Management, Survival, and Costs of Pancreatic Cancer: Population-Based Observational Study in Catalonia
Abstract
1. Introduction
2. Methods
2.1. Data Source
2.2. Study Population
2.3. Outcomes
2.4. Statistical Analysis
2.5. Ethics
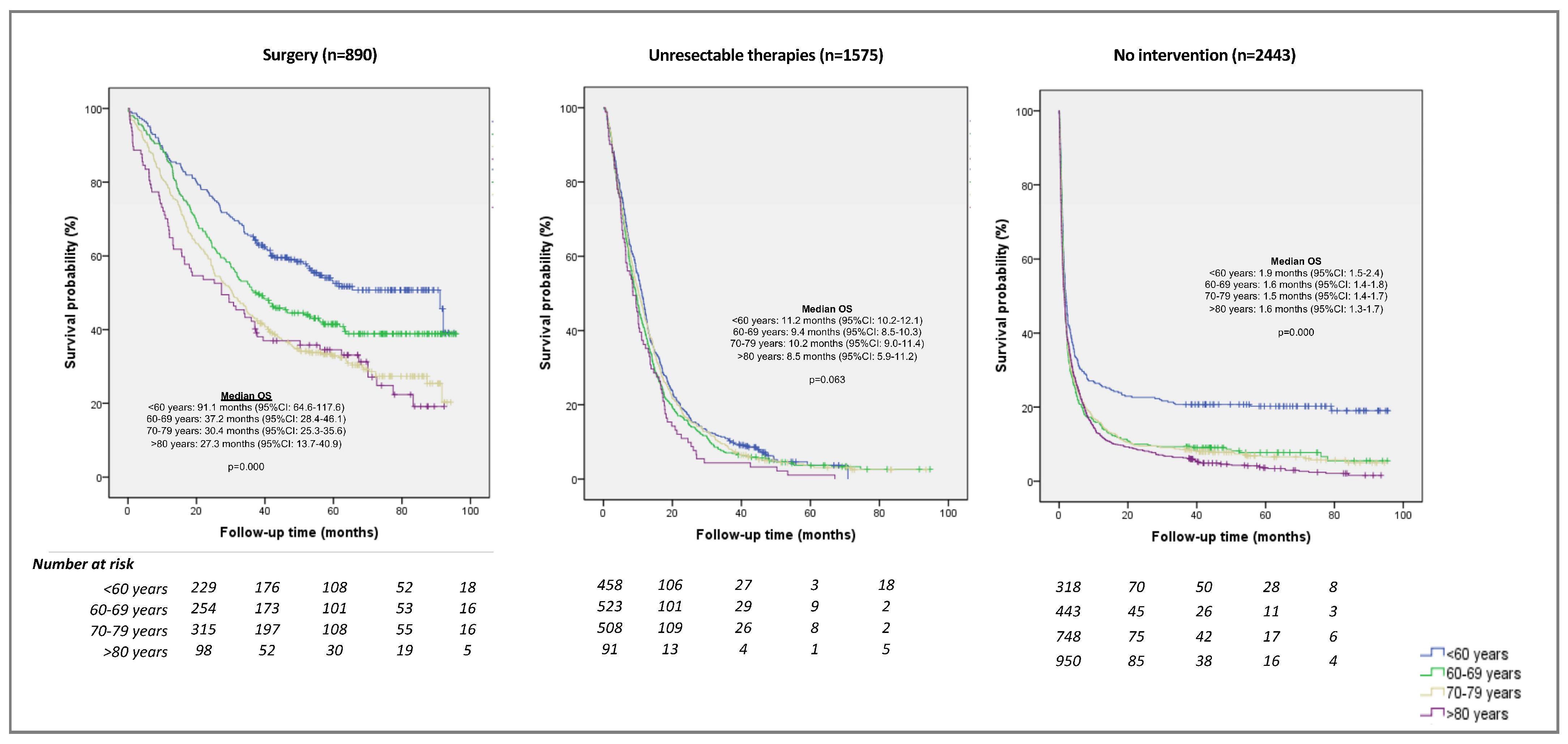
3. Results
4. Discussion
5. Conclusions
Supplementary Materials
Author Contributions
Funding
Institutional Review Board Statement
Informed Consent Statement
Data Availability Statement
Acknowledgments
Conflicts of Interest
References
- European Comission. ECIS—European Cancer Information System. Available online: https://ecis.jrc.ec.europa.eu/explorer.php?$0-0$1-AEE$2-All$4-1,2$3-All$6-0,85$5-2008,2008$7-8$CEstByCancer$X0_8-3$CEstRelativeCanc$X1_8-3$X1_9-AE27$CEstBySexByCancer$X2_8-3$X2_-1-1 (accessed on 2 February 2021).
- Ducreux, M.; Cuhna, A.S.; Caramella, C.; Hollebecque, A.; Burtin, P.; Goéré, D.; Seufferlein, T.; Haustermans, K.; Van Laethem, J.L.; Conroy, T.; et al. Cancer of the pancreas: ESMO Clinical Practice Guidelines for diagnosis, treatment and follow-up. Ann. Oncol. 2015, 26, v56–v68. [Google Scholar] [CrossRef] [PubMed]
- García-Velasco, A.; Zacarías-Pons, L.; Teixidor, H.; Valeros, M.; Liñan, R.; Carmona-Garcia, M.C.; Puigdemont, M.; Carbajal, W.; Guardeño, R.; Malats, N.; et al. Incidence and survival trends of pancreatic cancer in Girona: Impact of the change in patient care in the last 25 years. Int. J. Environ. Res. Public Health 2020, 17, 9538. [Google Scholar] [CrossRef] [PubMed]
- Allemani, C.; Matsuda, T.; Di Carlo, V.; Harewood, R.; Matz, M.; Nikšić, M.; Bonaventure, A.; Valkov, M.; Johnson, C.J.; Estève, J.; et al. Global surveillance of trends in cancer survival 2000–14 (CONCORD-3): Analysis of individual records for 37,513,025 patients diagnosed with one of 18 cancers from 322 population-based registries in 71 countries. Lancet 2018, 391, 1023–1075. [Google Scholar] [CrossRef]
- Gupta, R.; Amanam, I.; Chung, V. Current and future therapies for advanced pancreatic cancer. J. Surg. Oncol. 2017, 116, 25–34. [Google Scholar] [CrossRef] [PubMed]
- Mizrahi, J.D.; Surana, R.; Valle, J.W.; Shroff, R.T. Pancreatic cancer. Lancet 2020, 395, 2008–2020. [Google Scholar] [CrossRef]
- McGuigan, A.; Kelly, P.; Turkington, R.C.; Jones, C.; Coleman, H.G.; McCain, R.S. Pancreatic cancer: A review of clinical diagnosis, epidemiology, treatment and outcomes. World J. Gastroenterol. 2018, 24, 4846–4861. [Google Scholar] [CrossRef]
- Park, W.; Chawla, A.; O’Reilly, E.M. Pancreatic Cancer: A Review. JAMA 2021, 326, 851–862. [Google Scholar] [CrossRef]
- Bengtsson, A.; Andersson, R.; Ansari, D. The actual 5-year survivors of pancreatic ductal adenocarcinoma based on real-world data. Sci. Rep. 2020, 10, 16425. [Google Scholar] [CrossRef]
- Higuera, O.; Ghanem, I.; Nasimi, R.; Prieto, I.; Koren, L.; Feliu, J. 2016 Pancreatic Cancer: Global view Management of pancreatic cancer in the elderly. World J. Gastroenterol. 2016, 22, 764–775. [Google Scholar] [CrossRef]
- Zhao, Z.Y.; Liu, W. Pancreatic Cancer: A Review of Risk Factors, Diagnosis, and Treatment. Technol. Cancer Res Treat. 2020, 19, 1–13. [Google Scholar] [CrossRef]
- Mohile, S.G.; Dale, W.; Somerfield, M.R.; Schonberg, M.A.; Boyd, C.M.; Burhenn, P.S.; Canin, B.; Cohen, H.J.; Holmes, H.M.; Hopkins, J.O.; et al. Practical assessment and management of vulnerabilities in older patients receiving chemotherapy: Asco guideline for geriatric oncology. J. Clin. Oncol. 2018, 36, 2326–2347. [Google Scholar] [CrossRef] [PubMed]
- Sourdet, S.; Brechemier, D.; Steinmeyer, Z.; Gerard, S.; Balardy, L. Impact of the comprehensive geriatric assessment on treatment decision in geriatric oncology. BMC Cancer 2020, 20, 384. [Google Scholar] [CrossRef] [PubMed]
- Fusco, D.; Ferrini, A.; Pasqualetti, G.; Giannotti, C.; Cesari, M.; Laudisio, A.; Ballestrero, A.; Scabini, S.; Odetti, P.R.; Colloca, G.F.; et al. Comprehensive geriatric assessment in older adults with cancer: Recommendations by the Italian Society of Geriatrics and Gerontology (SIGG). Eur. J. Clin. Investig. 2021, 51, e13347. [Google Scholar] [CrossRef] [PubMed]
- Prades, J.; Arnold, D.; Brunner, T.; Cardone, A.; Carrato, A.; Coll-Ortega, C.; De Luze, S.; Garel, P.; Goossens, M.E.; Grilli, R.; et al. Bratislava Statement: Consensus recommendations for improving pancreatic cancer care. ESMO Open 2020, 5, e001051. [Google Scholar] [CrossRef]
- Bosetti, C.; Lucenteforte, E.; Silverman, D.T.; Petersen, G.; Bracci, P.M.; Ji, B.T.; Negri, E.; Li, D.; Risch, H.A.; Olson, S.H.; et al. Cigarette smoking and pancreatic cancer: An analysis from the International Pancreatic Cancer Case-Control Consortium (PANC4). Ann. Oncol. 2012, 23, 1880–1888. [Google Scholar] [CrossRef] [PubMed]
- Lugo, A.; Peveri, G.; Bosetti, C.; Bagnardi, V.; Crippa, A.; Orsini, N.; Rota, M.; Gallus, S. Strong excess risk of pancreatic cancer for low frequency and duration of cigarette smoking: A comprehensive review and meta-analysis. Eur. J. Cancer 2018, 104, 117–126. [Google Scholar] [CrossRef]
- ICO-ICSPraxis Group. ICO-ICS PRAXI. In Per Eltractament Mèdic i Amb Irradiació de L’adenocarcinoma de Pàncrees; Institut Català d’Oncologia i Institut Català de la Salut: Barcelona, Spain, 2018. [Google Scholar]
- Wild, C.P.; Weiderpass, E.; Stewart, B.W.; World Health Organization. World Cancer Report. In Cancer Research for Cancer Prevention; International Agency for Research on Cancer: Lyon, France, 2020; pp. 1–613. [Google Scholar]
- Coll-Ortega, C.; Prades, J.; Manchón-Walsh, P.; Borras, J.M. Centralisation of surgery for complex cancer diseases: A scoping review of the evidence base on pancreatic cancer. J. Cancer Policy 2022, 32, 100334. [Google Scholar]
- Kordes, M.; Yu, J.; Malgerud, O.; Gustafsson Liljefors, M.; Löhr, J.M. Survival Benefits of Chemotherapy for Patients with Advanced Pancreatic Cancer in A Clinical Real-World Cohort. Cancers 2019, 11, 1326. [Google Scholar] [CrossRef]
- Carrato, A.; Falcone, A.; Ducreux, M.; Valle, J.W.; Parnaby, A.; Djazouli, K.; Alnwick-Allu, K.; Hutchings, A.; Palaska, C.; Parthenaki, I. A Systematic Review of the Burden of Pancreatic Cancer in Europe: Real-World Impact on Survival, Quality of Life and Costs. J. Gastrointest. Cancer 2015, 46, 201–211. [Google Scholar] [CrossRef]
- Hammers, E.; Kahn, B.; Wagner, A.; Shore, C. Examining the Impact of Real-World Evidence on Medical Product Development; National Academies Press: Washington, DC, USA, 2019; pp. 1–231. [Google Scholar]
- World Health Organization. Pricing of Cancer Medicines and Its Impacts (WHO); World Health Organization: Geneva, Switzerland, 2018; pp. 1–173. [Google Scholar]
- Garrison, L.P.; Neumann, P.J.; Erickson, P.; Marshall, D.; Mullins, C.D. Using real-world data for coverage and payment decisions: The ISPOR real-world data Task Force report. Value Health 2007, 10, 326–335. [Google Scholar] [CrossRef]
- Banerjee, R.; Prasad, V. Are Observational, Real-World Studies Suitable to Make Cancer Treatment Recommendations? JAMA Netw. Open 2020, 3, e2012119. [Google Scholar] [CrossRef] [PubMed]
- Gränsmark, E.; Bågenholm Bylin, N.; Blomstrand, H.; Fredrikson, M.; Åvall-Lundqvist, E.; Elander, N.O. Real World Evidence on Second-Line Palliative Chemotherapy in Advanced Pancreatic Cancer. Front. Oncol. 2020, 10, 1176. [Google Scholar] [CrossRef] [PubMed]
- Koeller, J.; Surinach, A.; Arikian Steven, R.; Zivkovic Marko, J.P.; Cockrum, P.; Kim, G. Comparing real-world evidence among patients with metastatic pancreatic ductal adenocarcinoma treated with liposomal irinotecan. Ther. Adv. Med. Oncol. 2020, 12, 1–8. [Google Scholar] [CrossRef] [PubMed]
- Sasaki, T.; Kanata, R.; Yamada, I.; Matsuyama, M.; Ozaka, M.; Sasahira, N. Improvement of treatment outcomes for metastatic pancreatic cancer: A Real-world Data Analysis. In Vivo 2019, 33, 271–276. [Google Scholar] [CrossRef]
- von Elm, E.; Altman, D.G.; Egger, M.; Pocock, S.J.; Gøtzsche, P.C.; Vandenbroucke, J.P. The Strengthening the Reporting of Observational Studies in Epidemiology (STROBE) statement: Guidelines for reporting observational studies. J. Clin. Epidemiol. 2008, 61, 344–349. [Google Scholar] [CrossRef]
- World Health Organization. Medicines Reimbursement Policies in Europe; Regional Office for Europe: Geneva, Switzerland, 2018; p. 200. [Google Scholar]
- Generalitat de Catalunya. Departament de Salut. Registre Central de població del CatSalut. Available online: https://catsalut.gencat.cat/ca/proveidors-professionals/registres-catalegs/registres/central-poblacio/ (accessed on 1 December 2019).
- Generalitat de Catalunya. Departament de Salut. Registres i Catàlegs. Available online: https://catsalut.gencat.cat/ca/proveidors-professionals/registres-catalegs/ (accessed on 1 December 2019).
- Generalitat de Catalunya. Departament de Salut. Tecnologies de la Informació i Portal. Available online: https://catsalut.gencat.cat/ca/proveidors-professionals/portal-aplicacions/ (accessed on 1 December 2019).
- Departament de Salut. Generalitat de Catalunya. CIM-10-MC/SCP. Classificació Internacional de Malalties. 10a Revisió. Modificació Clínica. 2018. Available online: http://www.who.int/classifications/icd/en/ (accessed on 20 August 2020).
- Brada, L.J.H.; Walma, M.S.; van Dam, R.M.; de Vos-Geelen, J.; de Hingh, I.H.; Creemers, G.J.; Liem, M.S.; Mekenkamp, L.J.; de Meijer, V.E.; de Groot, J.W.B.; et al. The treatment and survival of elderly patients with locally advanced pancreatic cancer: A post-hoc analysis of a multicenter registry. Pancreatology 2021, 21, 163–169. [Google Scholar] [CrossRef]
- Huang, L.; Jansen, L.; Balavarca, Y.; Babaei, M.; van der Geest, L.; Lemmens, V.; Van Eycken, L.; De Schutter, H.; Johannesen, T.B.; Primic-Žakelj, M.; et al. Stratified survival of resected and overall pancreatic cancer patients in Europe and the USA in the early twenty-first century: A large, international population-based study. BMC Med. 2018, 16, 125. [Google Scholar] [CrossRef]
- Haanen, J.B.A.G.; Califano, R.; Lugowska, I.; Chiara, M.; Esmo, G.; Series, H. Esmo Handbook of Immuno-Oncology, 1st ed.; European Society for Medical Oncology: Lugano, Switzerland, 2018; pp. 1–389. [Google Scholar]
- Khalaf, N.; El-Serag, H.B.; Abrams, H.R.; Thrift, A.P. Burden of Pancreatic Cancer: From Epidemiology to Practice. Clin. Gastroenterol. Hepatol. 2021, 19, 876–884. [Google Scholar] [CrossRef]
- Goggins, M.; Overbeek, K.A.; Brand, R.; Syngal, S.; Del Chiaro, M.; Bartsch, D.K.; Bassi, C.; Carrato, A.; Farrell, J.; Fishman, E.K.; et al. Management of patients with increased risk for familial pancreatic cancer: Updated recommendations from the International Cancer of the Pancreas Screening (CAPS) Consortium. Gut 2020, 69, 7–17. [Google Scholar] [CrossRef]
- Martínez-Bosch, N.; Cristóbal, H.; Iglesias, M.; Gironella, M.; Barranco, L.; Visa, L.; Calafato, D.; Jiménez-Parrado, S.; Earl, J.; Carrato, A.; et al. Soluble AXL is a novel blood marker for early detection of pancreatic ductal adenocarcinoma and differential diagnosis from chronic pancreatitis. eBioMedicine 2022, 75, 103797. [Google Scholar] [CrossRef]
- Zhang, B.; Zhou, F.; Hong, J.; Ng, D.M.; Yang, T.; Zhou, X.; Jin, J.; Zhou, F.; Chen, P.; Xu, Y. The role of FOLFIRINOX in metastatic pancreatic cancer: A meta-analysis. World J. Surg. Oncol. 2021, 19, 182. [Google Scholar] [CrossRef] [PubMed]
- Conroy, T.; Hammel, P.; Hebbar, M.; Ben Abdelghani, M.; Wei, A.C.; Raoul, J.-L.; Choné, L.; Francois, E.; Artru, P.; Biagi, J.J.; et al. FOLFIRINOX or Gemcitabine as Adjuvant Therapy for Pancreatic Cancer. N. Engl. J. Med. 2018, 379, 2395–2406. [Google Scholar] [CrossRef]
- Chan, K.K.W.; Guo, H.; Cheng, S.; Beca, J.M.; Redmond-Misner, R.; Isaranuwatchai, W.; Qiao, L.; Earle, C.; Berry, S.R.; Biagi, J.J.; et al. Real-world outcomes of FOLFIRINOX vs. gemcitabine and nab-paclitaxel in advanced pancreatic cancer: A population-based propensity score-weighted analysis. Cancer Med. 2020, 9, 160–169. [Google Scholar] [CrossRef] [PubMed]
- Morrison, A.H.; Byrne, K.T.; Vonderheide, R.H. Immunotherapy and Prevention of Pancreatic Cancer. Trends Cancer 2018, 4, 418–428. [Google Scholar] [CrossRef] [PubMed]
- Jung, H.A.; Han, B.R.; Kim, H.Y.; Kim, H.J.; Zang, D.Y.; Jung, J.Y. Treatment and Outcomes of Metastatic Pancreatic Cancer in Elderly Patients. Chemotherapy 2021, 66, 107–112. [Google Scholar] [CrossRef]
- Iyikesici, M.S. Long-Term Survival Outcomes of Metabolically Supported Chemotherapy with Gemcitabine-Based or FOLFIRINOX Regimen Combined with Ketogenic Diet, Hyperthermia, and Hyperbaric Oxygen Therapy in Metastatic Pancreatic Cancer. Complement Med. Res. 2020, 27, 31–39. [Google Scholar] [CrossRef]
- Neoptolemos, J.P.; Kleeff, J.; Michl, P.; Costello, E.; Greenhalf, W.; Palmer, D.H. Therapeutic developments in pancreatic cancer: Current and future perspectives. Nat. Rev. Gastroenterol. Hepatol. 2018, 15, 333–348. [Google Scholar] [CrossRef]
- Ren, B.; Cui, M.; Yang, G.; Wang, H.; Feng, M.; You, L.; Zhao, Y. Tumor microenvironment participates in metastasis of pancreatic cancer. Mol. Cancer 2018, 17, 108. [Google Scholar] [CrossRef]
- Das, S.; Shapiro, B.; Vucic, E.A.; Vogt, S.; Bar-Sagi, D. Tumor Cell-Derived IL1β Promotes Desmoplasia and Immune Suppression in Pancreatic Cancer. Cancer Res. 2020, 80, 1088–1101. [Google Scholar] [CrossRef]
- Andrade, P.; Sacristan, J.A.; Dilla, T. Health Economics & Outcome Research: The Economic Burden of Cancer in Spain: A Literature Review. Health Econ. Outcome Res. Open Access 2017, 3, 1–8. [Google Scholar]



| Total (N = 4975) | <60 Years (N = 1016) | 60–69 Years (N = 1233) | 70–79 Years (N = 1579) | ≥80 Years (N = 1147) | |||||||
|---|---|---|---|---|---|---|---|---|---|---|---|
| n | % | n | % | n | % | n | % | n | % | p Value * | |
| Sex | <0.001 | ||||||||||
| Male | 2677 | 54% | 625 | 62% | 764 | 62% | 878 | 56% | 410 | 36% | |
| Female | 2298 | 46% | 391 | 38% | 469 | 38% | 701 | 44% | 737 | 64% | |
| Tumor site according to ICD-10 codes C25 | |||||||||||
| Head of pancreas | 2287 | 46% | 419 | 41% | 563 | 46% | 726 | 46% | 579 | 46% | <0.001 |
| Body of pancreas | 467 | 9% | 103 | 10% | 121 | 10% | 159 | 10% | 84 | 10% | |
| Tail of pancreas | 552 | 11% | 143 | 14% | 156 | 13% | 161 | 10% | 92 | 10% | |
| Pancreatic duct | 14 | 0% | 2 | 0% | 5 | 0% | 3 | 0% | 4 | 0% | |
| Endocrine pancreas | 33 | 1% | 13 | 1% | 7 | 1% | 11 | 1% | 2 | 1% | |
| Other parts of pancreas | 27 | 1% | 4 | 0% | 4 | 0% | 12 | 1% | 7 | 1% | |
| Overlapping sites of pancreas | 79 | 2% | 16 | 2% | 27 | 2% | 27 | 2% | 9 | 2% | |
| Unspecified part of pancreas | 1516 | 30% | 316 | 31% | 350 | 28% | 480 | 30% | 370 | 30% | |
| Year of diagnosis | 0.17 | ||||||||||
| 2014 | 906 | 18% | 169 | 17% | 230 | 19% | 300 | 19% | 207 | 18% | |
| 2015 | 987 | 20% | 210 | 21% | 231 | 19% | 302 | 19% | 244 | 21% | |
| 2016 | 1015 | 20% | 207 | 20% | 255 | 21% | 295 | 19% | 258 | 22% | |
| 2017 | 1017 | 20% | 214 | 21% | 248 | 20% | 350 | 22% | 205 | 18% | |
| 2018 | 1050 | 21% | 216 | 21% | 269 | 22% | 332 | 21% | 233 | 20% | |
| Total (N = 4975) | <60 Years (N = 1016) | 60–69 Years (N = 1233) | 70–79 Years (N = 1579) | ≥80 Years (N = 1147) | |||||||
|---|---|---|---|---|---|---|---|---|---|---|---|
| Treatment Patterns | n | % | n | % | n | % | n | % | n | % | p Value * |
| Surgery † | 899 | 18% | 230 | 23% | 255 | 21% | 316 | 20% | 98 | 9% | <0.0001 |
| Unresectable tumor ‡ | 1593 | 32% | 461 | 45% | 529 | 43% | 511 | 32% | 92 | 8% | |
| Palliative or supportive care § | 2483 | 50% | 325 | 32% | 449 | 36% | 752 | 48% | 957 | 83% | |
| Total (N = 4975) | <60 Years (N = 1016) | 60–69 Years (N = 1233) | 70–79 Years (N = 1579) | ≥80 Years (N = 1147) | |||||||||||||||
|---|---|---|---|---|---|---|---|---|---|---|---|---|---|---|---|---|---|---|---|
| Mean | SD | Total | Mean | SD | Total | Mean | SD | Total | Mean | SD | Total | Mean | SD | Total | |||||
| Cost of 1st year | |||||||||||||||||||
| Surgery * | 16,833 | 3965 | 15,132,436 | 17,730 | 5754 | 4,077,879 | 16,876 | 2477 | 4,303,361 | 16,607 | 3512 | 5,247,969 | 15,339 | 2634 | 1,503,227 | ||||
| Unresectable tumor † | 4275 | 7857 | 6,809,555 | 5398 | 9581 | 2,488,343 | 4425 | 8599 | 2,341,049 | 3543 | 5337 | 1,810,384 | 1845 | 3413 | 169,778 | ||||
| Cost of entire treatment | |||||||||||||||||||
| Surgery * | 17,615 | 5093 | 15,836,300 | 18,835 | 7305 | 4,331,975 | 17,558 | 3967 | 4,477,176 | 17,416 | 4307 | 5,503,454 | 15,548 | 2164 | 1,523,696 | ||||
| Unresectable tumor † | 4463 | 8261 | 7,108,976 | 5565 | 10,157 | 2,565,313 | 4687 | 9009 | 2,479,179 | 3706 | 5564 | 1,894,010 | 1853 | 3412 | 170,474 | ||||
Disclaimer/Publisher’s Note: The statements, opinions and data contained in all publications are solely those of the individual author(s) and contributor(s) and not of MDPI and/or the editor(s). MDPI and/or the editor(s) disclaim responsibility for any injury to people or property resulting from any ideas, methods, instructions or products referred to in the content. |
© 2023 by the authors. Licensee MDPI, Basel, Switzerland. This article is an open access article distributed under the terms and conditions of the Creative Commons Attribution (CC BY) license (https://creativecommons.org/licenses/by/4.0/).
Share and Cite
Guarga, L.; Paco, N.; Manchon-Walsh, P.; Vela, E.; Delgadillo, J.; Pontes, C.; Borràs, J.M. Management, Survival, and Costs of Pancreatic Cancer: Population-Based Observational Study in Catalonia. Int. J. Environ. Res. Public Health 2023, 20, 5673. https://doi.org/10.3390/ijerph20095673
Guarga L, Paco N, Manchon-Walsh P, Vela E, Delgadillo J, Pontes C, Borràs JM. Management, Survival, and Costs of Pancreatic Cancer: Population-Based Observational Study in Catalonia. International Journal of Environmental Research and Public Health. 2023; 20(9):5673. https://doi.org/10.3390/ijerph20095673
Chicago/Turabian StyleGuarga, Laura, Noelia Paco, Paula Manchon-Walsh, Emili Vela, Joaquim Delgadillo, Caridad Pontes, and Josep Maria Borràs. 2023. "Management, Survival, and Costs of Pancreatic Cancer: Population-Based Observational Study in Catalonia" International Journal of Environmental Research and Public Health 20, no. 9: 5673. https://doi.org/10.3390/ijerph20095673
APA StyleGuarga, L., Paco, N., Manchon-Walsh, P., Vela, E., Delgadillo, J., Pontes, C., & Borràs, J. M. (2023). Management, Survival, and Costs of Pancreatic Cancer: Population-Based Observational Study in Catalonia. International Journal of Environmental Research and Public Health, 20(9), 5673. https://doi.org/10.3390/ijerph20095673

