Abstract
Background: Intention to smoke is an important predictor of future smoking among adolescents. The purpose of our study was to examine the interaction between academic performance and parents/peer tobacco use on adolescents’ intention to smoke. Methods: A multi-stage stratified sampling was used to select participants, involving 9394 students aged between 9–16 years in Changchun city, northeastern China. Multiple logistic regression analyses were conducted to examine the individual effect of academic performance and peer/parental smoking behavior. Stratified logistic regressions were conducted to examine the protective effect of academic performance based on peer or parental smoking. Interaction effects of academic performance × peer/parental smoking on adolescents’ intention to smoke were tested. Results: Of all the non-smoking students sampled, 11.9% intended to smoke within the next five years. The individual effect of academic performance and peer/parental smoking was significant. The protective effect of academic performance on the intention to smoke was significant regardless of whether peers smoked or not. However, the protective effect was not significant among adolescents with only maternal smoking and both parental smoking. The current study found the significant interaction effects of academic performance × peer smoking and the academic performance × both parents’ smoking. Students with poor academic performance were more likely to intend to smoke if their peers or both parents smoked. Conclusion: These preliminary results suggest that peer smoking or smoking by both parents reinforces the association between low academic performance and the intention to smoke among adolescents. Enhancing school engagement, focusing on social interaction among adolescents with low academic performance, and building smoke-free families may reduce adolescents’ intention to smoke.
1. Introduction
Tobacco use by adolescents is a global public health concern. Surveys of tobacco use among adolescents aged between 13–15 in Asia reported that the current cigarette smoking prevalence among adolescents was 3.9% in China, 3.4% in Iran, and 4.3% in Singapore [1]. However, the adult smoking rate in China was as high as 26.6% [2] compared with 12% in Iran [3] and 16% in Singapore [4]. As smoking prevalence among adolescents is low but adult smoking prevalence is high, the driving factors deserve more attention. Behavioral exposures resulting from high social smoking rates in Chinese society may be one of the factors that motivate non-smoking adolescents to become smokers as adults [5]. That means that non-smoking adolescents are influenced by smokers in their families, schools, and communities to gradually become smokers [6,7]. Specifically, the process would be long, and adolescents may not decide to smoke immediately due to practical constraints but, rather, may try to smoke in the future after developing an intention to smoke.
Intention to smoke is a valid and reliable predictor of smoking behavior [8]. According to the theory of planned behavior, intentions and behaviors are consistent [9]. Specifically, social behavior is a goal-oriented outcome and a direct result of the intention [10]. Although there is a gap between the number of adolescents who intend to smoke and the prevalence of smoking in matched ages [11], the intention to smoke among adolescents is closely linked to adult smoking, which has been examined in a variety of studies [8,12,13,14]. Several longitudinal studies conducted in Europe have shown that the onset of tobacco use in numerous lifelong smokers can be traced back to their cognition and attitude toward tobacco use in middle school or even the elementary school [15,16]. Thus, adolescence is a prime period for tobacco intervention—it is an urgent public health goal to identify the factors influencing smoking intentions among the youth.
Prior studies have placed special emphasis on the impact of the school environment on children’s behaviors and attitudes [17,18] as school is the primary environment in which adolescents grow up and acquire necessary knowledge and skills. The social-control theory asserts that strong social bonds, which consist of four main factors (attachment, commitment, involvement, and belief), can inhibit individuals from engaging in risky behaviors [19]. Individuals are not bound by norms if they are not concerned with their social connections to others [20]. The stronger the bond, the less likely it is that adolescents tend to deviate [21]. Youth achievement in school usually represents social bonding elements in the social-control theory [22]. High-academic achievers who are recognized by their teachers, peers, and parents typically establish strong school ties, engage in the school environment [23], and establish psychological identification with their internal school rules [24], thus avoiding the intention to smoke. Low academic achievers are commonly not recognized in the campus environment, which results in a weaker connection to their campus and a reluctance to follow campus rules [25]. Therefore, adolescents’ weak ties with the campus due to low academic performance result in an increased risk of smoking interest in adolescence [26,27]. In support of this view, previous studies have noted that academic performance and intentions to smoke are highly correlated during adolescence [27,28,29,30]. A large-scale longitudinal study in Finland showed that students with poor academic performance were six times more likely to smoke regularly than those with good academic performance [31]. In China, evidence from a multiethnic survey found that students with academic performance in the last 25% and lower than 50% categories were more likely to have the intention to smoke [32]. Moreover, academic performance was shown to reflect students’ ability to control or manage themselves [33]. Researchers further pointed out that lower achievers may be more vulnerable to smoking because they feel less capable of resisting various temptations [25,28]. Based on the above literature, the relationship between adolescents’ academic performance and other smoking risk factors may vary at different academic performance levels. If so, youth smoking prevention programs may benefit from this knowledge and can potentially be improved.
According to the social learning theory [34,35] smoking intentions and behavior can be acquired through a learning process in which imitation and differential reinforcement play key roles [36,37]. This indicates that the perceptions and behaviors of smoking can be affected by environmental exposures, such as intergenerational influences in the family and peer influences from shared settings [38,39]. Parental smoking behavior may serve as a model for adolescents and be interpreted by their children as a tacit license for addictive-substance use [40]. Prior research discovered that adolescents whose parents smoke are more likely to smoke in the future than children in tobacco-free homes [41]. Moreover, a large body of published research supports the idea that their close friends’ smoking increases the risk of future smoking among adolescents [42], and young people’s initiation of smoking is likely triggered by their best friends [43]. In-school groups are a traceable starting point for the developmental trajectory of adolescents’ substance-use intentions [44,45]. Once someone in the group smokes, those involved in tobacco use force the negative norms and values on the group members, thereby changing non-smokers’ perceptions about tobacco to be consistent with the expectations of the group [46].
Bronfenbrenner’s human ecological perspectives provide a conceptual framework for our study of the interaction. Bronfenbrenner argued that human development occurs in a complex set of nested environments [47]. Family, peer, and school environments are defined as microsystems that belong to the proximal environment and have a specific and direct influence on adolescents’ behavioral intentions. Although early studies suggest that adolescent tobacco-use intentions and behaviors among adolescents are directly influenced by microsystems such as school involvement and family environment [48,49], there is limited research on the combined effects of these proximal systems. Research on adolescent smoking intentions needs to be expanded to mesosystems that include interactions between families, peer groups, and schools and receive more attention. Poor academic performance and parental/peer smoking may coexist; however, few studies have considered the interaction effect on adolescent smoking intentions. Compared with the intervention of a single risk factor, exploring the combined effect of multiple risk factors will help formulate adolescent health-promotion strategies and prevent the occurrence of smoking intentions and behaviors in multiple contexts [50]. Therefore, this study aimed to explore the interaction between academic performance and parental/peer smoking on adolescents’ intention to smoke. Our study will provide a more thorough understanding of the link between smoking risk factors and a better understanding of the smoking process and potentially identify more intervention targets.
2. Materials and Methods
2.1. Data Collection and Participants
Data from this study were collected as part of a cross-sectional study on the prevalence of health risk behaviors in primary and secondary school students in Changchun, Jilin Province, China. Changchun is located in northeastern China, has a population of over nine million, and is a core city in the high-latitude region of China. The 2013 China Urban Tobacco Prevalence Survey, organized by the Chinese CDC and the US CDC, showed that the overall smoking rate among urban adults (aged 15+) in Changchun was 23.5%, with 43.2% for men and 3.8% for women [51], which is similar to national level. Thus, Changchun is a typical city for studying tobacco use among adolescents.
This study was conducted in collaboration with Changchun Center for Health Education. The samples for this study were selected using multistage stratified cluster sampling. In the first stage, six districts with different economic levels in Changchun city were selected. Second, three secondary schools and three elementary schools in each district were randomly chosen. Survey participants comprised students in grades 4–6 in elementary schools and grades 7–8 in middle schools. Third, whole-group sampling was conducted, using 2–3 classes in each grade for each target school. Participants who refused to answer were excluded, and 9893 questionnaires were collected after distributing 10,157 questionnaires, with a response rate of 97.4%. After removing the samples with smoking experience (N = 227), a missing dependent variable (intention to smoke) (N = 255), or having logical contradictions (N = 17) in their answers, 9394 participants were selected.
The survey was a self-administered questionnaire provided to the students by teachers and school physicians. Teachers and school physicians were trained by the Changchun Center for Health Education. Teachers and school physicians could only respond to the questions asked by the students and did not interfere with their responses. To screen out smokers, all respondents completed questions about their smoking experiences and current smoking. Former and current smokers were excluded from this study. Permission to carry out the survey was obtained from students and their guardians. In the present study, a passive-informed consent procedure was used in which adolescents and their guardians were informed about the study by the school before data collection. During the school day, data collection was conducted in the classroom, and the students answered the questionnaire anonymously. If students or their guardians refused to participate in the study, they signed an informed consent form at the school or provided a verbal notification before the start of the survey. The study was approved by the Medical Ethics Committee of the School of Public Health at Jilin University. The approval number is 2020-10-16.
2.2. Measures
2.2.1. Smoking Experience
The students were asked to indicate their smoking experience using two questions: (1) “Have you ever smoked (even one or two puffs; smoking in this questionnaire includes cigarettes and other tobacco products such as e-cigarettes, hookahs, etc.)”? (2) “Have you smoked in the past 30 days”? The response options were “yes” and “no”. Participants who answered “no” to both questions were considered non-smokers.
2.2.2. Academic Performance
Students were asked to indicate their average school-grade ranking in their class for the most recent academic year. The response options were as follows: 1 = poorest, 2 = lower 20%, 3 = medium 20%, 4 = higher 20%, and 5 = excellent.
2.2.3. Parental Tobacco Use
The students were asked to indicate their parental tobacco use by answering one question: (1) “Does any of the following people smoke at home”? The response options were as follows: 1 = none, 2 = only mother, 3 = only father, and 4 = both father and mother.
2.2.4. Intention to Smoke
Students were asked to indicate their intention to smoke by answering the following question: (1) “Do you think you will smoke within the next five years”? The response options were 1 = definitely no, 2 = probably no, 3 = probably yes, and 4 = definitely yes. Based on a rationale derived from Pierce et al.’s method of assessing smoking susceptibility [48,52,53], those who answered “probably no”, “probably yes”, and “definitely yes” were classified as “intend to smoke”, and those who answered, “definitely no” were classified as ”don’t intend to smoke”.
2.2.5. Peer Tobacco Use
The students were asked to indicate their peers’ tobacco use using one question: (1) “How many of your friends smoke”? Responses were rated on a 4-point Likert-type scale: 1 = none, 2 = some, 3 = most, and 4 = all. Responses were recorded as follows: 1 = no peers smoking; 2 = peer smoking.
2.2.6. Control Variables
Other variables that could confound the relationship between parental or peer tobacco use, academic performance, and adolescents’ intention to smoke included sex, age, parental education level, family structure, and self-efficacy. These variables were selected as control variables because they were significantly associated with adolescents’ intentions to smoke [54,55,56]. The information about the highest level of education received by the parents was obtained via two questions: (1) “What is your mother’s highest attained education”?(2) “What is your father’s highest attained education”? In our study, we divided the answers into three options (1 = middle school and below; 2 = high school; 3 = undergraduate and above).
This study used the General Self-Efficacy Scale to measure the self-efficacy of non-smoking elementary and middle school students. This scale was introduced and applied in China, and it has been proven to have good reliability and validity [57]. In our study, the KMO value of the General Self-Efficacy Scale is 0.901(>0.85). Bartlett’s spherical test showed a significant statistical result (p < 0.001). The Cronbach’s alpha of the scale was 0.845. These results indicated a good construct validity and high reliability of the General Self-Efficacy Scale in this survey. This is a one-dimensional scale with a total of 10 items scored on a 4-level scale. The answers were: 1 = completely incorrect, 2 = somewhat correct, 3 = mostly correct, and 4 = completely correct. The total score was 40 points. The higher the score, the higher was the general self-efficacy. To avoid interference from different family compositions, the family structure of adolescents was also investigated and used as a control variable in this study. Adolescents were asked to complete a questionnaire about the roster of family members living together over time, which we used to construct a report measuring adolescents’ perceptions of family structure. It was coded into three types of family structure: (a) nuclear family: families with two biological married parents, (b) stem family: families with two biological married parents and grandparents; (c) other families: including single-parent families, reconstituted families, and types of families not mentioned above.
2.3. Data Analysis
All data were analyzed using R 4.0.3. Frequencies were calculated to summarize the distribution of categorical variables. The chi-square test was used to test the distribution of the risk factors for future smoking intentions. Among non-smoking adolescents, a binary logistic model was developed using parental smoking, peer smoking, and self-rated academic performance as independent variables and intention to smoke (not intended to smoke = 0/intend to smoke = 1) as the dependent variable. Subsequently, stratified models were developed to examine the associations between academic performance, parental/peer smoking, and intention to smoke among adolescents. Finally, to explore the interaction between academic performance and parental/peer smoking behavior on intention to smoke, several logistic models were developed with academic performance × tobacco use by peers/parents as the interaction term. Interaction terms were created by multiplying the peer smoking or parental smoking variables and academic performance. All the above models used sex, age, parental education level, family structure, and self-efficacy as control variables. Continuous variables were centered, while categorical variables were treated as dummy variables. In the regressions, the missing values of the independent variables were replaced by multiple imputations. Statistical tests were performed using a two-sided test, with p < 0.05 indicating a statistically significant difference.
3. Results
3.1. Participants’ Characteristics
Overall, 9394 non-smoking students aged between 9–16 participated in the study. The mean age (and SD) of the non-smoking students was 12.32 (1.5) years. Of these, 8273 (88%) of the non-smoking students reported definitely not smoking within the next five years, 797 (8.5%) reported probably not, 288 (3.1%) reported probably yes, and 36 (0.4%) reported definitely yes.
Of the participants, 14.97% of boys intended to smoke in the next five years, which is more than girls (χ2 = 85.1, p < 0.001); by age, a higher proportion of adolescents aged 15 or older intended to smoke (χ2 = 85.1, p < 0.001); by parental education level, a higher proportion of adolescents whose mothers (χ2 = 23,669, p < 0.001) or fathers (χ2 = 28,021, p < 0.001) with an education level of junior high school and below intended to smoke; by family structure, a higher proportion of adolescents from other families intended to smoke (χ2 = 39,118, p < 0.001). The prevalence of intention to smoke was higher among those with low general self-efficacy (χ2 = 100,525, p < 0.001) and low academic performance (χ2 = 158,305, p < 0.001). A total of 28.76% of adolescents who reported peer smoking intended to smoke in the next five years, which was more than adolescents whose peers did not smoke(χ2 = 376,446, p < 0.001). By parental smoking, a higher proportion of adolescents whose both parents smoked intended to smoke (χ2 = 111,128, p < 0.001). (Please see Table 1).
Table 1.
Participant characteristics among students who are non-smokers.
3.2. Risk Factors for Adolescents’ Intention to Smoke
As shown in Table 2, after controlling for sex, age, family structure, mother’s and father’s education level, and general self-efficacy, the logistic regression analysis revealed that adolescents with good academic performance (OR = 0.80, 95% CI = 0.75–0.85) were less likely to smoke in the future. Compared to adolescents without peer smoking, those whose peers smoked (OR = 2.92, 95% CI = 2.49–3.43) were more likely to have the intention to smoke. Compared to non-parentally smoking students, students in smoking families were more likely to have the intention to smoke: (1) only father smoking (OR = 1.51, 95% CI = 1.31–1.74) and (2) both parents smoking (OR = 2.31, 95% CI = 1.77–3.02). In addition, sex (ref = girls), age, family structure (ref = nuclear family), and general self-efficacy were significantly associated with the intention to smoke.
Table 2.
Multivariate logistic model for factors associated with intention to smoke among non-smoking students.
As shown in Table 3, in stratified models, for students without smoking peers, the OR of academic performance was 0.83 (0.78–0.89); with smoking peers, the OR of academic performance was 0.76 (0.73–0.79). Without smoking parents, the OR of academic performance was 0.72 (0.67–0.76); with only the father smoking, the OR of academic performance was 0.80 (0.76–0.84). For those whose mothers smoked or both parents smoked, the effect on academic performance was not significant.
Table 3.
Stratified logistic regression models stratified by peer smoking and parental smoking of academic performance on intention to smoke among non-smoking students.
Logistic regression models were also tested for interactions between academic performance and parental/peer smoking on smoking intentions. The results showed significant interaction effects of academic performance × peer smoking (OR = 1.21, 95% CI = 1.05–1.38) and academic performance × both parents’ smoking (OR = 1.39, 95% CI = 1.10–1.76). The results of these separate logistic regression models are summarized in Table 4.
Table 4.
Logistic models examining interactions on intention to smoke among non-smoking students.
3.3. Academic Performance and Peer Smoking Interactions on the Intention to Smoke among Non-Smokers
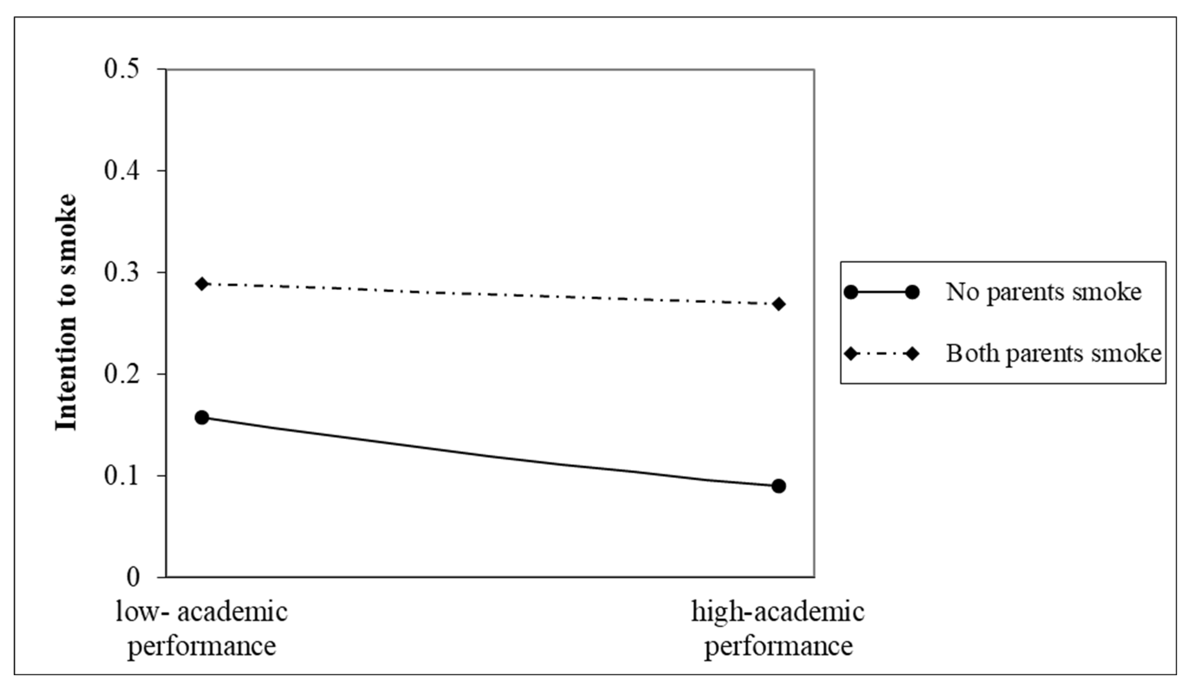
The interaction between academic performance and peer smoking was positive and significant (p < 0.01). Figure 1 shows the relationship between academic performance and intention to smoke for respondents whose peers smoked and those whose peers did not. The graph shows that individuals with a lower academic performance whose peers smoked had a higher intention to smoke. Whether or not their peers smoked, their intention to smoke declined as academic performance increased.
Figure 1.
Interaction between academic performance and peer smoke and smoking intentions among non-smoking students.
3.4. Academic Performance and Both Parents’ Smoking Interactions on the Intention to Smoke among Non-Smokers
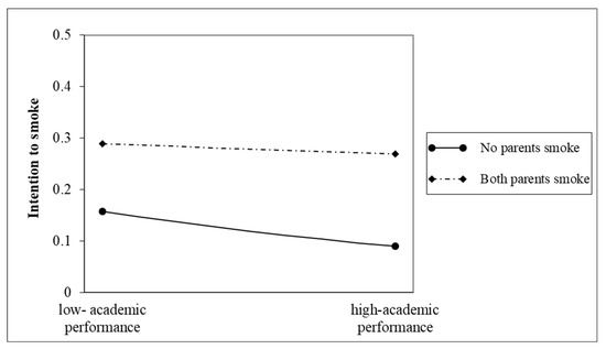
The interaction term between academic performance and both parents’ smoking was positive and significant (p < 0.01). Figure 2 shows the relationship between academic performance and intention to smoke for respondents whose parents smoked. Specifically, low-academic achievers whose parents smoked had significantly higher intentions to smoke than those whose parents did not smoke and who demonstrated excellent academic performance. For those with non-smoking parents, intentions to smoke declined as academic performance improved. In contrast, for those students with both parents smoking, smoking intentions were already high and did not change significantly as academic performance improved. Thus, we verified this hypothesis.
Figure 2.
Interaction between academic performance and parents’ smoking and intention to smoke among non-smoking students.
4. Discussion
In this study, the individual effects of academic performance, peer and family members’ tobacco use, and significant interactions on adolescents’ intention to smoke were found. The results showed that peer smoking and both parents’ smoking reinforced the risk of future smoking among low-academic achievers. These findings may help us to understand the combined impact of academic difficulties and the demonstration of parental/peer smoking, and explore the role of family, peer, and school environment in the development of adolescent smoking intentions in a comprehensive manner, emphasizing the value of this joint contextual perspective in adolescent smoking-prevention research. There are potential pathways to high-smoking risk that deserves more attention than focusing on individual factors. Furthermore, these findings will hopefully have implications for policymakers in youth smoking prevention.
In the current study, 11.9% of non-smoking adolescents aged between 9–16 years in Changchun reported being likely to smoke within five years, which was slightly higher than the 9.7% of Chinese middle school students aged between 13–15 in another study conducted in 2015 [32]. Previous research supported that adolescents eventually becoming avid smokers appears to be the result of having developed cognitive susceptibility to smoking [48]. Adolescence serves as a “readiness period”, in which adolescents form expectations and beliefs about smoking. Therefore, government departments and schools must take relevant measures to reduce teenagers’ intention to smoke and prohibit smoking. Strict smoking bans in schools are thought to have contributed to the decline in smoking intention and current smoking rates. In recent years, globally, school-smoking ban policies have been implemented [58]. Currently, smoking on school grounds is explicitly prohibited for students in China, but there are limited restrictions on teachers smoking on campus. Teacher-smoking at school is tolerated by some students and their families [59]. The teacher is undoubtedly a potential professional that can act as a smoking role model for children because of their position of authority and frequent contact with the students [60]. Therefore, it is urgent to carry out a strict smoking ban for the construction of smoke-free campuses in China, not only for school students but also for all campus staff. Health education in school is also an important part of tobacco prevention and control for adolescents; thus, health education on tobacco must be included in the school curriculum [61,62].
The results of the stratified regressions indicated that the high academic performance of students was negatively related to the intention to smoke regardless of whether peers smoked. This protective effect was also observed in participants with non-smoking parents or only fathers who smoked. Academic performance is an important indicator of the success of a campus. Academic performance is usually the only criterion for evaluating student achievement, especially in the Chinese social context. Academic performance is not only related to adolescent’s sense of accomplishment but also to the social and emotional support they received [63]. According to the social control theory, adolescents with good academic performance tend to have a strong connection with schools and are more inclined to abide by school rules and reduce their smoking intention. However, academic performance is not the only factor that can strengthen school bonds [21]. Schools should use diverse indicators to evaluate students’ achievements rather than a single evaluation indicator, such as academic performance. Numerous activities should be organized for different students to allow them to realize their own value and strengthen their bonds with the school. This will facilitate compliance with campus norms for low-academic achievers and reduce their intention to smoke [26].
Tests of interaction showed that adolescents who did poorly in school and whose peers smoked were more likely to smoke within the next five years than those who did well in school or whose peers did not smoke. From the social-control theory perspective, academic performance usually represents social bonding among adolescents, and weak school bonds can predict a low adherence to school norms and poor self-control capability. Therefore, low-academic students are more likely to be influenced by peer modeling. While few studies have examined interactions between school ties and peer smoking, our findings are consistent with adolescent behavior development research, suggesting that the joint effect of weak school bonds and peer influence could reinforce the risk of youth misbehavior [64,65]. The results suggest that more attention should be paid to the transmission of smoking behavior among groups of adolescents with low academic performance. Schools and parents need to care about the socialization of low achievers and encourage them to participate in school activities to build confidence [66]. Smoking-free policies should be maintained on campus and in the community to prevent youth from accessing tobacco products and creating an epidemic within youth groups [67]. Peer pressure and modeling can also be used to control tobacco use among minors [68]. Specifically, health education in schools can invite former smokers who quit smoking to share their experiences with quitting to change misconceptions about smoking among adolescents who intend to smoke. Building smoke-free schools can also reshape peer norms, thereby reducing members’ intentions to smoke and resisting smoking when in groups [69].
In this study, adolescents whose parents smoked had a higher intention to smoke within the next five years than those whose parents did not smoke, regardless of their level of academic performance. In addition, for those whose parents did not smoke, their intention to smoke decreased as academic performance increased. Thus, the differences in the effects of parental smoking became more pronounced as academic performance increased. However, it is noteworthy that we did not find significant interactions between academic performance and only father/only mother smoking behaviors on their children’s smoking intention, which may imply that these factors individually affect smoking intentions rather than in combination with academic performance. This specific finding supported the theory that dual-smoking role models within the family increase the risk of adolescent smoking, not only exerting a stronger influence in comparison to a single role model but also weakening the protective effect of academic performance on adolescent smoking intention. This may be attributed to the fact that families in which both parents smoke prevent adolescents from having a smoke-free role model [70]. Adolescents with two smoking parents tend to lack effective smoke-free guidance in their families and are also exposed to secondhand smoke, which may lead to nicotine addiction and increase their willingness to smoke [71]. Therefore, building smoke-free homes will not only prevent adolescents from directly imitating their parents’ smoking behaviors but also protect them from the dangers of secondhand smoke.
Our findings support Bronfenbrenner’s ecology from a human-development perspective. Specifically, adolescents live in a layered and complex social environment, and their intention to smoke is influenced by their interactions with proximal environments. Therefore, studies focusing on a single environment are likely to overestimate their contribution to adolescents’ intentions to smoke. However, the interaction between multiple environments may weaken or amplify specific effects. This study may provide an empirical basis for highlighting the important role of family/peer modeling and school bonds: prevention of adolescent smoking intentions requires comprehensive interventions based on proximal environments, taking into account school, peers, and family. Overall, holistic programs derived from real-life interactions should be considered in guiding the development of youth attitudes toward misbehaviors [72]. Continued examination of the interaction effect between environmental factors and social bonds is critical to better understanding the mechanisms underlying the formation of the intention to smoke among non-smoking students.
5. Limitations
This study has several limitations. First, given the cross-sectional design of this study, causality cannot be inferred from the identified associations. However, the association between the identified correlates and future intention to smoke in this study existed before adolescent smoking, thus providing information for subsequent studies. Second, considering that the questionnaire was self-administrated and answers were not biologically validated, participants may have withheld some information in the survey conducted in schools, such as peer smoking and their own intention to smoke. Third, although the influences of school and family are effective over time [73], adolescence is a special period with rapid cognitive development. Many underlying psychological characteristics and attitudes toward addictive substances may be age-related. However, the current investigation has limited coverage of the relevant content. In addition, as numerous tobacco control policies are implemented and health education becomes more widespread, adolescents’ increasing age and cognitive function may lead them to resist tobacco exposure at home, school, and in the community. Future research can attempt to identify and explain age-related changes in adolescent samples. Fourth, the sample for this study came from the same city. Therefore, cultural and geographical differences were ignored. Future research should also extend to a comparison of adolescents’ smoking intentions in different cultural contexts and consider investigating the effects of local campus policies and health education on adolescents’ smoking perceptions and behaviors.
6. Conclusions
In the current study, the effects of positive interaction between academic performance and peer smoking and between academic achievement and parental smoking were found in the process of forming intentions before adolescent smoking. These findings emphasize that government health and education agencies and local schools should focus on student–school connections and peer interactions for adolescents with low academic performance. Parents should make every effort to avoid smoking in front of their children, which may increase the risk of future smoking among adolescents. Public health programs, education departments, and communities should incorporate smoke-free environments into the daily lives of adolescents, especially in school and home environments.
Author Contributions
Conceptualization, A.Z., X.L. and J.L.; methodology, X.L. and Y.S.; software, A.Z. and Y.S.; validation, J.L.; formal analysis, A.Z., B.H., Y.C. and P.C.; investigation, X.L., B.H., Y.C. and P.C.; resources, J.L.; data curation, A.Z. and Y.S.; writing—original draft preparation, A.Z.; writing—review and editing, X.L. and Y.S.; visualization, B.H., Y.C. and P.C.; supervision, J.L.; project administration, X.L. and J.L.; funding acquisition, J.L. All authors have read and agreed to the published version of the manuscript.
Funding
This study was funded by the Changchun Center for Health Education. The funding number is 2020(845).
Institutional Review Board Statement
The study was conducted according to the guidelines of the Declaration of Helsinki and was approved by the Medical Ethics Committee of the School of Public Health Jilin University. The approval number: 2020-10-16.
Informed Consent Statement
Informed consent was obtained from all subjects involved in the study.
Data Availability Statement
The anonymized data are available from the author upon reasonable request.
Acknowledgments
This project was supported by Changchun Center for Health Education. The authors thank Changchun Center for Health Education for their help.
Conflicts of Interest
The authors declare no actual or potential conflict of interest.
References
- WHO. Youth Surveys-Tobacco Use and Smoking. Available online: https://www.who.int/publications/i/item/WHO-HEP-HPR-TFI-2021.11.3 (accessed on 6 July 2022).
- Zhang, G.T.; Zhan, J.J.; Fu, H.Q. Trends in Smoking Prevalence and Intensity between 2010 and 2018: Implications for Tobacco Control in China. Int. J. Environ. Res. Public Health 2022, 19, 670. [Google Scholar] [CrossRef] [PubMed]
- Moosazadeh, M.; Amiresmaili, M.; Afshari, M. Individual Patient Data Meta-Analysis of the Smoking Prevalence in Mazandaran Province of Iran. Iran. Red Crescent Med. J. 2015, 17, 10294. [Google Scholar] [CrossRef] [PubMed]
- Shahwan, S.; Abdin, E.; Shafie, S.; Chang, S.; Sambasivam, R.; Zhang, Y.; Vaingankar, J.A.; Teo, Y.Y.; Heng, D.; Chong, S.A.; et al. Prevalence and correlates of smoking and nicotine dependence: Results of a nationwide cross-sectional survey among Singapore residents. BMJ Open 2019, 9, e032198. [Google Scholar] [CrossRef] [PubMed]
- Alesci, N.L.; Forster, J.L.; Blaine, T. Smoking visibility, perceived acceptability, and frequency in various locations among youth and adults. Prev. Med. 2003, 36, 272–281. [Google Scholar] [CrossRef]
- Rachiotis, G.; Siziya, S.; Muula, A.S.; Rudatsikira, E.; Papastergiou, P.; Hadjichristodoulou, C. Determinants of Exposure to Environmental Tobacco Smoke (ETS) among Non Smoking Adolescents (Aged 11–17 Years Old) in Greece: Results from the 2004-2005 GYTS Study. Int. J. Environ. Res. Public Health 2010, 7, 284–290. [Google Scholar] [CrossRef]
- Klein, E.G.; Bernat, D.H.; Forster, J.L. Young adult perceptions of smoking in outdoor park areas. Health Place 2012, 18, 1042–1045. [Google Scholar] [CrossRef]
- Wakefield, M.; Kloska, D.D.; O’Malley, P.M.; Johnston, L.D.; Chaloupka, F.; Pierce, J.; Giovino, G.; Ruel, E.; Flay, B.R. The role of smoking intentions in predicting future smoking among youth: Findings from Monitoring the Future data. Addiction 2004, 99, 914–922. [Google Scholar] [CrossRef]
- Ajzen, I. The theory of planned behaviour: Reactions and reflections. Psychol. Health 2011, 26, 1113–1127. [Google Scholar] [CrossRef]
- Gibbons, F.X.; Gerrard, M.; Blanton, H.; Russell, D.W. Reasoned action and social reaction: Willingness and intention as independent predictors of health risk. J. Personal. Soc. Psychol. 1998, 74, 1164–1180. [Google Scholar] [CrossRef]
- Byrne, D.G.; Byrne, A.E.; Reinhart, M.I. Psychosocial correlates of adolescent cigarette-smoking—Personality or environment. Aust. J. Psychol. 1993, 45, 87–95. [Google Scholar] [CrossRef]
- Cremers, H.P.; Mercken, L.; de Vries, H.; Oenema, A. A longitudinal study on determinants of the intention to start smoking among Non-smoking boys and girls of high and low socioeconomic status. BMC Public Health 2015, 15, 648. [Google Scholar] [CrossRef] [PubMed]
- Moore, G.F.; Littlecott, H.J.; Moore, L.; Ahmed, N.; Holliday, J. E-cigarette use and intentions to smoke among 10-11-year-old never-smokers in Wales. Tob. Control 2016, 25, 147–152. [Google Scholar] [CrossRef]
- Tian, J.; Gall, S.; Patterson, K.; Otahal, P.; Blizzard, L.; Patton, G.; Dwyer, T.; Venn, A. Socioeconomic position over the life course from childhood and smoking status in mid-adulthood: Results from a 25-year follow-up study. BMC Public Health 2019, 19, 169. [Google Scholar] [CrossRef]
- Bidstrup, P.E.; Frederiksen, K.; Siersma, V.; Mortensen, E.L.; Ross, L.; Vinther-Larsen, M.; Gronbaek, M.; Johansen, C. Social-Cognitive and School Factors in Initiation of Smoking among Adolescents: A Prospective Cohort Study. Cancer Epidemiol. Biomark. Prev. 2009, 18, 384–392. [Google Scholar] [CrossRef] [PubMed][Green Version]
- Andrews, J.A.; Hampson, S.E.; Barckley, M.; Gerrard, M.; Gibbons, F.X. The effect of early cognitions on cigarette and alcohol use during adolescence. Psychol. Addict. Behav. J. Soc. Psychol. Addict. Behav. 2008, 22, 96–106. [Google Scholar] [CrossRef] [PubMed]
- Beck, A.J.; Reilly, S.M. What Can Secondary School Students Teach Educators and School Nurses About Student Engagement in Health Promotion? A Scoping Review. J. Sch. Nurs. 2017, 33, 30–42. [Google Scholar] [CrossRef] [PubMed]
- Bonell, C.; Parry, W.; Wells, H.; Jamal, F.; Fletcher, A.; Harden, A.; Thomas, J.; Campbell, R.; Petticrew, M.; Murphy, S.; et al. The effects of the school environment on student health: A systematic review of multi-level studies. Health Place 2013, 21, 180–191. [Google Scholar] [CrossRef]
- Booth, J.A.; Farrell, A.; Varano, S.P. Social control, serious delinquency, and risky behavior. Crime Delinq. 2008, 54, 423–456. [Google Scholar] [CrossRef]
- Hirschi, T. Causes of Delinquency; University of California Press: Berkeley, CA, USA, 1969. [Google Scholar]
- Wiatrowski, M.D.; Griswold, D.B.; Roberts, M.K. Social-control Theory and delinquency. Am. Sociol. Rev. 1981, 46, 525–541. [Google Scholar] [CrossRef]
- Jenkins, P.H. School delinquency and the school social bond. J. Res. Crime Delinq. 1997, 34, 337–367. [Google Scholar] [CrossRef]
- Lasarte, O.F.; Diaz, E.R.; Palacios, E.G.; Fernandez, A.R. The role of social support in school adjustment during Secondary Education. Psicothema 2020, 32, 100–107. [Google Scholar] [CrossRef]
- Balkis, M.; Arslan, G.; Duru, E. The School Absenteeism among High School Students: Contributing Factors. Educ. Sci. Theory Pract. 2016, 16, 1819–1831. [Google Scholar] [CrossRef]
- Hayek, J.; Schneider, F.; Tueni, M.; de Vries, H. Is Academic Achievement Related to Mediterranean Diet, Substance Use and Social-Cognitive Factors: Findings from Lebanese Adolescents. Nutrients 2020, 12, 1535. [Google Scholar] [CrossRef]
- Minkkinen, J.L.; Kinnunen, J.M.; Karvonen, S.; Hotulainen, R.H.; Lindfors, P.L.; Rimpela, A.H. Low schoolwork engagement and schoolwork difficulties predict smoking in adolescence? Eur. J. Public Health 2019, 29, 44–49. [Google Scholar] [CrossRef]
- Kinnunen, J.M.; Lindfors, P.; Rimpela, A.; Salmela-Aro, K.; Rathmann, K.; Perelman, J.; Federico, B.; Richter, M.; Kunst, A.E.; Lorant, V. Academic well-being and smoking among 14-to 17-year-old schoolchildren in six European cities. J. Adolesc. 2016, 50, 56–64. [Google Scholar] [CrossRef] [PubMed]
- Pennanen, M.; Haukkala, A.; De Vries, H.; Vartiainen, E. Academic achievement and smoking: Is self-efficacy an important factor in understanding social inequalities in Finnish adolescents? Scand. J. Public Health 2011, 39, 714–722. [Google Scholar] [CrossRef]
- Hyun Gwon, S.; Yan, G.; Kulbok, P.A. South Korean Adolescents’ Intention to Smoke. Am. J. Health Behav. 2017, 41, 163–170. [Google Scholar] [CrossRef]
- Wellman, R.J.; Dugas, E.N.; Dutczak, H.; O’Loughlin, E.K.; Datta, G.D.; Lauzon, B.; O’Loughlin, J. Predictors of the Onset of Cigarette Smoking A Systematic Review of Longitudinal Population-Based Studies in Youth. Am. J. Prev. Med. 2016, 51, 767–778. [Google Scholar] [CrossRef]
- Pennanen, M.; Haukkala, A.; de Vries, H.; Vartiainen, E. Longitudinal Study of Relations Between School Achievement and Smoking Behavior Among Secondary School Students in Finland: Results of the ESFA Study. Subst. Use Misuse 2011, 46, 569–579. [Google Scholar] [CrossRef]
- Xu, X.L.; Liu, D.Y.; Sharma, M.; Zhao, Y. Prevalence and Determinants of Current Smoking and Intention to Smoke among Secondary School Students: A Cross-Sectional Survey among Han and Tujia Nationalities in China. Int. J. Environ. Res. Public Health 2017, 14, 1323. [Google Scholar] [CrossRef]
- Duckworth, A.L.; Taxer, J.L.; Eskreis-Winkler, L.; Galla, B.M.; Gross, J.J. Self-Control and Academic Achievement. Annu. Rev. Psychol. 2019, 70, 373–399. [Google Scholar] [CrossRef] [PubMed]
- Bandura, A. Human agency in social cognitive theory. Am. Psychol. 1989, 44, 1175–1184. [Google Scholar] [CrossRef]
- Bandura, A.; Adams, N.E.; Beyer, J. Cognitive-processes mediating behavioral change. J. Personal. Soc. Psychol. 1977, 35, 125–139. [Google Scholar] [CrossRef] [PubMed]
- Krohn, M.D.; Skinner, W.F.; Massey, J.L.; Akers, R.L. Social-learning theory and adolescent cigarette-smoking—A longitudinal-study. Soc. Probl. 1985, 32, 455–473. [Google Scholar] [CrossRef]
- Pratt, T.C.; Cullen, F.T.; Sellers, C.S.; Winfree, L.T.; Madensen, T.D.; Daigle, L.E.; Fearn, N.E.; Gau, J.M. The Empirical Status of Social Learning Theory: A Meta-Analysis. Justice Q. 2010, 27, 765–802. [Google Scholar] [CrossRef]
- Jackson, K.M.; Sher, K.J.; Cooper, M.L.; Wood, P.K. Adolescent alcohol and tobacco use: Onset, persistence and trajectories of use across two samples. Addiction 2002, 97, 517–531. [Google Scholar] [CrossRef]
- Vitória, P.; Pereira, S.E.; Muinos, G.; Vries, H.; Lima, M.L. Parents modelling, peer influence and peer selection impact on adolescent smoking behavior: A longitudinal study in two age cohorts. Addict. Behav. 2020, 100, 106131. [Google Scholar] [CrossRef]
- Scalici, F.; Schulz, P.J. Influence of Perceived Parent and Peer Endorsement on Adolescent Smoking Intentions: Parents Have More Say, But Their Influence Wanes as Kids Get Older. PLoS ONE 2014, 9, e101275. [Google Scholar] [CrossRef]
- Bauldry, S.; Shanahan, M.J.; Macmillan, R.; Miech, R.A.; Boardman, J.D.; Dean, O.D.; Cole, V. Parental and adolescent health behaviors and pathways to adulthood. Soc. Sci. Res. 2016, 58, 227–242. [Google Scholar] [CrossRef]
- Kobus, K. Peers and adolescent smoking. Addiction 2003, 98, 37–55. [Google Scholar] [CrossRef]
- Wang, J.; Simons-Morton, B.G.; Farhart, T.; Luk, J.W. Socio-Demographic Variability in Adolescent Substance Use: Mediation by Parents and Peers. Prev. Sci. 2009, 10, 387–396. [Google Scholar] [CrossRef] [PubMed]
- Alexander, C.; Piazza, M.; Mekos, D.; Valente, T. Peers, schools, and adolescent cigarette smoking. J. Adolesc. Health 2001, 29, 22–30. [Google Scholar] [CrossRef]
- Holm, K.; Kremers, S.P.J.; de Vries, H. Why do Danish adolescents take up smoking? Eur. J. Public Health 2003, 13, 67–74. [Google Scholar] [CrossRef]
- Simons-Morton, B.G.; Farhat, T. Recent findings on peer group influences on adolescent smoking. J. Prim. Prev. 2010, 31, 191–208. [Google Scholar] [CrossRef] [PubMed]
- Bronfenbrenner, U. Toward an experimental ecology of human-development. Am. Psychol. 1977, 32, 513–531. [Google Scholar] [CrossRef]
- Pierce, J.P.; Choi, W.S.; Gilpin, E.A.; Farkas, A.J.; Merritt, R.K. Validation of susceptibility as a predictor of which adolescents take up smoking in the United States. Health Psychol. 1996, 15, 355–361. [Google Scholar] [CrossRef]
- Thornberg, R. A study of children’s conceptions of school rules by investigating their judgements of transgressions in the absence of rules. Educ. Psychol. 2010, 30, 583–603. [Google Scholar] [CrossRef][Green Version]
- Bailey, J.A. Addressing Common Risk and Protective Factors Can Prevent a Wide Range of Adolescent Risk Behaviors. J. Adolesc. Health 2009, 45, 107–108. [Google Scholar] [CrossRef] [PubMed]
- Xu, Z.; Han, H.; Zhuang, C.; Zhang, C.; Zhao, P.; Yao, Y. Tobacco Use and Exposure to Second-Hand Smoke among Urban Residents: A Community-Based Investigation. Int. J. Environ. Res. Public Health 2015, 12, 9799–9808. [Google Scholar] [CrossRef]
- Moodie, C.; MacKintosh, A.M.; Brown, A.; Hastings, G.B. Tobacco marketing awareness on youth smoking susceptibility and perceived prevalence before and after an advertising ban. Eur. J. Public Health 2008, 18, 484–490. [Google Scholar] [CrossRef] [PubMed]
- Azagba, S.; Baskerville, N.B.; Foley, K. Susceptibility to cigarette smoking among middle and high school e-cigarette users in Canada. Prev. Med. 2017, 103, 14–19. [Google Scholar] [CrossRef] [PubMed]
- Hiemstra, M.; Otten, R.; de Leeuw, R.N.H.; van Schayck, O.C.P.; Engels, R. The Changing Role of Self-Efficacy in Adolescent Smoking Initiation. J. Adolesc. Health 2011, 48, 597–603. [Google Scholar] [CrossRef]
- Hiscock, R.; Bauld, L.; Amos, A.; Fidler, J.A.; Munafò, M. Socioeconomic status and smoking: A review. Ann. N. Y. Acad. Sci. 2012, 1248, 107–123. [Google Scholar] [CrossRef] [PubMed]
- Assari, S.; Smith, J.L.; Zimmerman, M.A.; Bazargan, M. Cigarette Smoking among Economically Disadvantaged African-American Older Adults in South Los Angeles: Gender Differences. Int. J. Environ. Res. Public Health 2019, 16, 1208. [Google Scholar] [CrossRef]
- Zhang, J.X.; Schwarzer, R. Measuring optimistic self-beliefs—A chinese adaptation of the general self-efficacy scale. Psychologia 1995, 38, 174–181. [Google Scholar]
- Pfeifer, G.; Reutter, M.; Strohmaier, K. Goodbye Smokers’ Corner Health Effects of School Smoking Bans. J. Hum. Resour. 2020, 55, 1068–1104. [Google Scholar] [CrossRef]
- Fang, J.; Yang, G.H.; Wan, X. ‘Pro-tobacco propaganda’: A case study of tobacco industry-sponsored elementary schools in China. Tob. Control 2020, 29, 447–451. [Google Scholar] [CrossRef]
- Poulsen, L.H.; Osler, M.; Roberts, C.; Due, P.; Damsgaard, M.T.; Holstein, B.E. Exposure to teachers smoking and adolescent smoking behaviour: Analysis of cross sectional data from Denmark. Tob. Control 2002, 11, 246–251. [Google Scholar] [CrossRef]
- Xiao, P.C.; Zhang, Z.Y.; Sun, X.B. Smoking dynamics with health education effect. Aims Math. 2018, 3, 584–599. [Google Scholar] [CrossRef]
- Rakete, G.; Strunk, M.; Lang, P. Smoking prevention in schools. Bundesgesundheitsblatt-Gesundh. Gesundh. 2010, 53, 170–177. [Google Scholar] [CrossRef] [PubMed]
- Elstad, J.I. Indirect health-related selection or social causation? Interpreting the educational differences in adolescent health behaviours. Soc. Theory Health 2010, 8, 134–150. [Google Scholar] [CrossRef]
- Peguero, A.A.; Popp, A.M.; Latimore, T.L.; Shekarkhar, Z.; Koo, D.J. Social Control Theory and School Misbehavior: Examining the Role of Race and Ethnicity. Youth Violence Juv. Justice 2011, 9, 259–275. [Google Scholar] [CrossRef]
- Han, Y.; Kim, H.; Ma, J. School Bonds and the Onset of Substance Use among Korean Youth: An Examination of Social Control Theory. Int. J. Environ. Res. Public Health 2015, 12, 2923–2940. [Google Scholar] [CrossRef] [PubMed]
- Vignery, K.; Laurier, W. Achievement in student peer networks: A study of the selection process, peer effects and student centrality. Int. J. Educ. Res. 2020, 99, 499. [Google Scholar] [CrossRef]
- Gollub, E.A.; Kennedy, B.M.; Bourgeois, B.F.; Broyles, S.T.; Katzmarzyk, P.T. Engaging Communities to Develop and Sustain Comprehensive Wellness Policies: Louisiana’s Schools Putting Prevention to Work. Prev. Chronic Dis. 2014, 11, 149. [Google Scholar] [CrossRef] [PubMed]
- Yzer, M.; van den Putte, B. Control perceptions moderate attitudinal and normative effects on intention to quit smoking. Psychol. Addict. Behav. J. Soc. Psychol. Addict. Behav. 2014, 28, 1153–1161. [Google Scholar] [CrossRef] [PubMed]
- Moran, M.B.; Walker, M.W.; Alexander, T.N.; Jordan, J.W.; Wagner, D.E. Why Peer Crowds Matter: Incorporating Youth Subcultures and Values in Health Education Campaigns. Am. J. Public Health 2017, 107, 389–395. [Google Scholar] [CrossRef] [PubMed]
- Yang, X.Z.Y.; Anderson, J.G.; Yang, T.Z. Impact of Role Models and Policy Exposure on Support for Tobacco Control Policies in Hangzhou, China. Am. J. Health Behav. 2014, 38, 275–283. [Google Scholar] [CrossRef] [PubMed]
- Okoli, C.T.; Kodet, J. A systematic review of secondhand tobacco smoke exposure and smoking behaviors: Smoking status, susceptibility, initiation, dependence, and cessation. Addict. Behav. 2015, 47, 22–32. [Google Scholar] [CrossRef]
- Thornberry, T.P.; Lizotte, A.J.; Krohn, M.D.; Farnworth, M.; Jang, S.J. Testing interactional theory—An examination of reciprocal causal relationships among family, school, and delinquency. J. Crim. Law Criminol. 1991, 82, 3–35. [Google Scholar]
- Spoth, R.; Randall, G.K.; Shin, C.; Redmond, C. Randomized study of combined universal family and school preventive interventions: Patterns of long-term effects on initiation, regular use, and weekly drunkenness. Psychol. Addict. Behav. 2005, 19, 372–381. [Google Scholar] [CrossRef] [PubMed][Green Version]
Disclaimer/Publisher’s Note: The statements, opinions and data contained in all publications are solely those of the individual author(s) and contributor(s) and not of MDPI and/or the editor(s). MDPI and/or the editor(s) disclaim responsibility for any injury to people or property resulting from any ideas, methods, instructions or products referred to in the content. |
© 2023 by the authors. Licensee MDPI, Basel, Switzerland. This article is an open access article distributed under the terms and conditions of the Creative Commons Attribution (CC BY) license (https://creativecommons.org/licenses/by/4.0/).

