I and the density f Z ( z ) and distribution function F Z ( z ) for the ratio of one variable over the sum of two variables Z : = X 1 X 1 + X 2 of two independent random variables X 1 and X 2 become
f Z ( z ) = x f 1 ( x z ) f 2 ( 1 x ) z d x
and
F Z ( z ) = 1 { z 0 } + 0 1 sgn F 1 1 ( u ) F 2 F 1 1 ( u ) F 2 1 z z F 1 1 ( u ) d u , = 1 { z 0 } + sgn ( x ) F 2 ( x ) F 2 1 z z x f 1 ( x ) d x ,
respectively.
Next, we apply Equation (20) to derive the distribution function of Z : = X 1 X 1 + X 2 in the situation that both X 1 and X 2 are normal distributed such that their dependence structure can be captured by Gaussian Copulas as shown in the following corollary:
Corollary 5.
Assume that X 1 N ( μ 1 , σ 1 2 ) , X 2 N ( μ 2 , σ 2 2 ) , and ( X 1 , X 2 ) follows Gaussian Copulas C r ( u , v ) , | r | < 1 , given in (46). Then, distribution function F Z ( z ) of Z : = X 1 X 1 + X 2 has the form
F Z ( z ) = 1 { z 0 } + 2 Φ μ 1 σ 1 1 0 1 s g n σ 1 Φ 1 ( u ) + μ 1 Φ ( σ 1 + r σ 2 ) Φ 1 ( u ) + μ 1 μ 2 σ 2 1 r 2 d u = 0 1 s g n σ 1 Φ 1 ( u ) + μ 1 Φ [ ( 1 z ) σ 1 z r σ 2 ] Φ 1 ( u ) z ( μ 1 + μ 2 ) + μ 1 z σ 2 1 r 2 d u ,
where Φ ( x ) and Φ 1 ( x ) are CDF and its inverse of the standard normal random variable, respectively.
Proof. 
Let X 1 N ( μ 1 , σ 1 2 ) and X 2 N ( μ 2 , σ 2 2 ) , the CDFs and their inverse functions can be written in the form
F i ( x ) = Φ x μ i σ i , F i 1 ( v ) = σ i Φ 1 ( v ) + μ i , i = 1 , 2 .
Given Gaussian Copulas C r ( u , v ) , | r | < 1 , we apply the results from Meyer (2013) to obtain its derivative C r u ( u , v ) as shown in the following:
C r u ( u , v ) = Φ Φ 1 ( v ) r Φ 1 ( u ) 1 r 2 .
Applying Equation (20), one can simplify it to be
F Z ( z ) = 1 { z 0 } + 0 1 s g n σ 1 Φ 1 ( u ) + μ 1 Φ Φ 1 Φ σ 1 Φ 1 ( u ) + μ 1 μ 2 σ 2 r Φ 1 ( u ) 1 r 2 d u 0 1 s g n σ 1 Φ 1 ( u ) + μ 1 Φ Φ 1 Φ 1 z z σ 1 Φ 1 ( u ) + μ 1 μ 2 σ 2 r Φ 1 ( u ) 1 r 2 d u = 1 { z 0 } + 0 1 s g n σ 1 Φ 1 ( u ) + μ 1 Φ ( σ 1 + r σ 2 ) Φ 1 ( u ) + μ 1 μ 2 σ 2 1 r 2 d u 0 1 s g n σ 1 Φ 1 ( u ) + μ 1 Φ [ ( 1 z ) σ 1 z r σ 2 ] Φ 1 ( u ) z ( μ 1 + μ 2 ) + μ 1 z σ 2 1 r 2 d u = 1 { z 0 } + 2 Φ μ 1 σ 1 1 0 1 s g n σ 1 Φ 1 ( u ) + μ 1 Φ ( σ 1 + r σ 2 ) Φ 1 ( u ) + μ 1 μ 2 σ 2 1 r 2 d u 0 1 s g n σ 1 Φ 1 ( u ) + μ 1 Φ [ ( 1 z ) σ 1 z r σ 2 ] Φ 1 ( u ) z ( μ 1 + μ 2 ) + μ 1 z σ 2 1 r 2 d u .
In the last step of the above, we use the property Φ ( x ) = 1 Φ ( x ) and
0 1 s g n σ 1 Φ 1 ( u ) + μ 1 d u = 0 Φ μ 1 σ 1 d u + Φ μ 1 σ 1 1 d u = 1 2 Φ μ 1 σ 1 = 2 Φ μ 1 σ 1 1 .
The proof is complete. □
We note that the probability given in (29) can also be easily computed by using the following Monte Carlo algorithm: For each z R , we first generate U from the uniform distribution on the unit interval [ 0 , 1 ] with sample size N, say N = 10,000 . Then, we obtain the following estimated probability:
F ^ Z ( z ) 1 { z 0 } + 2 Φ μ 1 σ 1 1 1 N i = 1 N s g n σ 1 Φ 1 ( u i ) + μ 1 Φ ( σ 1 + r σ 2 ) Φ 1 ( u i ) + μ 1 μ 2 σ 2 1 r 2 1 N i = 1 N s g n σ 1 Φ 1 ( u i ) + μ 1 Φ [ ( 1 z ) σ 1 z r σ 2 ] Φ 1 ( u i ) z ( μ 1 + μ 2 ) + μ 1 z σ 2 1 r 2 .
Using the above results, we obtain the following corollary:
Corollary 6.
Assume that X 1 N ( 0 , σ 2 ) , X 2 N ( 0 , σ 2 ) and ( X 1 , X 2 ) follows Gaussian Copulas C r ( u , v ) , | r | < 1 , given in (46). Then, the median of Z : = X 1 X 1 + X 2 is equal to 1 2 .
Proof. 
Because X 1 N ( 0 , σ 2 ) , X 2 N ( 0 , σ 2 ) and s g n σ Φ 1 ( u ) = s g n Φ 1 ( u ) , we obtain CDF of the ratio Z : = X 1 X 1 + X 2 from (29) as shown in the following:
F Z z = 1 { z 0 } 0 1 s g n Φ 1 ( u ) Φ ( 1 + r ) Φ 1 ( u ) 1 r 2 + Φ [ 1 z z r ] Φ 1 ( u ) z 1 r 2 d u .
We get
F Z 1 2 = 1 0 1 s g n Φ 1 ( u ) Φ ( 1 + r ) Φ 1 ( u ) 1 r 2 + Φ [ 1 r ] Φ 1 ( u ) 1 r 2 d u .
Hence, it is sufficient to prove that the integral term given in (32) is equal to 1 2 . We let
I 1 : = 0 1 s g n Φ 1 ( u ) Φ ( 1 + r ) Φ 1 ( u ) 1 r 2 d u , I 2 : = 0 1 s g n Φ 1 ( u ) Φ ( 1 r ) Φ 1 ( u ) 1 r 2 d u ,
and denote i C r ( u , v ) , i = 1 , 2 to be the partial derivative of C r ( u , v ) with respect to the ith variable, That is, 1 C r ( u , v ) = u C r ( u , v ) and 2 C r ( u , v ) = v C r ( u , v ) . One can observe that
1 C r ( u , u ) = Φ ( 1 r ) Φ 1 ( u ) 1 r 2 .
Since Gaussian Copulas is symmetric; that is, C r ( u , v ) = C r ( v , u ) , we have 1 C r ( u , v ) = 2 C r ( v , u ) , and, thus, for u = v , we can derive 1 C r ( u , u ) = 2 C r ( u , u ) . Thereafter, the differentiation of C r ( u , u ) can be obtained:
d C r ( u , u ) = 1 C r ( u , u ) + 2 C r ( u , u ) d u = 2 1 C r ( u , u ) ,
and we get
I 2 = 1 2 0 1 s g n Φ 1 ( u ) d C r ( u , u ) = 1 2 0 1 / 2 d C r ( u , u ) + 1 2 1 / 2 1 d C r ( u , u ) = 1 2 C r 1 2 , 1 2 + 1 2 1 C r 1 2 , 1 2 = 1 2 C r ( 1 2 , 1 2 ) .
Similarly, for I 1 , since Φ 1 ( 1 u ) = Φ 1 ( u ) , we obtain
1 C r ( u , 1 u ) = Φ Φ 1 ( 1 u ) r Φ 1 ( u ) 1 r 2 = Φ ( 1 + r ) Φ 1 ( u ) 1 r 2 = 1 Φ ( 1 + r ) Φ 1 ( u ) 1 r 2 ,
and get
I 1 = 0 1 s g n Φ 1 ( u ) d u 0 1 s g n Φ 1 ( u ) 1 C r ( u , 1 u ) d u = 0 1 s g n Φ 1 ( u ) 1 C r ( u , 1 u ) d u ,
in which we apply 0 1 s g n Φ 1 ( u ) d u = 0 . From symmetry of the Gaussian Copulas, we also have 1 C r ( 1 u , u ) = 2 C r ( u , 1 u ) , obtain the differentiation of C r ( u , 1 u ) given by
d C r ( u , 1 u ) = 1 C r ( u , 1 u ) 2 C r ( u , 1 u ) d u = 1 C r ( u , 1 u ) 1 C r ( 1 u , u ) d u ,
and get
I 1 = 0 1 / 2 1 C r ( u , 1 u ) d u 1 / 2 1 1 C r ( u , 1 u ) d u , = 0 1 / 2 1 C r ( u , 1 u ) d u + 1 / 2 0 1 C r ( 1 u , u ) d u = 0 1 / 2 1 C r ( u , 1 u ) d u 0 1 / 2 1 C r ( 1 u , u ) d u = 0 1 / 2 d C r ( u , 1 u ) = C r 1 2 , 1 2 .
Combining (32)–(34), we find that F Z 1 2 = 1 2 . Hence, the quantity 1 2 is the median of Z. The proof is complete. □
Applying the proof of Corollary 6, we extend the result to obtain the following corollary for a larger family of symmetric distribution and symmetric copulas:
Corollary 7.
Assume that X 1 and X 2 are identically and symmetrically distributed with distribution F that has zero median and the dependence structure of ( X 1 , X 2 ) is modelled by a family of symmetric copulas C ( u , v ) , i.e., C ( u , v ) = C ( v , u ) for all u , v I . Then, the median of Z : = X 1 X 1 + X 2 is equal to 1 2 .
Proof. 
Since X 1 and X 2 are identically and symmetrically distributed with distribution F and zero median, we have F ( x ) = 1 F ( x ) , for all x R . By applying Equation (20), we obtain the CDF of the ratio Z, which is defined by
F Z ( z ) = 1 { z 0 } + 0 1 sgn F 1 ( u ) u C u , F F 1 ( u ) u C u , F 1 z z F 1 ( u ) d u , = 1 { z 0 } + 0 1 sgn F 1 ( u ) u C u , 1 u ) u C u , F 1 z z F 1 ( u ) d u .
Since copulas C ( u , v ) are symmetric, i.e., C ( v , u ) = C ( u , v ) , we have 1 C ( v , u ) = 2 C ( u , v ) , and, thus, for v = 1 u , one can easily obtain 1 C ( 1 u , u ) = 2 C ( u , 1 u ) and find that the differentiation of C ( u , 1 u ) with respect to u satisfies
d C ( u , 1 u ) = 1 C ( u , 1 u ) 2 C ( u , 1 u ) d u = 1 C ( u , 1 u ) 1 C ( 1 u , u ) d u .
In addition, because the distribution F has zero median; that is, F ( 0 ) = 0.5 , we have
0 1 sgn F 1 ( u ) u C u , 1 u = 0 1 / 2 1 C ( u , 1 u ) d u + 1 / 2 1 1 C ( u , 1 u ) d u , = 0 1 / 2 1 C ( u , 1 u ) d u 1 / 2 0 1 C ( 1 u , u ) d u = 0 1 / 2 1 C ( u , 1 u ) d u + 0 1 / 2 1 C ( 1 u , u ) d u = 0 1 / 2 d C ( u , 1 u ) = C 1 2 , 1 2 .
Therefore, we get
F Z ( z ) = 1 { z 0 } C 1 2 , 1 2 0 1 sgn F 1 ( u ) u C u , F 1 z z F 1 ( u ) d u ,
and thus,
F Z ( 0.5 ) = 1 C 1 2 , 1 2 0 1 sgn F 1 ( u ) u C u , u d u .
Similarly, since copulas C ( u , v ) are symmetric, i.e., C ( v , u ) = C ( u , v ) , we have 1 C ( v , u ) = 2 C ( u , v ) , and, thus, for v = u , we get 1 C ( u , u ) = 2 C ( u , u ) . Thus, the differentiation of C ( u , u ) with respect to u satisfies
d C ( u , u ) = 1 C ( u , u ) + 2 C ( u , u ) d u = 2 1 C ( u , u ) d u .
Applying this relation, we find
0 1 sgn F 1 ( u ) u C u , u d u = 1 2 0 1 sgn F 1 ( u ) d C u , u = 1 2 C 1 2 , 1 2 .
Hence, F Z ( 0.5 ) = 0.5 , i.e., 1 2 is median of Z. The proof is complete. □
Remark: In the literature, they are many symmetric distributions with zero median, for example, normal N ( 0 , σ ) , Student-t t ν , Cauchy distribution with location parameter α = 0 , uniform U ( a , a ) , a R + , and logistic distribution with zero location. In addition, Elliptical copulas (Gaussian, Student-t copulas) and Archimedian copulas (Clayton, Gumbel, Frank, Joe,…) are classes of symmetric copulas. Thus, if we apply ( X 1 , X 2 ) with these distributions and these copulas, Proposition 7 tells us that the random variable Z : = X 1 X 1 + X 2 always gets the median one-half. This theoretical result is consistent with our simulation results displayed in the next section.
We note that the formulas given in (8), (9), (19) and (20) may not have closed forms. However, they are easily computed by using the Monte Carlo (MC) simulation method or any techniques of numerical integration. We provide simulation studies in the next section.

5. A Simulation Study

Since the density and the CDF formula of the ratio Y = X 1 X 2 [ Z = X 1 X 1 + X 2 ] expressed in (8) and (9) ((19) and (20)) are in terms of integrals and are very complicated, we cannot obtain the exact forms of the density and the CDF. To circumvent the difficulty, in this paper, we propose to use the Monte Carlo algorithm, numerical analysis and graphical approach to study behavior of density and distribution and the changes of their shapes when parameters are changing.
Suppose that X 1 and X 2 are normally distributed and denoted by X i N ( μ i , σ i 2 ) for i = 1 , 2 with PDF given by
f X i ( x ) = 1 2 π σ i exp ( ( x μ i ) 2 2 σ i 2 ) .
Without loss of generality, we consider μ 1 = μ 2 = 0 and σ 1 = σ 2 = 1 . We note that, if X 1 and X 2 are independent and standard normal distributed, then it is well known that Y = X 1 X 2 follows standard Cauchy distribution. The Cauchy distribution is a type of distribution that has no mean and also does not exist any higher moments. To circumvent this problem, one may use median to measure the central tendency and use range or interquartile range to measure the spread of the distribution. The general Cauchy distribution has the following PDF:
f ( x ) : = β π ( β 2 + ( x α ) 2 ) , α R , β > 0 .
Thus, location and scale parameter of Y = X 1 X 2 are α = 0 and β = 1 , respectively, if X 1 and X 2 are identically independent standard normal distributed.
We now investigate different dependence structures of X 1 and X 2 through several families of copulas and observe the shapes of the corresponding distributions for both Y and Z as well as estimate their percentiles at different levels including 0.05 , 0.25 , 0.5 , 0.75 , 0.95 and denote the corresponding percentiles to be Q 0.05 , Q 0.25 , Q 0.50 , Q 0.75 , and Q 0.95 , respectively. In risk analysis, the percentile Q 0.05 is often used as the Value-at-Risk (VaR) 5 % while Q 0.25 and Q 0.75 are, respectively, called the first and third quartile of the random variable and the interquartile range (IQR) is defined by their difference; that is, I Q R = Q 0.75 Q 0.25 . The median measures the center of the distribution, which is equal to Q 0.5 .
For each copula C θ ( u , v ) , the PDF and CDF of Y and Z can be plotted on the interval [ 4 , 4 ] by using the following steps:
(i)
For each pair of y and z { 4 , 3.9 , 3.8 , , 4 } , generate the uniform random variables U and V on the unit interval; that is, U , V U n i f o r m [ 0 , 1 ] with the sample size N, say N = 10,000;
(ii)
estimate the values for f Y ( y ) , F Y ( y ) , f Z ( z ) , and F Z ( z ) by using
f ^ Y ( y ) 1 N i = 1 N | F 2 1 ( v i ) | c F 1 y F 2 1 ( v i ) , v i f 1 y F 2 1 ( v i ) ,
F ^ Y ( y ) F 2 ( 0 ) + 1 N i = 1 N sgn F 2 1 ( v i ) v C F 1 y F 2 1 ( v i ) , v i ,
f ^ Z ( z ) 1 N i = 1 N F 1 1 ( u i ) z 2 c u i , F 2 1 z z F 1 1 ( u i ) f 2 1 z z F 1 1 ( u i ) , if   z 0 , f 1 ( 0 ) N i = 1 N F 2 1 ( v i ) c F 1 ( 0 ) , v i , if   z = 0 ,
F ^ Z ( z ) 1 { z 0 } + 1 N i = 1 N sgn F 1 1 ( u i ) C u u i , F 2 F 1 1 ( u i ) C u u i , F 2 1 z z F 1 1 ( u i ) ,
in which the density copula c θ ( u i , v i ) , the derivatives u C θ ( u i , v i ) and v C θ ( u i , v i ) can be obtained by using the packages of VineCopula in R language; and
(iii)
plot f ^ Y ( y ) , F ^ Y ( y ) , f ^ Z ( z ) , and F ^ Z ( z ) with y , z { 4 , 3.9 , 3.8 , , 3.9 , 4 } .
To estimate percentiles Q α ’s of Y and Z, we first construct the joint distribution of ( X 1 , X 2 ) by using Sklar’s Theorem as shown in the following: For each copula C θ ( u , v ) , we first obtain the joint CDF of ( X 1 , X 2 ) such that
H θ ( x 1 , x 2 ) = C θ F 1 ( x 1 ) , F 2 ( x 2 ) .
We then repeat 5000 times, k = 1 , 2 , , 5000 for the following steps in the computation:
(1)
For each repetition k = 1 , 2 , , 5000 ,
(i)
generate ( X 1 , X 2 ) from H θ ( x 1 , x 2 ) of sample size 10 4 by using the package copula in R language and define
y i ( k ) = x 1 i ( k ) x 2 i ( k ) , i = 1 , 2 , , 10 4 ;
z i ( k ) = x 1 i ( k ) x 1 i ( k ) + x 2 i ( k ) , i = 1 , 2 , , 10 4 ;
(ii)
estimate the percentiles Q α with α = 0.05 , 0.25 , 0.5 , 0.75 , 0.95 for both Y and Z by using the following formula
Q ^ α ( Y ( k ) ) = y h ( k ) + h h y h + 1 ( k ) y h ( k ) , with h = 10 4 1 α + 1 ,
Q ^ α ( Z ( k ) ) = z h ( k ) + h h z h + 1 ( k ) z h ( k ) ,
where y ( 1 ) ( k ) y ( 2 ) ( k ) y ( N ) ( k ) and z ( 1 ) ( k ) z ( 2 ) ( k ) z ( N ) ( k ) denote the order statistics of both y ( k ) and z ( k ) , respectively, and h denotes integer part of h.
(2)
Finally, we take average for each of the above quantities by using the following formula:
Q ^ α ( Y ) = 1 5000 k = 1 5000 Q ^ α ( Y ( k ) ) , Q ^ α ( Z ) = 1 5000 k = 1 5000 Q ^ α ( Z ( k ) ) ,
to obtain the estimates of the percentiles for Y and Z.
We note that the algorithms discussed in the above can be applied to any non-symmetric marginal distribution and skewed copulas family with absolutely continuous random variable that could contain negative range, for example, generalized skewed-t distribution and skewed-t Copulas. 2

5.1. Gaussian Copulas

We first investigate dependence structures of X 1 and X 2 through Gaussian Copulas C r ( u , v ) and observe the shapes of the corresponding distributions for both Y and Z.
C r ( u , v ) = 1 2 π 1 r 2 Φ 1 ( u ) Φ 1 ( v ) exp s 2 2 r s t + t 2 2 ( 1 r 2 ) d s d t ,
where Φ 1 ( x ) is the inverse of standard normal CDF and r is Pearson’s correlation coefficient between X 1 and X 2 , | r | < 1 . We now consider the cases with r = 0.9 , 0.5 , 0 , 0.5 , 0.9 . When r = 0 , it is corresponding to the independence situation, and we get PDFs and CDFs of Y and Z shown in Figure 1 and Figure 2, respectively. As can be seen from the Figures and Table 1 and Table 2, when the parameter r varies from negative to positive, the median is totally equal to the Pearson’s correlation coefficient r. The more correlated, that is, the higher | r | between X 1 and X 2 is, the smaller the spread, that is, IQR of Y, becomes. In contrast to Y, the center of Z is definitely unchanged (0.5), but the scale parameter of Z is smaller indicated by the higher height of the density. The shapes of both Y and Z are symmetric.

5.2. Student-t Copulas

We then investigate dependence structures of X 1 and X 2 through Student-t Copulas C r , ν ( u , v ) and observe the shapes of the corresponding distributions of both Y and Z:
C r , ν ( u , v ) = 1 2 π 1 r 2 t ν 1 ( u ) t ν 1 ( v ) 1 + s 2 2 r s t + t 2 v ( 1 r 2 ) ( v + 2 ) / 2 d s d t ,
where t ν 1 ( x ) is the inverse of Student CDF with degrees of freedom ν, r denotes Pearson’s correlation coefficient between X 1 and X 2 , and | r | < 1 , and ν > 2 is the degrees of freedom. We also consider r = 0.9 , 0.5 , 0 , 0.5 , 0.9 with three degrees of freedom ( ν = 3 ), where r = 0 is corresponding to no linear correlation. The PDFs and CDFs of Y of Z are, respectively, represented in Figure 3 and Figure 4. Some percentiles are estimated and displayed in Table 3 and Table 4. Similarly to Gaussian copula, in this case, the center and spread of Y and Z are also varying in the same way. However, one can see a representation of skewness and tailedness, that is, right skewed if r < 0 and left skewed if r > 0 , since the fact that Student-t Copulas can capture tail dependence between X 1 and X 2 .

5.3. Clayton Copulas

We turn to investigate dependence structures of X 1 and X 2 through the following Clayton Copulas C θ ( u , v ) and observe the shapes of the corresponding distributions of both Y and Z:
C θ ( u , v ) = max u θ + v θ 1 1 θ , θ 1 ; + \ 0 .
In practice, we use θ > 0 that leads to
C θ ( u , v ) = u θ + v θ 1 1 θ , θ > 0 .
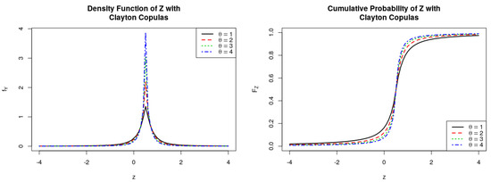
For θ = 1 , 2 , 3 , 4 , we obtain CDFs and PDFs of Y and Z and exhibit them in Figure 5 and Figure 6, respectively, and their percentiles as shown in Table 5 and Table 6. Clearly, Clayton Copulas affect Y to get heavier left tail and the more positive dependence is; that is, θ , the greater the median and the smaller the IQR of Y tend to be. On the other hand, the shape of distribution of Z is still symmetric with unchanged median, less spread, and more spike.

5.4. Gumbel Copulas

We now investigate dependence structures of X 1 and X 2 through the following Gumbel Copulas C θ ( u , v ) and observe the shapes of the corresponding distributions of both Y and Z:
C θ ( u , v ) = exp ( ln u ) θ + ( ln v ) θ 1 θ , θ > 0 .
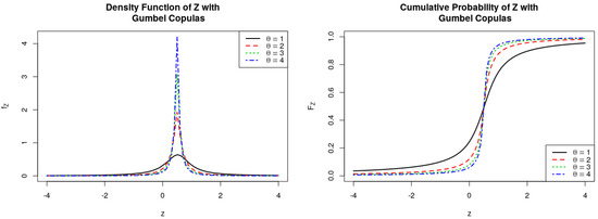
The parameter θ = 1 implies uncorrelated ( X 1 , X 2 ) . Figure 7 and Figure 8 show the behavior of Y and Z via the copulas. Table 7 and Table 8 represent some estimated percentiles for both Y and Z. In the comparison with Clayton, Gumbel Copula gets left skewness, higher median, and less spread for Y, but gets a symmetric shape, unchanged median, less spread, and smaller scale (higher spike) for Z. However, the shape of Y tends to be more symmetric when one increases the parameter θ.

5.5. Frank Copulas

In addition, we investigate dependence structures of X 1 and X 2 through the following Frank Copulas C θ ( u , v ) and observe the shapes of the corresponding distributions of both Y and Z:
C θ ( u , v ) = 1 θ ln 1 + e θ u 1 e θ v 1 e θ 1 , θ R \ { 0 } .
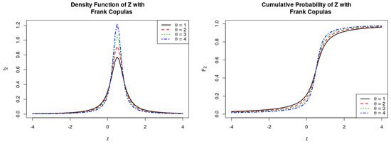
For Frank Copulas, the parameter θ represents two independent random variables when it tends to zero, becomes more monotonic structure when θ , and becomes more counter-monotonic when θ . For θ = 1 , 2 , 3 , 4 , we have Table 9 and Table 10, and Figure 9 and Figure 10. In contrast to both Clayton and Gumbel Copulas, the density of Y via Frank Copulas is more symmetric and the density of Z is not scaling too much, but for the median and spread of Y, it behaves like the Gumbel Copulas and Clayton Copulas; that is, if we increase the parameter θ, the median also increases, whereas the spread (via IQR) decreases.

5.6. Joe Copulas

Finally, we investigate dependence structures of X 1 and X 2 through the following Joe Copulas C θ ( u , v ) and observe the shapes of the corresponding distributions of both Y and Z:
C θ ( u , v ) = 1 [ ( 1 u ) θ + ( 1 v ) θ ( 1 u ) θ ( 1 v ) θ ] 1 / θ , θ [ 1 , ) .
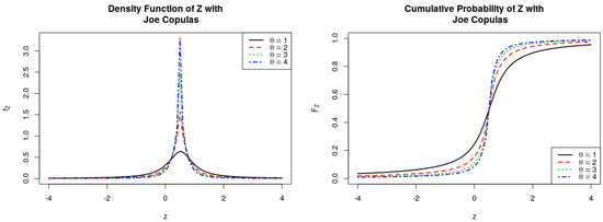
Similar to Gumbel Copulas, Joe Copula shows independence when θ = 1 and becomes more monotonicity if θ . With assistance of the tables and graphs with θ = 1 , 2 , 3 , 4 , Table 11 and Table 12 and Figure 11 and Figure 12 tell us that the distribution behaviors of Y are also affected with higher median, less IQR, smaller scale (higher spike), and the shape is more asymmetric if one increases the parameter θ. On the other hand, Z still gets median unchanged with m e d i a n = 0.5 and less spread with the sum of the first quartile and third quartile is always equal to 1, i.e., ( Q 0.25 + Q 0.75 = 1 ).

5.7. Comparison of Copulas with the Same Measure of Dependence

In this section, we investigate the effects of the six copulas families as discussed above on the shapes of different distributions for the random variables Y : = X 1 / X 2 and Z : = X 1 / ( X 1 + X 2 ) when they have the same measure of dependence—the Kendall’s coefficient τ. Here, the parameters are chosen to each copula to correspond to Kendall τ = 0.49 . We exhibit the corresponding CDFs and PDFs of both Y and Z in Figure 13 and Figure 14, estimate the percentiles Q α for some α = 0.05 , 0.25 , 0.5 , 0.75 , 0.95 , and display the values in Table 13 and Table 14. As can be seen from the tables and the figures, Y attains the greatest median (0.76) and the smallest IQR (1.32) with left skewed shape when both X 1 and X 2 follow Joe Copula and Student-t Copula. In contrast, Gaussian Copula produces the smallest median (0.70) and the largest IQR (1.42) with symmetric shape. Using Clayton Copula, Y gets the second biggest median (0.74). The ratio random variable Y has the same median (0.72) for both Gumbel and Frank Copula, but the Frank makes Y get higher IQR than the Gumbel ( 1.41 > 1.33 ). On the other hand, the random variable Z has symmetric shape with unchanged median (0.5) among all investigated copulas. It only changes the scale, where the Joe Copula affects Z with the smallest scale (i.e., the tallest height of density) whilst the Frank Copula causes Z to get the greatest scale (i.e., the shortest height of density).

6. Conclusions

Determining distributions of the functions of random variables is a very crucial task and this problem has attracted a number of researchers because there are numerous applications in Economics, Science, and many other areas, especially in the areas of finance including risk management and option pricing. However, to the best of our knowledge, the problem of determining distribution functions of quotient of dependent random variables using copulas has not been widely studied and, as far as we know, no published paper or working paper has done the work we are doing in this paper. Thus, to bridge the gap in the literature, in this paper, we first develop two general propositions on both density and distribution functions for the quotient Y = X 1 X 2 and the ratio of one variable over the sum of two variables Z : = X 1 X 1 + X 2 of two dependent random variables X 1 and X 2 by using copulas. We then derive two corollaries on both density and distribution functions for the two quotients Y = X 1 X 2 and Z = X 1 X 1 + X 2 of two dependent normal random variables X 1 and X 2 in case of Gaussian Copulas by applying the two main general propositions developed in our paper. From the results, we derive the corollaries on the median for the ratios of both Y and Z of two normal random variables X 1 and X 2 . Furthermore, the result of median for Z is also extended to a larger family of symmetric distributions and symmetric copulas of X 1 and X 2 .
Since the density and the CDF formula of the ratios of both Y and Z are in terms of integrals and are very complicated, we cannot obtain the exact forms of the density and the CDF. To circumvent the difficulty, in this paper, we propose to use the Monte Carlo algorithm, numerical analysis, and graphical approach that can efficiently compute complicated integrals and study the behaviors of both density and distribution and the changes of their shapes when parameters are changing. We illustrate our proposed approaches by using a simulation study with ratios of normal random variables on several different copulas, including Gaussian, Student-t, Clayton, Gumbel, Frank, and Joe Copulas. We find that copulas make big impacts on behavior of distributions, and since Gaussian and Student-t Copulas belong to an elliptical family, they similarly act on shapes of Y and Z in the same fashion. We also document the effects when using Archimedean copulas including Clayton, Gumbel, Frank, and Joe Copulas. However, there are also some differences, especially on location and scale effects. For example, distribution of Z does not change the median and its shape is always symmetric for all investigated copulas while the random variable Y is affected in skewness, median and spread. Our findings are useful for academics in their study of the shapes, center and spread of both density and distribution functions for the ratios by using different copulas. Since the ratios in different copulas are widely used in many important empirical studies in Finance, Economics, and many other areas, our findings are useful to practitioners in Finance, Economics, and many other areas who need to study the shapes, center and spread of the ratios by using different copulas in their analysis and useful to policy makers if they need to consider the shapes, center and spread of both density and distribution functions for the ratios by using different copulas in their policy decision-making. Finally, we note that, although all of the propositions and corollaries developed in our paper are relatively easy to derive, all the results developed in our paper are useful to both academics and practitioners because there is a wide range of applications with variables that have a negative range. Readers may refer to (Chang et al. 2016, 2018a, 2018b, 2018c; Chang et al. 2015; Wong 2016) for more information on the applications in different areas.

Author Contributions

Writing—original draft preparation, S.L. (Sel Ly) and K.-H.P.; writing—review and editing, W.-K.W.; visualization, S.L. (Sel Ly) and S.L. (Sal Ly).

Funding

This research has been supported by Ton Duc Thang University, Asia University, China Medical University Hospital, Hang Seng University of Hong Kong, Research Grants Council (RGC) of Hong Kong (project number 12500915), and Ministry of Science and Technology (MOST, Project Numbers 106-2410-H-468-002 and 107-2410-H-468 -002-MY3), Taiwan.

Acknowledgments

The authors are grateful to Michael McAleer, the Editor-in-Chief, and anonymous referees for substantive comments that have significantly improved this manuscript. The fourth author would like to thank Robert B. Miller and Howard E. Thompson for their continuous guidance and encouragement.

Conflicts of Interest

The authors declare no conflict of interest.

References

  1. Arnold, Barry C., and Patrick L. Brockett. 1992. On distributions whose component ratios are cauchy. The American Statistician 46: 25–26. [Google Scholar]
  2. Bithas, Petros S., Nikos C. Sagias, Theodoros A. Tsiftsis, and George K. Karagiannidis. 2007. Products and ratios of two gaussian class correlated weibull random variables. Paper presented at the 12th International Conference on Applied Stochastic Models and Data Analysis (ASMDA 2007), Chania, Crete, May 29–June 1. [Google Scholar]
  3. Cedilnik, Anton, Katarina Kosmelj, and Andrej Blejec. 2004. The distribution of the ratio of jointly normal variables. Metodoloski zvezki 1: 99. [Google Scholar]
  4. Chang, Chia-Lin, Michael McAleer, and Wing-Keung Wong. 2015. Informatics, Data Mining, Econometrics and Financial Economics: A Connection. Technical Report 1. Available online: https://repub.eur.nl/pub/79219/ (accessed on 8 March 2019).
  5. Chang, Chia-Lin, Michael McAleer, and Wing-Keung Wong. 2016. Management Science, Economics and Finance: A Connection. Available online: http://eprints.ucm.es/37904/ (accessed on 8 March 2019).
  6. Chang, Chia-Lin, Michael McAleer, and Wing-Keung Wong. 2018a. Big data, computational science, economics, finance, marketing, management, and psychology: connections. Journal of Risk and Financial Management 11: 15. [Google Scholar] [CrossRef]
  7. Chang, Chia-Lin, Michael McAleer, and Wing-Keung Wong. 2018b. Decision Sciences, Economics, Finance, Business, Computing, and Big Data: Connections. Available online: https://papers.ssrn.com/sol3/papers.cfm?abstract_id=3140371 (accessed on 8 March 2019).
  8. Chang, Chia-Lin, Michael McAleer, and Wing-Keung Wong. 2018c. Management Information, Decision Sciences, and Financial Economics: A Connection. Decision Sciences, and Financial Economics: A Connection (January 17, 2018). Tinbergen Institute Discussion Paper. p. 4. Available online: https://papers.ssrn.com/sol3/papers.cfm?abstract_id=3103807 (accessed on 8 March 2019).
  9. Cherubini, Umberto, Elisa Luciano, and Walter Vecchiato. 2004. Copula Methods in Finance. New York: John Wiley & Sons. [Google Scholar]
  10. Dolati, Ali, Rasool Roozegar, Najmeh Ahmadi, and Zohreh Shishebor. 2017. The effect of dependence on distribution of the functions of random variables. Communications in Statistics-Theory and Methods 46: 10704–717. [Google Scholar] [CrossRef]
  11. Donahue, James D. 1964. Products and Quotients of Random Variables and Their Applications. Technical Report. Fort Collins: MARTIN CO DENVER CO. [Google Scholar]
  12. Hinkley, David V. 1969. On the ratio of two correlated normal random variables. Biometrika 56: 635–39. [Google Scholar] [CrossRef]
  13. Joe, Harry. 1997. Multivariate Models and Multivariate Dependence Concepts. Boca Raton: Chapman and Hall/CRC. [Google Scholar]
  14. Ly, Sel, H. Uyen Pham, and Radim Bris. 2016. On the distortion risk measure using copulas. In Applied Mathematics in Engineering and Reliability: Proceedings of the 1st International Conference on Applied Mathematics in Engineering and Reliability (Ho Chi Minh City, Vietnam, 4–6 May 2016). Boca Raton: CRC Press, p. 309. [Google Scholar]
  15. Ly, Sel, Kim-Hung Pho, Sal Ly, and Wing-Keung Wong. 2019. Determining distribution for the product of random variables by using copulas. Risks 7: 23. [Google Scholar] [CrossRef]
  16. Macalos, Milburn O., and Jayrold P Arcede. 2015. On The Distribution of the Sums, Products and Quotient Of Singh-Maddala Distributed Random Variables Based on Fgm Copula. Available online: https://www.researchgate.net/profile/Jayrold_Arcede/publication/310773588_On_the_Distribution_of_the_Sums_Products_and_Quotient_of_Singh-Maddala_Distributed_Random_Variables_Based_on_FGM_Copula/links/5836ba3a08ae503ddbb54a46/On-the-Distribution-of-the-Sums-Products-and-Quotient-of-Singh-Maddala-Distributed-Random-Variables-Based-on-FGM-Copula.pdf (accessed on 8 March 2019).
  17. Marsaglia, George. 1965. Ratios of normal variables and ratios of sums of uniform variables. Journal of the American Statistical Association 60: 193–204. [Google Scholar] [CrossRef]
  18. Matović, Ana, Edis Mekić, Nikola Sekulović, Mihajlo Stefanović, Marija Matović, and Časlav Stefanović. 2013. The distribution of the ratio of the products of two independent-variates and its application in the performance analysis of relaying communication systems. Mathematical Problems in Engineering. [Google Scholar] [CrossRef]
  19. Mekić, Edis, Mihajlo Stefanović, Petar Spalević, Nikola Sekulović, and Ana Stanković. 2012. Statistical analysis of ratio of random variables and its application in performance analysis of multihop wireless transmissions. Mathematical Problems in Engineering. [Google Scholar] [CrossRef]
  20. Meyer, Christian. 2013. The bivariate normal copula. Communications in Statistics-Theory and Methods 42: 2402–22. [Google Scholar] [CrossRef]
  21. Nadarajah, Saralees, and Mariano Ruiz Espejo. 2006. Sums, products, and ratios for the generalized bivariate pareto distribution. Kodai Mathematical Journal 29: 72–83. [Google Scholar] [CrossRef]
  22. Nadarajah, Saralees, and Samuel Kotz. 2006a. On the product and ratio of gamma and weibull random variables. Econometric Theory 22: 338–44. [Google Scholar] [CrossRef]
  23. Nadarajah, Saralees, and Samuel Kotz. 2006b. Sums, products, and ratios for downton’s bivariate exponential distribution. Stochastic Environmental Research and Risk Assessment 20: 164–70. [Google Scholar] [CrossRef]
  24. Nelsen, Roger B. 2007. An Introduction to Copulas. New York: Springer Science & Business Media. [Google Scholar]
  25. Pham-Gia, Thu, Noyan Turkkan, and E. Marchand. 2006. Density of the ratio of two normal random variables and applications. Communications in Statistics—Theory and Methods 35: 1569–91. [Google Scholar] [CrossRef]
  26. Pham-Gia, Thu. 2000. Distributions of the ratios of independent beta variables and applications. Communications in Statistics-Theory and Methods 29: 2693–715. [Google Scholar] [CrossRef]
  27. Rathie, Pushpa Narayan, Luan Carlos de SM Ozelim, and Cira E. Guevara Otiniano. 2016. Exact distribution of the product and the quotient of two stable lévy random variables. Communications in Nonlinear Science and Numerical Simulation 36: 204–18. [Google Scholar] [CrossRef]
  28. Sakamoto, H. 1943. On the distributions of the product and the quotient of the independent and uniformly distributed random variables. Tohoku Mathematical Journal, First Series 49: 243–60. [Google Scholar]
  29. Springer, Melvin Dale. 1979. The Algebra of Random Variables (1. print. in the USA). Hoboken: Wiley. [Google Scholar]
  30. Tran, D. Hien, Uyen H. Pham, Sel Ly, and Trung Vo-Duy. 2015. A new measure of monotone dependence by using sobolev norms for copula. In International Symposium on Integrated Uncertainty in Knowledge Modelling and Decision Making. New York: Springer, pp. 126–37. [Google Scholar]
  31. Tran, Hien D., Uyen H. Pham, Sel Ly, and Trung Vo-Duy. 2017. Extraction dependence structure of distorted copulas via a measure of dependence. Annals of Operations Research 256: 221–36. [Google Scholar] [CrossRef]
  32. Wong, Wing-Keung. 2016. Behavioural, financial, and health and medical economics: A connection. Journal of Health & Medical Economics 2: 1. [Google Scholar]
1.
We would like to thank the anonymous reviewer for giving us helpful comments so that we could draw this conclusion.
2.
We would like to show our appreciation to the anonymous reviewer to giving us helpful comments so that we could draw this conclusion.
Figure 1. PDFs and CDFs of the ratio Y = X 1 X 2 , where ( X 1 , X 2 ) follows Gaussian Copulas.
Figure 1. PDFs and CDFs of the ratio Y = X 1 X 2 , where ( X 1 , X 2 ) follows Gaussian Copulas.
Jrfm 12 00042 g001
Figure 2. PDFs and CDFs of the ratio Z = X 1 X 1 + X 2 , where ( X 1 , X 2 ) follows Gaussian Copulas.
Figure 2. PDFs and CDFs of the ratio Z = X 1 X 1 + X 2 , where ( X 1 , X 2 ) follows Gaussian Copulas.
Jrfm 12 00042 g002
Figure 3. PDFs and CDFs of the ratio Y = X 1 X 2 , where ( X 1 , X 2 ) follows Student-t Copulas, ν = 3 .
Figure 3. PDFs and CDFs of the ratio Y = X 1 X 2 , where ( X 1 , X 2 ) follows Student-t Copulas, ν = 3 .
Jrfm 12 00042 g003
Figure 4. PDFs and CDFs of the ratio Z = X 1 X 1 + X 2 , where ( X 1 , X 2 ) follows Student-t Copulas, ν = 3 .
Figure 4. PDFs and CDFs of the ratio Z = X 1 X 1 + X 2 , where ( X 1 , X 2 ) follows Student-t Copulas, ν = 3 .
Jrfm 12 00042 g004
Figure 5. PDFs and CDFs of the ratio Y = X 1 X 2 , where ( X 1 , X 2 ) follows Clayton Copulas.
Figure 5. PDFs and CDFs of the ratio Y = X 1 X 2 , where ( X 1 , X 2 ) follows Clayton Copulas.
Jrfm 12 00042 g005
Figure 6. PDFs and CDFs of the ratio Z = X 1 X 1 + X 2 , where ( X 1 , X 2 ) follows Clayton Copulas.
Figure 6. PDFs and CDFs of the ratio Z = X 1 X 1 + X 2 , where ( X 1 , X 2 ) follows Clayton Copulas.
Jrfm 12 00042 g006
Figure 7. PDFs and CDFs of the ratio Y = X 1 X 2 , where ( X 1 , X 2 ) follows Gumbel Copulas.
Figure 7. PDFs and CDFs of the ratio Y = X 1 X 2 , where ( X 1 , X 2 ) follows Gumbel Copulas.
Jrfm 12 00042 g007
Figure 8. PDFs and CDFs of the ratio Z = X 1 X 1 + X 2 , where ( X 1 , X 2 ) follows Gumbel Copulas.
Figure 8. PDFs and CDFs of the ratio Z = X 1 X 1 + X 2 , where ( X 1 , X 2 ) follows Gumbel Copulas.
Jrfm 12 00042 g008
Figure 9. PDF and CDF of quotient of the ratio Y = X 1 X 2 , where ( X 1 , X 2 ) follows Frank Copulas.
Figure 9. PDF and CDF of quotient of the ratio Y = X 1 X 2 , where ( X 1 , X 2 ) follows Frank Copulas.
Jrfm 12 00042 g009
Figure 10. PDF and CDF of the ratio Z = X 1 X 1 + X 2 , where ( X 1 , X 2 ) follows Frank Copulas.
Figure 10. PDF and CDF of the ratio Z = X 1 X 1 + X 2 , where ( X 1 , X 2 ) follows Frank Copulas.
Jrfm 12 00042 g010
Figure 11. PDFs and CDFs of the ratio Y = X 1 X 2 , where ( X 1 , X 2 ) follows Joe Copulas.
Figure 11. PDFs and CDFs of the ratio Y = X 1 X 2 , where ( X 1 , X 2 ) follows Joe Copulas.
Jrfm 12 00042 g011
Figure 12. PDFs and CDFs of the ratio Z = X 1 X 1 + X 2 , where ( X 1 , X 2 ) follows Joe Copulas.
Figure 12. PDFs and CDFs of the ratio Z = X 1 X 1 + X 2 , where ( X 1 , X 2 ) follows Joe Copulas.
Jrfm 12 00042 g012
Figure 13. PDFs and CDFs of the ratio Y = X 1 X 2 , where ( X 1 , X 2 ) modeled with six Copulas having the same τ = 0.49 .
Figure 13. PDFs and CDFs of the ratio Y = X 1 X 2 , where ( X 1 , X 2 ) modeled with six Copulas having the same τ = 0.49 .
Jrfm 12 00042 g013
Figure 14. PDF and CDF of the ratio Z = X 1 X 1 + X 2 , where ( X 1 , X 2 ) modeled with six Copulas having the same τ = 0.49 .
Figure 14. PDF and CDF of the ratio Z = X 1 X 1 + X 2 , where ( X 1 , X 2 ) modeled with six Copulas having the same τ = 0.49 .
Jrfm 12 00042 g014
Table 1. Some percentiles of Y = X 1 / X 2 , where ( X 1 , X 2 ) follows Gaussian Copulas.
Table 1. Some percentiles of Y = X 1 / X 2 , where ( X 1 , X 2 ) follows Gaussian Copulas.
r τ ( C r ) Q 0.05 Q 0.25 Median Q 0.75 Q 0.95
0.9 0.71 −3.65−1.34−0.9−0.461.85
0.5 0.33 −5.97−1.37−0.50.374.97
00−6.31−1.000.01.006.31
0.50.33−4.97−0.370.51.375.97
0.90.71−1.850.460.91.343.65
Table 2. Some percentiles of Z = X 1 / ( X 1 + X 2 ) , where ( X 1 , X 2 ) follows Gaussian Copulas.
Table 2. Some percentiles of Z = X 1 / ( X 1 + X 2 ) , where ( X 1 , X 2 ) follows Gaussian Copulas.
r τ ( C r ) Q 0.05 Q 0.25 Median Q 0.75 Q 0.95
0.9 0.71 −13.27−1.680.52.6814.26
0.5 0.33 −4.97−0.370.51.375.97
00−2.660.000.51.003.65
0.50.33−1.330.210.50.792.32
0.90.71−0.230.390.50.611.22
Table 3. Some percentiles of Y = X 1 / X 2 , where ( X 1 , X 2 ) follows Student-t Copulas, ν = 3 .
Table 3. Some percentiles of Y = X 1 / X 2 , where ( X 1 , X 2 ) follows Student-t Copulas, ν = 3 .
r τ ( C r ) Q 0.05 Q 0.25 Median Q 0.75 Q 0.95
0.9 0.71 −3.42−1.26−0.92−0.501.82
0.5 0.33 −5.18−1.28−0.560.404.42
00−5.40−1.000.001.005.41
0.50.33−4.42−0.400.561.285.18
0.90.71−1.810.500.921.263.42
Table 4. Some percentiles of Y = X 1 / ( X 1 + X 2 ) , where ( X 1 , X 2 ) follows Student-t Copulas, ν = 3 .
Table 4. Some percentiles of Y = X 1 / ( X 1 + X 2 ) , where ( X 1 , X 2 ) follows Student-t Copulas, ν = 3 .
r τ ( C r ) Q 0.05 Q 0.25 Median Q 0.75 Q 0.95
0.9 0.71 −18.20−2.050.53.0519.21
0.5 0.33 −6.62−0.450.51.457.61
00−3.350.000.51.004.35
0.50.33−1.540.240.50.762.54
0.90.71−0.240.400.50.601.24
Table 5. Some percentiles of Y = X 1 / X 2 , where ( X 1 , X 2 ) follows Clayton Copulas.
Table 5. Some percentiles of Y = X 1 / X 2 , where ( X 1 , X 2 ) follows Clayton Copulas.
θ τ ( C θ ) Q 0.05 Q 0.25 Median Q 0.75 Q 0.95
10.33−4.97−0.360.531.315.83
20.5−3.830.030.761.345.24
30.60−2.870.250.861.344.71
40.67−2.120.390.911.324.25
Table 6. Some percentiles of Y = X 1 / ( X 1 + X 2 ) , where ( X 1 , X 2 ) follows Clayton Copulas.
Table 6. Some percentiles of Y = X 1 / ( X 1 + X 2 ) , where ( X 1 , X 2 ) follows Clayton Copulas.
θ τ ( C θ ) Q 0.05 Q 0.25 Median Q 0.75 Q 0.95
10.33−1.310.220.50.782.31
20.5−0.730.300.50.701.73
30.60−0.420.350.50.651.42
40.67−0.240.370.50.631.24
Table 7. Some percentiles of Y = X 1 / X 2 , where ( X 1 , X 2 ) follows Gumbel Copulas.
Table 7. Some percentiles of Y = X 1 / X 2 , where ( X 1 , X 2 ) follows Gumbel Copulas.
θ τ ( C θ ) Q 0.05 Q 0.25 Median Q 0.75 Q 0.95
10−6.31−1.000.001.006.32
20.5−3.700.000.741.365.01
30.67−2.260.380.891.323.95
40.75−1.450.560.941.273.30
Table 8. Some percentiles of Y = X 1 / ( X 1 + X 2 ) , where ( X 1 , X 2 ) follows Gumbel Copulas.
Table 8. Some percentiles of Y = X 1 / ( X 1 + X 2 ) , where ( X 1 , X 2 ) follows Gumbel Copulas.
θ τ ( C θ ) Q 0.05 Q 0.25 Median Q 0.75 Q 0.95
10−2.660.000.51.003.66
20.5−0.820.300.50.701.82
30.67−0.340.370.50.631.34
40.75−0.120.410.50.591.12
Table 9. Some percentiles of Y = X 1 / X 2 , where ( X 1 , X 2 ) follows Frank Copulas.
Table 9. Some percentiles of Y = X 1 / X 2 , where ( X 1 , X 2 ) follows Frank Copulas.
θ τ ( C θ ) Q 0.05 Q 0.25 Median Q 0.75 Q 0.95
10.11−6.03−0.790.191.186.42
20.21−5.59−0.560.361.316.37
30.31−5.05−0.330.501.406.19
40.39−4.46−0.140.601.465.90
Table 10. Some percentiles of Y = X 1 / ( X 1 + X 2 ) , where ( X 1 , X 2 ) follows Frank Copulas.
Table 10. Some percentiles of Y = X 1 / ( X 1 + X 2 ) , where ( X 1 , X 2 ) follows Frank Copulas.
θ τ ( C θ ) Q 0.05 Q 0.25 Median Q 0.75 Q 0.95
10.11−2.090.090.50.913.09
20.21−1.620.160.50.842.62
30.31−1.250.210.50.792.25
40.39−0.960.250.50.751.96
Table 11. Some percentiles of Y = X 1 / X 2 , where ( X 1 , X 2 ) follows Joe Copulas.
Table 11. Some percentiles of Y = X 1 / X 2 , where ( X 1 , X 2 ) follows Joe Copulas.
θ τ ( C θ ) Q 0.05 Q 0.25 Median Q 0.75 Q 0.95
10−6.31−1.000.001.006.32
20.36−4.82−0.320.571.305.67
30.52−3.660.070.791.335.13
40.61−2.710.290.881.334.62
Table 12. Some percentiles of Y = X 1 / ( X 1 + X 2 ) , where ( X 1 , X 2 ) follows Joe Copulas.
Table 12. Some percentiles of Y = X 1 / ( X 1 + X 2 ) , where ( X 1 , X 2 ) follows Joe Copulas.
θ τ ( C θ ) Q 0.05 Q 0.25 Median Q 0.75 Q 0.95
10−2.660.000.51.003.66
20.36−1.250.230.50.772.25
30.52−0.660.310.50.691.66
40.61−0.370.350.50.651.37
Table 13. Some percentiles of Y = X 1 / X 2 , where ( X 1 , X 2 ) modelled with six copulas having the same Kendall coefficient τ = 0.49 .
Table 13. Some percentiles of Y = X 1 / X 2 , where ( X 1 , X 2 ) modelled with six copulas having the same Kendall coefficient τ = 0.49 .
CopulasParameters τ ( C ) Q 0.05 Q 0.25 Median Q 0.75 Q 0.95
Gaussian0.70.49−3.81−0.010.701.415.21
Student-t0.7, ν = 3 0.49−3.52−0.020.761.314.63
Clayton1.900.49−3.930.000.741.345.30
Gumbel1.950.49−3.80−0.030.721.365.07
Frank5.50.49−3.600.080.721.495.41
Joe2.80.49−3.880.010.761.335.24
Table 14. Some percentiles of Y = X 1 / ( X 1 + X 2 ) , where ( X 1 , X 2 ) modelled with six copulas having the same Kendall coefficient τ = 0.49 .
Table 14. Some percentiles of Y = X 1 / ( X 1 + X 2 ) , where ( X 1 , X 2 ) modelled with six copulas having the same Kendall coefficient τ = 0.49 .
CopulasParameters τ ( C ) Q 0.05 Q 0.25 Median Q 0.75 Q 0.95
Gaussian0.70.49 0.83 0.290.50.711.83
Student-t0.7, ν = 3 0.49 0.92 0.310.50.691.92
Clayton1.900.49 0.77 0.300.50.701.77
Gumbel1.950.49 0.86 0.300.50.701.86
Frank5.50.49 0.65 0.290.50.711.65
Joe2.80.49 0.74 0.300.50.701.74

Share and Cite

MDPI and ACS Style

Ly, S.; Pho, K.-H.; Ly, S.; Wong, W.-K. Determining Distribution for the Quotients of Dependent and Independent Random Variables by Using Copulas. J. Risk Financial Manag. 2019, 12, 42. https://doi.org/10.3390/jrfm12010042

AMA Style

Ly S, Pho K-H, Ly S, Wong W-K. Determining Distribution for the Quotients of Dependent and Independent Random Variables by Using Copulas. Journal of Risk and Financial Management. 2019; 12(1):42. https://doi.org/10.3390/jrfm12010042

Chicago/Turabian Style

Ly, Sel, Kim-Hung Pho, Sal Ly, and Wing-Keung Wong. 2019. "Determining Distribution for the Quotients of Dependent and Independent Random Variables by Using Copulas" Journal of Risk and Financial Management 12, no. 1: 42. https://doi.org/10.3390/jrfm12010042

APA Style

Ly, S., Pho, K.-H., Ly, S., & Wong, W.-K. (2019). Determining Distribution for the Quotients of Dependent and Independent Random Variables by Using Copulas. Journal of Risk and Financial Management, 12(1), 42. https://doi.org/10.3390/jrfm12010042

Article Metrics

Back to TopTop