Effect of Prehabilitation on the 6-Minute Walk Test and Length of Hospital Stay in Frail Older People: A Meta-Analysis of Randomized Controlled Trials
Abstract
1. Introduction
2. Materials and Methods
2.1. Search Strategy and Selection Criteria
2.2. Study Identification and Data Extraction
2.3. Risk of Bias
2.4. Data Analysis
2.5. Grading of Recommendations Assessment, Development, and Evaluation (GRADE)
3. Results
3.1. Study Identification
3.2. Characteristics of the Included Studies
3.3. Risk of Bias
3.4. Grading of the Quality of Evidence
3.5. Data Synthesis
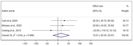
Meta-Analysis
3.6. Sensitivity Analysis
3.7. Publication Bias
4. Discussion
5. Conclusions
Author Contributions
Funding
Institutional Review Board Statement
Informed Consent Statement
Data Availability Statement
Conflicts of Interest
Abbreviations
| ES | Effect size |
| LOS | Length of hospital stay |
| 6-MWT | 6 min walk test |
| SUCRA | Surface under the cumulative ranking |
Appendix A
Appendix A.1
| Section/Topic | Item | Checklist Item | Reported on Page |
|---|---|---|---|
| TITLE | |||
| Title | 1 | Identify the report as a systematic review incorporating a network meta-analysis (or related form of meta-analysis). | 1 |
| ABSTRACT | |||
| Structured summary | 2 | Provide a structured summary including the following, as applicable: Background: Main objectives. Methods: Data sources; study eligibility criteria, participants, and interventions; study appraisal; and synthesis methods, such as network meta-analysis. Results: Number of studies and participants identified; summary estimates with corresponding confidence/credible intervals; and treatment rankings may also be discussed. Authors may choose to summarize pairwise comparisons against a chosen treatment included in their analyses for brevity. Discussion/Conclusions: Limitations; conclusions; and implications of findings. Other: Primary source of funding; systematic review registration number with registry name. | 2 |
| INTRODUCTION | |||
| Rationale | 3 | Describe the rationale for the review in the context of what is already known, including mention of why a network meta-analysis has been conducted. | 3 |
| Objectives | 4 | Provide an explicit statement of questions being addressed, with reference to participants, interventions, comparisons, outcomes, and study design (PICOS). | 3 |
| METHODS | |||
| Protocol and registration | 5 | Indicate whether a review protocol exists and if and where it can be accessed (e.g., Web address); and, if available, provide registration information, including registration number. | 4 |
| Eligibility criteria | 6 | Specify study characteristics (e.g., PICOS, length of follow-up) and report characteristics (e.g., years considered, language, and publication status) used as criteria for eligibility, giving rationale. Clearly describe eligible treatments included in the treatment network and note whether any have been clustered or merged into the same node (with justification). | 4 |
| Information sources | 7 | Describe all information sources (e.g., databases with dates of coverage, contact with study authors to identify additional studies) in the search and date last searched. | 4 |
| Search | 8 | Present full electronic search strategy for at least one database, including any limits used, such that it could be repeated. | 4 and Table A2 |
| Study selection | 9 | State the process for selecting studies (i.e., screening, eligibility, included in systematic review, and, if applicable, included in the meta-analysis). | 4 |
| Data collection process | 10 | Describe method of data extraction from reports (e.g., piloted forms, independently, and in duplicate) and any processes for obtaining and confirming data from investigators. | 4, 5 |
| Data items | 11 | List and define all variables for which data were sought (e.g., PICOS, funding sources) and any assumptions and simplifications made. | 4 |
| Geometry of the network | S1 | Describe methods used to explore the geometry of the treatment network under study and potential biases related to it. This should include how the evidence base has been graphically summarized for presentation and what characteristics were compiled and used to describe the evidence base to readers. | 5,6 |
| Risk of bias within individual studies | 12 | Describe methods used for assessing risk of bias of individual studies (including specification of whether this was performed at the study or outcome level) and how this information is to be used in any data synthesis. | 5 |
| Summary measures | 13 | State the principal summary measures (e.g., risk ratio, difference in means). Also describe the use of additional summary measures assessed, such as treatment rankings and surface under the cumulative ranking curve (SUCRA) values, as well as modified approaches used to present summary findings from meta-analyses. | 6, 7 |
| Planned methods of analysis | 14 | Describe the methods of handling data and combining results of studies for each network meta-analysis. This should include, but not be limited to:
| 7 |
| Assessment of inconsistency | S2 | Describe the statistical methods used to evaluate the agreement of direct and indirect evidence in the treatment network(s) studied. Describe efforts taken to address its presence when found. | 6, 7 |
| Risk of bias across studies | 15 | Specify any assessment of risk of bias that may affect the cumulative evidence (e.g., publication bias, selective reporting within studies). | 7 |
| Additional analyses | 16 | Describe methods of additional analyses if performed, indicating which were prespecified. This may include, but not be limited to, the following:
| 6, 7 |
| RESULTS | |||
| Study selection | 17 | Give numbers of studies screened, assessed for eligibility, and included in the review, with reasons for exclusions at each stage, ideally with a flow diagram. | and Figure |
| Presentation of network structure | S3 | Provide a network graph of the included studies to enable visualization of the geometry of the treatment network. | Figures |
| Summary of network geometry | S4 | Provide a brief overview of characteristics of the treatment network. This may include commentary on the abundance of trials and randomized patients for the different interventions and pairwise comparisons in the network, gaps of evidence in the treatment network, and potential biases reflected by the network structure. | 7 |
| Study characteristics | 18 | For each study, present characteristics for which data were extracted (e.g., study size, PICOS, and follow-up period) and provide the citations. | Table 1 and Appendix Tables |
| Risk of bias within studies | 19 | Present data on risk of bias for each study and, if available, any outcome level assessment. | 7 |
| Results of individual studies | 20 | For all outcomes considered (benefits or harms), present for each study (1) simple summary data for each intervention group and (2) effect estimates and confidence intervals. Modified approaches may be needed to deal with information from larger networks. | and figure and Appendex Material |
| Synthesis of results | 21 | Present results of each meta-analysis performed, including confidence/credible intervals. In larger networks, authors may focus on comparisons versus a particular comparator (e.g., placebo or standard care), with full findings presented in an appendix. League tables and forest plots may be considered to summarize pairwise comparisons. If additional summary measures were explored (such as treatment rankings), these should also be presented. | Appendix tables |
| Exploration for inconsistency | S5 | Describe results from investigations of inconsistency. This may include such information as measures of model fit to compare consistency and inconsistency models, P values from statistical tests, or summary of inconsistency estimates from different parts of the treatment network. | Appendix Table |
| Risk of bias across studies | 22 | Present results of any assessment of risk of bias across studies for the evidence base being studied. | 7 |
| Results of additional analyses | 23 | Give results of additional analyses, if performed (e.g., sensitivity or subgroup analyses, meta-regression analyses, alternative network geometries studied, alternative choice of prior distributions for Bayesian analyses, and so forth). | 9 |
| DISCUSSION | |||
| Summary of evidence | 24 | Summarize the main findings, including the strength of evidence for each main outcome; consider their relevance to key groups (e.g., healthcare providers, users, and policymakers). | 9 |
| Limitations | 25 | Discuss limitations at study and outcome level (e.g., risk of bias) and at review level (e.g., incomplete retrieval of identified research, reporting bias). Comment on the validity of the assumptions, such as transitivity and consistency. Comment on any concerns regarding network geometry (e.g., avoidance of certain comparisons). | 10 |
| Conclusions | 26 | Provide a general interpretation of the results in the context of other evidence and implications for future research. | 11 |
| FUNDING | |||
| Funding | 27 | Describe sources of funding for the systematic review and other support (e.g., supply of data); the role of funders for the systematic review. This should also include information regarding whether funding has been received from manufacturers of treatments in the network and/or whether some of the authors are content experts with professional conflicts of interest that could affect use of treatments in the network. | No funding |
Appendix A.2
| Pubmed | WOS | Cochrane Central |
|---|---|---|
| (“home-based” OR “preoperative prehabilitation” OR “preoperative exercise” OR “preoperative therapeutic”) AND (“comorbidities” OR “postoperative complications” OR mortality) AND (trial) | TS=((“home-based” OR “preoperative prehabilitation” OR “preoperative exercise” OR “preoperative therapeutic”) AND (“comorbidities” OR “postoperative complications” OR mortality) AND (trial)) | (“home-based” OR “preoperative prehabilitation” OR “preoperative exercise” OR “preoperative therapeutic”) AND (“comorbidities” OR “postoperative complications” OR mortality) AND (trial) |
Appendix A.3
| Groningen Frailty Indicator (GFI) | Clinical Frailty Scale (CFS) | Fried Frailty Index (FFI) | Frailty Index Identification of Seniors at Risk (ISAR) |
|---|---|---|---|
| The GFI is validated, with 15 items divided by 4 main domains (physical, cognitive, social, and psychological); the GFI scores between 0 and 15. People with scores of 4 and above are considered frail. | The CFS was introduced in the second clinical examination of the Canadian Study of Health and Aging (CSHA) as a way to summarize the overall level of fitness or frailty of an older adult after they had been evaluated by an experienced clinician. | The Fried frailty phenotype (FP) assesses physical frailty through five criteria: unintentional weight loss; weakness or poor handgrip strength; self-reported exhaustion; slow walking speed; and low physical activity. | It consists of six items that assess the presence or absence of risk factors for adverse outcomes after an emergency department visit. This tool predicts recurrent emergency visits, hospital admissions, functional decline, and long-term care facility admission at 30 and 180 days after the visit, and it correlates with functional dependence and depression. |
Appendix A.4
| Certainty Assessment | n of Participants | Effect | |||||||
|---|---|---|---|---|---|---|---|---|---|
| № of Studies | Study Design | Risk of Bias | Inconsistency | Indirectness | Imprecision | Intervention | Control | Relative (95% CI) | Importance |
| 6-MWT (T1) | |||||||||
| 3 | randomized trials | not serious | not serious | not serious | serious | 80/161 | 81/161 | MD 9.71 (−38.92;58.36) | IMPORTANT |
| 6-MWT (T2) | |||||||||
| 2 | randomized trials | not serious | serious a | not serious | serious b | 70/140 | 70/140 | MD -3.27 (−71.21;64.65) | CRITICAL |
| 6-MWT (T3) | |||||||||
| 3 | randomized trials | not serious | not serious | not serious | serious | 164/322 | 158/322 | MD 15.01 (−22.05;52.073) | IMPORTANT |
Appendix A.5
| Certainty Assessment | n of Participants | Effect | |||||||
|---|---|---|---|---|---|---|---|---|---|
| № of Studies | Study Design | Risk of bias | Inconsistency | Indirectness | Imprecision | Intervention | Control | Relative (95% CI) | Importance |
| 4 | randomized trials | not serious | not serious | not serious | serious | 192/379 | 187/379 | MD −0.46 (−0.96;0.03) | IMPORTANT |
Appendix A.6
| T1–T2 | |||
|---|---|---|---|
| Reference | ES | LL | UL |
| Carli et al., 2020 [29] | 11.130 | −72.600 | 94.860 |
| Hoogeboom et al., 2010 [30] | 11.103 | −40.199 | 62.407 |
| Oosting et al., 2012 [26] | 7.464 | −48.200 | 63.129 |
| T1–T3 | |||
| Reference | ES | LL | UL |
| Carli et al., 2020 [29] | 5.730 | −42.830 | 54.290 |
| McIsaac et al., 2022 [31] | 7.116 | −50.618 | 64.852 |
| Oosting et al., 2012 [26] | 25.398 | −15.554 | 66.351 |
Appendix A.7
Appendix B
Appendix B.1
Appendix B.2

Appendix B.3

Appendix B.4

References
- Bergman, H.; Ferrucci, L.; Guralnik, J.; Hogan, D.B.; Hummel, S.; Karunananthan, S.; Wolfson, C. Frailty: An emerging research and clinical paradigm–issues and controversies. J. Gerontol. A Biol. Sci. Med. Sci. 2007, 62, 731–737. [Google Scholar] [CrossRef] [PubMed]
- Rodríguez-Mañas, L.; Féart, C.; Mann, G.; Viña, J.; Chatterji, S.; Chodzko-Zajko, W.; Gonzalez-Colaço Harmand, M.; Bergman, H.; Carcaillon, L.; Nicholson, C.; et al. Searching for an operational definition of frailty: A Delphi method based consensus statement: The frailty operative definition-consensus conference project. J. Gerontol. A Biol. Sci. Med. Sci. 2013, 68, 62–67. [Google Scholar] [CrossRef] [PubMed]
- Cancer Society. Canadian Cancer Society’s Advisory Committee on Cancer Statistics: Canadian Cancer Statistics 2013; Cancer Society: Toronto, ON, Canada, 2013; p. 15. [Google Scholar]
- Carter, B.; Law, J.; Hewitt, J.; Parmar, K.L.; Boyle, J.M.; Casey, P.; Maitra, I.; Pearce, L.; Moug, S.J.; Ross, B.; et al. Association between preadmission frailty and care level at discharge in older adults undergoing emergency laparotomy. Br. J. Surg. 2020, 107, 218–226. [Google Scholar] [CrossRef] [PubMed]
- Takeda, T.; Sasaki, T.; Suzumori, C.; Mie, T.; Furukawa, T.; Yamada, Y.; Kasuga, A.; Matsuyama, M.; Ozaka, M.; Sasahira, N. The impact of cachexia and sarcopenia in elderly pancreatic cancer patients receiving palliative chemotherapy. Int. J. Clin. Oncol. 2021, 26, 1293–1303. [Google Scholar] [CrossRef]
- Silver, J.K.; Baima, J. Cancer prehabilitation: An opportunity to decrease treatment-related morbidity, increase cancer treatment options, and improve physical and psychological health outcomes. Am. J. Phys. Med. Rehabil. 2013, 92, 715–727. [Google Scholar] [CrossRef]
- Christensen, T.; Bendix, T.; Kehlet, H. Fatigue and cardiorespiratory function following abdominal surgery. Br. J. Surg. 1982, 69, 417–419. [Google Scholar] [CrossRef]
- Anic, K.; Flohr, F.; Schmidt, M.W.; Krajnak, S.; Schwab, R.; Schmidt, M.; Westphalen, C.; Eichelsbacher, C.; Ruckes, C.; Brenner, W.; et al. Frailty assessment tools predict perioperative outcome in elderly patients with endometrial cancer better than age or BMI alone: A retrospective observational cohort study. J. Cancer Res. Clin. Oncol. 2022, 149, 1551–1560. [Google Scholar] [CrossRef]
- Cheema, F.N.; Abraham, N.S.; Berger, D.H.; Albo, D.; Taffet, G.E.; Naik, A.D. Novel approaches to perioperative assessment and Intervention may improve long-term outcomes after colorectal cancer resection in older adults. Ann. Surg. 2011, 253, 867–874. [Google Scholar] [CrossRef]
- Garcia, M.V.; Agar, M.R.; Soo, W.K.; To, T.; Phillips, J.L. Screening tools for identifying older adults with cancer who may benefit from a geriatric assessment: A systematic review. JAMA Oncol. 2021, 7, 616–627. [Google Scholar] [CrossRef]
- Carli, F.; Baldini, G. From preoperative assessment to preoperative optimization of frail older patients. Eur. J. Surg. Oncol. 2021, 47, 519–523. [Google Scholar] [CrossRef]
- Li, C.; Carli, F.; Lee, L.; Charlebois, P.; Stein, B.; Liberman, A.S.; Kaneva, P.; Augustin, B.; Wongyingsinn, M.; Gamsa, A.; et al. Impact of a trimodal prehabilitation program on functional recovery after colorectal cancer surgery: A pilot study. Surg. Endosc. 2013, 27, 1072–1082. [Google Scholar] [CrossRef]
- Gillis, C.; Li, C.; Lee, L.; Awasthi, R.; Augustin, B.; Gamsa, A.; Liberman, A.S.; Stein, B.; Charlebois, P.; Feldman, L.S.; et al. Prehabilitation versus rehabilitation: A randomized control trial in patients undergoing colorectal resection for cancer. Anesthesiology 2014, 121, 937–947. [Google Scholar] [CrossRef] [PubMed]
- Wilson, R.J.; Davies, S.; Yates, D.; Redman, J.; Stone, M. Impaired functional capacity is associated with all-cause mortality after major elective intra-abdominal surgery. Br. J. Anaesth. 2010, 105, 297–303. [Google Scholar] [CrossRef] [PubMed]
- Robinson, N.; Daniel, W.; Pointer, L.; Dunn, C.; Cleveland, J.; Moss, M. Simple frailty score predicts postoperative complications across surgical specialities. Am. J. Surg. 2013, 206, 544–550. [Google Scholar]
- Lawson, E.H.; Wang, X.; Cohen, M.E.; Hall, B.L.; Tanzman, H.; Ko, C.Y. Morbidity mortality after colorectal procedures: Comparison of data from the American College of Surgeons case log system the, ACS NSQIP. J. Am. Coll. Surg. 2011, 212, 1077–1085. [Google Scholar]
- Mouch, C.A.; Kenney, B.C.; Lorch, S.; Montgomery, J.R.; Gonzalez-Walker, M.; Bishop, K.; Palazzolo, W.C.; Sullivan, J.A.; Wang, S.C.; Englesbe, M.J. Statewide Prehabilitation Program and Epi-so de Payment in Medicare Beneficiaries. J. Am. Coll. Surg. 2020, 230, 306–313.e306. [Google Scholar] [CrossRef]
- Wang, B.; Shelat, V.G.; Chow, J.J.L.; Huey, T.C.W.; Low, J.K.; Woon, W.W.L.; Junnarkar, S.P. Prehabilitation Program Improves Outcomes of Patients Undergoing Elective Liver Resection. J. Surg. Res. 2020, 251, 119–125. [Google Scholar] [CrossRef]
- Nakajima, H.; Yokoyama, Y.; Inoue, T.; Nagaya, M.; Mizuno, Y.; Kadono, I.; Nishiwaki, K.; Nishida, Y.; Nagino, M. Clinical benefit of preoperative exercise and nutritional therapy for patients undergoing hepato-pancreato-biliary surgeries for malignancy. Ann. Surg. Oncol. 2019, 26, 264–272. [Google Scholar] [CrossRef]
- Bousquet-Dion, G.; Awasthi, R.; Loiselle, S.E.; Minnella, E.M.; Agnihotram, R.V.; Bergdahl, A.; Carli, F.; Scheede-Bergdahl, C. Evaluation of supervised multimodal prehabilitation programme in cancer patients undergoing colorectal resection: A randomized control trial. Acta Oncol. 2018, 57, 849–859. [Google Scholar] [CrossRef]
- Higgins, J.P.T.; Thomas, J.; Chandler, J.; Cumpston, M.; Li, T.; Page, M.J.; Welch, V.A. (Eds.) Cochrane Handbook for Systematic Reviews of Interventions Version 6.1; Cochrane: Singapore, 2020. [Google Scholar]
- Moher, D.; Liberati, A.; Tetzlaff, J.; Altman, D.G.; Prisma Group. Preferred reporting items for systematic reviews and meta-analyses: The PRISMA statement. PLoS Med. 2009, 6, e1000097. [Google Scholar] [CrossRef]
- Sterne, J.A.C.; Savović, J.; Page, M.J.; Elbers, R.G.; Blencowe, N.S.; Boutron, I.; Cates, C.J.; Cheng, H.Y.; Corbett, M.S.; Eldridge, S.M.; et al. RoB 2: A revised tool for assessing risk of bias in randomized trials. BMJ 2019, 366, l4898. [Google Scholar] [CrossRef] [PubMed]
- DerSimonian, R.; Laird, N. Meta-analysis in clinical trials revisited. Contemp. Clin. Trials. 2015, 45 Pt A, 139–145. [Google Scholar] [CrossRef] [PubMed]
- Cohen, J. Statistical Power Analysis for the Behavioral Sciences, 2nd ed.; Lawrence Erlbaum Associates: Mahwah, NJ, USA, 1988. [Google Scholar]
- Oosting, E.; Jans, M.P.; Dronkers, J.J.; Naber, R.H.; Dronkers-Landman, C.M.; Appelman-de Vries, S.M.; van Meeteren, N.L. Preoperative home-based physical therapy versus usual care to improve functional health of frail older adults scheduled for elective total hip arthroplasty: A pilot randomized controlled trial. Arch. Phys. Med. Rehabil. 2012, 93, 610–616. [Google Scholar] [CrossRef] [PubMed]
- Guyatt, G.; Oxman, A.D.; Akl, E.A.; Kunz, R.; Vist, G.; Brozek, J.; Norris, S.; Falck-Ytter, Y.; Glasziou, P.; DeBeer, H.; et al. GRADE guidelines: 1. Introduction-GRADE evidence profiles and summary of findings tables. J. Clin. Epidemiol. 2011, 64, 383–394. [Google Scholar] [CrossRef]
- Berkel, A.E.M.; Bongers, B.C.; Kotte, H.; Weltevreden, P.; de Jongh, F.H.C.; Eijsvogel, M.M.M.; Wymenga, M.; Bigirwamungu-Bargeman, M.; Van Der Palen, J.; Van Det, M.J.; et al. Effects of community-based exercise prehabilitation for patients scheduled for colorectal surgery with high risk for postoperative complications: Results of a randomized clinical trial. Ann. Surg. 2022, 275, e299–e306. [Google Scholar] [CrossRef]
- Carli, F.; Bousquet-Dion, G.; Awasthi, R.; Elsherbini, N.; Liberman, S.; Boutros, M.; Stein, B.; Charlebois, P.; Ghitulescu, G.; Morin, N.; et al. Effect of multimodal prehabilitation vs postoperative rehabilitation on 30-day post-operative complications for frail patients undergoing resection of colorectal cancer: A randomized clinical trial. JAMA Surg. 2020, 155, 233–242. [Google Scholar] [CrossRef]
- Hoogeboom, T.J.; Dronkers, J.J.; van den Ende, C.H.M.; Oosting, E.; van Meeteren, N.L.U. Preoperative therapeutic exercise in frail elderly scheduled for total hip replacement: A randomized pilot trial. Clin. Rehabil. 2010, 24, 901–910. [Google Scholar] [CrossRef]
- McIsaac, D.I.; Hladkowicz, E.; Bryson, G.L.; Forster, A.J.; Gagne, S.; Huang, A.; Lalu, M.; Lavallée, L.T.; Moloo, H.; Nantel, J.; et al. Home-based prehabilitation with exercise to improve postoperative recovery for older adults with frailty having cancer surgery: The PREHAB randomized clinical trial. Br. J. Anaesth. 2022, 129, 41–48. [Google Scholar] [CrossRef]
- Makary, M.A.; Segev, D.L.; Pronovost, P.J.; Syin, D.; Bandeen-Roche, K.; Patel, P.; Takenaga, R.; Devgan, L.; Holzmueller, C.G.; Tian, J.; et al. Frailty as a predictor of surgical outcomes in older patients. J. Am. Coll. Surg. 2010, 210, 901–908. [Google Scholar] [CrossRef]
- Halliday, L.J.; Doganay, E.; Wynter-Blyth, V.A.; Hanna, G.B.; Moorthy, K. The impact of prehabilitation on postoperative outcomes in esophageal cancer surgery: A propensity score matched comparison. J. Gastrointest. Surg. 2021, 25, 2733–2741. [Google Scholar] [CrossRef]
- Ommundsen, N.; Wyller, T.B.; Nesbakken, A.; Bakka, A.O.; Jordhøy, M.S.; Skovlund, E.; Rostoft, S. Preoperative geriatric assessment and tailored interventions in frail older patients with colorectal cancer: A randomized controlled trial. Colorectal Dis. 2018, 20, 16–25. [Google Scholar] [CrossRef]
- Baimas-George, M.; Watson, M.; Elhage, S.; Parala-Metz, A.; Vrochides, D.; Davis, B.R. Prehabilitation in frail surgical patients: A systematic review. World J. Surg. 2020, 44, 3668–3678. [Google Scholar] [CrossRef] [PubMed]
- Ausania, F.; Senra, P.; Meléndez, R.; Caballeiro, R.; Ouviña, R.; Casal-Núñez, E. Prehabilitation in patients undergoing pancreaticoduodenectomy: A randomized controlled trial. Rev. Esp. Enferm. Dig. 2019, 111, 603–608. [Google Scholar] [CrossRef]
- Karelis, A.D.; Messier, V.; Suppere, C.; Briand, P.; Rabasa-Lhoret, R. Effect of cysteinerich whey protein (immunocalR) supplementation in combination with resistance training on muscle strength and lean body mass in nonfrail elderly subjects: A randomized, double-blind controlled study. J. Nutr. Health Aging. 2015, 19, 531–536. [Google Scholar] [CrossRef] [PubMed]
- Paltrinieri, S.; Fugazzaro, S.; Bertozzi, L.; Bassi, M.C.; Pellegrini, M.; Vicentini, M.; Mazzini, E.; Costi, S. Return to work in European Cancer survivors: A systematic review. Support. Care Cancer 2018, 26, 2983–2994. [Google Scholar] [CrossRef] [PubMed]
- Mazzola, M.; Bertoglio, C.; Boniardi, M.; Magistro, C.; De Martini, P.; Carnevali, P.; Morini, L.; Ferrari, G. Frailty in major oncologic surgery of upper gastrointestinal tract: How to improve postoperative outcomes. Eur. J. Surg. Oncol. 2017, 43, 1566–1571. [Google Scholar] [CrossRef]






| Intervention Characteristics | Outcome | |||||||||
|---|---|---|---|---|---|---|---|---|---|---|
| First Author, Year | Country | N (%Woman) | Age (Years, SD) | Length (Weeks) | Type of Surgery | Fragility | Baseline LOS | Baseline-T1 (6MWT) | T2-(6-MWT) | T3-(6-MWT) |
| Berkel et al., 2022 [28] | Netherlands | IG: 28 (43%) CG: 29 (52%) | IG: 73.6 (6.1) CG: 73 (6) | 3 | Colon surgery | GFI | IG: 8.4 (7.4) CG: 9.1 (7) | NA | NA | NA |
| Carli et al., 2020 [29] | Canada | IG: 55 (47.3%) CG: 55 (58.2%) | IG: 78 (18.9) CG: 82 (17.01) | 4 | Colon surgery | FFI | IG: 4.75 (1.45) CG: 5.25 (1.47) | IG: 325.3 (144.3) CG: 304 (107.3) | IG: 346.1 (117.8) CG: 315.8 (107.5) | IG: 336.4 (121.8) CG: 286.1 (105.1) |
| Hoogeboom et al., 2010 [30] | Netherlands | IG: 10 (30%) CG: 11 (40%) | IG: 77 (3) CG: 75 (5) | 6 | Total hip replacement | CFS | NA | IG: 359.7 (117.4) CG: 336.8 (92.1) | IG:363 (126.63) CG: 342.7 (133.7) | NA |
| McIsaac et al., 2022 [31] | Canada | IG: 94 (60.6%) CG: 88 (52.3%) | IG: 74 (7) CG: 74 (6) | 4 | Intra-abdominal or thoracic cancer | CFS | IG: 6 (12.37) CG: 6 (16.75) | IG: 306 (130) CG: 323 (106) | NA | NA |
| Oosting et al., 2012 [26] | Netherlands | IG: 15 (93%) CG: 15 (67%) | IG: 76.9 (6.3) CG: 75 (6.3) | IG: 37 (9) * CG: 32 (6) * | Total hip arthroplasty | ISAR | IG: 5.1 (1) CG: 5.4 (2.1) | IG: 272 (74) CG: 296 (99) | IG: 288 (88) CG: 296 (113) | IG: 282 (84) CG: 339 (69) |
| Study | Groups by Intervention | Intervention | Time (min)/Rep | Intensity | Length (Weeks) | Frequency (x/wk) |
|---|---|---|---|---|---|---|
| Berkel et al., 2022 [28] | Prehabilitation CON | Exercise (high-intensity aerobics, aerobic fitness, and resistance training) Usual care | 40 min aerobic-ex + 20 min strength training | NA | 3 | 3 |
| Carli et al., 2020 [29] | Prehabilitation CON | Exercise + nutrition (protein intake of 1.5 g/kg of body weight) + psychological Usual care—an identical multimodal program after postoperative hospital discharge | 30 min aerobic-ex + 25 min strength training + 5 min of stretching + 30 min walk daily | NA | 4 | 1 |
| Hoogeboom et al., 2010 [30] | Prehabilitation CON | Functional physical activities in the patient’s daily life + aerobic and strength ex. Usual care + advice | 5 min walk + 25 min aerobic-ex + 25 min strength training | 15-point perceived exertion scale | 6 | 2 |
| McIsaac et al., 2022 [31] | Prehabilitation CON | Strength training + aerobic ex + flexibility + healthy food guide. Usual care + advice | 1 h sessions: strength training + aerobic-ex + flexibility | NA | 4 | 3 |
| Oosting et al., 2012 [26] | Prehabilitation CON | Functional activities and walking capacity Usual care + advice | Home ex with patient-adapted functional activities and walks | 55–75% peak work rate | 5 | 4 |
| Certainty Assessment | N° of Participants | Summary of Findings | ||||
|---|---|---|---|---|---|---|
| № of RCTs | Comparison | Intervention | Control | Effect–Relative (95% CI) | Certainty | * Reason |
| 3 | 6-MWT (T1) | 80/161 | 81/161 | MD 9.71 (−38.92;58.36) | ⬤⬤⬤◯ Moderate | Imprecision a |
| 2 | 6-MWT (T2) | 70/140 | 154/584 | MD −3.27 (−71.21;64.65) | ⬤⬤◯◯ Low | Imprecision a; Inconsistency b |
| 3 | 6-MWT (T3) | 164/322 | 158/322 | ES 15.01 (−22.05;52.073) | ⬤⬤⬤◯ Moderate | Imprecision a |
| Certainty Assessment | N° of Participants | Summary of Findings | ||||
|---|---|---|---|---|---|---|
| № of RCT | Comparison | Intervention | Control | Effect–Relative (95% CI) | Certainty | * Reason |
| 4 | LOS | 192/379 | 187/379 | MD −0.46 (−0.96;0.03) | ⬤⬤⬤◯ Moderate | Imprecision a |
Disclaimer/Publisher’s Note: The statements, opinions and data contained in all publications are solely those of the individual author(s) and contributor(s) and not of MDPI and/or the editor(s). MDPI and/or the editor(s) disclaim responsibility for any injury to people or property resulting from any ideas, methods, instructions or products referred to in the content. |
© 2025 by the authors. Licensee MDPI, Basel, Switzerland. This article is an open access article distributed under the terms and conditions of the Creative Commons Attribution (CC BY) license (https://creativecommons.org/licenses/by/4.0/).
Share and Cite
López-González, M.; Álvarez-Bueno, C.; Rodríguez-Martín, B.; Lorenzo-García, P.; Ruiz-Grao, M.C.; Priego-Jiménez, S. Effect of Prehabilitation on the 6-Minute Walk Test and Length of Hospital Stay in Frail Older People: A Meta-Analysis of Randomized Controlled Trials. Int. J. Environ. Res. Public Health 2025, 22, 1381. https://doi.org/10.3390/ijerph22091381
López-González M, Álvarez-Bueno C, Rodríguez-Martín B, Lorenzo-García P, Ruiz-Grao MC, Priego-Jiménez S. Effect of Prehabilitation on the 6-Minute Walk Test and Length of Hospital Stay in Frail Older People: A Meta-Analysis of Randomized Controlled Trials. International Journal of Environmental Research and Public Health. 2025; 22(9):1381. https://doi.org/10.3390/ijerph22091381
Chicago/Turabian StyleLópez-González, María, Celia Álvarez-Bueno, Beatriz Rodríguez-Martín, Patricia Lorenzo-García, Marta Carolina Ruiz-Grao, and Susana Priego-Jiménez. 2025. "Effect of Prehabilitation on the 6-Minute Walk Test and Length of Hospital Stay in Frail Older People: A Meta-Analysis of Randomized Controlled Trials" International Journal of Environmental Research and Public Health 22, no. 9: 1381. https://doi.org/10.3390/ijerph22091381
APA StyleLópez-González, M., Álvarez-Bueno, C., Rodríguez-Martín, B., Lorenzo-García, P., Ruiz-Grao, M. C., & Priego-Jiménez, S. (2025). Effect of Prehabilitation on the 6-Minute Walk Test and Length of Hospital Stay in Frail Older People: A Meta-Analysis of Randomized Controlled Trials. International Journal of Environmental Research and Public Health, 22(9), 1381. https://doi.org/10.3390/ijerph22091381

