Challenging the “Inoffensiveness” of Regular Cannabis Use by Its Associations with Other Current Risky Substance Use—A Census of 20-Year-Old Swiss Men
Abstract
:1. Introduction
2. Methods
2.1. Sample
2.2. Measures
2.3. Statistical Analysis
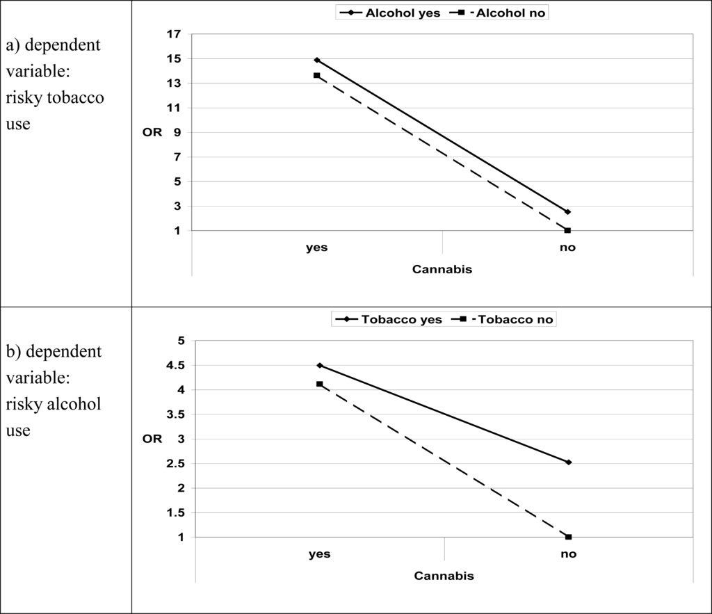
3. Results
4. Discussion
Acknowledgments
References
- Goldstein, A; Kalant, H. Drug policy: striking the right balance. Science 1990, 249, 1513–1521. [Google Scholar]
- Parker, H; Alridge, J; Measham, F. Illegal Leisure: The Normalization of Adolescent Recreational Drug Use; Routledge: London, UK, 1998. [Google Scholar]
- Ericson, PG; Oscapella, E. Cannabis in Canada—a puzzling policy. Int. J. Drug Policy 1999, 10, 313–318. [Google Scholar]
- Hall, W; Room, R; Bondy, S. Comparing the health and psychological risks of alcohol, cannabis, nicotine and opiate use. In The Health Effects of Cannabis; Kalant, H, Corrigal, W, Hall, WD, Smart, R, Eds.; Centre for Addiction and Mental Health: Toronto, Canada, 1999. [Google Scholar]
- Nutt, D; King, LA; Saulsbury, W; Blakemore, C. Development of a rational scale to assess the harm of drugs of potential misuse. Lancet 2007, 369, 1047–1053. [Google Scholar]
- Moore, TH; Zammit, S; Lingford-Hughes, A; Barnes, TR; Jones, PB; Burke, M; Lewis, G. Cannabis use and risk of psychotic or affective mental health outcomes: a systematic review. Lancet 2007, 370, 319–328. [Google Scholar]
- Macleod, J; Oakes, R; Copello, A; Crome, I; Egger, M; Hickman, M; Oppenkowski, T; Stokes-Lampard, H; Davey, SG. Psychological and social sequelae of cannabis and other illicit drug use by young people: a systematic review of longitudinal, general population studies. Lancet 2004, 363, 1579–1588. [Google Scholar]
- Aldington, S; Williams, M; Nowitz, M; Weatherall, M; Pritchard, A; McNaughton, A; Robinson, G; Beasley, R. Effects of cannabis on pulmonary structure, function and symptoms. Thorax 2007, 62, 1058–1063. [Google Scholar]
- Kandel, D; Jessor, R. The gateway hypothesis revisited. In Stages and Pathways of Drug Involvement: Examining the Gateway Hypothesis; Kandel, D, Ed.; Cambridge University Press: New York, NY, USA, 2002; pp. 365–372. [Google Scholar]
- Morral, AR; McCaffrey, DF; Paddock, SM. Reassessing the marijuana gateway effect. Addiction 2002, 97, 1493–1504. [Google Scholar]
- Hall, WD; Lynskey, M. Is cannabis a gateway drug? Testing hypotheses about the relationship between cannabis use and the use of other illicit drugs. Drug Alcohol Rev 2005, 24, 39–48. [Google Scholar]
- Donovan, JE; Jessor, R. Structure of problem behavior in adolescence and young adulthood. J. Consult. Clin. Psychol. 1985, 53, 890–904. [Google Scholar]
- Dryfoos, JG. Adolescents at Risk; Oxford University Press: New York, NY, USA, 1990. [Google Scholar]
- McGue, M; Slutske, W; Taylor, J; Iacono, WG. Personality and substance use disorders: I. Effects of gender and alcoholism subtype. Alcohol Clin. Exp. Res. 1997, 21, 513–520. [Google Scholar]
- Conway, KP; Swendsen, JD; Rounsaville, BJ; Merikangas, KR. Personality, drug of choice, and comorbid psychopathology among substance abusers. Drug Alcohol Depend 2002, 65, 225–234. [Google Scholar]
- Cloninger, CR; Sigvardsson, S; Bohman, M. Childhood personality predicts alcohol abuse in young adults. Alcohol Clin. Exp. Res. 1988, 12, 494–505. [Google Scholar]
- Heath, AC; Madden, PA; Slutske, WS; Martin, NG. Personality and the inheritance of smoking behavior: a genetic perspective. Behav. Genet. 1995, 25, 103–117. [Google Scholar]
- Agrawal, A; Neale, MC; Prescott, CA; Kendler, KS. A twin study of early cannabis use and subsequent use and abuse/dependence of other illicit drugs. Psychological Medicine 2004, 34, 1227–1237. [Google Scholar]
- Lynskey, MT; Vink, JM; Boomsma, DI. Early onset cannabis use and progression to other drug use in a sample of Dutch twins. Behav. Genet. 2006, 36, 195–200. [Google Scholar]
- Hall, W; Degenhardt, L. Prevalence and correlates of cannabis use in developed and developing countries. Curr. Opin. Psychiatry 2007, 20, 393–397. [Google Scholar]
- Lynskey, MT; Heath, AC; Bucholz, KK; Slutske, WS; Madden, PA; Nelson, EC; Statham, DJ; Martin, NG. Escalation of drug use in early-onset cannabis users vs co-twin controls. JAMA 2003, 289, 427–433. [Google Scholar]
- Fergusson, DM; Boden, JM; Horwood, LJ. Cannabis use and other illicit drug use: testing the cannabis gateway hypothesis. Addiction 2006, 101, 556–569. [Google Scholar]
- Agrawal, A; Lynskey, MT; Blucholz, KK; Martin, NG; Madden, PAF; Heath, AC. Contrasting models of genetic co-morbidity for cannabis and other illicit drugs in adult Australian twins. Psychological Medicine 2007, 37, 49–60. [Google Scholar]
- Kokkevi, A; Nic, GS; Spyropoulou, M. Early initiation of cannabis use: a cross-national European perspective. J. Adolesc. Health 2006, 39, 712–719. [Google Scholar]
- Ogborne, AC; Smart, RG. Cannabis users in the general Canadian population. Subst. Use Misuse 2000, 35, 301–311. [Google Scholar]
- Kapusta, ND; Plener, PL; Schmid, R; Thau, K; Walter, H; Lesch, OM. Multiple substance use among young males. Pharmacol. Biochem. Behav. 2007, 86, 306–311. [Google Scholar]
- Graham, HL; Maslin, J. Problematic cannabis use amongst those with severe mental health problems in an inner city area of the UK. Addict. Behav. 2002, 27, 261–273. [Google Scholar]
- Thomas, G; Flight, J; Richard, K; Racine, S. Toward a Policy Relevant Typology of Cannabis Use for Canada: Analysis Drawn from the 2004 Canadian Addiction Survey; Canadian Centre on Substance Abuse: Ottawa, ON, Canada, 2006. [Google Scholar]
- Faeh, D; Viswanathan, B; Chiolero, A; Warren, W; Bovet, P. Clustering of smoking, alcohol drinking and cannabis use in adolescents in a rapidly developing country. BMC Public Health 2006, 6, 169. [Google Scholar]
- Steinhausen, HC; Eschmann, S; Metzke, CW. Continuity, psychosocial correlates, and outcome of problematic substance use from adolescence to young adulthood in a community sample. Child Adolesc. Psychiatry Ment. Health 2007, 1, 12. [Google Scholar]
- Kandel, DB; Chen, K. Extent of smoking and nicotine dependence in the United States: 1991–1993. Nicotine Tob. Res. 2000, 2, 263–274. [Google Scholar]
- Breslau, N; Johnson, EO; Hiripi, E; Kessler, R. Nicotine dependence in the United States: prevalence, trends, and smoking persistence. Arch. Gen. Psychiatry 2001, 58, 810–816. [Google Scholar]
- DiFranza, JR; Savageau, JA; Fletcher, K; O'Loughlin, J; Pbert, L; Ockene, JK; McNeill, AD; Hazelton, J; Friedman, K; Dussault, G. Symptoms of tobacco dependence after brief intermittent use: the Development and Assessment of Nicotine Dependence in Youth-2 study. Arch. Pediatr. Adolesc. Med. 2007, 161, 704–710. [Google Scholar]
- Hu, MC; Davies, M; Kandel, DB. Epidemiology and correlates of daily smoking and nicotine dependence among young adults in the United States. Am. J. Public Health 2006, 96, 299–308. [Google Scholar]
- Patton, GC; Coffey, C; Carlin, JB; Sawyer, SM; Lynskey, M. Reverse gateways? Frequent cannabis use as a predictor of tobacco initiation and nicotine dependence. Addiction 2005, 100, 1518–1525. [Google Scholar]
- Amos, A; Wiltshire, S; Bostock, Y; Haw, S; McNeill, A. “You can't go without a fag—you need it for your hash”—a qualitative exploration of smoking, cannabis and young people. Addiction 2004, 99, 77–81. [Google Scholar]
- Timberlake, DS; Haberstick, BC; Hopfer, CJ; Bricker, J; Sakai, JT; Lessem, JM; Hewitt, JK. Progression from marijuana use to daily smoking and nicotine dependence in a national sample of U.S. adolescents. Drug Alcohol Depend 2007, 88, 272–281. [Google Scholar]
- Sher, KJ; Gotham, HJ; Erickson, DJ; Wood, PK. A prospective, high-risk study of the relationship between tobacco dependence and alcohol use disorders. Alcohol Clin. Exp. Res. 1996, 20, 485–492. [Google Scholar]
- John, U; Meyer, C; Rumpf, HJ; Hapke, U. Probabilities of alcohol high-risk drinking, abuse or dependence estimated on grounds of tobacco smoking and nicotine dependence. Addiction 2003, 98, 805–814. [Google Scholar]
- Agrawal, A; Hinrichs, AL; Dunn, G; Bertelsen, S; Dick, DM; Saccone, SF; Saccone, NL; Grucza, RA; Wang, JC; Cloninger, CR. Linkage scan for quantitative traits identifies new regions of interest for substance dependence in the Collaborative Study on the Genetics of Alcoholism (COGA) sample. Drug Alcohol Depend 2008, 93, 12–20. [Google Scholar]
- Perkonigg, A; Goodwin, RD; Fiedler, A; Behrendt, S; Beesdo, K; Lieb, R; Wittchen, HU. The natural course of cannabis use, abuse and dependence during the first decades of life. Addiction 2008, 103, 439–449. [Google Scholar]
- Anthony, JC. The epidemiology of cannabis dependence. In Cannabis Dependence: Its Nature, Consequences and Treatment; Roffman, RA, Stephens, RS, Eds.; Cambridge University Press: Cambridge, UK, 2006; pp. 58–105. [Google Scholar]
- Chen, CY; O'Brien, MS; Anthony, JC. Who becomes cannabis dependent soon after onset of use? Epidemiological evidence from the United States: 2000–2001. Drug Alcohol Depend 2005, 79, 11–22. [Google Scholar]
- Ridenour, TA; Maldonado-Molina, M; Compton, WM; Spitznagel, EL; Cottler, LB. Factors associated with the transition from abuse to dependence among substance abusers: implications for a measure of addictive liability. Drug Alcohol Depend 2005, 80, 1–14. [Google Scholar]
- The World Health Report 2002—Reducing Risks, Promoting Healthy Life; World Health Organization: Geneva, Switzerland, 2002.
- Rehm, J; Taylor, B; Room, R. Global burden of disease from alcohol, illicit drugs and tobacco. Drug Alcohol Rev 2006, 25, 503–513. [Google Scholar]
- Bundesamt für Statistik. Statistisches Jahrbuch der Schweiz 2007; Verlag Neue Zürcher Zeitung: Zürich, Switzerland, 2007. [Google Scholar]
- US Department of Health and Human Services (USDHHS). The Physicians' Guide to Helping Patients With Alcohol Problems; US Department of Health and Human Services, Public Health Service, National Institute of Health (NIH), National Institute on Alcohol Abuse and Alcoholism (NIAAA): Rockville, MD, USA, 1995. [Google Scholar]
- International Guide for Monitoring Alcohol Consumption and Related Harm; World Health Organization, Department of Mental Health and Substance Dependence, Noncommunicable Diseases and Mental Health Cluster: Geneva, Switzerland, 2000.
- Gmel, G; Rehm, J; Kuntsche, EN. Binge drinking in Europe: Definitions, epidemiology, and consequences. Sucht 2003, 49, 105–116. [Google Scholar]
- Hall, W. Dissecting the causal anatomy of the link between cannabis and other illicit drugs. Addiction 2006, 101, 472–473. [Google Scholar]
- Tarter, RE; Vanyukov, M; Kirisci, L; Reynolds, M; Clark, DB. Predictors of marijuana use in adolescents before and after licit drug use: examination of the gateway hypothesis. Am. J. Psychiatry 2006, 163, 2134–2140. [Google Scholar]
- Currie, C; Roberts, C; Morgan, A; Smith, R; Settertobulte, W; Samdal, O; Barnekow Rasmusen, V. Young People's Health in Context Health Behaviour in School-aged Children (HBSC) Study: International Report from the 2001/2002 Survey; World Health Organization, Regional Office for Europe: Copenhagen, Demark, 2004. [Google Scholar]
- Hibell, B; Andersson, B; Bjarnasson, T; Ahlström, S; Balakireva, O; Kokkevi, A; Morgan, M. The ESPAD Report 2003: Alcohol and Other Drug Use among Students in 35 European Countries; The Swedish Council for Information on Alcohol and Drugs (CAN) and Groupe Pompidou du Conseil de l'Europe: Stockholm, Sweden, 2004. [Google Scholar]


| Use (100% = all men) | Exclusive use of substance* | Risky use (100%=all men) | Exclusive risky use of substance** | |
|---|---|---|---|---|
| Tobacco | 51.2% | 1.7% | 36.6% | 19.5% |
| Alcohol | 92.8% | 38.2% | 58.1% | 48.5% |
| Cannabis | 38.2% | 0.4% | 17.2% | 4.9% |
| Risk groups | n | % | Behaviour onset in years among risky users (SD) | ||
|---|---|---|---|---|---|
| Tobacco | Drunkenness | Cannabis | |||
| No risky use | 1107 | 31.3 | |||
| Tobacco | 252 | 7.1 | 14.7 (2.19) | ||
| Alcohol | 996 | 28.2 | 15.1 (1.54) | ||
| Cannabis | 30 | 0.8 | 14.9 (1.91) | ||
| Tob & alc. | 572 | 16.2 | 14.3 (2.12) | 14.6 (1.60) | |
| Tob. & can. | 93 | 2.6 | 13.1 (2.42) | 14.5 (2.06) | |
| Alc. & can. | 111 | 3.1 | 14.3 (1.84) | 14.9 (1.67) | |
| Tob. & alc. & can | 376 | 10.6 | 13.6 (2.05) | 14.0 (1.61) | 14.6 (1.89) |
| Risky tobacco | Risky alcohol | Risky cannabis | At least one of the other two | Both | |
|---|---|---|---|---|---|
| Risky tobacco use | - | 73% | 36% | 81% | 29% |
| Risky alcohol use | 46% | - | 24% | 52% | 18% |
| Risky cannabis use | 77% | 80% | - | 95% | 62% |
| Cannabis use status | Statistic (p-value) | ||||
|---|---|---|---|---|---|
| Ex-user (n = 773) | Past six months use (n = 1,351) | ||||
| Mean age of onset | 15.60 | 15.25 | 18.62 (<0.001)* | ||
| Non-risky use (n = 741) | risky use (n = 610) | ||||
| Mean age of onset | 15.74 | 14.66 | 122.4 (<0.001)* | ||
| Other risky behaviours: | Onset <16 years (n = 409) | Onset 16+ years (n = 201) | |||
| - % no other risk | 4.4 | 6.0 | 3.13 (0.372)** | ||
| - % risky tobacco use | 15.4 | 14.9 | |||
| - % risky alcohol use | 16.6 | 21.4 | |||
| - % risky tobacco and alcohol use | 63.6 | 57.7 | |||
© 2010 by the authors; licensee Molecular Diversity Preservation International, Basel, Switzerland. This article is an open-access article distributed under the terms and conditions of the Creative Commons Attribution license (http://creativecommons.org/licenses/by/3.0/).
Share and Cite
Gmel, G.; Gaume, J.; Willi, C.; Michaud, P.-A.; Cornuz, J.; Daeppen, J.-B. Challenging the “Inoffensiveness” of Regular Cannabis Use by Its Associations with Other Current Risky Substance Use—A Census of 20-Year-Old Swiss Men. Int. J. Environ. Res. Public Health 2010, 7, 46-59. https://doi.org/10.3390/ijerph7010046
Gmel G, Gaume J, Willi C, Michaud P-A, Cornuz J, Daeppen J-B. Challenging the “Inoffensiveness” of Regular Cannabis Use by Its Associations with Other Current Risky Substance Use—A Census of 20-Year-Old Swiss Men. International Journal of Environmental Research and Public Health. 2010; 7(1):46-59. https://doi.org/10.3390/ijerph7010046
Chicago/Turabian StyleGmel, Gerhard, Jacques Gaume, Carole Willi, Pierre-André Michaud, Jacques Cornuz, and Jean-Bernard Daeppen. 2010. "Challenging the “Inoffensiveness” of Regular Cannabis Use by Its Associations with Other Current Risky Substance Use—A Census of 20-Year-Old Swiss Men" International Journal of Environmental Research and Public Health 7, no. 1: 46-59. https://doi.org/10.3390/ijerph7010046
APA StyleGmel, G., Gaume, J., Willi, C., Michaud, P.-A., Cornuz, J., & Daeppen, J.-B. (2010). Challenging the “Inoffensiveness” of Regular Cannabis Use by Its Associations with Other Current Risky Substance Use—A Census of 20-Year-Old Swiss Men. International Journal of Environmental Research and Public Health, 7(1), 46-59. https://doi.org/10.3390/ijerph7010046
