Biomarkers of Oxidative Stress and Heavy Metal Levels as Indicators of Environmental Pollution in African Cat Fish (Clarias gariepinus) from Nigeria Ogun River
Abstract
:Introduction
Materials and methods
Fish
Determination of heavy metals in the tissues
Total Protein Estimation
Assay of Glutathione and Glutathione S-transferase
Assay of Antioxidant Enzymes
Determination of Malondialdehyde (MDA)
Statistics
Results
Heavy Metal Levels
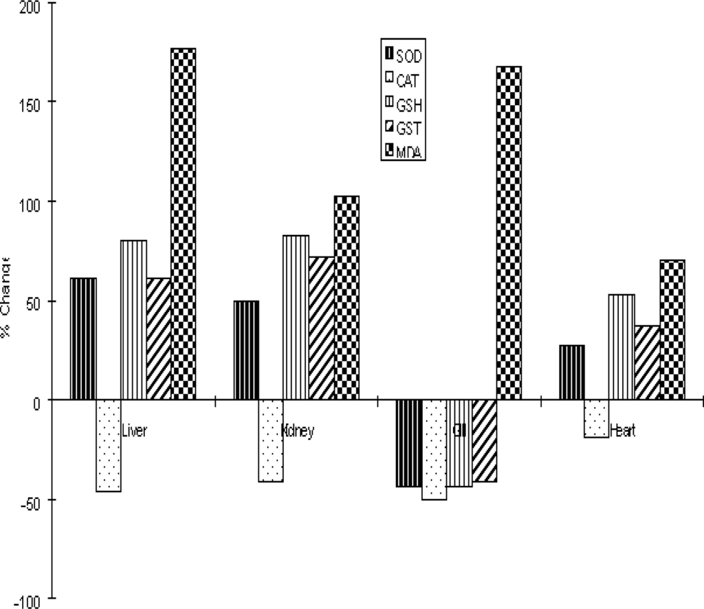
Antioxidant and Detoxification Enzymes Activities
Glutathione Level
Lipid Peroxidation
Discussion
Conclusion






| Heavy Metals | Organs of fish | |||
|---|---|---|---|---|
| Heart | Gills | Kidney | Liver | |
| Zn (ppm) | ||||
| Control | 0.3 ± 0.01 | 0.40± 0.02 | 0.80 ± 0.01 | 0.9± 0.01 |
| Test sample | 8.96 ± 0.90* | 20.35 ± 0.98* | 19.05 ± 2.34* | 19.75 ± 1.87* |
| % Change | 2886 | 4987 | 2281 | 2094 |
| Pb (ppm) | ||||
| Control | ND | 0.02± 0.01 | 0.03± 0.01 | 0.06± 0.02 |
| Test sample | 1.69 ± 0.96 | 2.40 ± 0.55* | 3.35 ± 0.38* | 3.40 ±0.72* |
| % Change | - | 11900 | 11066 | 5566 |
| Cu (ppm) | ||||
| Control | 0.09± 0.02 | 0.13±0.01 | 0.15± 0.01 | 0.18± 0.02 |
| Test sample | 2.19 ± 0.33* | 4.55 ± 0.54* | 5.0 ± 0.50* | 4.70 ± 0.60* |
| % Change | 2333 | 3400 | 3233 | 2511 |
| Cd (ppm) | ||||
| Control | ND | ND | ND | 0.01 |
| Test sample | 0.25 ± 0.13 | 2.05 ± 0.48 | 0.69 ± 0.43 | 2.10 ± 0.58 |
| % Change | - | - | - | 20900* |
| As (ppm) | ||||
| Control | ND | ND | ND | ND |
| Test sample | 1.0 ± 0.1 | 1.95 ± 0.82 | 2.30 ± 0.0.86 | 2.15 ± 0.42 |
| % Change | - | - | - | - |
References
- Wang, WX. Interaction of trace metals and different marine food chains. Mar Ecol Prog Ser 2002, 243, 295–309. [Google Scholar]
- Dautremepuits, C; Paris-Palacios, S; Betoulle, S; Vernet, G. Modulation in hepatic and head kidney parameters of carp (Cyprinus carpio L.) induced by copper and chitosan. Comp Biochem Physiol C Toxicol Pharmacol 2004, 137, 325–33. [Google Scholar]
- Kalay, M; Ay, P; Canil, M. Heavy metal concentration in fish tissues from the northeast Meditereansea. Bull Environ. Contam. Toxicol 1999, 63, 673–671. [Google Scholar]
- Ashraf, W. Accumulation of heavy metals in kidney and heart tissues of Epinephelus microdon fish from the Arabian Gulf. Environ Monit Assess 2005, 101, 311. [Google Scholar]
- Alinnor, IJ. Assessment of elemental contaminants in water and fish samples from Aba River. Environ Monit Assess 2005, 102, 15–25. [Google Scholar]
- Oladimeji, AA. Impacts of Oil Pollution on Nigerian Fishing Industry. Nigerian Journal of Applied Fisheries and Hydrology 1987, 2, 81–90. [Google Scholar]
- Lopes, PA; Pinheiro, T; Santos, MC; da Luz Mathias, M; Collares-Pereira, MJ; Viegas-Crespo, AM. Response of antioxidant enzymes in freshwater fish populations (Leuciscus alburnoides complex) to inorganic pollutants exposure. Sci Total Environ 2001, 280, 153–63. [Google Scholar]
- Tjalkens, RB; Valerio, LG, Jr; Awasthi, YC; Petersen, DR. Association of glutathione S-transferase isozyme-specific induction and lipid peroxidation in two inbred strains of mice subjected to chronic dietary iron overload. Toxicol Appl Pharmacol 1998, 151, 174–81. [Google Scholar]
- Olaifa, FG; Olaifa, AK; Onwude, TE. Lethal and sub lethal effects of copper to the African Cat fish (Clarias gariepinus). African. J. Biomed. Research 2004, 7, 65–70. [Google Scholar]
- Lowry, OH; Rosenbrough, NM; Farr, AL; Randall, RJ. Protein measurement with Folin phenol reagent. J. Biol Chem 1951, 193, 265. [Google Scholar]
- Jollow, DJ; Michell, JR; Zampaglione, N; Gillete, JR. Bromobenzene induced liver Necrosis: Protective role of GSH and evidence for 3, 4 -Bromobenzene oxide as the Hepatotoxic metabolite. Pharmacology 1974, 11, 151–169. [Google Scholar]
- Habig, WH; Pabst, MJ; Jacoby, WB. Glutathione-S-transferases. The first enzymatic step in mercapturic acid formation. J. Biol. Chem 1974, 249, 7130–7139. [Google Scholar]
- Magwere, T; Naik, YS; Hasler, JA. Effect of chloroquine treatment on antioxidant enzymes in rat liver and kidney. Free Rad. Biol. Med 1997, 22, 321–327. [Google Scholar]
- Clairborne, A. Catalase activity. In Handbook of methods for oxygen Radical Research; Greewald, AR, Ed.; CRC Press: Florida, 1995; pp. 237–242. [Google Scholar]
- Farombi, EO; Tahnteng, JG; Agboola, O; Nwankwo, JO; Emerole, GO. Chemoprevention of 2-acetyl aminofluorene-induced hepatotoxicity and lipid peroxidation in rats by kolaviron- A Garcinia kola seed extract. Food Chem. Toxicol 2000, 38, 535–541. [Google Scholar]
- Buege, JA; Aust, SD. Microsomal lipid peroxidation. Methods Enzymol 1978, 52, 302–310. [Google Scholar]
- Nauen, CE. Compilation of legal limits for hazardous substance in fishes; Circ no 764; FAO: Rome, Italy, 1983. [Google Scholar]
- UNEP. Assessment of the present state of pollution by Cadmium, Copper, Zinc and Lead in the Mediterranean Sea; Document UNEP/WG. 144/11; Athen; UNEP, 1986. [Google Scholar]
- WHO. Cadmium. In Environmental Health Criteria; Geneva; WHO, 1992; Volume 134. [Google Scholar]
- WHO. Inorganic lead. In Environmental Health Criteria; Geneva; WHO, 1992; Volume 165. [Google Scholar]
- Chinni, S; Yallapragda, R. Toxicity of copper, cadmium, zinc and lead to penaeus indicus postlarvae: Effects of individual metals. J. Environmental Biol 2000, 21, 255–258. [Google Scholar]
- Ibok, UJ; Udosen, ED; Udoidiong, OM. Heavy metals in fishes from some streams in Ikot Ekpene area of Nigeria. Nig. J. Tech. Res 1989, 1, 61–68. [Google Scholar]
- Nwaedozie, JM. The determination of heavy metal pollutants in fish samples from River Kaduna. J. Chem. Soc. Nigeria 1998, 23, 21–23. [Google Scholar]
- Bebianno, MJ; Geret, F; Hoarau, P; Serafim, MA; Coelho, MR; Gnassia-Barelli, M; Romeo, M. Biomarkers in Ruditapes decussatus: a potential bioindicator species. Biomarkers 2004, 9, 305–30. [Google Scholar]
- Sehgal, R; Saxena, AB. Toxicity of zinc to a viviparous fish, Lebistes reticulatus (Peters). Bull Environ Contam Toxicol 1986, 36, 888–94. [Google Scholar]
- Viana, F; Huertas, R; Danulat, E. Heavy metal levels in fish from coastal waters of Uruguay. Arch Environ Contam Toxicol 2005, 48, 530–7. [Google Scholar]
- Jaffar, J; Pervaiz, S. Investigation of multiorgan heavy metal trace metal content of meat of selected dairy, poultry, fowl and fish species in Pakistan. J. Sci Ind Res 1989, 32, 175–177. [Google Scholar]
- Kendrick, MH; Moy, MT; Plishka, MJ; Robinson, KD. Metals and biological systems; Ellis Horwood Ltd.: Chichester, UK, 1992. [Google Scholar]
- Vinikour, WS; Goldstein, RM; Anderson, RV. Bio-concentration patterns of Zn, Cu, Cd and Pb in selected fish species from the toxic river, Illinois. Bull. Environ. Contam. Toxciol 1980, 25, 727–734. [Google Scholar]
- Luckey, TD; Venugopal, B. pT, a new classification system for toxic compounds. J Toxicol Environ Health 1977, 2, 633–8. [Google Scholar]
- Kargin, F; Cogun, HY. Metal interactions during accumulation and elimination of Zinc and cadmium in tissues of the fish water fish, Tilapia nilonitica. Bull Environ. Contam. Toxicol 1999, 63, 511–519. [Google Scholar]
- Babji, AS; Embong, MS; Woon, WW. Heavy metal contents in coastal water fishes of West Malaysia. Bull Environ Contam Toxicol 1979, 23, 830–6. [Google Scholar]
- Kappus, H. Oxidative stress in chemical toxicity. Arch Toxicol 1987, 60, 144–9. [Google Scholar]
- Pandey, S; Parvez, S; Sayeed, I; Haque, R; Bin-Hafeez, B; Raisuddin, S. Biomarkers of oxidative stress: a comparative study of river Yamuna fish Wallago attu (Bl. & Schn.). Sci Total Environ 2003, 309, 105–15. [Google Scholar]
- McCord, JM. Effects of positive iron status at a cellular level. Nutr Rev 1996, 54, 85–8. [Google Scholar]
- Kadar, E; Costa, V; Santos, RS. Distribution of micro-essential (Fe, Cu, Zn) and toxic (Hg) metals in tissues of two nutritionally distinct hydrothermal shrimps. Sci Total Environ 2005, 65–70. [Google Scholar]
- Gul, S; Belge-Kurutas, E; Yildiz, E; Sahan, A; Doran, F. Pollution correlated modifications of liver antioxidant systems and histopathology of fish (Cyprinidae) living in Seyhan Dam Lake, Turkey. Environ Int 2004, 30, 605–9. [Google Scholar]
- Kono, Y; Fridovich, I. Superoxide radical inhibits catalase. J. Biol. Chem 1982, 257, 5751–4. [Google Scholar]
- Stanic, B; Andric, N; Zoric, S; Grubor-Lajsic, G; Kovacevic, R. Assessing pollution in the Danube River near Novi Sad (Serbia) using several biomarkers in sterlet (Acipenser ruthenus L.). Ecotoxicol Environ Safety 2005. [Google Scholar]
© 2007 MDPI All rights reserved.
Share and Cite
Farombi, E.O.; Adelowo, O.A.; Ajimoko, Y.R. Biomarkers of Oxidative Stress and Heavy Metal Levels as Indicators of Environmental Pollution in African Cat Fish (Clarias gariepinus) from Nigeria Ogun River. Int. J. Environ. Res. Public Health 2007, 4, 158-165. https://doi.org/10.3390/ijerph2007040011
Farombi EO, Adelowo OA, Ajimoko YR. Biomarkers of Oxidative Stress and Heavy Metal Levels as Indicators of Environmental Pollution in African Cat Fish (Clarias gariepinus) from Nigeria Ogun River. International Journal of Environmental Research and Public Health. 2007; 4(2):158-165. https://doi.org/10.3390/ijerph2007040011
Chicago/Turabian StyleFarombi, E. O., O. A. Adelowo, and Y. R. Ajimoko. 2007. "Biomarkers of Oxidative Stress and Heavy Metal Levels as Indicators of Environmental Pollution in African Cat Fish (Clarias gariepinus) from Nigeria Ogun River" International Journal of Environmental Research and Public Health 4, no. 2: 158-165. https://doi.org/10.3390/ijerph2007040011
APA StyleFarombi, E. O., Adelowo, O. A., & Ajimoko, Y. R. (2007). Biomarkers of Oxidative Stress and Heavy Metal Levels as Indicators of Environmental Pollution in African Cat Fish (Clarias gariepinus) from Nigeria Ogun River. International Journal of Environmental Research and Public Health, 4(2), 158-165. https://doi.org/10.3390/ijerph2007040011
