Occurrence and Spatial and Temporal Variations of Disinfection By-Products in the Water and Air of Two Indoor Swimming Pools
Abstract
:1. Introduction
2. Methodology
2.1. Study Sites
| Parameters | Pool [A] | Pool [B] |
|---|---|---|
| Dimensions ([m] × [m]) | 25 × 14.4 (360 m²) | 25 × 12 (300 m2) |
| Pool volume (L) | 682,000 | 860,000 |
| Water Disinfectant | Sodium hypochlorite (automated injection) | |
| Indicative DBP concentrations in water (µg/L) reported by Simard et al. [5] | ||
| THM | 26.1 | 28.6 |
| HAA | 267.0 | 388.9 |
| CAM | 574.9 | 493.1 |
2.2. Sampling Program for Air and Water
2.2.1. Air Sampling (THMs and TCAM)
2.2.2. Water Sampling (THMs, HAAs and CAMs)
2.3. Analytical Procedures
2.3.1. Air Samples
2.3.2. Water Samples
2.4. Volatilization Models
2.5. Statistical Analysis
3. Results
| Pool [A] | Pool [B] | |||||
|---|---|---|---|---|---|---|
| n a | Mean (± SD) | [Min–Max] | n a | Mean (± SD) | [Min–Max] | |
| TTHMs b in water (µg/L) | 119 | 28.8 (± 5.8) | [13.3–46.0] | 116 | 24.3 (± 5.5) | [10.4–38.1] |
| TCM b | 28.8 (± 5.8) | [13.3–46.0] | 24.3 (± 5.5) | [10.4–38.1] | ||
| HAA9 b in water (µg/L) | 120 | 217.6 (± 46.5) | [111.3–390.4] | 120 | 257.8 (± 38.6) | [138.6–365.0] |
| DCAA c | 93.3 (±28.6) | [48.0–191.5] | 112.1 (± 21.8) | [69.1–163.2] | ||
| TCAA b | 107.5 (± 23.0) | [54.0–190.7] | 128.9 (± 22.2) | [59.2–201.0] | ||
| BCAA | 1.81 (± 0.80) | [0.6–3.0] | 1.8 (± 0.9) | [0.4–2.9] | ||
| BDCAA | 15.0 (± 6.7) | [<LOD–23.6] | 15.1 (± 6.2) | [6.1–23.5] | ||
| CAMs c in water (µg/L Cl2) | 39 | 689 (± 166) | [376–981] | 40 | 526.9 (±113) | [268–802] |
| MCAM c | 323 (± 55) | [188–434] | 284 (± 81) | [<LOD–450] | ||
| DCAM | 25 (± 97) | [<LOD–593] | 11 (± 21) | [<LOD–70] | ||
| TCAM b | 341 (± 183) | [<LOD–650] | 232 (± 146) | [<LOD–557] | ||
| TTHMs c in air (µg/m3) | 78 | 130.3 (± 49.1) | [47–311] | 76 | 90.2 (± 33.1) | [33.7–180.3] |
| TCM c | 128.7 (± 48.5.2) | [46.4–306.7] | 89.1 (± 32.8) | [33.6–177.7] | ||
| DCBM c | 1.55 (± 0.7) | [<LOD–4.3] | 1.1 (± 0.5) | [<LOD–2.6] | ||
| TCAM b in air (µg/m3) | 19 | 220 (± 68) | [110–350] | 18 | 139 (± 42) | [80–210] |
| Pool [A] | Pool [B] | |||
|---|---|---|---|---|
| S1 | S2 | S1 | S2 | |
| Temperature (°C) | 27.8 | 28.5 | 27.9 | 27.6 |
| pH | 7.2 | 7.5 | 7.2 | 7.4 |
| Free Chlorine (mg/L) | 1.32 | 1.32 | 1.19 | 0.89 |
| Total Chlorine (mg/L) | 1.88 | 1.88 | 1.68 | 1.43 |
| Cumulative number of bathers | 239 | 862 | 122 | 530 |
3.1. DBP Levels in Water
3.1.1. Occurrence and Speciation
3.1.2. Spatial Variations

| n a | Pool [A] | [Min–Max] | n a | Pool [B] | [Min–Max] | |
|---|---|---|---|---|---|---|
| Mean (± SD) | Mean (± SD) | |||||
| TTHMs in water (µg/L) | 39 | 14.1 (± 7.4) | [2.6–31.1] | 37 | 14.1 (± 8.15) | [2.4–38.9] |
| TCM | 14.1 (± 7.4) | [2.6–31.1] | 14.1 (± 8.15) | [2.4–38.9] | ||
| HAA9 in water (µg/L) | 40 | 9.5 (± 9.5) | [1.3–38.2] | 40 | 7.2 (± 5.0) | [0.9–26.2] |
| DCAA | 10.0 (± 9.9) | [1.5–35.3] | 6.6 (± 4.5) | [1.5–23.0] | ||
| TCAA | 10.8 (± 9.9) | [0.5–40.5] | 9.3 (± 6.0) | [0.8–30.9] | ||
| BCAA | 6.7 (± 6.2) | [0.2–24.8] | 6.6 (± 10.3) | [0.4–52.5] | ||
| BDCAA | 6.5 (± 13.0) | [0.4–82.6] | 5.6 (± 5.8) | [0.2–21.6] | ||
| TTHMs in air (µg/m3) | 38 | 22.1 (± 24.2) | [0.4–87.3] | 37 | 12.9 (± 15.9) | [0.12–63.9] |
| TCM | 22.1 (± 24.1) | [0.1–87.3] | 12.8 (± 15.8) | [0.1–62.5] | ||
| DCBM | 33.0 (± 32.0) | [0–128] | 22.9 (± 30.2) | [0–133] |
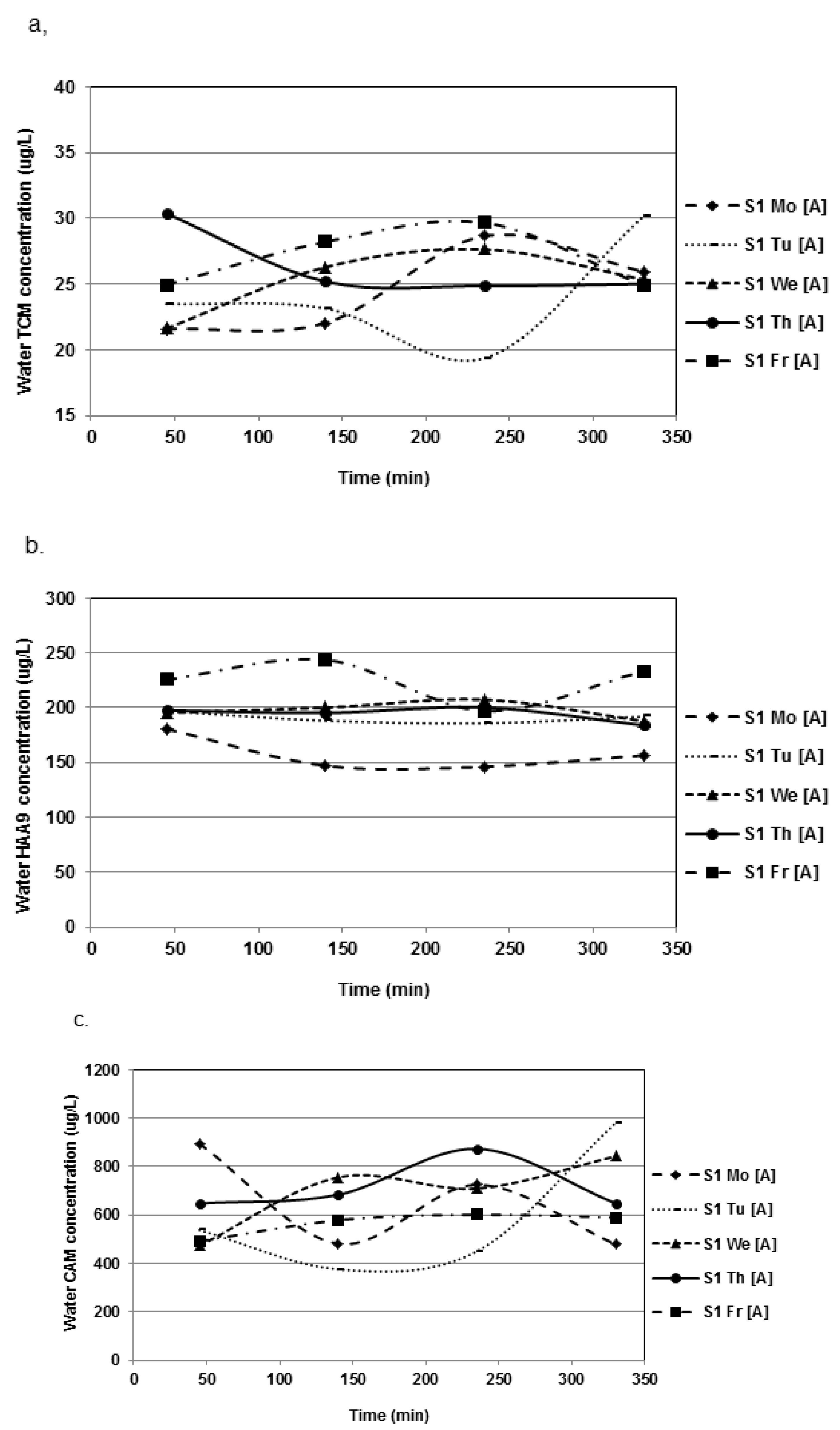
3.1.3. Temporal Variations


3.2. DBP Levels in Air
3.2.1. THMs
3.2.1.1. Spatial Variations

| Pool [A] | Pool [B] | |||||
|---|---|---|---|---|---|---|
| Room | n | Median | [Min–Max] | n | Median | [Min–Max] |
| Men changing room | 20 | 2.3 | [<LOD–4.5] | 19 | 65.6 | [43.8–115.5] |
| Women changing room | 20 | 14.6 | [4.6–28.2] | 19 | 66.10 | [47.5–111.5] |
| Lifeguards’ office | 18 | 13.10 | [<LOD–38.3] | 20 | 59.3 | [22.3–109.3] |
| Administrative office | - | - | - | 11 | 27.1 | [8.5–37.1] |
| Technical room | 14 | 46.4 | [4.7–99.2] | 8 | 62.2 | [43.8–117.8] |
| Bleachers | 4 | 90.5 | [81.4–117.9] | - | - | - |
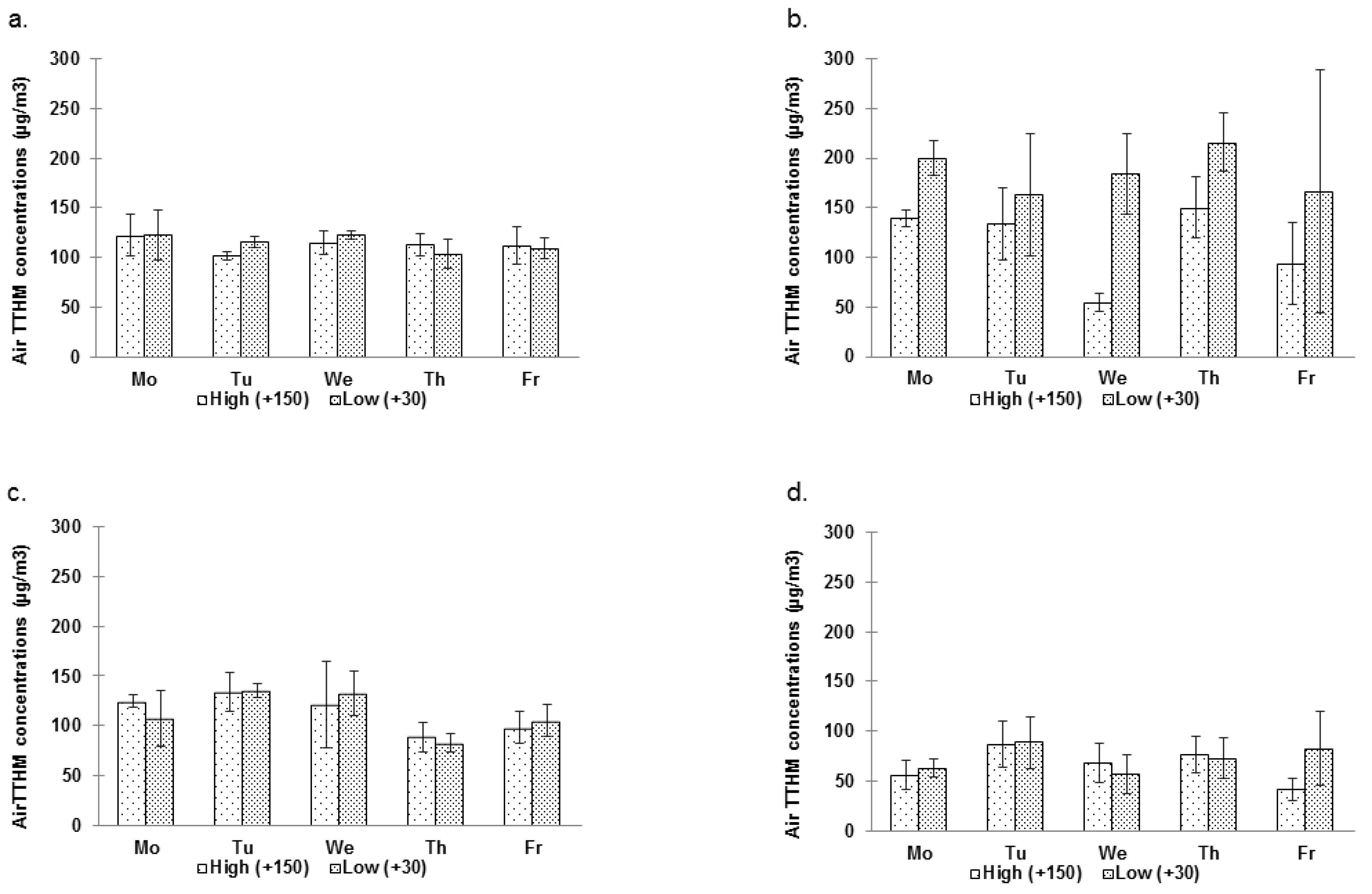
3.2.1.2. Temporal Variations

3.2.2. TCAMs
3.2.2.1. Spatial Variations

3.2.2.2. Temporal Variations
3.3. Relationships between the DBP Concentrations
| TTHM | HAA9 | CAM | |
|---|---|---|---|
| Air TCAM | 0.1821 | −0.7139 | 0.3970 |
| Air TCM | 0.1657 | −0.1819 | 0.3218 * |
| Air DCBM | 0.1970 | −0.2708 * | 0.2021 * |
| Air TTHM | 0.1664 | −0.1834 | 0.3207 * |

3.4. Predictive Modeling of TCM Air Concentrations from Water Concentrations

| Square Residuals | N | Mean | STD | Minimum | Maximum |
|---|---|---|---|---|---|
| VTMs a | 84 | 31,240 | 22,670 | 25.43 | 99,610 |
| − | 32 | 34,290 | 26,320 | 5,214.80 | 99,610 |
| + | 52 | 29,360 | 20,140 | 25.43 | 79,690 |
| VTMh b | 84 | 17,170 | 16,840 | 1,688.42 | 87,340 |
| − | 32 | 10,740 | 7,120 | 1,688.42 | 33,380 |
| + | 52 | 21,120 | 19,720 | 2,277.11 | 87,340 |
| FUG c | 84 | 2,760 | 5,060 | 0.36 | 27,750 |
| − | 32 | 1,810 | 2,690 | 25.76 | 9,930 |
| + | 52 | 3,350 | 6,030 | 0.36 | 27,750 |
| Square Residuals | N | Mean | STD | Minimum | Maximum |
|---|---|---|---|---|---|
| Adjusted VTM a | 31 | 83,450 | 276,000 | 0.12 | 1,459,500 |
| EMP b | 31 | 36,220 | 145,880 | 10.44 | 830,500 |
| FUG c | 31 | 71,480 | 232,430 | 0.0017 | 1,218,600 |
4. Discussion
4.1. Occurrence of DBPs and Health Risks
4.2. Monitoring and Integrated Modeling for Exposure Assessment
5. Conclusions
Conflict of Interest
Acknowledgments
References
- Zwiener, C.; Richardson, S.D.; de Marini, D.M.; Grummt, T.; Glauner, T.; Frimmel, F.H. Drowning in disinfection byproducts? Assessing swimming pool water. Environ. Sci. Technol. 2007, 41, 363–372. [Google Scholar]
- Aggazzotti, G.; Fantuzzi, G.; Righi, E.; Predieri, G. Blood and breath analyses as biological indicators of exposure to trihalomethanes in indoor swimming pools. Sci. Total Environ. 1998, 217, 155–163. [Google Scholar] [CrossRef]
- Richardson, S.D.; Plewa, M.J.; Wagner, E.D.; Schoeny, R.; Demarini, D.M. Occurrence, genotoxicity, and carcinogenicity of regulated and emerging disinfection by-products in drinking water: A review and roadmap for research. Mutat. Res. 2007, 636, 178–242. [Google Scholar] [CrossRef]
- Richardson, S.D.; DeMarini, D.M.; Kogevinas, M.; Fernandez, P.; Marco, E.; Lourencetti, C.; Balleste, C.; Heederik, D.; Meliefste, K.; McKague, A.B.; et al. What’s in the pool? A comprehensive identification of disinfection by-products and assessment of mutagenicity of chlorinated and brominated swimming pool water. Environ. Health Perspect. 2010, 118, 1523–1530. [Google Scholar]
- Simard, S. Occurrence des Sous-Produits de la Désinfection Dans L’eau des Piscines Publiques de la Ville de Québec; Université Laval: Québec city, QC, Canada, 2009. [Google Scholar]
- Villanueva, C.M.; Cantor, K.P.; Grimalt, J.O.; Malats, N.; Silverman, D.; Tardon, A.; Garcia-Closas, R.; Serra, C.; Carrato, A.; Castano-Vinyals, G.; et al. Bladder cancer and exposure to water disinfection by-products through ingestion, bathing, showering, and swimming in pools. Am. J. Epidemiol. 2007, 165, 148–156. [Google Scholar]
- Tardiff, R.G.; Carson, M.L.; Ginevan, M.E. Updated weight of evidence for an association between adverse reproductive and developmental effects and exposure to disinfection by-products. Regul. Toxicol. Pharmacol. 2006, 45, 185–205. [Google Scholar] [CrossRef]
- Jacobs, J.H.; Spaan, S.; van Rooy, G.B.G.J.; Meliefste, C.; Zaat, V.A.C.; Royackers, J.M.; Heederik, D. Exposure to trichloramine and respiratory symptoms in indoor swimming pool workers. Eur. Respir. J. 2007, 29, 690–698. [Google Scholar] [CrossRef]
- Kaydos-Daniels, S.C.; Beach, M.J.; Shwe, T.; Magri, J.; Bixler, D. Health effects associated with indoor swimming pools: A suspected toxic chloramine exposure. Publ. Health 2007, 122, 195–200. [Google Scholar]
- Kohlhammer, Y.; Heinrich, J. Chlorine, chlorination by-products and their allergic and respiratory health effects. Curr. Respir. Med. Rev. 2007, 3, 39–47. [Google Scholar]
- Massin, N.; Bohadana, B.; Wild, P.; Héry, M.; Toamain, J.P.; Hubert, G. Respiratory symptoms and bronchial responsivness in lifeguards exposed to nitrogen chloride in indoor swimming pools. Occup. Environ. Med. 1998, 55, 258–263. [Google Scholar] [CrossRef]
- Nemery, B.; Hoet, P.H.; Nowak, D. Indoor swimming pools, water chlorination and respiratory health. Eur. Respir. J. 2002, 19, 790–793. [Google Scholar] [CrossRef]
- Pommier de Santi, P.; Andreotti, D.; Lesaint, M.H. Rhinosinusite à la chloramine chez un maître-nageur. Revue Française d'Allergologie et d'Immunologie Clinique 2004, 44, 400–402. [Google Scholar]
- Thickett, K.M.; McCoach, J.S.; Gerber, J.M.; Sadhra, S.; Burge, P.S. Occupational asthma caused by chloramines in indoor swimming-pool air. Eur. Respir. J. 2002, 19, 827–832. [Google Scholar] [CrossRef]
- Thoumelin, P.; Monin, E.; Armandet, D.; Julien, M.J.; Massart, B.; Vasseur, C.; Pillon, A.M.; Zilliox, M.; Balducci, F.; Bergeret, A. Troubles d’irritation respiratoire chez les travailleurs des piscines. Doc. Pour Méd. Trav. 2005, 101, 43–64. [Google Scholar]
- Bernard, A.; Carbonnelle, S.; de Burbure, C.; Michel, O.; Nickmilder, M. Chlorinated pool attendance, atopy, and the risk of asthma during childhood. Environ. Health Perspect. 2006, 114, 1567–1573. [Google Scholar]
- Bernard, A.; Carbonnelle, S.; Dumont, X.; Nickmilder, M. Infant swimming practice, pulmonary epithelium integrity, and the risk of allergic and respiratory diseases later in childhood. Pediatrics 2007, 119, 1095–1103. [Google Scholar]
- Bernard, A.; Nickmilder, M. Respiratory health and baby swimming. Arch. Dis. Child 2006, 91, 620–621. [Google Scholar] [CrossRef]
- Bernard, A.; Nickmilder, M.; Voisin, C.; Sardella, A. Impact of chlorinated swimming pool attendance on the respiratory health of adolescents. Pediatrics 2009, 124, 1110–1118. [Google Scholar]
- Font-Ribera, L.; Villanueva, C.M.; Nieuwenhuijsen, M.J.; Zock, J.P.; Kogevinas, M.; Henderson, J. Swimming pool attendance, asthma, allergies and lung function in the ALSPAC child cohort. Am. J. Respir. Crit. Care Med. 2010, 83, 582–588. [Google Scholar]
- Weisel, C.P.; Richardson, S.D.; Nemery, B.; Aggazzotti, G.; Baraldi, E.; Blatchley, E.R., III; Blount, B.C.; Carlsen, K.H.; Eggleston, P.A.; Frimmel, F.H.; et al. Childhood asthma and environmental exposures at swimming pools: State of the science and research recommendations. Environ. Health Perspect. 2009, 117, 500–507. [Google Scholar]
- Moulin, J.P. Bébés-nageurs: Effets des séances de piscines sur le développement du jeune enfant. J. Pédiatr. Puéric. 2007, 20, 25–28. [Google Scholar]
- Gérardin, F.; Gerber, J.M.; Héry, M.; Quénis, B. Extraction de chloramines par contact gaz/liquide dans les eaux de piscines. Cah. Notes Doc. Hyg. Séc. Trav. 1999, 177, 21–29. [Google Scholar]
- Gérardin, F.; Hecht, G.; Hubert-Pelle, G.; Subra, I. Traitement UV: Suivi de l’évolution des concentrations en chloroforme et en trichlorure d’azote dans les eaux de baignades d’un centre aquatique. Cah. Notes Doc. Hyg. Séc. Trav. 2005, 201, 19–30. [Google Scholar]
- Kogevinas, M.; Villanueva, C.M.; Font-Ribera, L.; Liviac, D.; Bustamante, M.; Espinoza, F.; Nieuwenhuijsen, M.J.; Espinosa, A.; Fernandez, P.; DeMarini, D.M.; et al. Genotoxic effects in swimmers exposed to disinfection by-products in indoor swimming pools. Environ. Health Perspect. 2010, 118, 1531–1537. [Google Scholar]
- Liviac, D.; Wagner, E.D.; Mitch, W.A.; Altonji, M.J.; Plewa, M.J. Genotoxicity of water concentrates from recreational pools after various disinfection methods. Environ. Sci. Technol. 2010, 44, 3527–3532. [Google Scholar]
- Plewa, M.J.; Simmons, J.E.; Richardson, S.D.; Wagner, E.D. Mammalian cell cytotoxicity and genotoxicity of the haloacetic acids, a major class of drinking water disinfection by-products. Environ. Mol. Mutagen. 2010, 51, 871–878. [Google Scholar] [CrossRef]
- Risques Sanitaires Liés Aux Piscines. Available online: http://www.afsset.fr/upload/bibliotheque/413996977197053340489872262883/10_06_piscines_reglementees_vdef_2010.pdf (accessed on 17 July 2012).
- Bessonneau, V.; Derbez, M.; Clement, M.; Thomas, O. Determinants of chlorination by-products in indoor swimming pools. Int. J. Hyg. Environ. Health 2011, 215, 76–85. [Google Scholar]
- Caro, J.; Gallego, M. Alveolar air and urine analyses as biomarkers of exposure to trihalomethanes in an indoor swimming pool. Environ. Sci. Technol. 2008, 42, 5002–5007. [Google Scholar] [CrossRef]
- Font-Ribera, L.; Kogevinas, M.; Zock, J.P.; Gomez, F.P.; Barreiro, E.; Nieuwenhuijsen, M.J.; Fernandez, P.; Lourencetti, C.; Perez-Olabarria, M.; Bustamante, M.; et al. Short-term changes in respiratory biomarkers after swimming in a chlorinated pool. Environ. Health Perspect. 2010, 118, 1538–1544. [Google Scholar]
- Font-Ribera, L.; Kogevinas, M.; Zock, J.P.; Nieuwenhuijsen, M.J.; Heederik, D.; Villanueva, C.M. Swimming pool attendance and risk of asthma and allergic symptoms in children. Eur. Respir. J. 2009, 34, 1304–1310. [Google Scholar] [CrossRef]
- Kanan, A.; Karanfil, T. Formation of disinfection by-products in indoor swimming pool water: The contribution from filling water natural organic matter and swimmer body fluids. Water Res. 2011, 45, 926–932. [Google Scholar] [CrossRef]
- Lee, J.; Ha, K.T.; Zoh, K.D. Characteristics of trihalomethane (THM) production and associated health risk assessment in swimming pool waters treated with different disinfection methods. Sci. Total Environ. 2009, 407, 1990–1997. [Google Scholar] [CrossRef]
- Lourencetti, C.; Ballester, C.; Fernandez, P.; Marco, E.; Prado, C.; Periago, J.F.; Grimalt, J.O. New method for determination of trihalomethanes in exhaled breath: Applications to swimming pool and bath environments. Anal. Chim. Acta 2010, 662, 23–30. [Google Scholar] [CrossRef]
- Panyakapo, M.; Soontornchai, S.; Paopuree, P. Cancer risk assessment from exposure to trihalomethanes in tap water and swimming pool water. J. Environ. Sci.(China) 2008, 20, 372–378. [Google Scholar]
- Lévesque, B.; Duchesne, J.F.; Gingras, S.; Lavoie, R.; Prud’Homme, D.; Bernard, E.; Boulet, L.P.; Ernst, P. The determinants of prevalence of health complaints among young competitive swimmers. Int. Arch. Occup. Environ Health 2006, 80, 32–39. [Google Scholar]
- Héry, M.; Hecht, G.; Gerber, J.M.; Gendre, J.C.; Hubert, G.; Rebuffaud, J. Exposure to chloramines in the atmosphere of indoor swimming pools. Ann. Occup. Hyg. 1995, 39, 427–439. [Google Scholar]
- Parrat, J. Évaluation de L’exposition à la Trichloramine Atmosphérique des Maîtres Nageurs, Employés et Utilisateurs Publics des Piscines Couvertes des Cantons de Fribourg, Neuchâtel et du Jura; Laboratoire intercantonal de santé au travail—LIST: Peseux, Switzerland, 2008; p. 76. [Google Scholar]
- Bonvallot, N.; Glorennec, P.; Zmirou, D. Derivation of a toxicity reference value for nitrogen trichloride as a disinfection by-product. Regul. Toxicol. Pharmacol. 2010, 56, 357–364. [Google Scholar] [CrossRef]
- Lévesque, B.; Ayotte, P.; Tardif, R.; Charest-Tardif, G.; Dewailly, E.; Prud’Homme, D.; Gingras, G.; Allaire, S.; Lavoie, R. Evaluation of the health risk associated with exposure to chloroform in indoor swimming pools. J. Toxicol. Environ. Health 2000, 61, 225–243. [Google Scholar]
- Hamel, H. Etude de L’évolution du Trichlorure D’azote et des Trihalométhanes Dans l’eau et L’air des Piscines Chlorées—Exploration des Voies de Réduction de Cette Contamination; Université de Rennes I: Rennes, France, 2007. [Google Scholar]
- Li, J.; Blatchley, E.R., III. Volatile disinfection byproduct formation resulting from chlorination of organic-nitrogen precursors in swimming pools. Environ. Sci. Technol. 2007, 41, 6732–6739. [Google Scholar]
- Sa, C.S.; Boaventura, R.A.; Pereira, I.B. Analysis of trihalomethanes in water and air from indoor swimming pools using HS-SPME/GC/ECD. J. Environ. Sci. Health Tox. Hazard. Subst. Environ. Eng. 2011, 46, 355–363. [Google Scholar] [CrossRef]
- Weaver, W.A.; Li, J.; Wen, Y.; Johnston, J.; Blatchley, M.R.; Blatchley, E.R., III. Volatile disinfection by-product analysis from chlorinated indoor swimming pools. Water Res. 2009, 43, 3308–3318. [Google Scholar]
- Cardador, M.J.; Gallego, M. Haloacetic acids in swimming pools: Swimmer and worker exposure. Environ. Sci. Technol. 2011, 45, 5783–5790. [Google Scholar] [CrossRef]
- Lee, J.; Jun, M.J.; Lee, M.H.; Eom, S.W.; Zoh, K.D. Production of various disinfection byproducts in indoor swimming pool waters treated with different disinfection methods. Int. J. Hyg. Environ. Health 2010, 213, 465–474. [Google Scholar] [CrossRef]
- Hsu, H.T.; Chen, M.J.; Lin, C.H.; Chou, W.S.; Chen, J.H. Chloroform in indoor swimming-pool air: Monitoring and modeling coupled with the effects of environmental conditions and occupant activities. Water Res. 2009, 43, 3693–3704. [Google Scholar] [CrossRef]
- Dyck, R.; Sadiq, R.; Rodriguez, M.J.; Simard, S.; Tardif, R. Trihalomethane exposures in indoor swimming pools: A level III fugacity model. Water Res. 2011, 45, 5084–5098. [Google Scholar]
- US EPA, Method 552.2. Determination of Haloactic Acids in Drinking Water by Liquid-Liquid Extraction and Gas Chromatography with Electroncapture Detection; US EPA: Cincinnati, OH, USA, 1995.
- American Public Health Association; American Water Works Association; Water Environment Federation, Standard Methods for the Examination of Water and Wastewater, 20th; Clesceri, L.S.; Greenberg, A.E.; Eaton, A.D. (Eds.) American Public Health Association: Washington, DC, USA, 1999.
- Haddad, S.; Charest-Tardif, G.C.; Tardif, R. Development of physiologically based toxicokinetic models for improving the human indoor exposure assessment to water contaminants: Trichloroethylene and trihalomethanes. J. Toxicol. Environ. Health 2006, 69, 2095–2136. [Google Scholar] [CrossRef]
- McKone, T.E. Human exposure to volatile organic compounds in household tap water: The indoor inhalation pathway. Environ. Sci. Technol. 1987, 21, 1194–1201. [Google Scholar] [CrossRef]
- McKone, T.E.; Knezovich, J.P. The transfer of trichloroethylene (TCE) from a shower to indoor air: Experimental measurements and their implications. J. Air Waste Manag. Assoc. 1991, 41, 832–837. [Google Scholar] [CrossRef]
- Mackay, D. Multimedia Environmental Models: The Fugacity Approach, 2nd ed; Lewis Publishers: Boca Raton, FL, USA, 2001. [Google Scholar]
- SAS Institute Inc. SAS OnlineDoc® 9.2.; SAS Institute: Cary, CA, USA, 2009.
- Dufour, A.P.; Evans, O.; Behymer, T.D.; Cantu, R. Water ingestion during swimming activities in a pool: A pilot study. J. Water Health 2006, 4, 425–430. [Google Scholar]
- Ministry of Sustainable Development, Environment and Parks. In Règlement Modifiant le Règlement sur la Qualité de l'eau Potable; Government of Quebec: Quebec, QC, Canada, 2012.
- Aggazzotti, G.; Fantuzzi, G.; Righi, E.; Predieri, G. Environmental and biological monitoring of chloroform in indoor swimming pools. J. Chromatogr. 1995, 710, 181–190. [Google Scholar] [CrossRef]
- Aggazzotti, G.; Fantuzzi, G.; Righi, E.; Tartoni, P.; Cassinadri, T.; Predieri, G. Chloroform in alveolar air of individuals attending indoor swimming pools. Arch. Environ. Health 1993, 48, 250–254. [Google Scholar] [CrossRef]
- Aggazzotti, G.; Fantuzzi, G.; Tartoni, P.L.; Predieri, G. Plasma chloroform concentrations in swimmers using indoor swimming pools. Arch. Environ. Health 1990, 45, 175–179. [Google Scholar] [CrossRef]
- Aiking, H.; van Acker, M.B.; Scholten, R.J.; Feenstra, J.F.; Valkenburg, H.A. Swimming pool chlorination: A health hazard? Toxicol. Lett. 1994, 72, 375–380. [Google Scholar] [CrossRef]
- Cammann, K.; Hubner, K. Trihalomethane concentrations in swimmers’ and bath attendants’ blood and urine after swimming or working in indoor swimming pools. Arch. Environ. Health 1995, 50, 61–65. [Google Scholar] [CrossRef]
- Chu, H.; Nieuwenhuijsen, M.J. Distribution and determinants of trihalomethane concentrations in indoor swimming pools. Occup. Environ. Med. 2002, 59, 243–247. [Google Scholar] [CrossRef]
- Erdinger, L.; Kuhn, K.P.; Kirsch, F.; Feldhues, R.; Frobel, T.; Nohynek, B.; Gabrio, T. Pathways of trihalomethane uptake in swimming pools. Int. J. Hyg. Environ. Health 2004, 207, 571–575. [Google Scholar]
- Fantuzzi, G.; Righi, E.; Predieri, G.; Ceppelli, G.; Gobba, F.; Aggazzotti, G. Occupational exposure to trihalomethanes in indoor swimming pools. Sci. Total Environ. 2001, 264, 257–265. [Google Scholar] [CrossRef]
- Fantuzzi, G.; Righi, E.; Predieri, G.; Giacobazzi, P.; Mastroianni, K.; Aggazzotti, G. Prevalence of ocular, respiratory and cutaneous symptoms in indoor swimming pool workers and exposure to disinfection by-products (DBPs). Int. J. Environ. Res. Public Health 2010, 7, 1379–1391. [Google Scholar]
- Lévesque, B.; Ayotte, P.; LeBlanc, A.; Dewailly, E.; Prud’Homme, D.; Lavoie, R.; Allaire, S.; Levallois, P. Evaluation of dermal and respiratory chloroform exposure in humans. Environ. Health Perspect. 1994, 102, 1082–1087. [Google Scholar]
- Lindstrom, A.B.; Pleil, J.D.; Berkoff, D.C. Alveolar breath sampling and analysis to assess trihalomethane exposures during competitive swimming training. Environ. Health Perspect. 1997, 105, 636–642. [Google Scholar]
- Nuckols, J.R.; Ashley, D.L.; Lyu, C.; Gordon, S.M.; Hinckley, A.F.; Singer, P. Influence of tap water quality and household water use activities on indoor air and internal dose levels of trihalomethanes. Environ. Health Perspect. 2005, 113, 863–870. [Google Scholar]
© 2012 by the authors; licensee MDPI, Basel, Switzerland. This article is an open-access article distributed under the terms and conditions of the Creative Commons Attribution license (http://creativecommons.org/licenses/by/3.0/).
Share and Cite
Catto, C.; Sabrina, S.; Ginette, C.-T.; Manuel, R.; Robert, T. Occurrence and Spatial and Temporal Variations of Disinfection By-Products in the Water and Air of Two Indoor Swimming Pools. Int. J. Environ. Res. Public Health 2012, 9, 2562-2586. https://doi.org/10.3390/ijerph9082562
Catto C, Sabrina S, Ginette C-T, Manuel R, Robert T. Occurrence and Spatial and Temporal Variations of Disinfection By-Products in the Water and Air of Two Indoor Swimming Pools. International Journal of Environmental Research and Public Health. 2012; 9(8):2562-2586. https://doi.org/10.3390/ijerph9082562
Chicago/Turabian StyleCatto, Cyril, Simard Sabrina, Charest-Tardif Ginette, Rodriguez Manuel, and Tardif Robert. 2012. "Occurrence and Spatial and Temporal Variations of Disinfection By-Products in the Water and Air of Two Indoor Swimming Pools" International Journal of Environmental Research and Public Health 9, no. 8: 2562-2586. https://doi.org/10.3390/ijerph9082562
APA StyleCatto, C., Sabrina, S., Ginette, C.-T., Manuel, R., & Robert, T. (2012). Occurrence and Spatial and Temporal Variations of Disinfection By-Products in the Water and Air of Two Indoor Swimming Pools. International Journal of Environmental Research and Public Health, 9(8), 2562-2586. https://doi.org/10.3390/ijerph9082562
