Next Article in Journal
Oxidative Response and Antioxidative Mechanism in Germinating Soybean Seeds Exposed to Cadmium
Next Article in Special Issue
Measuring the Pattern of High Temperature Areas in Urban Greenery of Nanjing City, China
Previous Article in Journal
Over-Expression of CYP2E1 mRNA and Protein: Implications of Xenobiotic Induced Damage in Patients with De Novo Acute Myeloid Leukemia with inv(16)(p13.1q22); CBFβ-MYH11
Previous Article in Special Issue
Decomposition Analysis of Wastewater Pollutant Discharges in Industrial Sectors of China (2001–2009) Using the LMDI I Method
 
 
Font Type:
Arial Georgia Verdana
Font Size:
Aa Aa Aa
Line Spacing:
Column Width:
Background:
Article

Land Use Zoning at the County Level Based on a Multi-Objective Particle Swarm Optimization Algorithm: A Case Study from Yicheng, China

1
School of Resource and Environmental Science, Wuhan University, Luoyu Road 129, Wuhan 430079, China
2
Key Laboratory of Geographical Information System, Ministry of Education, Wuhan University, Luoyu Road 129, Wuhan 430079, China
3
Department of Computer Science, Central China Normal University, Luoyu Road 152, Wuhan 430079, China
*
Author to whom correspondence should be addressed.
Int. J. Environ. Res. Public Health 2012, 9(8), 2801-2826; https://doi.org/10.3390/ijerph9082801
Submission received: 25 June 2012 / Revised: 21 July 2012 / Accepted: 25 July 2012 / Published: 6 August 2012

Abstract

:
Comprehensive land-use planning (CLUP) at the county level in China must include land-use zoning. This is specifically stipulated by the China Land Management Law and aims to achieve strict control on the usages of land. The land-use zoning problem is treated as a multi-objective optimization problem (MOOP) in this article, which is different from the traditional treatment. A particle swarm optimization (PSO) based model is applied to the problem and is developed to maximize the attribute differences between land-use zones, the spatial compactness, the degree of spatial harmony and the ecological benefits of the land-use zones. This is subject to some constraints such as: the quantity limitations for varying land-use zones, regulations assigning land units to a certain land-use zone, and the stipulation of a minimum parcel area in a land-use zoning map. In addition, a crossover and mutation operator from a genetic algorithm is adopted to avoid the prematurity of PSO. The results obtained for Yicheng, a county in central China, using different objective weighting schemes, are compared and suggest that: (1) the fundamental demand for attribute difference between land-use zones leads to a mass of fragmentary land-use zones; (2) the spatial pattern of land-use zones is remarkably optimized when a weight is given to the sub-objectives of spatial compactness and the degree of spatial harmony, simultaneously, with a reduction of attribute difference between land-use zones; (3) when a weight is given to the sub-objective of ecological benefits of the land-use zones, the ecological benefits get a slight increase also at the expense of a reduction in attribute difference between land-use zones; (4) the pursuit of spatial harmony or spatial compactness may have a negative effect on each other; (5) an increase in the ecological benefits may improve the spatial compactness and spatial harmony of the land-use zones; (6) adjusting the weights assigned to each sub-objective can generate a corresponding optimal solution, with a different quantity structure and spatial pattern to satisfy the preference of the different decision makers; (7) the model proposed in this paper is capable of handling the land-use zoning problem, and the crossover and mutation operator can improve the performance of the model, but, nevertheless, leads to increased time consumption.

1. Introduction

Land-use zoning and regulation, which originated in the late 19th century and was ubiquitous in most major US cities from the 1920s, is an effective measure for optimizing the allocation of land resources [1,2] and mitigating the negative externalities caused by mixed land use, and has been implemented in many countries and regions [3,4,5]. As the most important method of land-use regulation undertaken by local governments, zoning divides an administrative division into geographically contiguous ‘zones’, where each zone has its ordinance which prescribes what may and what may not be done [6]. The structure and goals of land-use regulation vary with the economic development, social institution and traditional culture of the different countries. China, since the adoption of economic reform and the open-door policy in 1978, has experienced rapid urbanization and industrialization, with the resulting undesirable phenomena of urban sprawl and expansion, loss of farmland, damage to the ecological environment, etc. Therefore, the main purpose of the zoning policy of China is to restrict the urban encroachment on rural lands, slow the agricultural conversion process and provide protection for the preservation of farmland and forest land [7]. Xinji County of Hebei Province, as a pilot county, adopted the nation’s first comprehensive zoning ordinance in 1987, but there was no specific legal provision for zoning until 1998 when Article 20 of the China Land Management Law introduced a regulation bringing in CLUP at the county level, which defines the land-use zones and the dominant land use of each zone. It can be seen, however, that the actual implementation of zoning policy occurred later in China, and the methods and laws for zoning and land-use regulation, in line with China’s actual land-use conditions, are still in the process of being explored. So, the focus of this paper is to construct a rational model serving land-use zoning in China, in view of the fact that zoning is the centerpiece of local planning and land-use regulations [8].
Standards for CLUP at the county level note clearly that, in general, a county can be divided into eight different zones comprising basic farmland preservation areas (BFPA), general agricultural land areas (GALA), forestry land areas (FLA), animal agricultural land areas (AGLA), construction land for towns and villages (CLTV), independent industrial and mining land areas (IIMLA), tourism land areas (TLA), and natural and humanistic landscape preservation areas (NHLPA). Each land-use patch should be assigned to a certain zone, based on the actual land-use vector map [9,10]. A county can improve the land-use multi-efficiency and achieve the optimal allocation and sustainable utilization of land resources by strictly controlling the usages of land in each zone [11]. Traditional methods such as clustering analysis [12], the aggregative indicator method [13], and principal component analysis [14] are used for land-use zoning. All these methods are conducted based on the natural and socio-economic attributes of the land-use patches. However, land-use zoning is not only a spatial cluster problem, but also a multi-objective optimization problem, with the best contiguity between units belonging to the same zone and the highest economic returns, social effects and ecological benefits of land use [15]. Therefore, the aforementioned methods have obvious drawbacks in coping with land-use zoning with a MOOP. Furthermore, up to now, there's few research on solving land-use zoning problems with multi-objective optimization techniques.
Nevertheless, many multi-objective optimization models have been presented for solving the optimization of land-use structure and land-use allocation, which are also the significant components of land-use planning as land-use zoning in China. For example, Brookes [16] used a genetic algorithm (GA) to find the best configuration for patches subject to multiple criteria; Aerts [17] adopted linear integer programming (LIP) for multi-site land-use allocation, to minimize development costs and maximize compactness; Liu et al. [18] analyzed the application of a GA in the optimization of land-use structure, considering the economic benefits, ecological ‘green’ equivalent, and soil erosion; Santé et al. [19] applied simulated annealing (SA) in rural land-use allocation, to reconcile multiple conflicting interests such as land suitability and compactness; Sadeghi et al. [20] optimized land resource allocation by using linear programming, to minimize soil erosion and maximize economic returns; Gao et al. [21] generated an optimized land-use structure which is able to reduce soil erosion, enhance the utilization of water resources and raise agricultural productivity, based on a multi-objective programming (MOP) model and the geographic information system (GIS) technique; Eldrandaly [22] indicated that integrating GIS and gene expression programming (GEP) is a promising and efficient approach for solving multi-site land-use allocation (MLUA) problems; and Zhang et al. [23] applied a multi-agent system (MAS) to regional land-use optimization allocation under a multi-objective constraint. Multiple objectives defined in a spatial context leads to a complex spatial optimization problem and often exhibits substantial computational complexity, which makes exact optimization methods such as LIP infeasible when there are a large number of land units [17,24]; however, optimization techniques that incorporate heuristics have been found to be more effective in solving spatial optimization problems such as SA, GA [25].
Therefore, why not build a multi-objective optimization model for land-use zoning according to previous studies? The particle swarm optimization (PSO) method put forward for the first time by Kennedy and Eberhart [26], is a relatively recent heuristic search method whose mechanics are inspired by the swarming or collaborative behavior of biological populations, which is known as swarm intelligence [26]. As an evolutionary algorithm, it is based on a population of candidate solutions (swarm of particles), which have improved capability for solving complex problems, high convergence speed and good generality for different global optimization problems [27]. The most important advantages of PSO, compared to other optimization strategies, are that PSO is easy to implement and there are few parameters to adjust [28]. It therefore has wide applications in solving the MOPs in many fields [29,30,31,32].
Yicheng, a county-level city in Hubei Province, with rapid economic growth and a sensitive ecological environment, was chosen as the study area in this study. PSO was applied to the land-use zoning of Yicheng, employing an objective function that took into account the differences between zones, the spatial compactness of zones, the degree of spatial harmony of land-use zones, as well as the ecological benefits of land-use. The model obtained the Pareto-optimal solutions, with trade-off between the conflicting objectives, and was subject to the three typical constraints of containing a minimum parcel area in the land-use zoning map, limiting the area of land-use zones, and the general rules of dividing land units into various land-use zones. Additionally, considering the shortcomings of premature convergence and possibility of sinking into local optima of a basic PSO algorithm, a constriction factor and crossover and mutation operator were used in this model [33,34]. The algorithm, with several different sets of weights applied to these four objectives, was run, and the corresponding results were compared.
The remainder of the paper is organized as follows: Section 2 gives an introduction to the study area and relevant data. The application of PSO in a land-use zoning problem is described in Section 3. Thereafter, in Section 4, the solutions with different sets of weights are compared, and the improvements are discussed. Finally, the main conclusions are given in Section 5.

2. Data

2.1. Study Area

The study area (31°26′–31°54′N, 111°57′–112°57′E) is located in Hubei Province, central China, with an area of 2,114.75 km2 (Figure 1). The area, whose average elevation is between 50 and 150 m, accounts for 76.8% of the total county area, and a dense river network and many ponds cover the whole area. The average annual rainfall in this area, which has a typical subtropical monsoon climate, is between 800 and 1,000 mm. For this area, the population was 5.15 × 105 and the average annual growth rate of total gross domestic product (GDP) in the 11th five-year period was more than 10%. The study area has abundant mineral resources, including silica, limestone, and the biggest deposits of bauxite in Hubei Province. Extensive industrial development of the area has led to a great threat to the local ecological environment.
In accordance with the CLUP (2006–2020) for Yicheng, the land-use zone of CLTV should continue to be divided into two zones comprising the construction land for towns (CLT) and construction land for villages (CLV). In addition, because there is little grassland for animal agriculture in this study area, the zone of LLA is excluded. In the end, the scenario of land-use zoning for Yicheng makes sure that eight land-use zones, including BFPA, GALA, FLA, CLV, CLT, IIMLA, TLA and NHLPA, are obtained.
Figure 1. Location of the study area.
Figure 1. Location of the study area.
Ijerph 09 02801 g001

2.2. Data Collection and Processing

The natural and social characteristics of each land-use patch should be considered when the work of land-use zoning is conducted, so we chose some indices that can reflect these characteristics and list them in Table 1.
Table 1. Land-use zoning indices.
Table 1. Land-use zoning indices.
TargetCriteriaIndices
Land-use zoningsoil qualitysurface soil type, soil organic matter content, pH value,
soil depth, soil erosion intensity, soil profile construction
topographicelevation, slope
infrastructure irrigation guarantee rate,
for farmlanddrainage conditions, rural road density
land locationdistance from rural settlements,
distance to center of towns, distance from roads
land-use statusland-use type
Land-use type can be quantized as an integer number such as 1, 2…n.
The soil quality data such as pH value, soil depth, soil erosion intensity, etc., were obtained from the soil quality survey map (1:50,000). Slope and elevation were derived from a digital elevation model (DEM of 30 m resolution, provided by the International Scientific & Technical Data Mirror Site, Computer Network Information Center, Chinese Academy of Sciences). Some vector traffic maps (1:10,000) were used to provide the spatial information such as centers of towns, railways, highways, roads, and administrative boundaries (provided by local bureau of land and resources). The type of each land-use patch, the percentage area of each land-use type and the distribution of rural settlements were obtained from the actual vector land-use map (1:10,000, provided by the local Bureau of Land and Resources). The actual land-use map contains 47,851 patches, with each patch considered to be a land unit which should be assigned to a certain land-use zone. Several fields were added to the actual land-use map to store the values of the aforementioned indices, after being standardized by Equation (1):
Ijerph 09 02801 i002
where xi’ is the value of variable i before standardization, xi is the value after standardization, xmin is the minimum value of the variable, and xmax is the maximum.
All the spatial data were processed and computed by the spatial analysis tool in ArcGIS 9.3. To ensure consistency of the data, all the images and maps were geometrically rectified with each other and subsequently referenced to the Gauss-Kruger projection Xian_1980_3_ Degree_GK_Zone_37 Projected Coordinate System. Figure 2 represents the main spatial data after GIS processing.
Figure 2. Main spatial data for the land-use zoning model: (a) Actual land-use map; (b) Distance from highways and railways; (c) Distance to center of towns; (d) Elevation; (e) Slope.
Figure 2. Main spatial data for the land-use zoning model: (a) Actual land-use map; (b) Distance from highways and railways; (c) Distance to center of towns; (d) Elevation; (e) Slope.
Ijerph 09 02801 g002
Land-use planning based on ecological evaluation is of great significance to sustainable development [35]. The ecological benefits of land use can be evaluated by the ecosystem services value (ESV) [36], where different land-use types and zones have different ESVs. Xie et al. [37] established the ESV unit areas of Chinese terrestrial ecosystems, based on the partial global ESV evaluation results obtained by Costanza et al. [38]. This paper defines the level of ecological benefit and the corresponding coefficient of different land-use zones (see Table 2) in accordance with the foregoing results, integrated with the responses to ecological questionnaires from specialists of different departments in Yicheng City.
Table 2. The ecological benefit level and coefficients of different land-use zones.
Table 2. The ecological benefit level and coefficients of different land-use zones.
Land-use zoneNHLPAFLAGALATLABFPACLVCLTIIMLA
Level12345678
Coefficient10.90.60.50.40.30.10

3. Methodology

3.1. Objective Function

Optimized land-use zones can effectively improve the land-use multi-efficiency, achieve optimal allocation and guarantee sustainable utilization of land resources; therefore, each land-use patch should be assigned to a certain zone, not only considering the natural and social characteristics of each land-use patch but also the global spatial compactness, spatial harmony of the land-use zones and the ecological benefits of land use. Hence, optimal land-use zones should reach the following objectives:
(1) The attribute difference between land-use zones maxfAD
Land-use zoning needs to divide n patches xd(d = 1,2,…,m, m is the number of attributes) into C land-use zones Gj(j = 1,2,…c). The difference between all the land-use zones is greatest when the sum of the distances from each land-use patch to the center of the corresponding land-use zone is smallest. So, the problem can be formulated as:
Ijerph 09 02801 i004
where n is the number of land-use patches and c is the number of land-use zones when patch xk belongs tozone Gj, then ukj is equal to 1, or otherwise equal to 0. vj is the center of zone Gj that can be calculated by formula Ijerph 09 02801 i005, Ijerph 09 02801 i006is the value of attribute i for the center of zone Gj, Ijerph 09 02801 i007is the value of attribute i for patch xN that belongs to zone Gj, Nj is the total number of patches that belongs to zone Gj, and Ijerph 09 02801 i008is the Euclidean distance between patch xk and vj that is given by formula Ijerph 09 02801 i009.
(2) The spatial compactness of land-use zones maxfSC
To meet the needs of land-use control, besides the optimization of the quantity and quality of land use, the optimization of the spatial pattern is also an important component of land-use zoning. Reducing the fragmentary zones benefits the spatial control. The problem can be formulated as Equation (3):
Ijerph 09 02801 i010
If land-use patch xk is assigned to spatial cluster Gj, bkj is the number of adjacent patches that also belong to Gj. fSC achieves a maximum value when land-use patches with the same attributes are adjacent to each other, and fSC achieves a minimum value when each patch has no adjacent patches that belong to the same zone, a small area with several patches in Yicheng is chosen to describe this vividly (Figure 3).
Figure 3. The spatial pattern of land-use zoning: the spatial compactness of b is obviously better than a; b represents the spatial clusters.
Figure 3. The spatial pattern of land-use zoning: the spatial compactness of b is obviously better than a; b represents the spatial clusters.
Ijerph 09 02801 g003
(3) The degree of spatial harmony of land-use zones maxfHD
While in the process of partitioning the n patches into C land-use zones and D spatial clusters (Figure 3b), the state and influence of the neighborhood of each zone (spatial cluster) should be considered. The proper adjacent distribution of two land-use zones will promote the convenience degree of social production activities of human. Therefore, the problem can be expressed as in Equation (4):
Ijerph 09 02801 i012
where d is the number of spatial clusters, vij is equal to 1 when cluster i and cluster j are adjacent to each other, otherwise vij is equal to 0. hpij represents the spatial harmony index between cluster i and cluster j, which belong to two different zones, respectively. The spatial harmony index between different land-use zones is obtained according to a combination of expert experience and the Delphi method, the results are listed in Table 3.
The ecological benefits of land-use zones maxfEB: Different land-use patterns provide a different ESV. Objective fEB aims to improve the global ESV, based on the optimal land-use zones from an ecological point of view. So, the problem can be expressed as follows:
Ijerph 09 02801 i013
where epk represents the ecological benefit coefficient (refer to Table 2) when patch xk is allotted to zonej. fEB achieves a maximum value when all the land-use patches are assigned to the zone of FLA, and fEB achieves a minimum value when all the patches are assigned to the zone of CLTV or IIMLA.
Table 3. The spatial harmony index between different land-use zones.
Table 3. The spatial harmony index between different land-use zones.
Land-use zoneBFPAGALAFLACLVCLTIIMLATLANHLPA
BFPA10.80.60.50.10.10.30.4
GALA 10.80.50.20.10.30.4
FLA 10.30.30.30.80.8
CLV 10.80.60.40.2
CLT 10.30.20.1
IIMLA 10.10.1
TLA 10.6
NHLPA 1
Since these four objective functions (Equations (2–5)) represent conflicting land use demands, the scenario of land-use zoning with the optimal spatial pattern does not promise to give the maximum ecological benefits; therefore, there does not exist a single ideal solution which simultaneously satisfies the decision makers across all criteria. So, a compromise solution is sought based on a linear weighting method, which is a simple and practical way to convert the multi-objective problem into a single-objective one by using the following expression:
Ijerph 09 02801 i014
where w1, w2, w3 and w4 are the weights of four objective functions, respectively, and subject to the condition w1 + w2 + w3 +w4 = 1. gnorm normalizes the values of the objectives within the range [0, 1] to eliminate the impact of different dimensions by:
Ijerph 09 02801 i015

3.2. Constraint Condition

3.2.1. The stipulation of a minimum parcel area in a land-use zoning map

The standards for CLUP at the county level make clear a regulation about the minimum parcel area (MPA) of different land-use zone types in the land-use zoning map (see Table 4). The parcels (also spatial clusters) with a conflict with the regulation should be merged into an adjacent parcel which has a maximal area.
Table 4. The MPA in a land-use zoning map with 1:10,000 scale.
Table 4. The MPA in a land-use zoning map with 1:10,000 scale.
Land-use zoneBFPAGALAFLACLVCLTIIMLATLANHLPA
Area in map (mm2)202010020202020100
Actual area (hm2)0.20.210.20.20.20.21

3.2.2. The limitation of area of various land-use zones

In the process of land-use zoning, the quantity of land-use zones should meet the demands of the land-use plan, as well as the optimization of the spatial pattern. In accordance with the CLUP (2006–2020) for Yicheng, which states that the area of basic farmland should be not less than 62,462.14 hm2 by 2020, and the amount of total construction land should not exceed 18,785.70 hm2, the forest coverage rate will simultaneously have to reach 26.36% (55,563.16 hm2), so the area of BFPA, FLA, CLV, CLT and IIMLA should satisfy the inequality as follows:
Ijerph 09 02801 i016

3.2.3. The general regulations of land-use zoning

(1) Land-use zoning is conducted excluding the water areas. Therefore, the 527 land-use patches for the water areas will not participate in the land-use zoning and will be given a value of NONE in the attribute of land-use zone. The total area of water areas in the study area is 12,998.06 hm2 (see Figure 4).
Figure 4. Water and nature reserve areas in Yicheng.
Figure 4. Water and nature reserve areas in Yicheng.
Ijerph 09 02801 g004
(2) Nature reserve areas with important ecological value, special cultural relics, historical sites and ecological forest must be assigned to NHLPA as a priority, and the attribute values of 112 land-use patches for the above types remain to the very end of the process of land-use zoning, with an area of 10,111.58 hm2 (see Figure 4).
(3) There is little likelihood of built-up areas being converted into other land-use types, based on the general laws of land-use change [39,40], so the land-use patches for urban areas and towns, and industry and mining should be only assigned to CLT and IIMLA, respectively. The same applies for tourism land, which can only be assigned to TLA.
(4) Cheng et al. [41] defined the general dominant land use, allowable land use, and prohibited land use in various land-use zones. This paper also provides the relevant regulations for the eight land-use zones of Yicheng, in line with the local conditions (see Table 5). The probability interval of a land-use patch of a certain type being assigned to a zone is determined based on the information from Table 5, and is listed in Table 6. The zone label of each land-use patch should be decided referring to the table of probability intervals, for the initialization of different scenarios of land-use zoning, as follows:
Ijerph 09 02801 i018
where p is a random number and 0 ≤ p ≤ 1, PIkj[a,b] is the probability interval of land-use type k being allocated to land-use zone type j.
Table 5. The dominant land use, allowable land use, and prohibited land use of the various land-use zones.
Table 5. The dominant land use, allowable land use, and prohibited land use of the various land-use zones.
Land-use zoneBFPAGALAFLACLVCLTIIMLATLA
Cropland
Garden
Grassland
Forest land
Traffic land
Rural settlements
Tourism and special land
Badlands
△ dominant land use, □ allowable land use,― prohibited land use.
Table 6. The probability intervals of certain land-use types being allocated to certain land-use zone types.
Table 6. The probability intervals of certain land-use types being allocated to certain land-use zone types.
Land-use zoneBFPAGALAFLACLVCLTIIMLATLA
Cropland[0, 0.8][0.8, 0.9][0.9, 1]
Garden[0.7, 0.85][0, 0.7][0.85, 0.95][0.95, 1]
Grassland[0.6, 0.7][0.7, 0.8][0.8, 0.9][0.2, 0.4][0, 0.2][0.9, 1][0.4, 0.6]
Forest land[0.7, 0.75][0.75, 0.8][0, 0.7][0.8, 0.85][0.85, 0.9][0.9, 0.95][0.95, 1]
Traffic land[0.6, 0.7][0.4, 0.6][0.7, 0.8][0, 0.2][0.2, 0.4][0.8, 0.9][0.9, 1]
Rural settlements[0.7, 0.8][0.8, 0.9][0, 0.7][0.9, 1]
Badlands[0, 0.25][0.25, 0.5][0.5, 0.75][0.75, 1]

3.3. The Particle Swarm Optimization Model

As an important branch of swarm intelligence, the PSO algorithm maintains a population of particles, where each particle represents a potential solution to an optimization problem. The set of particles, also known as a swarm, is flown through the D-dimensional search space of the problem. The position of each particle is changed, based on the experiences of the particle itself and those of its neighbors [42]. The particle in the model of land-use zoning, based on the multi-objective particle swarm optimization with constriction factor, and crossover and mutation operator (MOPSO-CCM), is seen as a potential scenario of land-use zoning. The velocity and position of the particle are updated under the guidance and restriction of the aforementioned objective functions and constraints. To implement the application of MOPSO-CCM in land-use zoning, it is necessary to define the coding scheme for the particle, design the crossover and mutation operator, and set up the updating mechanism for the particle’s position and velocity, according to the particular land-use zoning problem.
(1) Coding scheme of the particle (Figure 5)
The eight land-use zones are encoded with a hybrid code system consisting of both decimal code and binary code (see Table 7). Decimal code is defined for the updating of the particle’s position, and binary code is proposed for the crossover and mutation of the particle. The encoded information is stored in a relational table in the database, which is convenient for the operation of encoding and decoding.
Figure 5. The coding scheme for a particle.
Figure 5. The coding scheme for a particle.
Ijerph 09 02801 g005
Table 7. The coding of the land-use zones.
Table 7. The coding of the land-use zones.
Land-use zoneBFPAGALAFLACLVCLTIIMLATLANHLPA
Decimal code01234567
Binary code000001010011100101110111
The land-use patches are encoded with a serial integer and unique numbers in ascending order. The code of each land-use patch and corresponding land-use type are stored in a hash table named as Hash-UseType.
When the initialization of a population of random particles starts, each land-use patch obtains the type of land-use zone, based on the stochastic technique (ST) integrated with assigning the probability interval (API, refer to Table 6). The relevant information is stored in a hash table named as Hash-ZoneType.
The particle can be represented by the structure named as S_particle, which consists of a hash table (Hash-LandZoneType), the current fitness (fitness), the best fitness achieved by itself (pbest) and the best fitness obtained by any particle in the population (gbest). The array of S_particles is used to represent the swarm of particles.
(2) Designing the crossover and mutation operator (Figure 6)
In the process of crossover or mutation, the particle will be seen as a chromosome, and a land-use patch will be seen as a gene.
Figure 6. The crossover and mutation operator.
Figure 6. The crossover and mutation operator.
Ijerph 09 02801 g006
A single-point crossover operator is adopted to reproduce offspring. The selection of parents for performing crossover is done at a specified probability and is displayed in the mating pool. The number and FID code of genes preparing for crossover are determined randomly. For the purpose of the crossover operation, the crossover point i (i∈{1,2,3}) is also chosen randomly, then the corresponding binary bits before and after the crossover point of the parents are interchanged, leading to two new individuals.
The mutation operator is designed as follows. A chromosome is chosen for mutation at a preset probability. Some genes and the corresponding position i (i∈{1,2,3}) for mutation then need to be chosen randomly. Thanks to the gene structure of the binary code, if the value at the mutation position is 1, then reset it to 0, otherwise to 1.
When crossover or mutation is proceeding, the constraint of API should be considered. For example, cropland is prohibited in the land-use zone of TLA, so if the transition of the gene offends against the constraint of API, the operation of crossover or mutation should be repeated until the transition is acceptable or reaches a preset try-number.
(3) Updating mechanism of the particle’s position and velocity
A new position for the particle is computed by the following formula in the basic PSO with inertial weight [43].
Ijerph 09 02801 i021
where xid and vid are the position and velocity of a particle, r1 and r2 are two distinct random values in [0, 1], c1 and c2 are acceleration constants, pid and pgd are the best previous position of the particle itself (pbest) and of all the particles of the swarm (gbest), respectively.
Eberhart and Shi [44] found that constriction factor k introduced by Clerc [45], combined with constraints on Vmax (equal to xmax), significantly improved the PSO performance. The formula used to compute the velocity is then modified as:
Ijerph 09 02801 i022
The land-use zoning problem can be regarded as an integer programming problem, which is described as follows:
Ijerph 09 02801 i023
where Zn is the n-dimensional integer space, and S is an integer set. In this paper, S can be represented as {x|0≤ x≤ 7 and x∈Zn}.
When PSO is used to solve the land-use zoning problem, the new position of the particle may be changed to a real number, even though the previous location and velocity are both integers, because the parameters of k, r1, r2, c1 and c2 are all real numbers. To make sure the particles are flown through the integer number space of the problem, vid (t + 1), including the three parts of kvid (t), kc1r1 (pid-xid), and kc2r2(pgd-xid), must be an integer number in the evolutionary process. kvid (t) can be changed into an integer number by function int(). kc1r1 (pid-xid) is defined as μ1, when pid > xid, and μ1 is a random number within [0, kc1 (pid-xid)], otherwise within [-kc1(pid-xid),0], so we can also define μ1 as a random number within [a1, b1] for simplification. On the assumption that there are n integer numbers in [a1, b1], any integer number can be chosen to set to μ1, with an equivalent probability equal to 1/n. kc2r2(pgd-xid) is defined as μ2 with the same processing method. So, the formula to compute the velocity of the particle can be modified again as:
Ijerph 09 02801 i024
As with the crossover and mutation, it may also offend against the constraint of API when the position of the particle is updating. Simultaneously, xid(t + 1) of the particle may be outside the range of S. So, the attribute of the land-use patch will be randomly decided, subject to the API when the phenomenon mentioned above occurred.
Figure 7 presents a flow diagram of the MOPSO-CCM model, which is based on the objective functions, constraint condition, encoding and decoding scheme, and updating mechanism for the swarm.
Figure 7. The crossover and mutation operator.
Figure 7. The crossover and mutation operator.
Ijerph 09 02801 g007
The performance of the model depends on several critical parameters [46], including the population size N, acceleration constants c1 and c2, constriction factor k and maximum velocity Vmax. Carlisle and Doziert [47] put forward a classical combination of parameters, with N = 30, c1 = 2.8, c2 = 1.3 and k = 0.7299. Additionally, we set Vmax = 7, and the maximum number of iterations Maxtimes = 200.

4. Results and Discussion

4.1. Comparison of the Different Scenarios

The MOPSO-CCM model adopted the crossover and mutation operator by setting the probability of mutation and crossover to 0.3 and 0.01, respectively, and the try-number to 3, and afforded several scenarios of land-use zoning by using different sets of weights applied to the four sub-objectives. The weights wn given to the various objectives were obtained according to the sub-objective weighting schemes in the study of Santé et al. [19], and are listed in Table 8.
Table 8. Objective weighting schemes used in the MOPSO-CCM optimization.
Table 8. Objective weighting schemes used in the MOPSO-CCM optimization.
Scenariow1w2w3w4
A1000
B0.750.2500
C0.50.500
D0.250.7500
E0.7500.250
F0.500.50
G0.2500.750
H0.5000.5
I0.50.250.250
J0.50.2500.25
K0.500.250.25
L0.250.250.250.25
M0.150.550.150.15
N0.150.150.550.15
O0.150.150.150.55
Table 9. The value of the four sub-objectives in the various weighted scenarios.
Table 9. The value of the four sub-objectives in the various weighted scenarios.
scenariofADfSCfHDfEB
A(1/0/0/0)0.0000524189,56313,632.8104,486.6
B(0.75/0.25/0/0)0.0000348470,96113,163.5102,293.1
C(0.5/0.5/0/0)0.0000335487,16512,836.3101,294.5
D(0.25/0.75/0/0)0.0000331518,26312,195.7109,729.2
E(0.75/0/0.25/0)0.0000448178,95418,875.9101,195.4
F(0.5/0/0.5/0)0.0000365185,64221,394.5118,918.8
G(0.25/0/0.75/0)0.0000342169,63723,163.2110,073.9
H(0.5/0/0/0.5)0.0000348280,52315,521.6126,753.4
I(0.5/0.25/0.25/0)0.0000339365,65117,915.5115,095.3
J(0.5/0.25/0/0.25)0.0000326459,23214,835.1122,956.8
K(0.5/0/0.25/0.25)0.0000345238,63219,933.7123,346.1
L(0.25/0.25/0.25/0.25)0.0000341396,53516,969.3122,586.7
M(0.15/0.55/0.15/0.15)0.0000329445,68916,289.6121,366.5
N(0.15/0.15/0.55/0.15)0.0000331361,54218,953.8121,626.7
O(0.15/0.15/0.15/0.55)0.0000325402,54917,386.4124,054.2
The values of the four sub-objectives were obtained by MOPSO-CCM from the varied weighting scheme scenarios listed in Table 8 (see Table 9). The results in Table 9 show that whenever the objective of spatial compactness was included in the MOPSO-CCM objective function, along with the sub-objective of difference between land-use zones, the solution obtained displayed a significant expected increase ranging from 90.72% to 173.4% in fSC and a reduction ranging from 33.59% to 37.98% in fAD, with comparison Scenarios B–D, I–J and L–O with Scenario A. The same can be seen for the degree of spatial harmony and ecological benefit sub-objectives, with respect to Scenario A, Scenarios E–G, I and K–O increase fHD by 19.49% to 69.91%, in exchange for a reduction in fAD of 14.5% to 37.98%, and Scenarios H and J–O get a slight increase in fEB of 16.16% to 21.31%, at the expense of a reduction in fAD of 33.59% to 37.98%.
When the objective function of the MOPSO-CCM model only included the sub-objective of spatial compactness (Scenarios B–D), the value of fAD increased significantly by a factor of 2.5 as w2 increased. The fundamental demand for attribute difference between land-use zones leads to a mass of fragmentary land-use zones; however, the sub-objective of spatial compactness can reduce the fragmentation by merging isolated land-use zones into a large contiguous land-use zone. For example, isolated CLV or GALA in a BFPA encourages merging into the BFPA. The garden land or rural settlements in BFPA will tend to be converted into farmland of high quality by consolidation of these lands in the future. Also, small BFPA or GALA showing up in a FLA encourages merging into the FLA, so the farmland with a slope greater than 25°, and a part of the farmland between 15° and 25°, should be transformed gradually into forest or grassland in the future. A typical small region is chosen from the villages of Qianfeng and Xinji to show how the sub-objective of spatial compactness optimizes the spatial pattern of land-use zones (see Figure 8).
Figure 8. The effects of w2 on optimizing the spatial pattern in different weighted scenarios: (a) A; (b) B; (c) C; (d) D.
Figure 8. The effects of w2 on optimizing the spatial pattern in different weighted scenarios: (a) A; (b) B; (c) C; (d) D.
Ijerph 09 02801 g008
When only the sub-objective of the degree of spatial harmony degree was included, fHD had a gradual increase by a factor of more than 1.35 as w3 increased, which can be seen from Scenarios E–G. The improvement of spatial harmony requires that the spatial pattern of BFPA is adjacent to GALA, NHLPA is contiguous to FLA, but IIMLA should be distant from BFPA, etc. A small area chosen from the village of Quanshui is presented in Figure 9 to show how the suitable neighbors are allocated to a certain land-use zone as w3 increases.
Figure 9. The effects of w3 in improving the spatial harmony in different weighted scenarios: (a) A; (b) E; (c) F; (d) G.
Figure 9. The effects of w3 in improving the spatial harmony in different weighted scenarios: (a) A; (b) E; (c) F; (d) G.
Ijerph 09 02801 g009
When w1 is fixed as 0.5, the remainder of the weight is assigned equally to w2 and w3 (Scenario I), with a distinct decrease in fSC compared with the remainder of the weight being all assigned to w2 (Scenario C). When it is equally assigned to w2 and w4 (Scenario I), in spite of fSC, it still had a slight reduction compared to Scenario C, but it was obviously greater than Scenario I. This may suggest that the pursuit of spatial harmony will bring about more fragmented land-use zones, which means worse spatial compactness, which can also be seen from the comparison between Scenarios E–G and graphically in Figure 9. An increase in the ecological benefits can also improve the spatial compactness. From Scenarios A–D, we can see that fHD reduced as fSC increased, which proved that the spatial compactness also has a negative effect on spatial harmony. Another comparison of Scenario A with Scenarios H and J shows that fHD increased by a factor of about 1.1 as fEB increased, which suggests that the increase in ecological benefits will boost the degree of spatial harmony of the land-use zones.
From the comparison of Scenario L with Scenarios M–O, it can be seen that assigning more weight to a certain sub-objective, and the same weight to other sub-objectives, had the expected effect of increasing the value of the corresponding sub-objective, indicating that the fitness values are positively correlated with the weights. That is to say, a decision maker for land-use planning can obtain the Pareto solution to satisfy their subjective preference by giving a higher weight to the corresponding sub-objective. Figure 10 presents the area of each land-use zone determined in the aforementioned four scenarios.
Figure 10. The area comparison of land-use zones between Scenarios L, M, N and O (hm2).
Figure 10. The area comparison of land-use zones between Scenarios L, M, N and O (hm2).
Ijerph 09 02801 g010
It can be seen from Figure 10 that: (1) NHLPA in each scenario have the same area, because of the priority of being fixed, based on the general regulations for land-use zoning. The areas of BFPA and FLA are greater than 62,462.14 hm2 and 55,563.16 hm2, respectively, in each scenario, and the sum of the areas of CLV, CLT and IIMLA is less than 18,785.7 hm2, which indicated the efficiency of the constraint of area limitation of the various land-use zones; (2) Scenario M got the largest area of BFPA, CLT and IIMLA and the smallest area of FLA, CLV and TLA amongst the three scenarios. With the drive for spatial compactness, the large spatial clusters annexed the small clusters surrounding them to generate an optimal spatial pattern, simultaneously resulting in either a larger land-use zone or a smaller one; (3) Scenario N had the largest land-use zone of CLV and the second largest area of BFPA and GALA. This is because the spatial harmony between these land-use zones is higher than with the others; (4) The largest FLA was obtained in Scenario O because the forests can provide the greatest ESV. Meanwhile, Scenario O got the smallest BFPA and GALA. This suggests that the enforcement of the policy of ‘grain for green’ can improve the ESV of the land-use system; (5) Scenario L, assigning the same weight to each objective function, provided a compromise solution with a moderate value for each objective function (see Table 9) and area for each land-use zone.
The global spatial distribution of the eight land-use zones in the four Scenarios of L, M, N, O are similar to each other, with only some microscopic differences. The reason for these disparities has been described above, with a vivid depiction in Figure 8 and Figure 9. As far as Scenario L is concerned, the quantity structure and spatial pattern of the land-use zones are presented in Figure 11.
The BFPA is distributed mainly in the towns of Xiaohe, Zhengji, Kongwan, Wangji and Nanying, and accounts for 36.25% of the total area, excluding the water areas. A total of 85.62% of the fifth level and 63.25% of the fourth level of agricultural land in the study area are assigned to BFPA. (The quality of agricultural land in Yicheng is classified into five levels: first level—the worst quality, second level, third level, fourth level, and fifth level-the highest quality.) This zone is marked off to hold its ability to continue feeding a growing population and meet the food security goals. High-quality land with high productivity in this zone should be prohibited from converting to non-agricultural uses. The conversion of good-quality land with moderate productivity to non-agricultural uses is permitted by law under some circumstances, usually after a planned period of 5–10 years [48]. GALA is observed mainly in the towns of Wangji, Nanying, Banqiao and Liushui, and is contiguous with BFPA. This zone primarily contains the land for gardens, aquaculture, etc., with high ecological value, and the rural roads, infrastructural facilities, water conservancy facilities, protective forest, etc., serve the farmland. In this region, the land consolidation project is encouraged to make the ‘dynamic balance of farmland’ policy materialize. FLA is concentrated to the east and southwest of Yicheng and mainly consists of fast-growing and high-yield broad-leaf forests. In view of the functions of forests, such as soil and water conservation, and ecological protection, the conversion of forest land is severely restricted, except for approval by the competent forestry authorities. The spatial clusters of CLV are evenly dispersed across the maps, the surroundings of which are mostly of BFPA and GALA, which annex some isolated rural settlements. At the same time, some farmland patches surrounding rural settlements are merged into them. CLT is marked off, based on actual land use for urban areas and towns, including some agricultural land, which can be used as the preparatory land for the future expansion of the city. Small villages, ‘hollow-village’ and ‘villages-in-the-city’ [49] within CLV and CLT should be amalgamated so as to upgrade the scale and organization of villages and towns. The IIMLA only covers around 0.34% of the territory of the city, and mainly comprises some land for the mining and chemical industries. The land that was destroyed in the process of industrial production and construction should be reclaimed for new use, especially cultivated land, if the land is suitable for agriculture. TLA is located in the vicinity of the region’s water areas, and NHLPA is distributed in the west, southeast and northeast corner of the city. In these regions, a small amount of agricultural land is permitted to improve the biodiversity and maintain the ecological balance, and the land for enterprises with industrial pollution is strictly prohibited.
Figure 11. The spatial distribution and area proportions (%) of the eight land-use zones in Scenario L.
Figure 11. The spatial distribution and area proportions (%) of the eight land-use zones in Scenario L.
Ijerph 09 02801 g011

4.2. Analysis of the Effect of Improvements for the Model

The focal point of this subsection is to analyze the effect of the adoption of the crossover and mutation operator on acquiring the optimal solutions. A comparative analysis of the optimal fitness values, convergence speed and run time is made to evaluate the performance of the MOPSO-CCM model and the basic particle swarm optimization with only a constriction factor (MOPSO-BC), in Scenarios I, J, K and L.
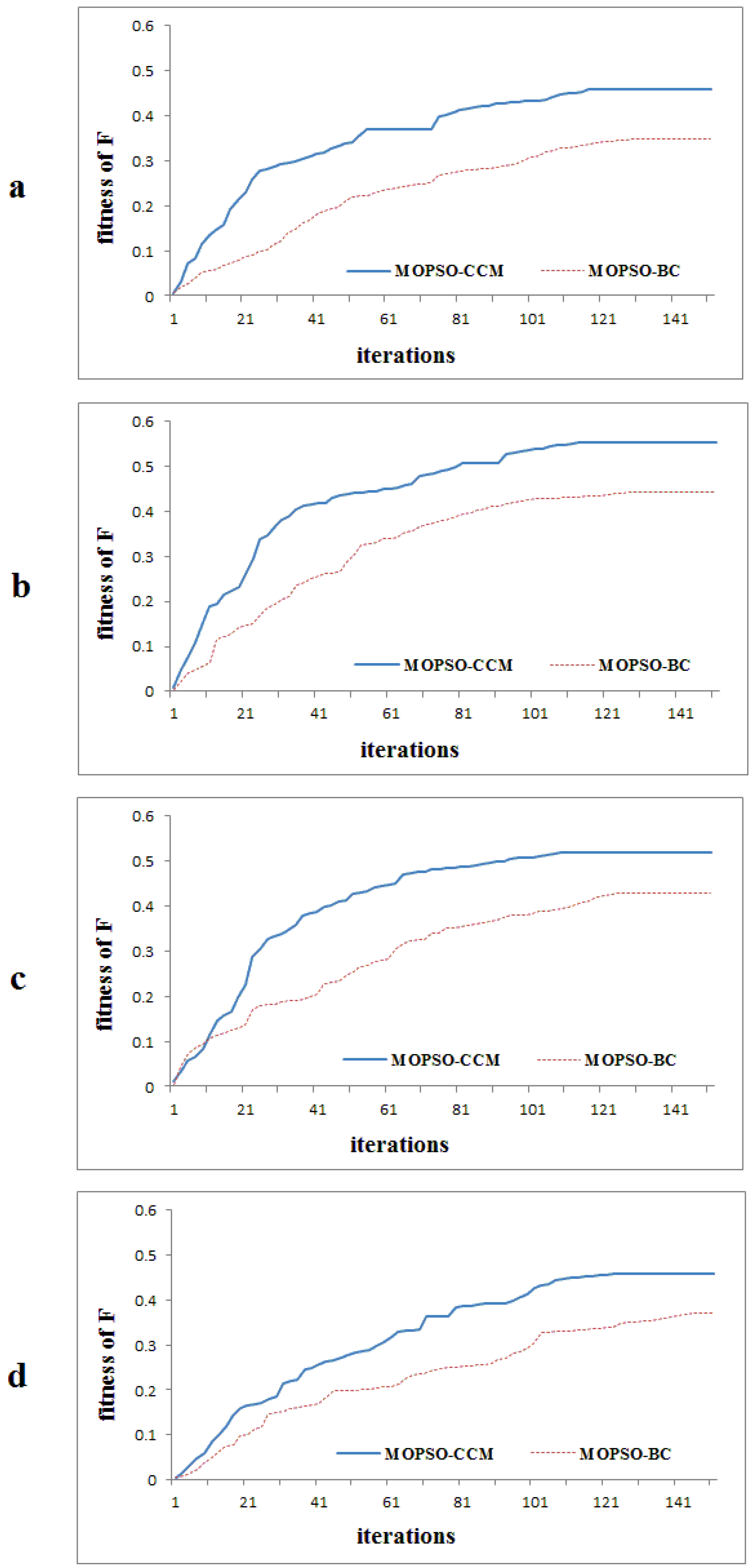
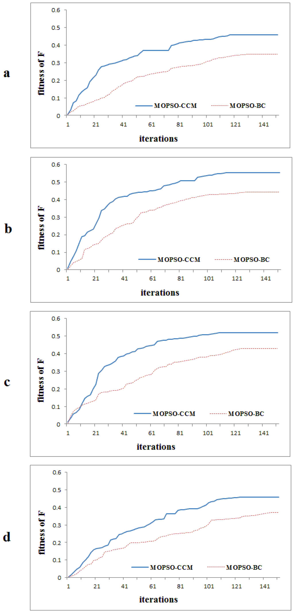
It is observed in Table 10 that the optimal solution obtained by the MOPSO-CCM model exhibits the expected higher fitness value for each sub-objective in each scenario, with fAD increasing by 15.6% to 17.48%, fSC increasing by 14.61% to 16.89%, fHD increasing by 9.6% to 14.18%, and fEB increasing by 1.26% to 2.38%. Figure 12 clearly illustrates that the weighted sum fitness obtained by MOPSO-CCM in each generation is much higher than that of MOPSO-BC. At the same time, the convergence speed of MOPSO-CCM, with a sudden rise in its curve, is distinctly higher than that of MOPSO-BC, even if the initial normalized fitness value of MOPSO-CCM is lower than MOPSO-BC in Scenario K. The sudden rises in the curves of MOPSO-CCM in the later period of evolution show that the crossover and mutation operator helps the model to escape the local optimum and achieve a better solution. In summary, the convergence and exploration ability of the MOPSO-CCM model outperforms MOPSO-BC, which proves the validity of improvement for the PSO algorithm with land-use zoning. It is necessary, however, to note that MOPSO-CCM requires some computational cost to perform the operation of crossover and mutation on particles, based on a preset probability, so it is more time consuming than the MOPSO-BC model.
A discussion of the stability of the improved PSO model is conducted next. We ran the MOPSO-CCM and MOPSO-BC model 100 times, respectively, with weighted Scenario L, and calculated the mean value and standard deviation of the four sub-objectives in each optimal solution (see Table 11). Although the mean value of MOPSO-CCM is obviously higher than MOPSO-BC, what further proves the improved exploration ability of MOPSO-CCM is that the standard deviation of MOPSO-BC is lower than MOPSO-CCM, which indicates that MOPSO-CCM is not as stable as MOPSO-BC. The optimal fitness values of each sub-objective are plotted in the curves. The curves of MOPSO-CCM in Figure 13 show a greater fluctuation than MOPSO-BC. The statistics table and graph reveal that the adoption of the crossover and mutation operator remarkably increases the probability of acquisition of an optimal solution by improving the diversity of the particle swarm, but also brings about some disturbance to the exploitation and exploration ability of the model.
Table 10. The results obtained by MOPSO-CCM and MOPSO-BC with the four weighted scenarios.
Table 10. The results obtained by MOPSO-CCM and MOPSO-BC with the four weighted scenarios.
ScenarioModelFitness valueConvergenceRun time (h)
fADfSCfHDfEB
IMOPSO-CCM0.0000339365,65117,915.5----1161.81
MOPSO-BC0.0000291314,93416,179.6----1331.23
JMOPSO-CCM0.0000326459,232----130,963.31131.78
MOPSO-BC0.0000269392,891----127,918.21291.26
KMOPSO-CCM0.0000345----19,933.7129,862.41091.77
MOPSO-BC0.0000294----18,188.2127,015.31251.24
LMOPSO-CCM0.0000341396,53516,969.3122,586.71221.91
MOPSO-BC0.0000295345,98314,862.4121,063.41451.27
Figure 12. Optimization curves obtained by MOPSO-CCM and the MOPSO-BC model, respectively, with the four weighted scenarios: (a): I; (b): J; (c): K; (d): L.
Figure 12. Optimization curves obtained by MOPSO-CCM and the MOPSO-BC model, respectively, with the four weighted scenarios: (a): I; (b): J; (c): K; (d): L.
Ijerph 09 02801 g012
Table 11. The mean values and standard deviation of each sub-objective when the MOPSO-CCM and MOPSO- BC models are run 100 times.
Table 11. The mean values and standard deviation of each sub-objective when the MOPSO-CCM and MOPSO- BC models are run 100 times.
ModelMean valueStandard deviation
fADfSCfHDfEBfADfSCfHDfEB
MOPSO-CCM3.32E–05409,341.217,852.36121,834.63.05E–0616,403.621,319.66444
MOPSO-BC2.92E–05351,540.913,969.33121,185.71.21E–065,619.41281.29116.56
Figure 13. The fitness curves of the four sub-objectives obtained by MOPSO-CCM and MOPSO-BC with weighted scenario L: (a): fAD; (b): fSC; (c): fHD; (d): fEB.
Figure 13. The fitness curves of the four sub-objectives obtained by MOPSO-CCM and MOPSO-BC with weighted scenario L: (a): fAD; (b): fSC; (c): fHD; (d): fEB.
Ijerph 09 02801 g013

5. Conclusions

The traditional approaches to the land-use zoning problem in China just take into consideration the characteristic attributes of the land units. In this article, the land-use zoning problem is treated as a MOP. Four objective functions were formulated, respectively, for attribute differences between land-use zones, spatial compactness, spatial harmony and the ecological benefits of land-use zones. A PSO-based model equipped with a crossover and mutation operator was constructed. The feasibility of the proposed approach in solving the land-use zoning problem was checked using a case study in Yicheng, China. The results obtained indicated that the integration of GIS and MOPSO-CCM is a promising and efficient approach for solving the land-use zoning problem. The inclusion of spatial compactness and spatial harmony in the objective functions allows the achievement of solutions with an optimal spatial pattern, and the inclusion of ecological benefits leads to a greater quantity of land-use zones with a high ESV. It is worth pointing out that the objective function can be extended in line with local conditions, such as the economic benefits for a county with a backward economy, spatial contiguity, etc. In this paper, a conventional weighted aggregation method is used for the MOPSO-CCM model to search for the Pareto-dominant solutions, the weakness of which is that an optimal solution can be obtained with only one run of the model. The next stage is to apply a dynamic weighted aggregation (DWA) technique to the MOPSO-CCM model to generate a series of Pareto-optimal solutions.
The incorporation of a crossover and mutation operator proved to be effective in improving the convergence and exploration ability, at the price of a relatively small increase in runtime and, simultaneously, a poorer stability than MOPSO-BC. As we know, the performance of PSO depends on a few different parameters [50]. Therefore, a further study will focus on choosing a group of parameters that will enable the MOPSO-CCM model to achieve a better performance with the land-use zoning problem.

Acknowledgments

This research was supported by the National High Technology Research and Development Program of China (No. 2011AA120304) and Key Projects in the National Science & Technology Pillar Program during the Twelfth Five-Year Plan Period of China (No. 2012BAJ22B02). We are grateful to Yiyun Chen and Dianfeng Liu for their valuable comments. The authors would also like to thank the anonymous reviewers for their suggestions and comments.

Conflict of Interest

The authors declare no conflict of interest.

References

  1. Natoli, S.J. Zoning and the development of urban land use patterns. Econ. Geogr. 1971, 47, 171–184. [Google Scholar] [CrossRef]
  2. Rossi, H.E. Optimal urban land use and zoning. Rev. Econ. Dyn. 2004, 7, 69–106. [Google Scholar] [CrossRef]
  3. Mark, J.H.; Goldberg, M.A. Land use controls: The case of zoning in the Vancouver Area. Real Estate Econ. 1981, 9, 418–435. [Google Scholar]
  4. McMillen, D.P.; McDonald, J.F. Land use before zoning: The case of 1920’s Chicago. Reg. Sci. Urban Econ. 1999, 29, 473–489. [Google Scholar] [CrossRef]
  5. Guo, Y.; Pu, L.J.; Zhao, Y.Y.; Hu, X.T. Review and prospects of land use zoning research. Resour. Environ. Yangtze Basin 2007, 16, 759–763. (in Chinese). [Google Scholar]
  6. Fischel, W.A. Zoning and Land Use Regulation. In Encyclopaedia of Law and Economics; Boudewijn, B., De Geest, G., Eds.; Edward Elgar: Cheltenham, UK, 2000. [Google Scholar]
  7. York, A.M.; Munroe Darla, K. Urban encroachment, forest regrowth and land-use institutions: Does zoning matter? Land Use Policy 2010, 27, 471–479. [Google Scholar] [CrossRef]
  8. Fleischmann, A. Politics, administration, and local land-use regulation: Analyzing zoning as a policy proces. Public Adm. Rev. 1989, 49, 337–344. [Google Scholar] [CrossRef]
  9. Wang, J. Suggestion to the type of land use zones at the county level. China Land. Sci. 2001, 15, 26–30. (in Chinese). [Google Scholar]
  10. Ou, M.H. Discussion on the system of land use zoning. J. Nanjing Agric. Univ. 2001, 24, 111–115. (in Chinese). [Google Scholar]
  11. Wang, J. Land use zoning and regional sustainable land use. China Popul. Resour. Environ. 2001, 11, 83–86. (in Chinese). [Google Scholar]
  12. Zhao, R.Q.; Huang, X.J.; Zhong, T.Y.; Xu, H. Application of clustering analysis to land use zoning of coastal region in Jiangsu Province. Trans. Chin Soc. Agric. Eng. 2010, 26, 301–314. (in Chinese). [Google Scholar]
  13. Meng, L.N.; Zheng, X.Q.; Zhao, L.; Deng, J. Land-use functional regionalization based on niche-fitness model. Trans. Chin. Soc. Agric. Eng. 2011, 27, 282–287. (in Chinese). [Google Scholar]
  14. Pan, J.H.; Liu, Y.; Shi, P.J. Research on overall planning of land use division in Tianshui based on PCA and GIS. Soils 2011, 43, 637–643. (in Chinese). [Google Scholar]
  15. Wang, J.; Cheng, Y.; Liu, K; Wang, X.L.; Huang, X.J. The rational analysis of control on the usages of land. China Land Sci. 2003, 17, 47–51. (in Chinese). [Google Scholar]
  16. Brookes, C.J. A genetic algorithm for designing optimal patch configurations in GIS. Int. J. Geogr. Inf. Sci. 2001, 15, 539–559. [Google Scholar] [CrossRef]
  17. Aerts, J.C.J.H.; Eisinger, E.; Heuvelink, G.B.M.; Stewart, T.J. Using linear integer programming for multi-site land-use allocation. Geogr. Anal. 2003, 25, 148–169. [Google Scholar]
  18. Liu, Y.F.; Li, X.L.; Gong, H.B. Optimization for land use structure based on genetic algorithms. Geomat. Inf. Sci. Wuhan. Univ. 2005, 30, 288–292. (in Chinese). [Google Scholar]
  19. Sante, R.I.; Boullon, M.M.; Crecente, M.R.; Miranda, B.D. Algorithm based on simulated annealing for land-use allocation. Comput. Geosci. 2008, 34, 259–268. [Google Scholar] [CrossRef]
  20. Sadeghi, S.H.R.; Jalili, K.; Nikkami, D. Land use optimization in watershed scale. Land Use Policy 2009, 26, 186–193. [Google Scholar] [CrossRef]
  21. Gao, Q.Z.; Kang, M.Y.; Xu, H.M.; Jiang, Y.; Yang, J. Optimization of land use structure and spatial pattern for the semi-arid loess hilly-gully region in China. Catena 2010, 81, 196–202. [Google Scholar] [CrossRef]
  22. Eldrandaly, K. A GEP-based spatial decision support system for multisite land use allocation. Appl. Soft Comput. 2010, 10, 694–702. [Google Scholar] [CrossRef]
  23. Zhang, H.H.; Zheng, Y.N.; Tan, R.; Liu, H.M. A model for regional land use optimization allocation based on multi-agent system and its application. Acta Geogr. Sin. 2011, 66, 972–984. [Google Scholar]
  24. Stewart, T.J.; Janssen, R.; Van, H.M. A genetic algorithm approach to multi-objective land use planning. Comput. Oper. Res. 2004, 31, 2293–2313. [Google Scholar] [CrossRef]
  25. Duh, J.D.; Brown, D.G. Knowledge-informed Pareto simulated annealing for multi-objective spatial allocation. Comput. Environ. Urban Syst. 2007, 31, 253–281. [Google Scholar] [CrossRef]
  26. Kennedy, J.; Eberhart, R.C. Particle Swarm Optimization. In Proceedings of the 1995 IEEE International Conference on Neural Networks, Perth, Australia, 27 November–1 December 1995; IEEE: Piscataway, NJ, USA; pp. 1942–1948.
  27. Wang, Y.; Li, B.; Weise, T.; Wang, J.Y.; Yuan, B.; Tian, Q.J. Self-adaptive learning based particle swarm optimization. Inf. Sci. 2011, 181, 4515–4538. [Google Scholar]
  28. Nickabadi, A.; Ebadzadeh, M.M.; Safabakhsh, R. A novel particle swarm optimization algorithm with adaptive inertia weight. Appl. Soft Comput. 2011, 11, 3658–3670. [Google Scholar] [CrossRef]
  29. Suresh, S.; Sujit, P.B.; Rao, A.K. Particle swarm optimization approach for multi-objective composite box-beam design. Compos. Struct. 2007, 81, 598–605. [Google Scholar] [CrossRef]
  30. Okamoto, T.S.; Aiyoshi, E. Global optimization with the PSO coupling-type discrete gradient chaos model. Electr. Eng. Jpn. 2008, 165, 67–75. [Google Scholar] [CrossRef]
  31. Tsafarakis, S.; Marinakis, Y.; Matsatsinis, N. Particle swarm optimization for optimal product line design. Int. J. Res. Mark. 2011, 28, 13–22. [Google Scholar] [CrossRef]
  32. Beghi, A.; Cecchinato, L.; Cosi, G.; Rampazzo, M. A PSO-based algorithm for optimal multiple chiller systems operation. Appl. Therm. Eng. 2012, 32, 31–40. [Google Scholar] [CrossRef]
  33. Clerc, M.; Kennedy, J. The particle swarm-explosion, stability, and convergence in a multidimensional complex space. IEEE Trans. Evol. Comput. 2002, 6, 58–73. [Google Scholar] [CrossRef]
  34. Higashi, N.; Iba, H. Particle Swarm Optimization with Gaussian Mutation. In Proceedings of IEEE Swarm Intelligence Symposium, Indianapolis, IN, USA, 24–26 April 2003; pp. 72–79.
  35. Yong, Y.; Zhang, H.; Wang, X.R.; Schubert, U. Urban land-use zoning based on ecological evaluation for large conurbations in less developed regions: Case study in Foshan, China. J. Urban Plan. Dev. ASCE 2010, 136, 116–124. [Google Scholar] [CrossRef]
  36. Kong, X.S.; Liu, Y.F.; Tan, C.F. Correlation analysis of the changes of land use structure and land use efficiency: A case study of Jiayu County in Hubei Province. Resour. Sci. 2009, 31, 1195–1101. (in Chinese). [Google Scholar]
  37. Xie, G.D.; Lu, C.X.; Leng, Y.F., Zheng; Li, S.C. Ecological assets valuation of the Tibetan Plateau. J. Nat. Resour. 2003, 28, 189–196. (in Chinese). [Google Scholar]
  38. Costanza, R.; d’Arge, R.; deGroot, R.; Farber, S.; Grasso, M.; Hannon, B.; Limburg, K.; Naeem, S.; OʼNeill, R.V.; Paruelo, J.; et al. The value of the world’s ecosystem services and natural capital. Nature 1997, 387, 253–260. [Google Scholar]
  39. Sang, L.L.; Zhang, C.; Yang, J.Y.; Zhu, D.H.; Yun, W.J. Simulation of land use spatial pattern of towns and villages based on CA-Markov model. Math. Comput. Model. 2011, 54, 938–943. [Google Scholar] [CrossRef]
  40. Verburg, P.H.; de Koning, G.H.J.; Kok, K.; Veldkamp, A.; Bouma, J. A spatial explicit allocation procedure for modelling the pattern of land use change based upon actual land use. Ecol. Model. 1999, 116, 45–61. [Google Scholar] [CrossRef]
  41. Cheng, Y.; Wang, J.; Meng, F.H. Reference. In Research of Space Control of Land Use Zoning; Publishing House of Geological: Beijing, China, 2003. (in Chinese) [Google Scholar]
  42. Nickabadi, A.; Ebadzadeh, M.M.; Safabakhsh, R. A novel particle swarm optimization algorithm with adaptive inertia weight. Appl. Soft Comput. 2011, 11, 3658–3670. [Google Scholar] [CrossRef]
  43. Shi, Y.H.; Eberhart, R.C. Parameter Selection in Particle Swarm Optimization. In Proceedings of Evolutionary Programming VII 7th International Conference, EP98, San Diego, CA, USA, 25–27 March 1998; 1447, pp. 591–600.
  44. Eberhart, R.C.; Shi, Y. Comparing Inertia Weights and Constriction Factors in Particle Swarm Optimization. In Proceedings of 2000 Congress on Evolutionary Computing (CEC2000), La Jolla, CA, USA, 16-19 July 2000; 1, pp. 84–88.
  45. Clerc, M. The Swarm and the Queen: Towards a Deterministic and Adaptive Particle Swarm Optimization. In Proceedings of ICEC, Washington, DC, USA, 6–9 July 1999; pp. 1951–1957.
  46. Trelea, I.C. The particle swarm optimization algorithm: Convergence analysis and parameter selection. Inf. Proc. Lett. 2003, 85, 317–325. [Google Scholar] [CrossRef]
  47. Carlisle, A.; Dozier, G. An Off-The-Shelf PSO. In Proceedings of the Workshop on Particle Swarm Optimization. Indianapolis, Purdue School of Engineering and Technology, IUPUI, Indianapolis, IN, USA, 2001.
  48. Lichtenberg, E.; Ding, C.R. Assessing farmland protection policy in China. Land Use Policy 2008, 25, 59–68. [Google Scholar] [CrossRef]
  49. Long, H.L.; Liu, Y.R.; Liu, Y.S.; Woods, M.; Zou, J. Accelerated restructuring in rural China fueled by ‘increasing vs. decreasing balance’ land-use policy for dealing with hollowed villages. Land Use Policy 2012, 29, 11–22. [Google Scholar] [CrossRef]
  50. Parsopoulos, K.E.; Vrahatis, M.N. Parameter selection and adaptation in unified particle swarm optimization. Math. Comput. Model. 2007, 46, 198–213. [Google Scholar] [CrossRef]

Share and Cite

MDPI and ACS Style

Liu, Y.; Wang, H.; Ji, Y.; Liu, Z.; Zhao, X. Land Use Zoning at the County Level Based on a Multi-Objective Particle Swarm Optimization Algorithm: A Case Study from Yicheng, China. Int. J. Environ. Res. Public Health 2012, 9, 2801-2826. https://doi.org/10.3390/ijerph9082801

AMA Style

Liu Y, Wang H, Ji Y, Liu Z, Zhao X. Land Use Zoning at the County Level Based on a Multi-Objective Particle Swarm Optimization Algorithm: A Case Study from Yicheng, China. International Journal of Environmental Research and Public Health. 2012; 9(8):2801-2826. https://doi.org/10.3390/ijerph9082801

Chicago/Turabian Style

Liu, Yaolin, Hua Wang, Yingli Ji, Zhongqiu Liu, and Xiang Zhao. 2012. "Land Use Zoning at the County Level Based on a Multi-Objective Particle Swarm Optimization Algorithm: A Case Study from Yicheng, China" International Journal of Environmental Research and Public Health 9, no. 8: 2801-2826. https://doi.org/10.3390/ijerph9082801

APA Style

Liu, Y., Wang, H., Ji, Y., Liu, Z., & Zhao, X. (2012). Land Use Zoning at the County Level Based on a Multi-Objective Particle Swarm Optimization Algorithm: A Case Study from Yicheng, China. International Journal of Environmental Research and Public Health, 9(8), 2801-2826. https://doi.org/10.3390/ijerph9082801

Article Metrics

Back to TopTop