Potential of Penicillium Species in the Bioremediation Field
Abstract
:1. Introduction
2. Heavy Metals
- acid mine drainage (AMD), associated with mining operations;
- electroplating industry waste solutions;
- coal-based power generation (high coal quantities);
- nuclear power generation (uranium mining and waste generation).
3. Enzymes
4. Polycyclic Aromatic Hydrocarbons
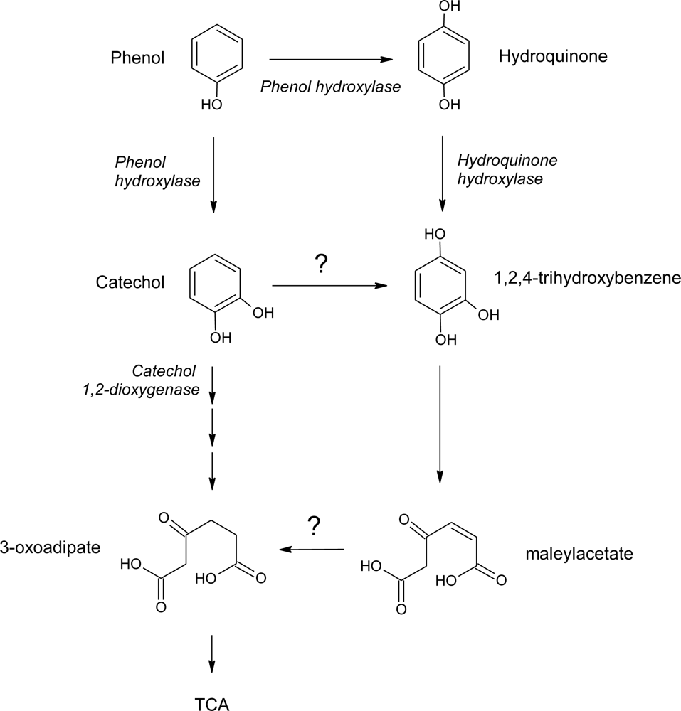
5. Phenol and Its Derivatives
6. Wastewater and Waste
6.1. Olive Mill Wastewater
6.2. Vinasses
6.3. Coffee Residue
7. Conclusions
Acknowledgments
References and Notes
- Sing, H. Mycoremediation; John Wiley & Sons, Inc: New Jersey, USA, 2006. [Google Scholar]
- Yamada-Onodera, KH; Mukumoto, Y; Katsuyaya, Y; Saiganji, A; Tani, Y. Degradation of polyethylene by a fungus, Penicillium simplicissimum YK. Polym. Degrad. Stabil 2001, 72, 323–327. [Google Scholar]
- Grimm, LH; Kelly, S; Krull, R; Hempel, DC. Morphology and productivity of filamentous fungi. Appl. Microbiol. Biotechnol 2005, 69, 375–384. [Google Scholar]
- Raper, KB; Thom, C. Manual of the Penicillia; Williams and Wilkins: Baltimore, USA, 1949. [Google Scholar]
- Christensen, M; Miller, SL; Tuthill, DI. Colour standards: a review and evaluation in relation to Penicillium taxonomy. Mycol. Res 1994, 98, 635–644. [Google Scholar]
- Pitt, JI. The genus Penicillium and its teleomorphic states Eupenicillium and Talaromyces; Academic Press: London, UK, 1979. [Google Scholar]
- Stolk, AC; Samson, RA. The ascomycete genus Eupenicillium and related Penicillium anamorphs. Stud. Mycol 1983, 23, 1–149. [Google Scholar]
- Dorge, T; Carstensen, JM; Frisvad, JC. Direct identification of pure Penicillium species using image analysis. J. Microbiol. Meth 2000, 41, 121–133. [Google Scholar]
- Banke, S; Frisvad, JC; Rosendahl, S. Taxonomy of Penicillium chrysogenum and related xerophilic species, based on isozyme analysis. Mycol. Res 1997, 101, 617–624. [Google Scholar]
- Cox, PW; Paul, GC; Thomas, CR. Image analysis of the morphology of filamentous micro-organisms. Microbiology 1998, 144, 817–827. [Google Scholar]
- Cronenberg, CCH; Ottengraf, SPP; van den Heuvel, JC; Pottel, F; Sziele, D; Schügerl, K; Bellgardt, KH. Influence of age and structure of Penicillium chrysogenum pellets on the internal concentration profiles. Bioprocess Eng 1994, 10, 209–216. [Google Scholar]
- Woolard, CR; Irvine, RL. Treatment of hypersaline wastewater in the sequencing batch reactor. Water Res 1995, 29, 1159–1168. [Google Scholar]
- Mohandrao, GJ; Subrahmanyam, PV; Srinivasan, MV. Treatment and utilization of wood-hydrolysate wastes. Biochem. J 1972, 128, 37P–38P. [Google Scholar]
- Volesky, B. Biosorption and me. Water Res 2007, 41, 4017–4029. [Google Scholar]
- Jain, CK; Ali, I. Arsenic: occurence, toxicity and speciation techniques. Water Res 2000, 34, 4304–4312. [Google Scholar]
- Krauter, P; Martinelli, R; Williams, K; Martins, S. Removal Cr(VI) from ground water by Saccharomyces cerevisiae. Biodegradation 1996, 7, 277–286. [Google Scholar]
- Fomina, M; Charnock, J; Bowen, AD; Gadd, GM. X-ray absorption spectroscopy (XAS) oftoxic metal mineral transformations by fungi. Environ. Microbiol 2007, 9, 308–321. [Google Scholar]
- Niu, H; Xu, XS; Wang, JH; Volesky, B. Removal of lead from aqueous solutions by Penicillium biomass. Biotechnol. Bioeng 1993, 42, 785–787. [Google Scholar]
- Ashida, J. Adapation of fungi to metal toxicants. Annu. Rev. Phytopathol 1965, 3, 153–174. [Google Scholar]
- Gadd, GM. Interaction of fungi with toxic metals. New Phytol 1993, 124, 25–60. [Google Scholar]
- Fourest, E; Roux, J. Heavy metals biosorption by fungal mycelial by-product: Mechanisms and influence of pH. Appl. Microbiol. Biotechnol 1992, 37, 399–403. [Google Scholar]
- Scheuhammer, AM. Acidification related changes in the biogeochemistry and ecotoxicology of mercury, cadmium, lead and aluminium: Overview. Environ. Pollut 1991, 71, 87–90. [Google Scholar]
- Kuyucak, N; Volesky, B. Biosorption by algal biomass. In Biosorption of heavy metals; Volesky, B, Ed.; CRC Press: Boca Raton, FL, USA, 1990; pp. 173–198. [Google Scholar]
- Nazareth, S; Marbaniang, T. Effect of heavy metals on cultural and morphological growth characteristics of halotolerant Penicillium morphotypes. J. Basic Microb 2008, 48, 363–369. [Google Scholar]
- Massaccesi, G; Romero, MC; Cazau, MC; Bucsinszky, AM. Cadmium removal capacities of filamentous soil fungi isolated from industrially polluted sediments, in La Plata (Argentina). World J. Microbiol. Biotechnol 2002, 18, 817–820. [Google Scholar]
- Strandberg, GW; Shumate, SE; Parrot, JR. Microbial cells as biosorbents for heavy metals: accumulation of uranium by Saccharomyces cerevisiae and Pseudomonas aeruginosa. Appl. Environ. Microbiol 1981, 41, 237–245. [Google Scholar]
- Farkas, V. Biosynthesis of cell wall of fungi. Microbiol. Rev 1980, 44, 117–141. [Google Scholar]
- Galun, M; Keller, P; Malki, D; Feldstein, H; Galun, E; Siegel, SM; Siegel, BZ. Removal of uranium(VI) from solution by fungal biomass and fungal wall-related biopolymers. Science 1983, 219, 285–286. [Google Scholar]
- Zhang, D; Duine, JA; Kawai, F. The extremely high Al resistance of Penicillium janthinellum F-13 is not caused by internal or extrenal sequestration of Al. Biometals 2002, 15, 167–174. [Google Scholar]
- Franz, A; Burgstaller, W; Schinner, F. Leaching with Penicillium simplicissimum: influence of metals and buffers on proton extrusion and citric acid production. Appl Environ Microbiol 1991, 57, 769–774. [Google Scholar]
- Fan, T; Liu, Y; Feng, B; Zeng, G; Yang, C; Zhou, M; Zhou, H; Tan, Z; Wang, X. Biosorption of cadmium(II), zinc(II) and lead(II) by Penicillium simplicissimum: Isotherms, kinetics and thermodynamics. J. Hazard. Mater 2008, 160, 655–661. [Google Scholar]
- Galun, M; Galun, E; Siegel, BZ; Keller, P; Lehr, H; Siegel, SM. Removal of metal ions from aqueous solutions by Penicillium biomass: kinetic and uptake parameters. Water Air Soil Pollut 1987, 33, 359–371. [Google Scholar]
- Mendil, D; Tuzen, M; Soylak, M. A biosorption system for metal ions on Penicillium italicum-loaded on Sepabeads SP 70 prior to flame atomic absorption spectrometric determinations. J. Hazard. Mater 2008, 152, 1171–1178. [Google Scholar]
- Say, R; Yilmaz, N; Denizli, A. Removal of heavy metalions using the fungus Penicillium canescens. Adsorpt. Sci. Technol 2003, 21, 643–650. [Google Scholar]
- Say, R; Yilmaz, N; Denizli, A. Removal of chromium(VI) ions from synthetic solutions by the fungus Penicillium purpurogenum. Eng. Life Sci 2004, 4, 276–280. [Google Scholar]
- Holan, ZR; Volesky, B. Accumulation of cadmium, lead and nickel by fungal and wood biosorbents. Appl. Biochem. Biotechl 1995, 53, 133–146. [Google Scholar]
- Skowronski, T; Pirszel, J; Pawlik-Skwronska, B. Heavy metal removal by the waste biomass of Penicillium chrysogenum. Water Pollut. Res. J. Can 2001, 36, 793–803. [Google Scholar]
- Say, R; Yilmaz, N; Denizli, A. Removal of heavy metalions using the fungus Penicillium canescens. Adsorpt. Sci. Technol 2003, 21, 643–650. [Google Scholar]
- Townsley, CC; Ross, IS. Copper uptake by Penicillium spinulosum. Microbes 1985, 44, 125–134. [Google Scholar]
- Ianis, M; Tsekova, K; Vasileva, S. Copper biosorption by Penicillium cyclopium: equilibrium and modelling study. Biotech. Bioeng 2006, 20, 195–201. [Google Scholar]
- Tsezos, M; Volesky, B. Biosorption of uranium and thorium. Biotechnol. Bioeng 1981, 23, 583–604. [Google Scholar]
- Tan, T; Chen, P. Biosorption of metal ions with Penicillium chrysogenum. Appl. Biochem. Biotechnol 2003, 104, 119–128. [Google Scholar]
- Su, H; Wang, Z; Tan, T. Adsorption of Ni2+ on the surface of molecularly imprinted adsorbent from Penicillium chrysogenum mycelium. Biotechnol. Lett 2003, 25, 949–953. [Google Scholar]
- Pazouki, M; Keyanpour-Rad, M; Shafie, S; Shahhoseini, S. Efficiency of Penicillium chrysogenum PTCC 5037 in reducing low concentration of chromium hexavalent in a chromium electroplating plant wastewater. Bioresource Tecnhol 2007, 98, 2116–2122. [Google Scholar]
- Rodriguez, A; Carnicero, A; Perestelo, F; de la Fluente, G; Milstein, O; Falcón, MA. Effect of Penicillium chrysogenum on lignin transformation. Appl. Environ. Microbiol 1994, 60, 2971–2976. [Google Scholar]
- Kirk, TK; Schultz, E; Connors, WJ; Lorenz, LF; Zeikus, JG. Influence of culture parameters on lignin metabolism by Phanerochaete chrysosporium. Arch. Microbiol 1978, 117, 277–285. [Google Scholar]
- Nwodo-Chinedu, S; Okochi, VI; Smith, HA; Okafor, UA; Onyegeme-Okerenta, BM; Omidiji, O. Effect of carbon sources on cellulase (EC 3.2.1.4) production by Penicillium chrysogenum PCL501. Afr. J. Mycol. Biotechnol 2007, 1, 006–010. [Google Scholar]
- Okafor, UA; Emezue, TN; Okochi, VI; Onyegeme-Okerenta, BM; Nwodo-Chinedu, S. Xylanase production by Penicillium chrysogenum (PCL501) fermented on cellulosic wastes. Afr. J. Mycol. Biotechnol 2007, 1, 048–053. [Google Scholar]
- Johnsen, AR; Karlson, U. Diffuse PAH contamination of surface soils: environmental accurrence, bioavailability, and microbial degradation. Appl. Microbiol. Biotechnol 2007, 76, 533–543. [Google Scholar]
- Rogers, JA; Tedaldi, DJ; Kavanaugh, MC. A screening protocol of bioremediation of contaminated soil. Environ. Prog 1993, 12, 146–156. [Google Scholar]
- Hurst, JC; Sims, R; Sims, J; Sorensen, D; McLean, J; Huling, S. Polycyclic aromatic hydrocarbon biodegradation as a function of oxygen concentration in contaminated soil. J. Hazard Mater 1996, 51, 193–208. [Google Scholar]
- Meléndez-Estrada, J; Amezcua-Allieri, MA; Alvarez, PJJ; Rodríguez-Vázquez, R. Phenanthrene removal by Penicillium frequentans grown on a solid-state culture: effect of oxygen concentration. Environ. Technol 2006, 27, 1073–1080. [Google Scholar]
- Mihelcic, JR; Luehing, DR; Mitzell, RJ; Stapleton, JM. Bioavailability of sorbed-and separate-phase chemicals. Biodegradation 1993, 4, 141–153. [Google Scholar]
- Szejtli, J. Cyclodextrin Technology; Kluwer Academic Publisher: Dordrecht, UK, 1988. [Google Scholar]
- Garon, D; Sage, L; Seigle-Murandi, F. Effects of fungal bioaugmentationand cyclodextrin amendment on fluorene degradation in soil slurry. Biodegradation 2004, 15, 1–8. [Google Scholar]
- Keck, J; Sims, C; Coover, M; Park, K; Symons, B. Evidence for cooxidation of ploynuclear aromatic hydrocarbons in soil. Water Res 1989, 23, 1467–1476. [Google Scholar]
- Sutherland, JB. Detoxification of polycyclic aromatic hydrocarbons by fungi. J. Ind. Microbiol 1992, 9, 53–62. [Google Scholar]
- Boonchan, S; Britz, ML; Stanley, GA. Degradation and mineralization of high-molecular-weight polycyclic aromatic hydrocarbons by defined fungal-bacterial cocultures. Appl. Environ. Microbiol 2000, 66, 1007–1019. [Google Scholar]
- Garon, D; Krivobok, S; Wouessidjewe, D; Seigle-Murandi, F. Influence of surfactants on solubilization and fungal degradation of fluorene. Chemosphere 2002, 47, 303–309. [Google Scholar]
- Cerniglia, CE; Sutherland, JB. Bioremediation of polycyclic aromatic hydrocarbons by ligninolytic fungi. In Fungi in Bioremediation; Gadd, GM, Ed.; Cambridge University Press: Cambridge, UK, 2001; pp. 136–187. [Google Scholar]
- Lamar, RT. The role of fungal lignin-degrading enzymes in xenobiotic degradation. Curr. Opin. Biotechnol 1992, 3, 261–266. [Google Scholar]
- Van den Brink, HJ; van Gorcom, RFM; van den Hondel, CAMJJ; Punt, PJ. Cytochrome P450 enzyme systems in fungi. Fungal Genet. Biol 1998, 23, 1–17. [Google Scholar]
- Launen, L; Pinto, L; Wiebe, C; Kiehlmann, E; Moore, M. The oxidation of pyrene and benzo[a]pyrene by nonbasidiomycete soil fungi. Can. J. Microbiol 1995, 41, 477–488. [Google Scholar]
- Wunder, T; Marr, J; Kremer, S; Sterner, O; Anke, H. 1-Methoxypyrene and 1,6-dimethoxypyrene: two novel metabolites in fungal metabolism of polycyclic aromatic hydrocarbons. Arch. Microbiol 1997, 167, 310–316. [Google Scholar]
- Field, JA; de Jong, E; Cost, GF; Bont, JAM. Biodegradation of polycyclic aromatic hydrocarbons by new isolates of white rot fungi. Appl. Environ. Microbiol 1992, 58, 2219–2226. [Google Scholar]
- Launen, L; Pinto, L; Moore, M. Optimization of pyrene oxidation by Penicillium janthinellum using response-surface methodology. Appl. Microbiol. Biotechnol 1999, 51, 510–515. [Google Scholar]
- Sakai, M; Daisuke, Y; Mizusaki, S. Mutagenicity of polycyclic aromatic hydrocarbons on Salmonella typhimurium TA97. Mutat. Res 1985, 86, 61–67. [Google Scholar]
- Saraswathy, A; Hallberg, R. Degradation of pyrene by indigineous fungi from a former gasworks site. FEMS Microbiol. Lett 2002, 210, 227–232. [Google Scholar]
- Saraswathy, A; Hallberg, R. Mycelial pellet formation by Penicillium ochrochloron species due to exposure to pyrene. Microbiol. Res 2005, 160, 375–383. [Google Scholar]
- Ravelet, C; Krivobok, S; Sage, L; Steiman, R. Biodegradation of pyrene by sediment fungi. Chemosphere 2000, 40, 557–563. [Google Scholar]
- Stanley, GA; Britz, LM; Boonchan, S; Juhasz, AL. Detoxification of soils containing high molecular weight polycyclic aromatic hydrocarbons by gram-negative bacteria and bacterial-fungal co-cultures. In Bioremediation of Contaminated Soil; Wise, DL, Debra, JT, Cichon, EJ, Inyang, HI, Stottmeister, U, Eds.; Marcel Dekker: New York, USA, 2000; pp. 409–444. [Google Scholar]
- Sack, U; Gunther, T. Metabolism of PAH by fungi and correlation with extracellular enzymatic activities. J. Basic Microbiol 1993, 33, 269–277. [Google Scholar]
- Kumaran, P; Paruchuri, YL. Kinetics of phenol biotransformation. Water Res 1997, 31, 11–22. [Google Scholar]
- Yang, RE; Humphrey, AE. Dynamic and steady state studies of phenol biodegradation in pure and mixed cultures. Biotechnol. Bioeng 1975, 17, 1211–1235. [Google Scholar]
- Key, BD; Howell, RD; Criddle, CS. Fluorinated organics in the biosphere. Environ. Sci. Technol 1997, 31, 2445–2454. [Google Scholar]
- USEPA, Preliminary remediation goals (PRGs) for Superfund and RCRA programs; 2000; Available online: www.epa.gov/region09/waste/sfund/prg/faq.htm (accessed January 2009).
- Yang, C; Qian, Y; Zhang, L; Feng, J. Solvent extraction process development and on-site trial-plant for phenol removal from industrial coal-gasification wastewater. Chem. Eng. J 2006, 117, 179–185. [Google Scholar]
- Chang, YH; Li, CT; Chang, MC; Shieh, WK. Batch phenol degradation by Candida tropicalis and its fusant. Biotech. Bioeng 1998, 60, 391–395. [Google Scholar]
- Nakhla, GF; Suidan, MT; Pfeffer, JT. Control of anaerobic GAC reactors treating inhibitory wastewaters. J. Water Pollut. Control Fed 1990, 62, 65–72. [Google Scholar]
- Mahamuni, NN; Pandit, AB. Effect of additives on ultrasonic degradation of phenol. Ultrason. Sonochemistry 2006, 13, 165–174. [Google Scholar]
- Bittkau, A; Geyer, R; Bhatt, M; Schlosser, D. Enhancement of the biodegradability of aromatic groundwater contaminants. Toxicology 2004, 205, 201–210. [Google Scholar]
- Oliveira, RTS; Salazar-Banda, GR; Santos, MC; Calegaro, ML; Miwa, DW; Machado, SAS; Avaca, LA. Electrochemical oxidation of benzene on boron-doped diamond electrodes. Chemosphere 2007, 66, 2152–2158. [Google Scholar]
- Azevedo, EB; Aquino de Neto, FR; Dezotti, M. Lumped kinetics and acute toxicity of intermediates in the ozonation of phenol in saline media. J. Hazard. Mat 2006, 128, 182–191. [Google Scholar]
- Singleton, I. Microbial metabolism of xenobiotics: fundamental and applied research. Biotechnol. Bioeng 1994, 50, 709–717. [Google Scholar]
- Scow, KM; Li, D; Manilal, VB; Alexander, M. Mineralization of organic compounds at low concentrations by filamentous fungi. Mycol. Res 1990, 94, 793–798. [Google Scholar]
- Hofrichter, M; Gunther, T; Fritsche, W. Metabolism of phenol, chloro and nitrophenols by the Penicillium strain Bi7/2 isolated from a contaminated soil. Biodegradation 1993, 3, 415–421. [Google Scholar]
- Marr, J; Kremer, S; Sterner, O; Anke, H. Transformation and mineralization of halophenols by Penicillium simplicissimum SK9117. Biodegradation 1996, 7, 165–171. [Google Scholar]
- Leitão, AL; Duarte, MP; Oliveira, JS. Degradation of phenol by a halotolerant strain Penicillium chrysogenum. Int. Biodeter. Biodeg 2007, 59, 220–225. [Google Scholar]
- Leitão, AL. Biodegradation of phenol and resorcinol by a halotolerant Penicillium. In Environmental Biodegradation Research; Wang, BY, Ed.; Nova Science Publishers Inc: New York, USA, 2007; pp. 273–287. [Google Scholar]
- Jones, KH; Trudgill, PW; Hopper, DJ. Evidence of two pathways for the metabolism of phenol by Aspergillus fumigatus. Arch. Microbiol 1995, 163, 176–181. [Google Scholar]
- Hofrichter, M; Bublitz, F; Fritsche, W. Cometabolic degradation of o-cresol and 2,6-dimethylphenol by Penicillium frequentans. J. Basic Microb 1995, 35, 303–313. [Google Scholar]
- Wunderwald, U; Hofrichter, M; Kreisel, G; Fritsche, W. Transformation of difluorinated phenols by Penicillium frequentans Bi 7/2. Biodegradation 1997, 8, 379–385. [Google Scholar]
- Hofrichter, M; Bublitz, F; Fritsche, W. Unspecific degradation of halogenated phenols by the soil fungus Penicillium frequentans Bi 7/2. J. Basic Microbiol 1994, 34, 163–172. [Google Scholar]
- Taseli, BK; Gokcay, CF. Degradation of chorinated compounds by Penicillium camemberti in batch and up-flow column reactors. Process Biochem 2005, 40, 917–923. [Google Scholar]
- Borja, R; Martin, A; Maestro, R; Alba, J; Fiestas, JA. Enhancement the anaerobic digestion of olive oil mill wastewater by the removal of phenolic inhibitiors. Process Biochem 1992, 27, 231–237. [Google Scholar]
- Israilides, CJ; Vlyssides, AG; Mourafeti, VN; Karvouni, G. Olive oil wastewater treatment with the use of an electrolysis system. Biores. Tecnhol 1997, 61, 163–170. [Google Scholar]
- Robles, A; Lucas, R; de Cienfuegos, GA; Galvez, A. Biomass production and detoxification of wastewaters from the olive oil industry by strains of Penicillium isolated from wastewater disposal ponds. Biores. Tecnhol 2000, 74, 217–221. [Google Scholar]
- Jiménez, AM; Borja, R; Martín, A; Raposo, F. Kinetic analysis of the anaerobic digestion of untreated vinasses and vinasses previously treated with Penicillium decumbens. J. Environ. Manage 2006, 80, 303–310. [Google Scholar]
- Jimenez, AM; Borja, R; Martin, A; Raposo, F. Mathematical modelling of aerobic degradation of vinasses with Penicillium decumbens. Process Biochem 2005, 40, 2805–2811. [Google Scholar]
- Organization, I-IC. Brazilian coffee crop: First official estimate for 2009/2010 and fourth final official estimate for 2008/2009. 2009. Available online: http://dev.ico.org/documents/wpcouncil190e.pdf (accessed January 2009).
- Fujii, K; Takeshi, K. Penicillium strains as dominant degraders in soil for coffee residue, a biological waste unsuitable for fertilization. J. Appl. Microbiol 2007, 103, 2713–2720. [Google Scholar]
- Schwimmer, S; Kurtzman, RH. Fungal decafeinization of roast coffee infusions. J. Food Sci 1972, 37, 921–923. [Google Scholar]
- Roussos, S; Hannibal, L; Aquihuatl, MA; Trejo Hernandez, MR; Marakis, S. Caffeine degradation by Penicillium verrucosum in solid state fermentation of coffee pulp: critical effect of additional inorganic and organic nitrogen sources. J. Food Sci. Technol 1994, 31, 316–319. [Google Scholar]
- Roussos, S; Aquihuatl, MA; Trejo Hernandez, MR; Perraud, IG; Favela, E; Ramakrishna, M; Raimbault, M; Viniegra-González, G. Biotechnological management of coffee pulp-isolation, screening, characterization, selection of caffeine-degrading fungi and natural microflora present in coffee pulp and husk. Appl. Microbiol. Biotechnol 1995, 42, 756–762. [Google Scholar]
- Silva, CF; Schwan, RF; Dias, ES; Wheals, AE. Microbial diversity during maturation and natural processing of coffee cherries of Coffea arabica in Brazil. Int. J. Food Microbiol 2000, 60, 251–260. [Google Scholar]




| Biosorbent | Ion | Adsorption capacity (mg/g) | pH | Temperature (°C) | Concentration (mg/L) | Biomass (g/L) | Reference |
|---|---|---|---|---|---|---|---|
| P. simplicissimum | Cd(II) | 52.50 | 5.0 | 28 | 200.0 | 1.0 | [31] |
| P. chrysogenum | Cd(II) | 11.0 | 4–5 | N/A | N/A | N/A | [18] |
| Cd(II) | 56.0 | N/A | N/A | N/A | N/A | [36] | |
| Cd(II) | 21.5 | 6.0 | 21 | N/A | 7.7 | [37] | |
| P. canescens | Cd(II) | 102.7 | 5.0 | N/A | N/A | N/A | [38] |
| P. digitatum | Zn(II) | 9.70 | 5.5 | 25 | 25.0 | 7.0 | [32] |
| P. simplicissimum | Zn(II) | 65.60 | 5.0 | 28 | 250.0 | 1.0 | [31] |
| P. chrysogenum | Zn(II) | 6.5 | 4–5 | N/A | N/A | N/A | [18] |
| Zn(II) | 13.0 | 6.0 | 21 | N/A | 7.7 | [37] | |
| P. spinulosum | Zn(II) | 0.2 | N/A | N/A | N/A | N/A | [39] |
| P. simplicissimum | Pb(II) | 76.90 | 5.0 | 28 | 250.0 | 1.0 | [31] |
| P. chrysogenum | Pb(II) | 116.0 | 4–5 | N/A | N/A | N/A | [18] |
| Pb(II) | 96.0 | 6.0 | 21 | N/A | 7.7 | [37] | |
| P. canescens | Pb(II) | 213.2 | 5.0 | N/A | N/A | N/A | [38] |
| P. chrysogenum | Cu(II) | 11.7 | 6.0 | 21 | N/A | 7.7 | [37] |
| P. cyclopium | Cu(II) | 50.0 | 4.5 | N/A | 150.0 | 1.0 | [40] |
| P. spinulosum | Cu(II) | 0.4–2 | N/A | N/A | N/A | N/A | [39] |
| P. italicum | Cu(II) | N/A | N/A | N/A | N/A | N/A | [33] |
| P. canescens | As(III) | 26.4 | 5.0 | N/A | N/A | N/A | [38] |
| Hg(II) | 54.8 | 5.0 | N/A | N/A | N/A | [38] | |
| P. purpurogenum | Cr(VI) | 36.5 | 6.0 | 20 | 750.0 | N/A | [35] |
| P. chrysogenum | U(VI) | 70.0 | 4–5 | 23 | N/A | N/A | [41] |
| Th(IV) | 142.0 | 4–5 | 23 | N/A | N/A | [41] | |
| P. italicum | Mn(II) | N/A | N/A | N/A | N/A | N/A | [33] |
| Fe(III) | N/A | N/A | N/A | N/A | N/A | [33] | |
| Ni(II) | N/A | N/A | N/A | N/A | N/A | [33] | |
| Co(II) | N/A | N/A | N/A | N/A | N/A | [33] |
| Microorganism | PAHs | Depletion capacity (%) | Duration (days) | Concentration (mg/L) | Reference |
|---|---|---|---|---|---|
| P. canescens | Fluorene | 61 | 2 | 5.0 | [55] |
| P. janczewskii | Fluorene | 79 | 2 | 5.0 | [55] |
| P. montanense | Fluorene | 62 | 2 | 5.0 | [55] |
| P. simplicissimum | Fluorene | 72 | 2 | 5.0 | [55] |
| P. restrictum | Fluorene | 50 | 2 | 5.0 | [55] |
| P. chrysogenum | Fluorene | 28 | 2 | 5.0 | [59] |
| P. italicum | Fluorene | 28.4 | 2 | 5.0 | [59] |
| P. harzianum | Pyrene | 65.0 | 28 | 50.0 | [68] |
| Pyrene | 33.7 | 28 | 100.0 | [68] | |
| P. terrestre | Pyrene | 75.0 | 28 | 50.0 | [68] |
| Pyrene | 67.0 | 28 | 100.0 | [68] | |
| P. ochrochloron | Pyrene | 75.0 | 75 | 50.0 | [69] |
| P. chrysogenum | Pyrene | 18.9 | 2 | 10.0 | [70] |
| P. aurantiogriseum | Pyrene | 21.0 | 2 | 10.0 | [70] |
| P. crustosum | Pyrene | 0.2 | 2 | 10.0 | [70] |
| P. decumbens | Pyrene | 22.2 | 2 | 10.0 | [70] |
| P. griseofulvum | Pyrene | 16.5 | 2 | 10.0 | [70] |
| P. janczewskii | Pyrene | 17.9 | 2 | 10.0 | [70] |
| P. janthinellum | Pyrene | 24.3 | 2 | 10.0 | [70] |
| P. roqueforti | Pyrene | 16.5 | 2 | 10.0 | [70] |
| P. rugulosum | Pyrene | 9.2 | 2 | 10.0 | [70] |
| P. simplicissimum | Pyrene | 24.9 | 2 | 10.0 | [70] |
| P. velutinum | Pyrene | 22.5 | 2 | 10.0 | [70] |
| P. janthinellum | Pyrene | 57.0 | 28 | 50.0 | [68] |
| Pyrene | 31.5 | 28 | 100.0 | [68] | |
| P. janthinellum | Pyrene | 100.0 | 4 | 100.0 | [63] |
| P. janthinellum | Pyrene | 3.3 | 56 | 250.0 | [58] |
| VUO 10,201 | |||||
| Chrysene | 12.2 | 56 | 50.0 | [58] | |
| Benz[a]antracene | 9.1 | 56 | 50.0 | [58] | |
| Dibenz[a,h]anthracene | 12.9 | 56 | 50.0 | [58] | |
| Benz[a]pyrene | 16.9 | 56 | 50.0 | [58] | |
| P. janthinellum | Benz[a]pyrene | 100.0 | 7 | N/A | [63] |
| P. janthinellum | Benz[a]pyrene | 61.0 | 56 | 50.0 | [71] |
| P. frequentans | Phenanthrene | 52.0 | N/A | 200.0 | [52] |
| Penicillium sp. M1 | Phenanthrene | 100.0 | 60 | 50.0 | [72] |
| Fluoranthene | 50.0 | 60 | 50.0 | [72] |
| Microorganism | Phenolic concentration | Degradation rate (%) | Duration (days or hours) | Concentration (mM or mg/L) | Reference |
|---|---|---|---|---|---|
| P. simplicissimum | Phenol | 100 | N/A | 8.5 mM | [87] |
| P. chrysogenum | Phenol | 100 | 100 h | 300 mg/L | [88] |
| P. chrysogenum | Resorcinol | 100 | 120 h | 200 mg/L | [89] |
| P. frequentans Bi 7/2 | 2-Chlorophenol | 100 | 180 h | 0.75 mM | [93] |
| P. simplicissimum | 3-Chlorophenol | 83 | 22 d | 0.5 mM | [87] |
| P. frequentans Bi 7/2 | 3-Chlorophenol | 100 | 37 h | 1.0 mM | [93] |
| P. simplicissimum | 4-Chlorophenol | 100 | 8 d | 0.5 mM | [87] |
| P. frequentans Bi 7/2 | 4-Chlorophenol | 100 | 2 d | 1.4 mM | [93] |
| P. simplicissimum | 2-Fluorophenol | 100 | 4 d | 0.5 mM | [87] |
| P. frequentans Bi 7/2 | 2-Fluorophenol | 100 | 55 h | 2.0 mM | [93] |
| P. simplicissimum | 3-Fluorophenol | 100 | 13 d | 0.5 mM | [87] |
| P. frequentans Bi 7/2 | 3-Fluorophenol | 100 | 25 h | 2.0 mM | [93] |
| P. simplicissimum | 4-Fluorophenol | 100 | 7 d | 0.5 mM | [87] |
| P. frequentans Bi 7/2 | 4-Fluorophenol | 100 | 18 h | 2.0 mM | [93] |
| P. simplicissimum | 4-Bromophenol | 90 | 28 d | 0.5 mM | [87] |
| P. frequentans Bi 7/2 | 3,4-Dichlorophenol | 100 | 75 h | 30 mg/L | [93] |
| P. frequentans Bi 7/2 | 2,4-Dichlorophenol | 82 | 180 h | 30 mg/L | [93] |
© 2009 by the authors; licensee Molecular Diversity Preservation International, Basel, Switzerland. This article is an open-access article distributed under the terms and conditions of the Creative Commons Attribution license (http://creativecommons.org/licenses/by/3.0/).
Share and Cite
Leitão, A.L. Potential of Penicillium Species in the Bioremediation Field. Int. J. Environ. Res. Public Health 2009, 6, 1393-1417. https://doi.org/10.3390/ijerph6041393
Leitão AL. Potential of Penicillium Species in the Bioremediation Field. International Journal of Environmental Research and Public Health. 2009; 6(4):1393-1417. https://doi.org/10.3390/ijerph6041393
Chicago/Turabian StyleLeitão, Ana Lúcia. 2009. "Potential of Penicillium Species in the Bioremediation Field" International Journal of Environmental Research and Public Health 6, no. 4: 1393-1417. https://doi.org/10.3390/ijerph6041393
APA StyleLeitão, A. L. (2009). Potential of Penicillium Species in the Bioremediation Field. International Journal of Environmental Research and Public Health, 6(4), 1393-1417. https://doi.org/10.3390/ijerph6041393