Undesirable Levels of Practice Behaviours and Associated Knowledge amongst Community Health Workers in Rural South India Responsible for Type 2 Diabetes Screening and Management
Abstract
1. Introduction
2. Methodology
Statistical Analysis
3. Results
4. Discussion
5. Conclusions
Author Contributions
Funding
Institutional Review Board Statement
Informed Consent Statement
Data Availability Statement
Acknowledgments
Conflicts of Interest
Appendix A
Appendix A.1. Questionnaire Used for Data Collection
| General Information of CHWs | ||
|---|---|---|
| Name of CHW | Name of PHC | |
| Age of CHW | Designation of CHW | |
| Gender of CHW | Educational Qualification of CHW | |
| Marital Status of CHW | Work Experience of CHW (in Yrs) | |
| Address of VHW (village Name) | Diatance of residence from PHC | |
| Practice Behaviour & Knowledge Assessment | ||
| Question | Answer Options | |
| Q1. Which of these signs indicate diabetes, how is it diagnosed, and where should someone go for treatment? | 1. Increased Blood Glucose levels, diagnosed using HbA1c and managed at Primary Health Centre (PHC) 2. Increased Blood pressure, diagnosed using HbA1c and managed at PHC 3. Random blood glucose values above or equal to 200 mg/dL, diagnosed using Random or fasting glucose and managed at PHC 4. Both 1. and 3. | |
| Q2. A 40-year-old woman has a condition where her body doesn’t make enough insulin. She experiences more urination at night, and increased hunger, and thirst. What’s this condition called, and what can she do to feel better? | (1). Type 1 Diabetes; only exercise (2). Type 2 Diabetes; exercise, medication & diet control with medicines (3). Gestational Diabetes; do nothing (4). Monogenic Diabetes; only medication | |
| Q3-A 38-year-old patient with diabetes is under your care. However, he does not get his blood glucose levels checked regularly due to a fear of multiple pricks. What will you do in this case to get to know his blood glucose control? | 1. Advise Fasting blood glucose test at the nearest facility 2. Advise Glycosylated Hemoglobin-HbA1c test at the nearest facility 3. Advise Random blood glucose test at the nearest facility 4. Both 1. and 3. | |
| Q4-A 65-year-old known diabetic is under your care. How often will you recommend herself be screened for diabetes-associated chronic complications? What should you advise to prevent/manage COVID-19? | (1). Once every 2 years/Exercise (2). Once every 3 months/COVID Medicine (3). Once every year (Annually)/COVID-vaccination (4). Once every 3 years/Nothing can be done | |
| Q5-A 57-year-old diabetic patient under your care has been on insulin for 5 years. Suddenly at night, his wife calls to tell you that he is suffering from Sweating, Tremors, Hunger, Fast heartbeat, Dizziness, Confusion What will you advise the wife to improve the patient’s condition immediately | 1. Advise the patient to take more Insulin 2. Advise the patient to take glucose or sugar dissolved in water immediately 3. Advise the patient to sleep and it will be fine in the morning 4. Will not give any advice to the patient | |
| Q6-A 47-year-old male with diabetes for 15 years comes to you with a complaint of tingling sensations in the feet and sometimes a burning sensation in the feet. What could this be, and how often should he get checked for it? | (1). Hypoglycemia; Checked once every year (2). Peripheral Neuropathy; Checked once every year (3). Diabetic Ketoacidosis; Checked twice every year (4). Diabetic Retinopathy; Checked twice every year | |
| Q7-Your friend has been troubled over the past few days and approaches you in tears. She tells you that her 71-year-old mother who has been a diabetic for 12 years and is on medicines has been experiencing dizziness, burning sensation in her feet, overall lethargy and getting tired easily. She thinks her mother’s medicines are not having any effect and wants your help. What can you do to help her mother? | 1. Change/Modify her medicine based on her blood glucose values 2. Send her to the ANM to get her medicines changed/modified 3. Refer her to the Medical Officer at the nearest health centre 4. Ask her to change/modify her medicines as per the pharmacist’s advise | |
| Q8-Which of the following foods will you advise for any person with diabetes or at risk of developing diabetes? | 1. Samosas 2. Bajjis/Pakodas 3. Black Chana 4. Laddoos | |
| Q9-A 46-year-old patient with diabetes who is under your care is constantly taking sweets and sugarcane juice. What can you suggest as a natural alternative to satisfy their sweet tooth? | 1. Mangoes 2. Chikus/Sapotas 3. Grapes 4. Apples | |
| Q10-A 48-year-old patient with diabetes for the last 3 years has come to you with his blood glucose readings for the past two months. You observe that most of his readings are over 200 mg/dl. In such case what can you advise the patient to help them improve their glucose control? | 1. Regular exercise for at least 30 min for five days a week 2. Consuming a diet rich in proteins 3. Reducing or eliminating habits like smoking, alcohol, tobacco chewing, etc 4. All of the above | |
| Q11-What will you advise for a Diabetic patient during the COVID-19 Pandemic? | 1. To maintain blood glucose levels within the prescribed range (<140 mg/dL) 2. To keep a stock of all important medicines 3. To consult a doctor if they have any flu-like symptoms 4. All of the above | |
| Q12-Which of the following organs or body parts is affected by uncontrolled Diabetes and what is an unexpected fall in blood glucose called | (1). Stomach; Hyperglycemia (2). Retina; Hypoglycemia (3). Both the above are correct (4). None of the above are correct | |
| Q13-A 69-year-old farmer who has been diabetic for the last 10 years has been complaining to you about a burning sensation in his feet for the last couple of weeks. You sent him to the nearest health facility where the doctor treated it. Now what should be your advice to ensure that this condition does not arise for the patient again? | 1. To be barefoot all the time 2. To wash and inspect feet daily 3. To use boiling water to clean feet 4. To leave the feet dry | |
| Q14-A 40-year-old person, with a height of 5‘4 and weight of 87 kgs presents to you with the following problems: Frequent urination, Excessive thirst Increased hunger & Sudden weight loss. What would you advise? | 1. Refer to the nearest health centre for random blood glucose testing/HbA1C testing 2. Refer to the nearest health centre for blood pressure testing/ 3. Refer to the nearest health centre for thyroid hormone tests 4. None of the above | |
| Q15-A 53-year-old male who leads a sedentary lifestyle with a family history of Diabetes, a waist circumference of more than 100 cm and habits of smoking, and consuming alcohol daily has undergone CBAC Assessment. What will be the total score? | 1. Seven 2. Fifteen 3. Four 4. Ten | |
| Q16-What does a score less than four in the CBAC Assessment imply? | 1. The person is free from NCDs 2. The person is at higher risk of getting NCDs 3. The person still needs to be screened for NCDs annually 4. The person may not attend the weekly NCD Meeting | |
| Q17-You are a part of the NCD screening in your village this year. A 41-year-old female comes to enquire about what is happening. On further interaction, you learn that she has no history of diabetes or hypertension and also does not share any signs/symptoms of either. In such a case what will be your plan of action? | 1. Screen the person every year (annually) 2. No need to screen the person again 3. Screen the person after 2 years 4. Screen the person every 5 years | |
Appendix A.2. Question-Wise Practice Behaviour Scores of the Community Health Workers
| Practice Behaviour Scores | |||
|---|---|---|---|
| Themes | Questions | Percentage of Participants with Correct Answers % (n) | Confidence Intervals |
| Practice behaviour | Diabetes signs and symptoms | 51.3% (141) | 45–57% |
| Referral to health centre | 66.5% (183) | 60–72% | |
| HbA1c testing | 31.6% (87) | 26–37% | |
| Diabetes diet | 41.8% (115) | 35–47% | |
| Self-management | 52% (143) | 45–58% | |
| Hypoglycemia management | 78% (215) | 72–82% | |
| Microvascular complication screening | 9.8% (27) | 6–13% | |
| Peripheral neuropathy management | 29.5% (81) | 24–35% | |
| Calculation of diabetes risk score | 26.6% (73) | 21–32% | |
| Frequency risk screening | 75.6% (208) | 70–80% | |
Appendix A.3. Question-Wise Knowledge Scores of the Community Health Workers
| Knowledge Score | |||
|---|---|---|---|
| Themes | Questions | Percentage of Participants with Correct Answers % (n) | Confidence Intervals |
| Knowledge questions | Diabetes, diagnosis and referral | 31.6% (87) | 26–37% |
| Diabetes: types and self-management | 30.6% (84) | 25–36% | |
| Diabetes diet | 89.5% (246) | 85–92% | |
| Diabetic retinopathy and Hypoglycemia (combined question) | 85.1% (234) | 80–89% | |
| Microvascular complications: signs and screening | 36.7% (101) | 31–42% | |
| Diabetes and COVID-19 | 57.1% (157) | 51–63% | |
| Diabetes risk assessment | 44% (121) | 38–50% | |
Appendix A.4. Logistic Correlations between Practice behaviours and Knowledge Themes
| Practice Behaviour Theme | Knowledge Theme | Odds Ratio | Coefficient | p-Value |
|---|---|---|---|---|
| HbA1c Testing | Diabetes, Diagnosis and referral | 0.53 | −0.61 | 0.04 |
| Diabetes patient referral to health centre | Diabetes, Diagnosis and referral | 1.17 | 0.16 | 0.56 |
| Self-Management | Diabetes: Types and Self-Management | 0.67 | −0.39 | 0.13 |
| Diabetes signs and symptoms | Diabetes: Types and Self-Management | 0.92 | −0.07 | 0.77 |
| Identifying signs and symptoms of diabetes | Microvascular Complications: Signs and Screening | 1.91 | 0.64 | 0.01 |
| Microvascular complications screening | Microvascular Complications: Signs and Screening | 1.99 | 0.68 | 0.09 |
| Peripheral Neuropathy Management | Microvascular Complications: Signs and Screening | 1.97 | 0.68 | 0.01 |
| Microvascular complication management: Hypoglycemia | Microvascular complication knowledge: Hypoglycemia & DR | 1.6 | 0.47 | 0.21 |
| Practice: Diabetes Diet | Diabetes Diet | 1.68 | 0.52 | 0.21 |
| Risk Assessment Calculation | Diabetes Risk Assessment | 0.78 | −0.23 | 0.39 |
| Risk Assessment Screening | Diabetes Risk Assessment | 0.64 | −0.43 | 0.12 |
| Overall Practice Behaviour | Overall Knowledge | 9.03 | 0.499 | 0.09 |
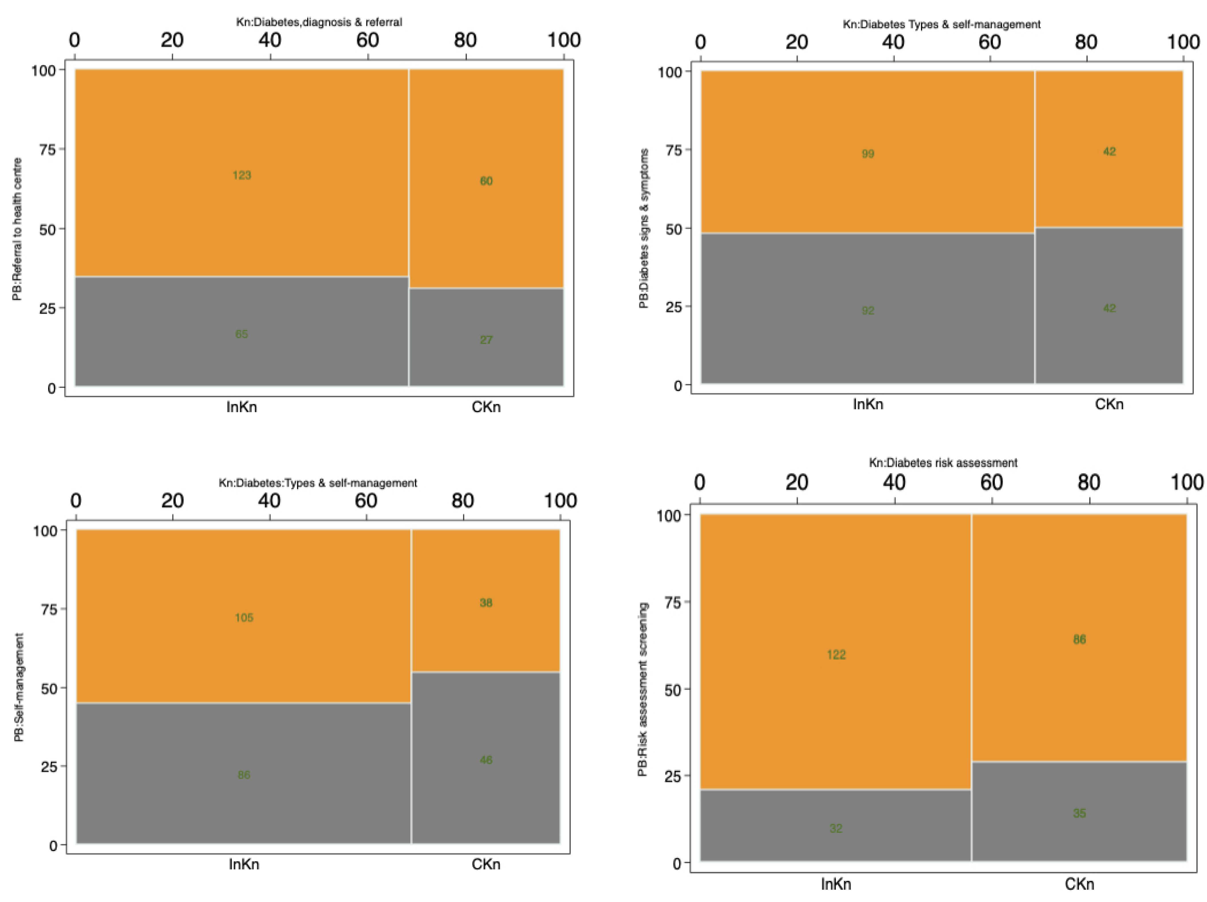
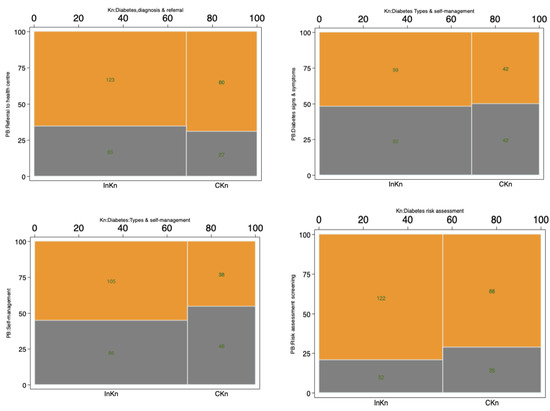
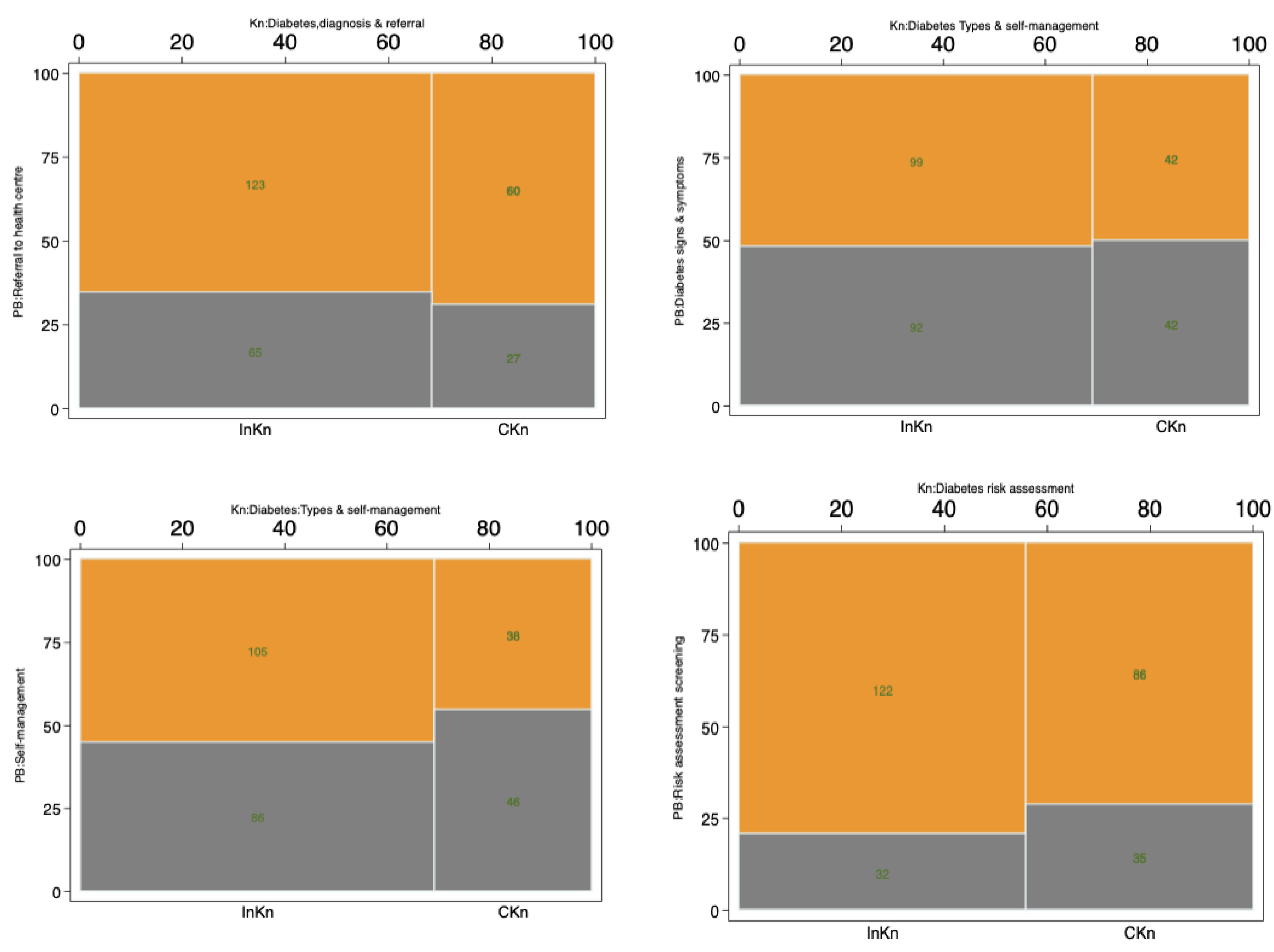
Appendix A.5. Mosaic Plots Depicting the Strong Relationship between Correct Practice Behaviour and Incorrect Knowledge

References
- International Diabetes Federation. IDF Diabetes Atlas, 10th ed.; International Diabetes Federation: Brussels, Belgium, 2021; Available online: www.diabetesatlas.org (accessed on 5 May 2022).
- The World Bank Group. Population, Total—India. 2022. Available online: https://data.worldbank.org/indicator/SP.POP.TOTL?locations=IN (accessed on 1 August 2022).
- Anjana, R.M.; Deepa, M.; Pradeepa, R.; Mahanta, J.; Narain, K.; Das, H.K.; Adhikari, P.; Rao, P.V.; Saboo, B.; Kumar, A.; et al. Prevalence of diabetes and prediabetes in 15 states of India: Results from the ICMR–INDIAB population-based cross-sectional study. Lancet Diabetes Endocrinol. 2017, 5, 585–596, Correction to Lancet Diabetes Endocrinol. 2017, 5, e5. [Google Scholar] [CrossRef] [PubMed]
- Statistics Division M of H & FW. Rural Health Statistics. New Delhi. 2021. Available online: https://hmis.nhp.gov.in/downloadfile?filepath=publications/Rural-Health-Statistics/RHS2020-21.pdf (accessed on 3 July 2022).
- Gudlavalleti, M.V.S.; Shukla, R.; Bandyopadhyay, S.; Anchala, R.; Gudlavalleti, A.S.V.; Jotheeswaran, A.; Ramachandra, S.S.; Singh, V.; Vashist, P.; Allagh, K.; et al. Perception of care and barriers to treatment in individuals with diabetic retinopathy in India: 11-city 9-state study. Indian J. Endocrinol. Metab. 2016, 20, S33–S41. [Google Scholar] [CrossRef] [PubMed]
- Jacobs, B.; Ir, P.; Bigdeli, M.; Annear, P.L.; Van Damme, W. Addressing access barriers to health services: An analytical framework for selectingappropriate interventions in low-income Asian countries. Health Policy Plan. 2012, 27, 288–300. [Google Scholar] [CrossRef] [PubMed]
- Baru, R.V.; Acharya, A.; Acharya, S.; Shiva Kumar, A.; Nagaraj, K. Inequities in Access to Health Services in India. Econ. Polit. Wkly. 2010, xlv, 49–58. Available online: http://www.mendeley.com/research/inequities-access-health-services-india/ (accessed on 7 September 2022).
- Kumar, V.; Singh, P. Access to healthcare among the Empowered Action Group (Eag) states of India: Current status and impeding factors. Natl. Med. J. Indian 2016, 29, 267–273. [Google Scholar]
- WHO. Task Shifting. In Global Recomendations and Guidelines; WHO: Geneva, Switzerland, 2008. [Google Scholar]
- Balasubramanya, B.; Isaac, R.; Philip, S.; Prashanth, H.R.; Abraham, P.; Poobalan, A.; Thomas, N.; Jeyaseelan, L.; Mammen, J.; Devarasetty, P.; et al. Task shifting to frontline community health workers for improved diabetes care in low-resource settings in India: A phase II non-randomized controlled clinical trial. J. Glob. Health Rep. 2020, 4, e2020097. [Google Scholar] [CrossRef]
- Joshi, R.; Alim, M.; Kengne, A.P.; Jan, S.; Maulik, P.K.; Peiris, D.; Patel, A.A. Task shifting for non-communicable disease management in low and middle income countries—A systematic review. PLoS ONE 2014, 9, e103754. [Google Scholar] [CrossRef] [PubMed]
- Jeemon, P.; Narayanan, G.; Kondal, D.; Kahol, K.; Bharadwaj, A.; Purty, A.; Negi, P.; Ladhani, S.; Sanghvi, J.; On behalf of DISHA study investigators; et al. Task shifting of frontline community health workers for cardiovascular risk reduction: Design and rationale of a cluster randomised controlled trial (DISHA study) in India. BMC Public Health 2016, 16, 1–11. [Google Scholar] [CrossRef]
- Lekoubou, A.; Awah, P.; Fezeu, L.; Sobngwi, E.; Kengne, A.P. Hypertension, diabetes mellitus and task shifting in their management in sub-Saharan Africa. Int. J. Environ. Res. Public Health 2010, 7, 353–363. [Google Scholar] [CrossRef] [PubMed]
- Maria, J.L.; Anand, T.N.; Dona, B.; Prinu, J.; Prabhakaran, D.; Jeemon, P. Task-sharing interventions for improving control of diabetes in low-income and middle-income countries: A systematic review and meta-analysis. Lancet Glob. Health 2021, 9, e170–e180. [Google Scholar] [CrossRef] [PubMed]
- Khetan, A.; Purushothaman, R.; Zullo, M.; Gupta, R.; Hejjaji, V.; Agarwal, S.; Mohan, S.K.M.; Josephson, R. Rationale and design of a cluster-randomized controlled trial to evaluate the effects of a community health worker–based program for cardiovascular risk factor control in India. Am. Heart J. 2017, 185, 161–172. [Google Scholar] [CrossRef] [PubMed]
- National Health Mission. Operational Guidelines: Prevention, Screening and Control of Common Non-Communicable Diseases: Hypertension, Diabetes and Common Cancers (Oral, Breast, Cervix) (Part of Comprehensive Primary Health Care. New Delhi: National Health Mission. 2016. Available online: https://nhsrcindia.org/sites/default/files/OperationalGuidelineComprehensivePrimaryHealthCare.pdf (accessed on 7 September 2022).
- NHM; NPCDCS. Training Ma nual for NCD Program Manager at State and District Level. 2017. Available online: https://main.mohfw.gov.in/sites/default/files/Training%20Manual%20for%20NCD%20Programme%20Managers%20at%20State%20and%20Disctrict%20Level_0.pdf (accessed on 7 September 2022).
- WHO. Community Health Workers: What Do We Know about Them? 2007. Available online: https://www.who.int/hrh/documents/community_health_workers_brief.pdf (accessed on 1 August 2022).
- Kartar Singh Committee. Report of the Committee on Multipurpose Workers under Health and Family Planning Programs. New Delhi. 1972. Available online: https://www.nhp.gov.in/sites/default/files/pdf/Kartar_Singh_Committee_Report.pdf (accessed on 7 September 2022).
- NHM; NHSRC. ASHA Which Way Forward…? New Delhi: Macrographics. 2011. Available online: https://nhm.gov.in/images/pdf/communitisation/asha/Studies/Evaluation_of_ASHA_Program_2010-11_Report.pdf (accessed on 7 September 2022).
- Lopes, S.C.; Cabral, A.J.; de Sousa, B. Community health workers: To train or to restrain? A longitudinal survey to assess the impact of training community health workers in the Bolama Region, Guinea-Bissau. Hum. Resour. Health 2014, 12, 8. [Google Scholar] [CrossRef] [PubMed]
- Tsolekile, L.P.; Schneider, H.; Puoane, T. The roles, training and knowledge of community health workers about diabetes and hypertension in Khayelitsha, Cape Town. Curationis 2018, 41, e1–e8. [Google Scholar] [CrossRef] [PubMed]
- Abrahams-Gessel, S.; Denman, C.A.; Montano, C.M.; Gaziano, T.A.; Levitt, N.; Rivera-Andrade, A.; Carrasco, D.M.; Zulu, J.; Khanam, M.A.; Puoane, T. The Training and Fieldwork Experiences of Community Health Workers Conducting Population-Based, Noninvasive Screening for CVD in LMIC. Glob. Heart 2015, 10, 45. [Google Scholar] [CrossRef] [PubMed]
- Hughes, G.D.; Puoane, T.; Bradley, H. Ability to manage diabetes—Community health workers’ knowledge, attitudes and beliefs. J. Endocrinol. Metab. Diabetes S. Afr. 2006, 11, 10–14. [Google Scholar] [CrossRef]
- Ferguson, W.J.; Lemay, C.A.; Hargraves, J.L.; Gorodetsky, T.; Calista, J. Developing community health worker diabetes training. Health Educ. Res. 2012, 27, 755–765. [Google Scholar] [CrossRef] [PubMed]
- Tripathy, J.P.; Thakur, J.S.; Jeet, G.; Chawla, S.; Jain, S.; Pal, A.; Prasad, R.; Saran, R. Prevalence and risk factors of diabetes in a large community-based study in North India: Results from a STEPS survey in Punjab, India. Diabetol. Metab. Syndr. 2017, 9, 1–8. [Google Scholar] [CrossRef]
- Rendrayani, F.; Alfian, S.D.; Wahyudin, W.; Puspitasari, I.M. Pharmacists’ Knowledge, Attitude, and Practice of Medication Therapy Management: A Systematic Review. Healthcare 2022, 10, 2513. [Google Scholar] [CrossRef] [PubMed]
| Practice Behaviour & Related Knowledge Questions with Correct Answers in Bold | |
|---|---|
| Practice Behaviour Questions | Knowledge Questions |
| PbQ1: You encounter a 40-year-old individual who is 5 feet 4 inches tall and weighs 87 kg. This person reports the following concerns: 1. Frequent urination 2. Excessive thirst 3. Increased appetite 4. Unexplained rapid weight loss What guidance or recommendations would you offer in response to these symptoms?: Answer options: (1). Refer to the nearest health centre for random blood glucose/HbA1c testing (2). Refer to the nearest health centre for blood pressure testing (3). Refer to the nearest health centre for thyroid hormone tests (4). None of the above | KnQ1: A 40-year-old woman has a condition where her body doesn’t make enough insulin. She experiences more urination at night, and increased hunger, and thirst. What’s this condition called, and what can she do to feel better? Answer Options (1). Type 1 Diabetes; only exercise (2). Type 2 Diabetes; exercise, medication & diet control with medicines (3). Gestational Diabetes; do nothing (4). Monogenic Diabetes; only medication This knowledge question, KnQ1 is associated with practice behaviour questions: PbQ1 and PbQ3 |
| PbQ2: How would you approach the assessment of blood glucose control for a 38-year-old patient with diabetes who refrains from regular blood glucose checks due to a fear of multiple pricks? Answer Options: (1). Advise Fasting blood glucose test at the nearest facility (2). Advise Glycosylated Hemoglobin- HbA1c test at the nearest facility (3). Advise Random blood glucose test at the nearest facility (4). Both 1. and 2 | KnQ2: Which of these signs indicate diabetes, how is it diagnosed, and where should someone go for treatment? Answer Options (1). Increased Blood Glucose levels, diagnosed using HbA1c and managed at Primary Health Centre (PHC) (2). Increased Blood pressure, diagnosed using HbA1c and managed at PHC (3). Random blood glucose values above or equal to 200mg/dl, diagnosed using Random or fasting glucose and managed at PHC (4). Both 1. and 3 This knowledge question, KnQ2 is associated with practice behaviour questions: PbQ2 and PbQ7 |
| PbQ3: You have a 48-year-old patient who has had diabetes for three years. They have given you their blood sugar readings from the past two months, and most of them are consistently over 200 mg/dL. What would you suggest to help this patient improve their blood glucose control? Answer Options (1). Regular exercise for at least 30 min for five days a week (2). Consuming a diet rich in proteins (3). Reducing or eliminating habits like smoking, alcohol, tobacco chewing, etc (4). All of the above | KnQ3: Which of the following organs or body parts is affected by uncontrolled Diabetes and what is an unexpected fall in blood glucose called Answer Options (1). Stomach; Hyperglycemia (2). Retina; Hypoglycemia (3). Both the above are correct (4). None of the above are correct This knowledge question, KnQ3 is associated with practice behaviour questions: PbQ4 |
| PbQ4: A 57-year-old diabetic patient, on insulin for 5 years, experiences symptoms like sweating, tremors, hunger, a fast heartbeat, dizziness, and confusion at night. If his wife calls you for help, what would you advise her to do immediately to improve his condition? Answer Options: (1). Advise the patient to take more Insulin (2). Advise the patient to take glucose or sugar dissolved in water immediately (3). Advise the patient to sleep and it will be fine in the morning (4). Will not give any advice to the patient | KnQ4: A 47-year-old man, diabetic for 15 years, reports tingling and burning sensations in his feet. What could this be, and how often should he get checked for it? Answer Options (1). Hypoglycemia; Checked once every year (2). Peripheral Neuropathy; Checked once every year (3). Diabetic Ketoacidosis; Checked twice every year (4). Diabetic Retinopathy; Checked twice every year This knowledge question, KnQ4 is associated with practice behaviour questions: PbQ5 and PbQ6 |
| PbQ5: You’re overseeing the care of a 65-year-old diabetic patient. How frequently should you remind her to undergo screening for diabetes-related chronic complications of the eye & kidneys? What should you advise to prevent/manage COVID-19? Answer Options (1). Once every 2 years/Exercise (2). Once every 3 months/COVID Medicine (3). Once every year (Annually)/COVID-vaccination (4). Once every 3 years/Nothing can be done | KnQ5: What will you advise for a Diabetic patient during the COVID-19 Pandemic? Answer Options (1). To maintain blood glucose levels within the prescribed range (< 140 mg/dl) (2). To keep a stock of all important medicines (3). To consult a doctor if they have any flu-like symptoms (4). All of the above This knowledge question, KnQ5 is associated with practice behaviour questions: PbQ5 |
| PbQ6: A 69-year-old farmer, who has had diabetes for 10 years, had a burning sensation in his feet for a few weeks. He received treatment at a nearby clinic. What advice would you provide to ensure this problem doesn’t come back? Answer Options (1). To be barefoot all the time (2). To wash and inspect feet daily (3). To use boiling water to clean feet (4). To leave the feet dry | KnQ6: What foods would you recommend for individuals with diabetes or those at risk of developing diabetes? Answer Options (1). Samosas (Indian fried snack) (2). Bajji/Pakodas (Indian Fritters) (3). Black Chana (Black Grams) (4). Laddoos (Indian Dessert) This knowledge question, KnQ6 is associated with practice behaviour questions: PbQ8 |
| PbQ7: Your friend is upset and tells you that her 71-year-old diabetic mother, who has been on medication for 12 years, is experiencing dizziness, burning sensations in her feet, overall tiredness, and easy fatigue. She thinks the medicines aren’t working and asks for your help. What can you do to assist her mother? Answer Options (1). Change her medicine based on her blood glucose values (2). Send her to the ANM to get her medicines changed/modified (3). Refer her to the Medical Officer at the nearest health centre to change her medicines if needed (4). Ask her to change her medicines as per the pharmacist’s advise | KnQ7: What does a score below four in the Community Based Assessment Checklist (CBAC)* Assessment mean, and what should be done if the score is less than four? Answer Options (1). The person is free from Non-Communicable (Diseases (NCDs) (2). The person is at higher risk of getting NCDs (3). The person still needs to be screened for NCDs annually (4). The person may not attend the weekly NCD Meeting This knowledge question, KnQ7 is associated with practice behaviour questions: PbQ9 & PbQ10 |
| PbQ8: Your patient, aged 46 with diabetes, indulges in sweets and sugarcane juice. Which food can you recommend for satisfying their sweet cravings naturally without impacting their diabetes? Answer Options (1). Mangoes (2). Chikus/Sapotas (3). Grapes (4). Apples | |
| PbQ9: 53-year-old man, who does not move around much, has a family history of diabetes, a waist size over 100 cm, and smokes while drinking alcohol daily. When using the Community Based Assessment Checklist (CBAC), what will be his total score? Answer Options (1). Seven (2). Fifteen (3). Four (4). Ten | |
| PbQ10: As a Community Health Worker (CHW) doing health checks in your village. A 41-year-old woman comes up to you, saying she does not have a history of diabetes or high blood pressure, and she doesn’t seem to have any symptoms of these conditions. What should you do in this situation? Answer Options (1). Screen the person every year (annually) (2). No need to screen the person again (3). Screen the person after 2 years (4). Screen the person every 5 years | |
| Practice Behaviour Question | Knowledge Question | Odds Ratio | Coefficient | p-Value |
|---|---|---|---|---|
| HbA1c Testing | Diabetes, Diagnosis and referral | 0.53 | −0.61 | 0.04 |
| Self-Management | Diabetes: Types and Self-Management | 0.67 | −0.39 | 0.13 |
| Microvascular Complication Screening | Microvascular Complications: Signs and Screening | 1.99 | 0.68 | 0.09 |
| Peripheral Neuropathy Management | Microvascular Complications: Signs and Screening | 1.97 | 0.68 | 0.01 |
| Risk Assessment Screening | Diabetes Risk Assessment | 0.64 | −0.43 | 0.12 |
| Identifying Diabetes Signs and Symptoms | Microvascular Complications: Signs and Screening | 1.91 | 0.64 | 0.01 |
| Knowledge | Practice Behaviour | Correct Practice Behaviours Despite Incomplete/Incorrect Knowledge Responses |
|---|---|---|
| Knowledge about referral criterion and pathway | Practice Behaviour about Referral to the Health Centre | 123 out of 183 participants (67.2%) displayed correct practice behaviour despite incomplete knowledge responses |
| Knowledge about types of Diabetes | Practice Behaviour about Self-Management | 105 out of 143 participants (73.4%) displayed correct practice behaviour despite incomplete knowledge responses |
| Knowledge about types of diabetes | Practice Behaviour about identifying type 2 diabetes signs and symptoms | 99 out of 141 participants (70.2%) displayed correct practice behaviour despite incomplete knowledge responses |
| Knowledge about diabetes risk assessment | Risk Assessment Screening | 122 out of 208 participants (58.7%) displayed correct practice behaviour despite incomplete knowledge responses |
Disclaimer/Publisher’s Note: The statements, opinions and data contained in all publications are solely those of the individual author(s) and contributor(s) and not of MDPI and/or the editor(s). MDPI and/or the editor(s) disclaim responsibility for any injury to people or property resulting from any ideas, methods, instructions or products referred to in the content. |
© 2024 by the authors. Licensee MDPI, Basel, Switzerland. This article is an open access article distributed under the terms and conditions of the Creative Commons Attribution (CC BY) license (https://creativecommons.org/licenses/by/4.0/).
Share and Cite
Gudlavalleti, A.G.; Babu, G.R.; Agiwal, V.; Murthy, G.V.S.; Schaper, N.C.; van Schayck, O.C.P. Undesirable Levels of Practice Behaviours and Associated Knowledge amongst Community Health Workers in Rural South India Responsible for Type 2 Diabetes Screening and Management. Int. J. Environ. Res. Public Health 2024, 21, 562. https://doi.org/10.3390/ijerph21050562
Gudlavalleti AG, Babu GR, Agiwal V, Murthy GVS, Schaper NC, van Schayck OCP. Undesirable Levels of Practice Behaviours and Associated Knowledge amongst Community Health Workers in Rural South India Responsible for Type 2 Diabetes Screening and Management. International Journal of Environmental Research and Public Health. 2024; 21(5):562. https://doi.org/10.3390/ijerph21050562
Chicago/Turabian StyleGudlavalleti, Anirudh G., Giridhara R. Babu, Varun Agiwal, G. V. S. Murthy, Nicolaas C. Schaper, and Onno C. P. van Schayck. 2024. "Undesirable Levels of Practice Behaviours and Associated Knowledge amongst Community Health Workers in Rural South India Responsible for Type 2 Diabetes Screening and Management" International Journal of Environmental Research and Public Health 21, no. 5: 562. https://doi.org/10.3390/ijerph21050562
APA StyleGudlavalleti, A. G., Babu, G. R., Agiwal, V., Murthy, G. V. S., Schaper, N. C., & van Schayck, O. C. P. (2024). Undesirable Levels of Practice Behaviours and Associated Knowledge amongst Community Health Workers in Rural South India Responsible for Type 2 Diabetes Screening and Management. International Journal of Environmental Research and Public Health, 21(5), 562. https://doi.org/10.3390/ijerph21050562

