Effect of pH on Adsorption of Tetracycline Antibiotics on Graphene Oxide
Abstract
1. Introduction
2. Materials and Methods
2.1. Materials
2.2. Adsorption of GO on Three Tetracycline Antibiotics at Different pH
2.2.1. Adsorption Dynamics
2.2.2. Adsorption Isotherm
2.2.3. Adsorption Thermodynamics
2.3. Characterization before and after Adsorption at Different pH
2.3.1. Preparation of Characterized Samples
2.3.2. Scanning Electron Microscope (SEM)
2.3.3. X-ray Photoelectron Spectroscopy (XPS)
2.3.4. Thermogravimetric Analysis (TGA)
2.4. Effect of GO Adsorption of Antibiotics on Microbial Growth at Different pH
Determination of Growth Curve
3. Results and Discussion
3.1. Absorption Experiment
3.1.1. Adsorption Dynamics
3.1.2. Adsorption Isotherm
3.1.3. Adsorption Thermodynamics
3.2. Characterization of Samples
3.2.1. SEM
3.2.2. XPS
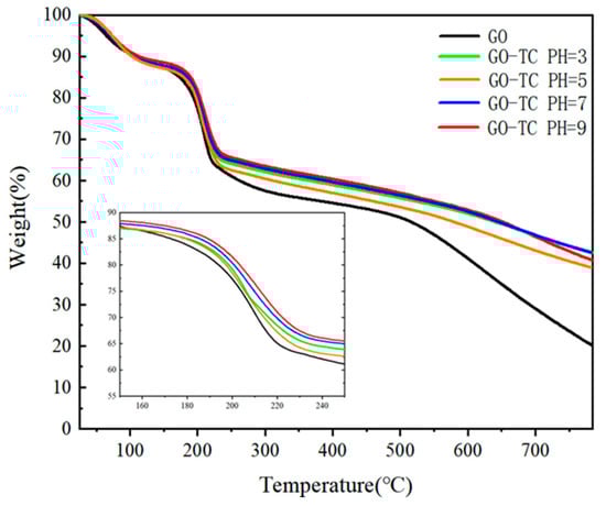
3.2.3. TGA
3.3. Effect of GO Adsorption of Antibiotics on Microorganisms at Different pH
4. Conclusions
Supplementary Materials
Author Contributions
Funding
Institutional Review Board Statement
Informed Consent Statement
Data Availability Statement
Conflicts of Interest
References
- Sørum, H. Antimicrobial Drug Resistance in Fish Pathogens. In Antimicrobial Resistance in Bacteria of Animal Origin; Aarestrup, F.M., Ed.; John Wiley & Sons, Inc.: Hoboken, NJ, USA, 2005; pp. 213–238. [Google Scholar] [CrossRef]
- Lee, H.-J.; Ryu, Y.-J.; Tutkun, L.; Park, E.-K. Determination of oxolinic acid residues in the muscle tissue of olive flounder (Paralichthysolivaceus) by a lateral flow immunoassay. Food Agric. Immunol. 2016, 27, 367–376. [Google Scholar] [CrossRef]
- Vaizoğullar, A.I. ZnO/ZrO2 composites: Synthesis characterization and photocatalytic performance in the degradation of oxytetracycline antibiotic. Mater. Technol. 2019, 34, 433–443. [Google Scholar] [CrossRef]
- Wang, J.; Yao, Q.; Sheng, C.; Jin, C.; Sun, Q. One-Step Preparation of Graphene Oxide/Cellulose Nanofibril Hybrid Aerogel for Adsorptive Removal of Four Kinds of Antibiotics. J. Nanomater. 2017, 2017, 5150613. [Google Scholar] [CrossRef]
- Karaolia, P.; Michael-Kordatou, I.; Hapeshi, E.; Drosou, C.; Bertakis, Y.; Christofilos, D.; Armatas, G.S.; Sygellou, L.; Schwartz, T.; Xekoukoulotakis, N.P.; et al. Removal of antibiotics, antibiotic-resistant bacteria and their associated genes by graphene-based TiO2 composite photocatalysts under solar radiation in urban wastewaters. Appl. Catal. B Environ. 2018, 224, 810–824. [Google Scholar] [CrossRef]
- Zhang, X.; Guo, W.; Ngo, H.H.; Wen, H.; Li, N.; Wu, W. Performance evaluation of powdered activated carbon for removing 28 types of antibiotics from water. J. Environ. Manag. 2016, 172, 193–200. [Google Scholar] [CrossRef]
- Li, M.-f.; Liu, Y.-g.; Zeng, G.-m.; Liu, N.; Liu, S.-b. Graphene and graphene-based nanocomposites used for antibiotics removal in water treatment: A review. Chemosphere 2019, 226, 360–380. [Google Scholar] [CrossRef]
- Miao, J.; Wang, F.; Chen, Y.; Zhu, Y.; Zhou, Y.; Zhang, S. The adsorption performance of tetracyclines on magnetic graphene oxide: A novel antibiotics absorbent. Appl. Surf. Sci. 2019, 475, 549–558. [Google Scholar] [CrossRef]
- Yao, N.; Li, C.; Yu, J.; Xu, Q.; Wei, S.; Tian, Z.; Yang, Z.; Yang, W.; Shen, J. Insight into adsorption of combined antibiotic-heavy metal contaminants on graphene oxide in water. Sep. Purif. Technol. 2020, 236, 116278. [Google Scholar] [CrossRef]
- Dreyer, D.R.; Park, S.; Bielawski, C.W.; Ruoff, R.S. The chemistry of graphene oxide. Chem. Soc. Rev. 2010, 39, 228–240. [Google Scholar] [CrossRef]
- Chen, H.; Gao, B.; Li, H. Removal of sulfamethoxazole and ciprofloxacin from aqueous solutions by graphene oxide. J. Hazard. Mater. 2015, 282, 201–207. [Google Scholar] [CrossRef] [PubMed]
- Ersan, G.; Apul, O.G.; Perreault, F.; Karanfil, T. Adsorption of organic contaminants by graphene nanosheets: A review. Water Res. 2017, 126, 385–398. [Google Scholar] [CrossRef] [PubMed]
- Xu, L.; Wang, J. The application of graphene-based materials for the removal of heavy metals and radionuclides from water and wastewater. Crit. Rev. Environ. Sci. Technol. 2017, 47, 1042–1105. [Google Scholar] [CrossRef]
- De Marchi, L.; Pretti, C.; Gabriel, B.; Marques, P.A.A.P.; Freitas, R.; Neto, V. An overview of graphene materials: Properties, applications and toxicity on aquatic environments. Sci. Total Environ. 2018, 631–632, 1440–1456. [Google Scholar] [CrossRef]
- Brigante, M.; Schulz, P.C. Adsorption of the antibiotic minocycline on cerium(IV) oxide: Effect of pH, ionic strength and temperature. Microporous Mesoporous Mater. 2012, 156, 138–144. [Google Scholar] [CrossRef]
- Luo, B.; Huang, G.; Yao, Y.; An, C.; Zhang, P.; Zhao, K. Investigation into the influencing factors and adsorption characteristics in the removal of sulfonamide antibiotics by carbonaceous materials. J. Clean. Prod. 2021, 319, 128692. [Google Scholar] [CrossRef]
- Wang, M.; You, X.-Y. Efficient adsorption of antibiotics and heavy metals from aqueous solution by structural designed PSSMA-functionalized-chitosan magnetic composite. Chem. Eng. J. 2023, 454, 140417. [Google Scholar] [CrossRef]
- Putranto, A.; Ng, Z.W.; Hadibarata, T.; Aziz, M.; Yeo, J.Y.J.; Ismadji, S.; Sunarso, J. Effects of pyrolysis temperature and impregnation ratio on adsorption kinetics and isotherm of methylene blue on corn cobs activated carbons. S. Afr. J. Chem. Eng. 2022, 42, 91–97. [Google Scholar] [CrossRef]
- Yagnamurthy, S.; Rakshit, D.; Jain, S.; Rocky, K.A.; Islam, M.A.; Saha, B.B. Adsorption of difluoromethane onto activated carbon based composites: Adsorption kinetics, heat of adsorption, cooling performance and irreversibility evaluation. Appl. Therm. Eng. 2022, 210, 118359. [Google Scholar] [CrossRef]
- Zhang, X.; Yuan, N.; Xu, S.; Li, Y.; Wang, Q. Efficient adsorptive elimination of organic pollutants from aqueous solutions on ZIF-8/MWCNTs-COOH nanoadsorbents: Adsorption kinetics, isotherms, and thermodynamic study. J. Ind. Eng. Chem. 2022, 111, 155–167. [Google Scholar] [CrossRef]
- Dev, V.V.; Nair, K.K.; Baburaj, G.; Krishnan, K.A. Pushing the boundaries of heavy metal adsorption: A commentary on strategies to improve adsorption efficiency and modulate process mechanisms. Colloid Interface Sci. Commun. 2022, 49, 100626. [Google Scholar] [CrossRef]
- Carrales-Alvarado, D.H.; Rodríguez-Ramos, I.; Leyva-Ramos, R.; Mendoza-Mendoza, E.; Villela-Martínez, D.E. Effect of surface area and physical–chemical properties of graphite and graphene-based materials on their adsorption capacity towards metronidazole and trimethoprim antibiotics in aqueous solution. Chem. Eng. J. 2020, 402, 126155. [Google Scholar] [CrossRef]
- Korać Jačić, J.; Milenković, M.R.; Bajuk-Bogdanović, D.; Stanković, D.; Dimitrijević, M.; Spasojević, I. The impact of ferric iron and pH on photo-degradation of tetracycline in water. J. Photochem. Photobiol. A Chem. 2022, 433, 114155. [Google Scholar] [CrossRef]
- Ali, J.; Li, Y.; Shang, E.; Wang, X.; Zhao, J.; Mohiuddin, M.; Xia, X. Aggregation of graphene oxide and its environmental implications in the aquatic environment. Chin. Chem. Lett. 2023, 34, 107327. [Google Scholar] [CrossRef]
- Li, X.; Tang, X.; Fang, Y. Using graphene oxide as a superior adsorbent for the highly efficient immobilization of Cu(II) from aqueous solution. J. Mol. Liq. 2014, 199, 237–243. [Google Scholar] [CrossRef]
- Wu, W.; Hu, Y.; Guo, Q.; Yan, J.; Chen, Y.; Cheng, J. Sorption/desorption behavior of triclosan in sediment–water–rhamnolipid systems: Effects of pH, ionic strength, and DOM. J. Hazard. Mater. 2015, 297, 59–65. [Google Scholar] [CrossRef]
- Hamscher, G.; Sczesny, S.; Abu-Qare, A.; Höper, H.; Nau, H. Substances with pharmacological effects including hormonally active substances in the environment: Identification of tetracyclines in soil fertilized with animal slurry. Dtsch. Tierarztl. Wochenschr. 2000, 107, 332–334. [Google Scholar]
- Chinnathambi, S.; Euverink, G.J.W. Hydrothermally reduced graphene oxide as a sensing material for electrically transduced pH sensors. J. Electroanal. Chem. 2021, 895, 115530. [Google Scholar] [CrossRef]
- Gao, Y.; Li, Y.; Zhang, L.; Huang, H.; Hu, J.; Shah, S.M.; Su, X. Adsorption and removal of tetracycline antibiotics from aqueous solution by graphene oxide. J. Colloid Interface Sci. 2012, 368, 540–546. [Google Scholar] [CrossRef]
- Harrower, J.; McNaughtan, M.; Hunter, C.; Hough, R.; Zhang, Z.; Helwig, K. Chemical Fate and Partitioning Behavior of Antibiotics in the Aquatic Environment—A Review. Environ. Toxicol. Chem. 2021, 40, 3275–3298. [Google Scholar] [CrossRef]
- Scaria, J.; Anupama, K.V.; Nidheesh, P.V. Tetracyclines in the environment: An overview on the occurrence, fate, toxicity, detection, removal methods, and sludge management. Sci. Total Environ. 2021, 771, 145291. [Google Scholar] [CrossRef]
- Sulyman, M.; Kucinska-Lipka, J.; Sienkiewicz, M.; Gierak, A. Development, characterization and evaluation of composite adsorbent for the adsorption of crystal violet from aqueous solution: Isotherm, kinetics, and thermodynamic studies. Arab. J. Chem. 2021, 14, 103115. [Google Scholar] [CrossRef]
- Wang, J.; Guo, X. Adsorption isotherm models: Classification, physical meaning, application and solving method. Chemosphere 2020, 258, 127279. [Google Scholar] [CrossRef] [PubMed]
- Liu, N.; Yu, F.; Wang, Y.; Ma, J. Effects of environmental aging on the adsorption behavior of antibiotics from aqueous solutions in microplastic-graphene coexisting systems. Sci. Total Environ. 2022, 806, 150956. [Google Scholar] [CrossRef] [PubMed]
- Xia, J.; Zhu, Y.; Jin, X.; Wu, H. Unravelling the bindings between organic molecule and reduced graphene oxide in aqueous environment. Carbon 2020, 167, 345–350. [Google Scholar] [CrossRef]
- Tan, I.A.W.; Ahmad, A.L.; Hameed, B.H. Adsorption of basic dye using activated carbon prepared from oil palm shell: Batch and fixed bed studies. Desalination 2008, 225, 13–28. [Google Scholar] [CrossRef]
- Kaveeshwar, A.R.; Ponnusamy, S.K.; Revellame, E.D.; Gang, D.D.; Zappi, M.E.; Subramaniam, R. Pecan shell based activated carbon for removal of iron(II) from fracking wastewater: Adsorption kinetics, isotherm and thermodynamic studies. Process Saf. Environ. Prot. 2018, 114, 107–122. [Google Scholar] [CrossRef]
- Cheng, B.; Le, Y.; Cai, W.; Yu, J. Synthesis of hierarchical Ni(OH)2 and NiO nanosheets and their adsorption kinetics and isotherms to Congo red in water. J. Hazard. Mater. 2011, 185, 889–897. [Google Scholar] [CrossRef]
- Liao, W.; Zhang, X.; Ke, S.; Shao, J.; Yang, H.; Zhang, S.; Chen, H. Effect of different biomass species and pyrolysis temperatures on heavy metal adsorption, stability and economy of biochar. Ind. Crops Prod. 2022, 186, 115238. [Google Scholar] [CrossRef]
- Liu, L.; Lin, Y.; Liu, Y.; Zhu, H.; He, Q. Removal of Methylene Blue from Aqueous Solutions by Sewage Sludge Based Granular Activated Carbon: Adsorption Equilibrium, Kinetics, and Thermodynamics. J. Chem. Eng. Data 2013, 58, 2248–2253. [Google Scholar] [CrossRef]
- Wu, Y.; Luo, H.; Wang, H.; Wang, C.; Zhang, J.; Zhang, Z. Adsorption of hexavalent chromium from aqueous solutions by graphene modified with cetyltrimethylammonium bromide. J. Colloid Interface Sci. 2013, 394, 183–191. [Google Scholar] [CrossRef]
- Yu, Y.; Zhuang, Y.-Y.; Wang, Z.-H.; Qiu, M.-Q. Adsorption of water-soluble dyes onto modified resin. Chemosphere 2004, 54, 425–430. [Google Scholar] [CrossRef] [PubMed]
- Carvalho, T.; Pereira, A.d.S.; Bonomo, R.C.F.; Franco, M.; Finotelli, P.V.; Amaral, P.F.F. Simple physical adsorption technique to immobilize Yarrowia lipolytica lipase purified by different methods on magnetic nanoparticles: Adsorption isotherms and thermodynamic approach. Int. J. Biol. Macromol. 2020, 160, 889–902. [Google Scholar] [CrossRef] [PubMed]
- Huang, H.; Li, R.; Lyu, Z.; Cheng, Y.; Zhao, B.; Jiang, Z.; Zhang, Y.; Xiong, F. Comparative study of methane adsorption of Middle-Upper Ordovician marine shales in the western Ordos Basin, NW China: Insights into impacts of moisture on thermodynamics and kinetics of adsorption. Chem. Eng. J. 2022, 446, 137411. [Google Scholar] [CrossRef]
- Shi, C.; Qian, B.; Wang, Q.; Zunino, F.; Zhao, J.; Shen, X. Structure analysis of beta dicalcium silicate via scanning transmission electron microscope (STEM). Constr. Build. Mater. 2022, 348, 128720. [Google Scholar] [CrossRef]
- Lv, W.; You, C.-H.; Wu, S.; Li, B.; Zhu, Z.-P.; Wang, M.; Yang, Q.-H.; Kang, F. pH-Mediated fine-tuning of optical properties of graphene oxide membranes. Carbon 2012, 50, 3233–3239. [Google Scholar] [CrossRef]
- Adel, M.; Ahmed, M.A.; Elabiad, M.A.; Mohamed, A.A. Removal of heavy metals and dyes from wastewater using graphene oxide-based nanomaterials: A critical review. Environ. Nanotechnol. Monit. Manag. 2022, 18, 100719. [Google Scholar] [CrossRef]
- Karaphun, A.; Phrompet, C.; Tuichai, W.; Chanlek, N.; Sriwong, C.; Ruttanapun, C. The influence of annealing on a large specific surface area and enhancing electrochemical properties of reduced graphene oxide to improve the performance of the active electrode of supercapacitor devices. Mater. Sci. Eng. B 2021, 264, 114941. [Google Scholar] [CrossRef]
- Whitby, R.L.D.; Korobeinyk, A.; Gun’ko, V.M.; Busquets, R.; Cundy, A.B.; László, K.; Skubiszewska-Zięba, J.; Leboda, R.; Tombacz, E.; Toth, I.Y.; et al. pH-driven physicochemical conformational changes of single-layer graphene oxide. Chem. Commun. 2011, 47, 9645–9647. [Google Scholar] [CrossRef]
- Wu, H.; Lu, W.; Shao, J.-j.; Zhang, C.; Wu, M.-b.; Li, B.-h.; Yang, Q.-h. pH-dependent size, surface chemistry and electrochemical properties of graphene oxide. New Carbon Mater. 2013, 28, 327–335. [Google Scholar] [CrossRef]
- Biswas, H.S.; Bala, S.; Kundu, A.K.; Saha, I.; Poddar, S.; Sarkar, S.; Mandal, P. Tuned synthesis and designed characterization of graphene oxide thin film. Inorg. Chem. Commun. 2022, 139, 109356. [Google Scholar] [CrossRef]
- Liao, K.; Ren, Z.; Fu, L.; Peng, F.; Jiang, L.; Gu, W.; Zhang, X.; Bai, J.; He, Y. Effects of surfactants on dispersibility of graphene oxide dispersion and their potential application for enhanced oil recovery. J. Pet. Sci. Eng. 2022, 213, 110372. [Google Scholar] [CrossRef]
- Yan, H.; Tao, X.; Yang, Z.; Li, K.; Yang, H.; Li, A.; Cheng, R. Effects of the oxidation degree of graphene oxide on the adsorption of methylene blue. J. Hazard. Mater. 2014, 268, 191–198. [Google Scholar] [CrossRef] [PubMed]
- Verma, S.; Das, T.; Pandey, V.K.; Verma, B. Facile and scalable synthesis of reduced-graphene oxide using different green reducing agents and its characterizations. Diam. Relat. Mater. 2022, 129, 109361. [Google Scholar] [CrossRef]
- Singh, P.K.; Sharma, K.; Singh, P.K. Electro-magneto-chemical synthesis and characterization of thermally reduced graphene oxide: Influence of magnetic field and cyclic thermal loading on microstructural properties. J. Solid State Chem. 2022, 312, 123219. [Google Scholar] [CrossRef]
- Xu, C.; Wang, X.; Zhu, J.; Yang, X.; Lu, L. Deposition of Co3O4nanoparticles onto exfoliated graphite oxide sheets. J. Mater. Chem. 2008, 18, 5625–5629. [Google Scholar] [CrossRef]
- Zhu, Y.; Murali, S.; Cai, W.; Li, X.; Suk, J.W.; Potts, J.R.; Ruoff, R.S. Graphene and Graphene Oxide: Synthesis, Properties, and Applications. Adv. Mater. 2010, 22, 3906–3924. [Google Scholar] [CrossRef] [PubMed]
- Chavasit, V.; Photi, J.; Purttiponthanee, S.; Saekoo, P. Chapter 11—Use of Bacterial Growth Curve for Assessing Risk of Microbiological Pathogens in Food Products. In Microbial Contamination and Food Degradation; Holban, A.M., Grumezescu, A.M., Eds.; Academic Press: Cambridge, MA, USA, 2018; pp. 341–365. [Google Scholar]
- Bousiakou, L.G.; Qindeel, R.; Al-Dossary, O.M.; Kalkani, H. Synthesis and characterization of graphene oxide (GO) sheets for pathogen inhibition: Escherichia coli, Staphylococcus aureus and Pseudomonas aeruginosa. J. King Saud Univ. Sci. 2022, 34, 102002. [Google Scholar] [CrossRef]
- Ai, Y.; Liu, Y.; Huo, Y.; Zhao, C.; Sun, L.; Han, B.; Cao, X.; Wang, X. Insights into the adsorption mechanism and dynamic behavior of tetracycline antibiotics on reduced graphene oxide (RGO) and graphene oxide (GO) materials. Environ. Sci. Nano 2019, 6, 3336–3348. [Google Scholar] [CrossRef]






| Adsorbates | pH | qe,exp (mg/g) | Pseudo-Second-Order | Pseudo-First-Order | ||||
|---|---|---|---|---|---|---|---|---|
| k2 | qe (mg/g) | R2 | k1 | qe (mg/g) | R2 | |||
| TC | 3 | 128.3 | 0.1971 | 121.68 | 0.99 | 14.90 | 117.83 | 0.91 |
| 5 | 133.0 | 0.2158 | 123.88 | 0.96 | 16.88 | 119.78 | 0.87 | |
| 7 | 125.6 | 0.1813 | 118.31 | 0.98 | 15.83 | 114.45 | 0.90 | |
| 9 | 116.2 | 0.1489 | 107.19 | 0.98 | 10.15 | 103.68 | 0.93 | |
| OTC | 3 | 117.1 | 0.4098 | 110.70 | 0.97 | 30.30 | 106.95 | 0.85 |
| 5 | 125.4 | 0.4307 | 115.42 | 0.96 | 32.30 | 111.63 | 0.84 | |
| 7 | 115.6 | 0.3272 | 107.03 | 0.98 | 22.20 | 103.66 | 0.88 | |
| 9 | 104.6 | 0.2665 | 94.43 | 0.97 | 15.85 | 91.42 | 0.91 | |
| CTC | 3 | 160.9 | 0.5259 | 151.78 | 0.98 | 52.36 | 147.06 | 0.74 |
| 5 | 167.0 | 0.5615 | 157.98 | 0.97 | 57.02 | 153.22 | 0.69 | |
| 7 | 153.6 | 0.3972 | 150.25 | 0.98 | 36.20 | 145.37 | 0.79 | |
| 9 | 143.9 | 0.3689 | 137.93 | 0.96 | 40.69 | 133.59 | 0.82 | |
| Adsorbates | Temperature (K) | pH | Langmuir | Freundlich | ||||
|---|---|---|---|---|---|---|---|---|
| b (L/mg) | Q0 (mg/g) | R2 | Kf (mg1−n·Ln·g−1) | 1/n | R2 | |||
| TC | 288 | 3 | 0.5097 | 132.73 | 0.99 | 46.22 | 0.3545 | 0.95 |
| 5 | 0.6264 | 137.65 | 0.99 | 51.77 | 0.3446 | 0.95 | ||
| 7 | 0.3823 | 130.33 | 0.99 | 39.28 | 0.3968 | 0.97 | ||
| 9 | 0.3568 | 119.15 | 0.99 | 36.67 | 0.3659 | 0.95 | ||
| 298 | 3 | 0.4765 | 138.05 | 0.99 | 46.41 | 0.3679 | 0.95 | |
| 5 | 0.5884 | 141.66 | 0.99 | 51.49 | 0.3559 | 0.94 | ||
| 7 | 0.3769 | 137.30 | 0.99 | 41.29 | 0.3924 | 0.96 | ||
| 9 | 0.2711 | 131.52 | 0.99 | 34.29 | 0.4116 | 0.97 | ||
| 308 | 3 | 0.2980 | 179.75 | 0.99 | 45.38 | 0.4669 | 0.95 | |
| 5 | 0.4213 | 182.91 | 0.98 | 52.75 | 0.4216 | 0.92 | ||
| 7 | 0.2245 | 170.36 | 0.99 | 38.19 | 0.4977 | 0.97 | ||
| 9 | 0.2067 | 153.16 | 0.99 | 34.80 | 0.4578 | 0.98 | ||
| OTC | 288 | 3 | 0.4391 | 117.27 | 0.99 | 40.87 | 0.3328 | 0.96 |
| 5 | 0.4598 | 130.79 | 0.98 | 44.08 | 0.3497 | 0.97 | ||
| 7 | 0.2925 | 120.30 | 0.99 | 33.35 | 0.3883 | 0.96 | ||
| 9 | 0.2706 | 116.23 | 0.99 | 32.81 | 0.3791 | 0.96 | ||
| 298 | 3 | 0.4160 | 123.87 | 0.98 | 43.59 | 0.3278 | 0.96 | |
| 5 | 0.6464 | 134.54 | 0.99 | 54.04 | 0.3142 | 0.95 | ||
| 7 | 0.3804 | 123.31 | 0.98 | 41.63 | 0.3366 | 0.96 | ||
| 9 | 0.4262 | 114.06 | 0.98 | 40.33 | 0.3232 | 0.96 | ||
| 308 | 3 | 0.3443 | 165.13 | 0.99 | 48.17 | 0.4149 | 0.98 | |
| 5 | 0.3860 | 176.62 | 0.99 | 50.64 | 0.4253 | 0.97 | ||
| 7 | 0.2389 | 171.68 | 0.99 | 40.87 | 0.4561 | 0.98 | ||
| 9 | 0.2861 | 144.75 | 0.99 | 39.54 | 0.4071 | 0.98 | ||
| CTC | 288 | 3 | 0.306 | 202.58 | 0.99 | 51.11 | 0.4870 | 0.95 |
| 5 | 0.3358 | 218.48 | 0.99 | 56.74 | 0.5092 | 0.97 | ||
| 7 | 0.2966 | 189.31 | 0.99 | 47.27 | 0.4794 | 0.96 | ||
| 9 | 0.2883 | 170.11 | 0.99 | 44.02 | 0.4433 | 0.95 | ||
| 298 | 3 | 0.3407 | 210.16 | 0.99 | 55.19 | 0.4957 | 0.95 | |
| 5 | 0.3712 | 218.60 | 0.99 | 59.22 | 0.5109 | 0.97 | ||
| 7 | 0.3221 | 192.93 | 0.99 | 50.09 | 0.4776 | 0.96 | ||
| 9 | 0.3179 | 175.87 | 0.99 | 47.39 | 0.4428 | 0.95 | ||
| 308 | 3 | 0.9099 | 194.45 | 0.99 | 85.99 | 0.3708 | 0.96 | |
| 5 | 0.9587 | 203.26 | 0.99 | 90.98 | 0.3957 | 0.97 | ||
| 7 | 0.8167 | 187.48 | 0.99 | 77.77 | 0.3843 | 0.96 | ||
| 9 | 0.5634 | 190.55 | 0.99 | 68.56 | 0.4059 | 0.97 | ||
| pH | △G0 (kJ/mol) | △S0 (J/(mol·K)) | △H0 (kJ/mol) | R2 | |||
|---|---|---|---|---|---|---|---|
| 288 K | 298 K | 308 K | |||||
| TC | 3 | −11.02 | −11.79 | −12.32 | 65.07 | 7.68 | 0.9315 |
| 5 | −11.98 | −12.99 | −13.89 | 95.42 | 15.48 | 0.9965 | |
| 7 | −10.22 | −10.85 | −11.45 | 61.73 | 7.55 | 0.9986 | |
| 9 | −9.78 | −10.23 | −10.86 | 53.46 | 5.64 | 0.9225 | |
| OTC | 3 | −11.43 | −12.57 | −13.51 | 112.66 | 18.59 | 0.9924 |
| 5 | −11.78 | −13.5 | −15.02 | 162.70 | 35.05 | 0.9977 | |
| 7 | −10.97 | −12.08 | −13.18 | 102.07 | 20.82 | 0.9979 | |
| 9 | −8.77 | −10.61 | −12.30 | 76.71 | 8.77 | 0.9999 | |
| CTC | 3 | −9.88 | −10.69 | −11.64 | 88.11 | 15.52 | 0.9945 |
| 5 | −10.56 | −11.72 | −12.96 | 120.32 | 24.11 | 0.9991 | |
| 7 | −9.82 | −10.36 | −10.84 | 51.11 | 4.89 | 0.9941 | |
| 9 | −9.44 | −9.93 | −10.59 | 40.78 | 3.80 | 0.9639 | |
| C (%) | O (%) | C/O | C-C/C=C (%) | C-O (%) | C=O (%) | |
|---|---|---|---|---|---|---|
| GO | 68.7 | 29.29 | 2.35 | 49.55 | 44.66 | 4.63 |
| GO-TC pH = 3 | 58.53 | 29.62 | 1.97 | 53.26 | 40.35 | 6.39 |
| GO-TC pH = 5 | 68.79 | 29.63 | 2.32 | 50.25 | 42.71 | 7.03 |
| GO-TC pH = 7 | 73.54 | 25.09 | 2.93 | 63.73 | 30.02 | 6.25 |
| GO-TC pH = 9 | 80.64 | 15.33 | 5.26 | 77.86 | 15.01 | 7.13 |
Disclaimer/Publisher’s Note: The statements, opinions and data contained in all publications are solely those of the individual author(s) and contributor(s) and not of MDPI and/or the editor(s). MDPI and/or the editor(s) disclaim responsibility for any injury to people or property resulting from any ideas, methods, instructions or products referred to in the content. |
© 2023 by the authors. Licensee MDPI, Basel, Switzerland. This article is an open access article distributed under the terms and conditions of the Creative Commons Attribution (CC BY) license (https://creativecommons.org/licenses/by/4.0/).
Share and Cite
Li, Z.; Jiang, H.; Wang, X.; Wang, C.; Wei, X. Effect of pH on Adsorption of Tetracycline Antibiotics on Graphene Oxide. Int. J. Environ. Res. Public Health 2023, 20, 2448. https://doi.org/10.3390/ijerph20032448
Li Z, Jiang H, Wang X, Wang C, Wei X. Effect of pH on Adsorption of Tetracycline Antibiotics on Graphene Oxide. International Journal of Environmental Research and Public Health. 2023; 20(3):2448. https://doi.org/10.3390/ijerph20032448
Chicago/Turabian StyleLi, Zhenghao, Hua Jiang, Xipeng Wang, Cunfang Wang, and Xiangsheng Wei. 2023. "Effect of pH on Adsorption of Tetracycline Antibiotics on Graphene Oxide" International Journal of Environmental Research and Public Health 20, no. 3: 2448. https://doi.org/10.3390/ijerph20032448
APA StyleLi, Z., Jiang, H., Wang, X., Wang, C., & Wei, X. (2023). Effect of pH on Adsorption of Tetracycline Antibiotics on Graphene Oxide. International Journal of Environmental Research and Public Health, 20(3), 2448. https://doi.org/10.3390/ijerph20032448
