Field-Scale Spatial Variation of Saline-Sodic Soil and Its Relation with Environmental Factors in Western Songnen Plain of China
Abstract
:1. Introduction
2. Materials and Methods
2.1. Study Area Description
2.2. Sampling Procedure and Data Acquisition
2.3. Geostatistical Approach
2.3.1. Semivariogram Modeling
2.3.2. Ordinary Kriging
3. Results and Discussion
3.1. Distribution Patterns of Salinization Parameters
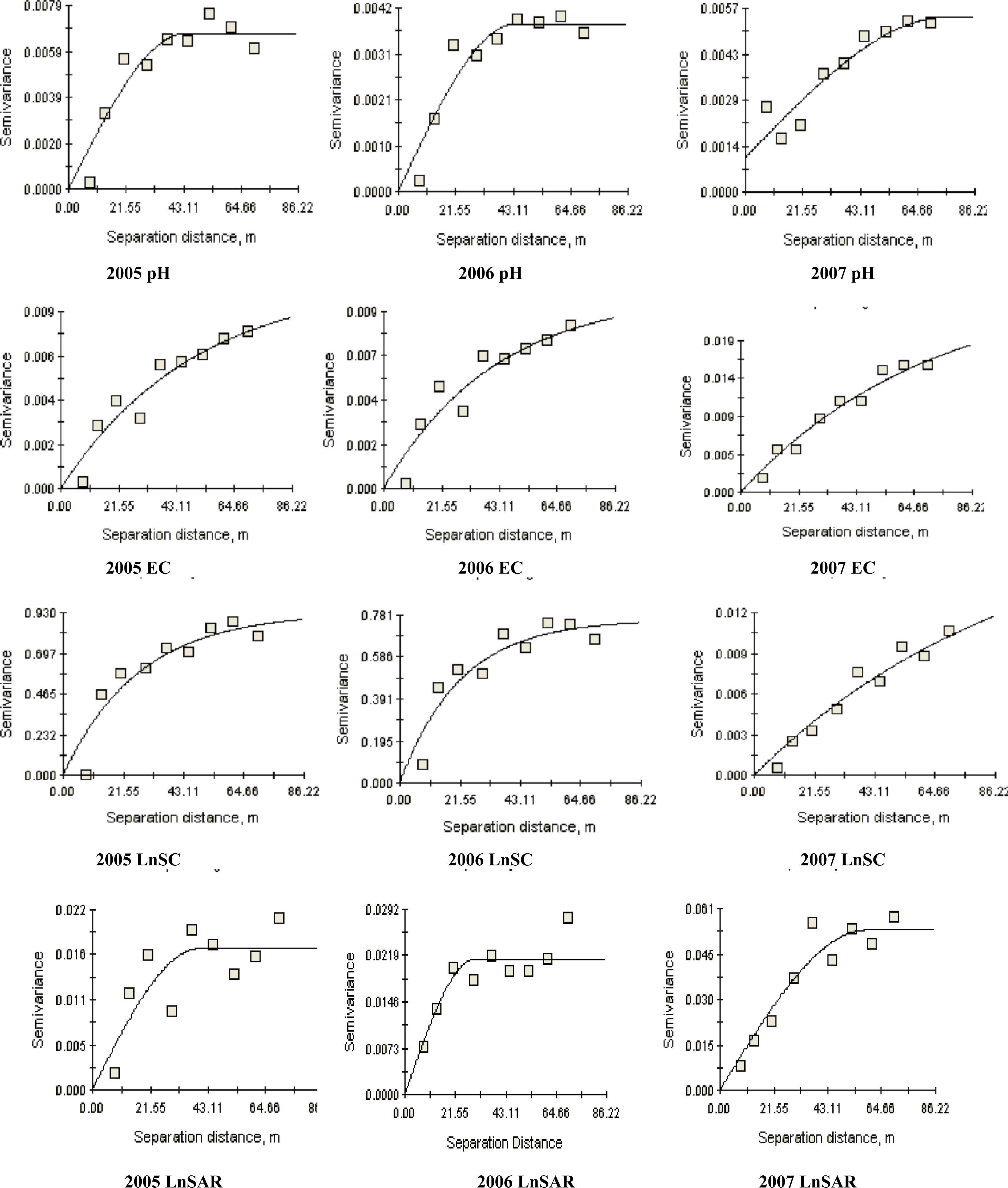
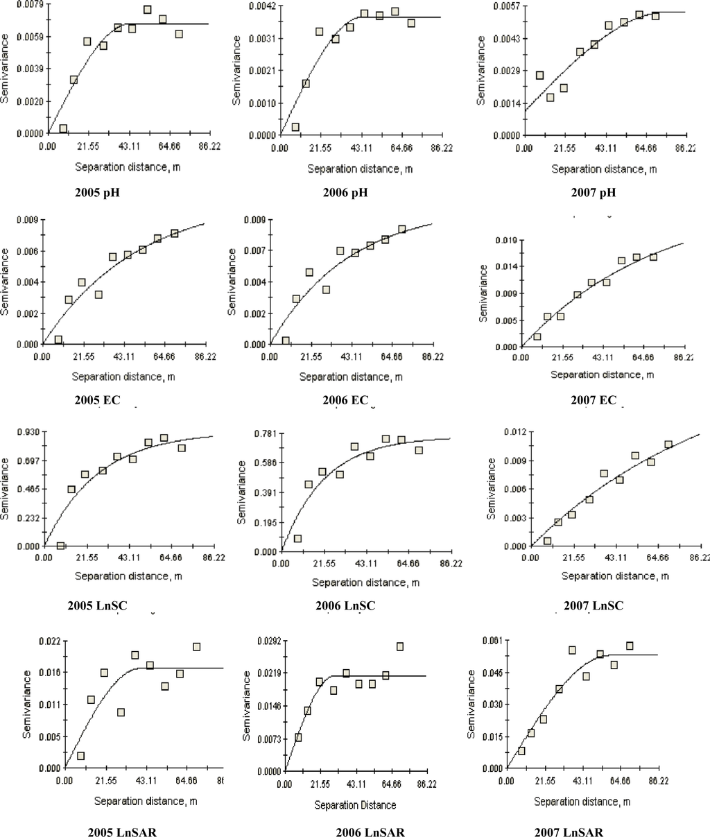
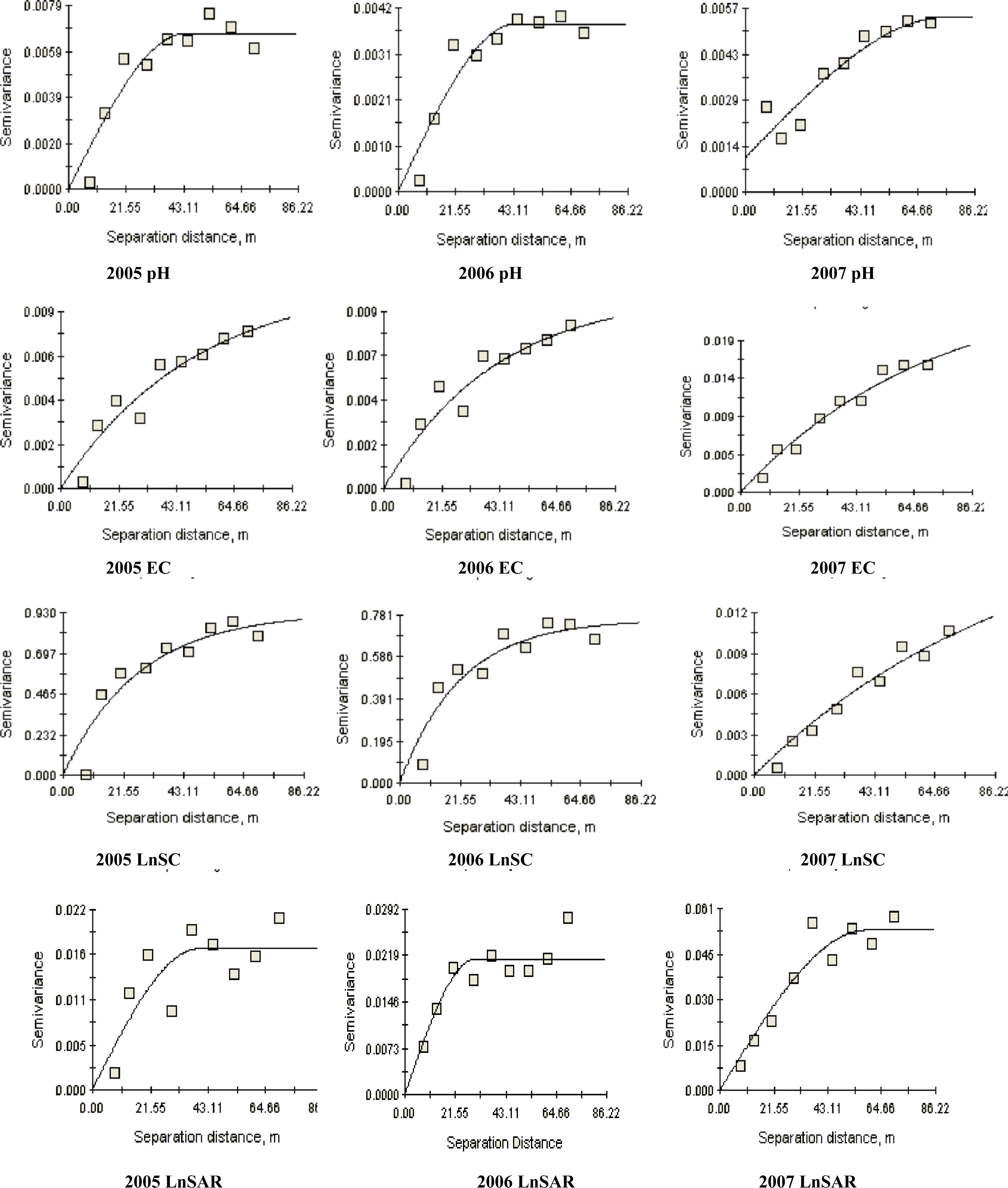
3.2. Spatial Structure of Soil Salinization Parameters
3.3. Correlation and Stepwise Regression Analysis
4. Conclusions
Acknowledgments
References
- Wang, L; Seki, K; Miyazaki, T; Ishihama, Y. The causes of soil alkalinization in the Songnen Plain of Northeast China. Paddy Water Environ 2009, 7, 259–270. [Google Scholar]
- Liu, XT. Management on Degraded Land and Agricultural Development in the Songnen Plain; Science Press: Beijing, China, 2001. [Google Scholar]
- Li, X; Wang, Z; Song, K; Zhang, B; Liu, D; Guo, Z. Assessment for saline wasteland expansion and land use change using GIS and remote sensing in the west part of Northeast China. Environ. Monit. Assess 2007, 131, 421–437. [Google Scholar]
- Pozdnyakova, L; Zhang, R. Geostatistical analyses of soil salinity in a large field. Precis. Agric 1999, 1, 153–165. [Google Scholar]
- Shirokova, Y; Forkutsa, I; Sharaftdinova, N. Use of electrical conductivity instead of soluble salts for soil salinity monitoring in Central Asia. Irrig. Drain. Syst 2000, 14, 199–205. [Google Scholar]
- Ardahanlioglu, O; Oztas, T; Evren, S; Yilmaz, H; Yildirim, ZN. Spatial variability of exchangeable sodium, electrical conductivity, soil pH and boron content in salt- and sodium-affected areas of the Igdir plain (Turkey). J. Arid Environ 2003, 54, 495–503. [Google Scholar]
- Corwin, DL; Lesch, SM; Oster, JD; Kaffka, SR. Monitoring management-induced spatio-temporal changes in soil quality through soil sampling directed by apparent electrical conductivity. Geoderma 2006, 131, 369–387. [Google Scholar]
- Zhou, HH; Chen, YN; Li, WH. Soil properties and their spatial pattern in an oasis on the lower reaches of the Tarim River, Northwest China. Agr. Water Manag 2010, 97, 1915–1922. [Google Scholar]
- Wang, ZQ; Zhu, SL; Yu, RP. Salt-Affected Soils in China; Science Press: Beijing, China, 1993. [Google Scholar]
- Yang, JF; Deng, W; Zhang, GX. Field-scale spatial variation of soil salinity and alkalinity in a saline-sodic soil. Acta Petrol Sin 2006, 43, 500–505. (in Chinese). [Google Scholar]
- Trangmar, BB; Yost, RS; Uehara, G. Application of geostatistics to spatial studies of soil properties. Adv. Agron 1985, 38, 45–94. [Google Scholar]
- Li, CH. The salinity accumulation process of soil and groundwater in Songnen Plain. Acta Pedolog Sin 1964, 12, 31–42. (in Chinese). [Google Scholar]
- McLean, EO. Soil pH and lime requirement. In Methods of Soil Analysis, Part 2: Chemical and Microbiological Properties, 2nd ed; Page, AL, Miller, RH, Keeney, DR, Eds.; American Society of Agronomy: Madison, WI, USA, 1983; Volume 9; pp. 199–224. [Google Scholar]
- Rhoades, JD. Soluble salts. In Methods of Soil Analysis, Part II, 2nd ed; Page, AL, Ed.; Monograph No 9; American Society of Agronomy: Madison, WI, USA, 1982; pp. 167–179. [Google Scholar]
- Standard Methods for the Examination of Water and Wastewater, 21st ed; Greenberg, AE; Clesceri, LS; Rice, EW; Eaton, AD (Eds.) APHA-AWWA-WEF Publication: Washington, DC, USA, 2005.
- Chappell, NA; Ternan, JL; Bidin, K. Correlation of physicochemical properties and sub-erosional landforms with aggregate stability variations in a tropical Ultisol disturbed by forestry operations. Soil Till. Res 1999, 50, 55–71. [Google Scholar]
- Journel, AG; Huijbregts, CJ. Mining Geostatistics; Academic Press: London, UK, 1978. [Google Scholar]
- Isaaks, EH; Srivastava, RM. An Introduction to Applied Geostatistics; Oxford University Press: New York, NY, USA, 1989. [Google Scholar]
- Burgess, TM; Webster, R. Optimal interpolation and isarithmic mapping of soil properties. I: The semivariogram and punctual kriging. J. Soil Sci 1980, 31, 315–331. [Google Scholar]
- Dash, JP; Sarangi, A; Singh, DK. Spatial variability of groundwater depth and quality parameters in the national capital territory of Delhi. Environ. Manag 2010, 45, 640–650. [Google Scholar]
- Gokalp, Z; Basaran, M; Uzun, O; Serin, Y. Spatial analysis of some physical soil properties in a saline and alkaline grassland soil of Kayseri, Turkey. Afr. J. Agric. Res 2010, 5, 1127–1137. [Google Scholar]
- Cemek, B; Güler, M; Kiliç, K; Demir, Y; Arslan, H. Assessment of spatial variability in some soil properties as related to soil salinity and alkalinity in Bafra plain in northern Turkey. Environ. Monit. Assess 2007, 124, 223–234. [Google Scholar]
- Webster, R. Quantitative spatial analysis of soil in the field. Adv. Soil Sci 1985, 3, 1–70. [Google Scholar]
- Li, Y; Shi, Z; Li, F. Delineation of site-specific management zones based on temporal and spatial variability of soil electrical conductivity. Pedosphere 2007, 17, 156–164. [Google Scholar]
- Miyamoto, S; Chacon, A; Hossain, M; Martinez, I. Soil salinity of urban turf areas irrigated with saline water: I. Spatial variability. Landscape Urban Plan 2005, 71, 233–241. [Google Scholar]
- Chien, YJ; Lee, DY; Guo, HY; Houng, KH. Geostatistical analysisof soil properties of mid-west Taiwan soils. Soil Sci 1997, 162, 291–297. [Google Scholar]
- Zheng, Z; Zhang, FR; Ma, FY; Chai, XR; Zhu, ZQ; Shi, JL; Zhang, SX. Spatiotemporal changes in soil salinity in a drip-irrigated field. Geoderma 2009, 149, 243–248. [Google Scholar]
- Douaik, A; Van Meirvenne, M; Toth, T. Temporal stability of spatial patterns of soil salinity determined from laboratory and field electrolytic conductivity. Arid Land Res. Manage 2006, 20, 1–13. [Google Scholar]
- Rengasamy, P; Olsson, KA. Sodicity and soil structure. Aust. J. Soil Res 1991, 29, 935–952. [Google Scholar]





| SD | Parameter | Year | Min | Max | Mean | CV | Ske | Kur | DP | K-S |
|---|---|---|---|---|---|---|---|---|---|---|
| 0.81 | pH | 2005 | 7.87 | 10.70 | 9.51 | 0.09 | −0.44 | −1.03 | N | 0.212 |
| 0.63 | 2006 | 8.06 | 10.90 | 9.88 | 0.06 | −0.50 | 0.23 | N | 0.411 | |
| 0.70 | 2007 | 8.25 | 10.60 | 9.48 | 0.07 | 0.10 | −1.38 | N | 0.332 | |
| 400
| EC (μs·cm−1) | 2005 | 82.8 | 2710 | 392 | 1.02 | 5.22 | 30.50 | LN | 0.596 |
| 411
| 2006 | 78 | 2776 | 400 | 1.02 | 5.18 | 30.20 | LN | 0.591 | |
| 919 | 2007 | 123 | 4730 | 660 | 1.39 | 3.51 | 12.80 | LN | 0.764 | |
| 3,833 | SC (mg·kg−1) | 2005 | 588 | 13,616 | 5,212 | 0.74 | 5.22 | 30.50 | N | 0.596 |
| 3,556 | 2006 | 1,134 | 14,687 | 5,366 | 0.72 | 5.18 | 30.20 | N | 0.591 | |
| 5,105 | 2007 | 874 | 22,826 | 4,068 | 1.25 | 2.93 | 8.07 | LN | 0.759 | |
| 12.60 | SAR | 2005 | 3.09 | 86.90 | 10.60 | 1.19 | 5.98 | 37.00 | LN | 0.248 |
| 13.40 | 2006 | 3.91 | 91.10 | 12.00 | 1.12 | 5.51 | 32.90 | LN | 0.385 | |
| 70.90 | 2007 | 5.55 | 306.00 | 35.90 | 1.97 | 3.26 | 9.66 | LN | 0.060 | |
| Parameter | Year | Best-fit model | Nugget, C0 | Sill, C0+ C | Range (m) A0 | C0/(C0+ C) (%) | R2 | RSS |
|---|---|---|---|---|---|---|---|---|
| pH | 2005 | Spherical | 0.00001 | 0.007 | 43.6 | 0.200 | 0.875 | 0.0000007 |
| pH | 2006 | Spherical | 0.00001 | 0.004 | 44.0 | 0.300 | 0.891 | 0.0000015 |
| pH | 2007 | Spherical | 0.00107 | 0.005 | 76.2 | 20.000 | 0.888 | 0.0000018 |
| LnEC | 2005 | Exponential | 0.00001 | 0.010 | 150.0 | 0.100 | 0.906 | 0.0000044 |
| LnEC | 2006 | Exponential | 0.00032 | 0.011 | 124.0 | 0.100 | 0.884 | 0.0000061 |
| LnEC | 2007 | Exponential | 0.00000 | 0.026 | 212.0 | 0.000 | 0.965 | 0.0000083 |
| SC | 2005 | Exponential | 0.00100 | 0.930 | 81.0 | 0.100 | 0.862 | 0.0870000 |
| SC | 2006 | Exponential | 0.00100 | 0.761 | 64.8 | 0.100 | 0.860 | 0.0510000 |
| LnSC | 2007 | Exponential | 0.00001 | 0.019 | 285.0 | 0.100 | 0.960 | 0.0000048 |
| LnSAR | 2005 | Spherical | 0.00013 | 0.017 | 39.6 | 0.800 | 0.606 | 0.0001059 |
| LnSAR | 2006 | Spherical | 0.00000 | 0.021 | 29.9 | 0.000 | 0.756 | 0.0006431 |
| LnSAR | 2007 | Spherical | 0.00010 | 0.053 | 58.4 | 0.002 | 0.914 | 0.0002494 |
| Parameter | H | h | d | W0–10 | W10–30 | W30–60 | W60–100 |
|---|---|---|---|---|---|---|---|
| EC | 0.811** | −0.46** | −0.486** | −0.273 | −0.387* | −0.510** | −0.379* |
| pH | 0.592** | −0.559** | −0.572** | −0.532** | −0.633** | −0.468** | −0.529** |
| SAR | 0.744** | −0.324* | −0.353* | −0.165 | −0.249 | −0.400* | −0.250 |
| SC | 0.688** | −0.638** | −0.624** | −0.589** | −0.557** | −0.559** | −0.351* |
| Regression model | R2 | Sig |
|---|---|---|
| EC = 60.809H − 108.559 | 0.658 | 0.000 |
| EC = 82.821H + 13.710d − 613.38 | 0.713 | 0.000 |
| SC = 375.272H + 2000.542 | 0.446 | 0.000 |
| SC = 279.3H − 32716.3W60–100 + 10779.1 | 0.531 | 0.000 |
| SAR = 1.266H − 3.199 | 0.542 | 0.000 |
| SAR = 2.037H + 0.481d − 20.896 | 0.687 | 0.000 |
| pH = −7.227W10–30 + 11.361 | 0.401 | 0.000 |
| pH = 0.034H − 5.108W10–30 + 10.51 | 0.498 | 0.000 |
© 2011 by the authors; licensee MDPI, Basel, Switzerland. This article is an open-access article distributed under the terms and conditions of the Creative Commons Attribution license (http://creativecommons.org/licenses/by/3.0/).
Share and Cite
Yang, F.; Zhang, G.; Yin, X.; Liu, Z. Field-Scale Spatial Variation of Saline-Sodic Soil and Its Relation with Environmental Factors in Western Songnen Plain of China. Int. J. Environ. Res. Public Health 2011, 8, 374-387. https://doi.org/10.3390/ijerph8020374
Yang F, Zhang G, Yin X, Liu Z. Field-Scale Spatial Variation of Saline-Sodic Soil and Its Relation with Environmental Factors in Western Songnen Plain of China. International Journal of Environmental Research and Public Health. 2011; 8(2):374-387. https://doi.org/10.3390/ijerph8020374
Chicago/Turabian StyleYang, Fan, Guangxin Zhang, Xiongrui Yin, and Zhijun Liu. 2011. "Field-Scale Spatial Variation of Saline-Sodic Soil and Its Relation with Environmental Factors in Western Songnen Plain of China" International Journal of Environmental Research and Public Health 8, no. 2: 374-387. https://doi.org/10.3390/ijerph8020374
APA StyleYang, F., Zhang, G., Yin, X., & Liu, Z. (2011). Field-Scale Spatial Variation of Saline-Sodic Soil and Its Relation with Environmental Factors in Western Songnen Plain of China. International Journal of Environmental Research and Public Health, 8(2), 374-387. https://doi.org/10.3390/ijerph8020374
