Effect of Assisted Surgery on Work-Related Musculoskeletal Disorder Prevalence by Body Area among Surgeons: Systematic Review and Meta-Analysis
Abstract
1. Introduction
2. Materials and Methods
2.1. Search Strategy and Study Eligibility
2.2. Quality Assessment and Data Extraction
2.3. Statistical Analysis
3. Results
3.1. Search Results
3.2. Quality Appraisal
3.3. Study Characteristics
3.4. Meta-Analysis of WMSD Prevalence by Body Area
3.4.1. Neck
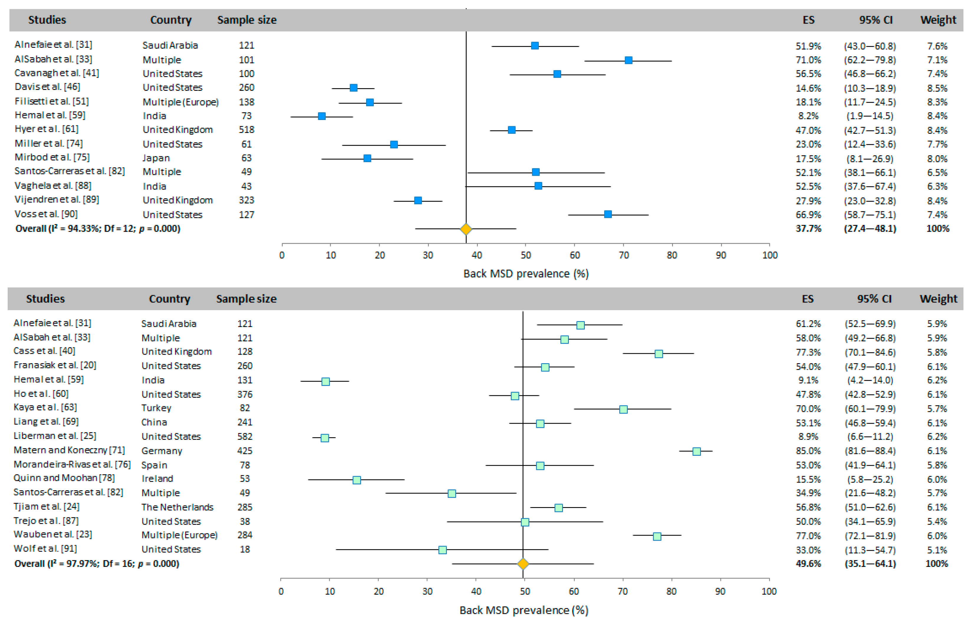
3.4.2. Back
3.4.3. Upper Back
3.4.4. Lower Back
3.4.5. Shoulders
3.4.6. Elbows
3.4.7. Wrists
3.4.8. Fingers
3.4.9. Knees
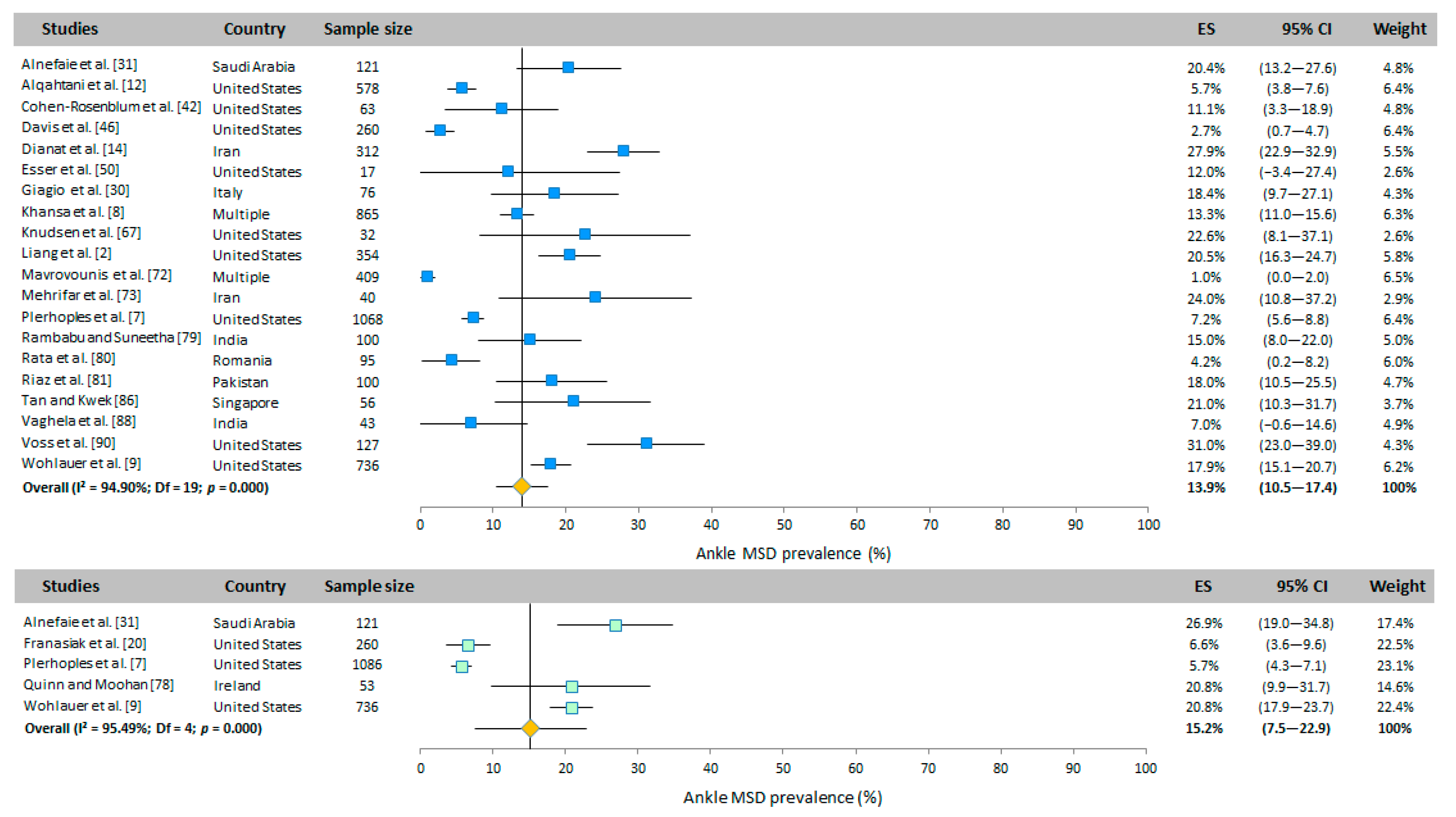
3.4.10. Ankles
3.5. Body Area WMSD Prevalence
4. Discussion
4.1. Limitations
4.2. Recommendations and Future Work
5. Conclusions
Author Contributions
Funding
Institutional Review Board Statement
Informed Consent Statement
Data Availability Statement
Conflicts of Interest
Appendix A
Appendix A.1
| Introduction | Methods | Results | Discussion | Total | ||||||||||||||||||||||
|---|---|---|---|---|---|---|---|---|---|---|---|---|---|---|---|---|---|---|---|---|---|---|---|---|---|---|
| Title and Abstract | Background and Objective | Trial Design | Participants | Intervention | Outcomes | Sample Size | Randomization and Sequence Generation | Statistical Methods | Participant Flow | Baseline Data | Numbers Analyzed | Outcomes and Estimation | Ancillary Analyses | Harms | Limitations | Generalizability | Interpretation | Funding | Score/19 | % Present Criteria | ||||||
| Authors | 1 | 2A | 2B | 3A | 3B | 4 | 5 | 6A | 6B | 7A | 7B | 8A | 8B | 9 | 10 | 11 | 12 | 13 | 14 | 15 | 16 | 17 | 18 | 19 | ||
| Adams et al., 2013 [22] | 1 | 1 | 1 | 0 | - | 1 | 1 | 1 | - | 0 | - | 0 | - | 1 | 1 | 1 | 1 | 1 | 1 | - | 1 | 0.5 | 0.5 | 1 | 14 | 74% |
| Alnifaie et al., 2019 [31] | 1 | 1 | 1 | 0 | - | 1 | 1 | 1 | - | 0 | - | 0 | - | 1 | 1 | 1 | 1 | 0 | 0 | - | 0 | 0.5 | 0.5 | 0 | 11 | 58% |
| Alqahtani et al., 2015 [32] | 1 | 1 | 1 | 0 | - | 1 | 1 | 1 | - | 0 | - | 0 | - | 1 | 1 | 1 | 1 | 0 | 0 | - | 1 | 0.5 | 0.5 | 0 | 12 | 63% |
| Alqhatani et al., 2022 [12] | 1 | 1 | 1 | 0 | - | 1 | 1 | 1 | - | 0 | - | 0 | - | 1 | 1 | 1 | 1 | 0 | 0 | - | 1 | 0.5 | 0.5 | 0 | 12 | 63% |
| AlSabah et al., 2019 [33] | 1 | 1 | 1 | 0 | - | 1 | 1 | 1 | - | 0 | - | 0 | - | 1 | 1 | 1 | 1 | 0 | 0 | - | 1 | 0 | 0.5 | 0 | 11.5 | 61% |
| Alzahrani et al., 2016 [34] | 1 | 1 | 1 | 0 | - | 1 | 1 | 1 | - | 0 | - | 0 | - | 1 | 1 | 1 | 1 | 0 | 0 | - | 1 | 0.5 | 0.5 | 0 | 12 | 63% |
| Auerbach et al., 2011 [35] | 1 | 1 | 1 | 0 | - | 1 | 1 | 1 | - | 0 | - | 0 | - | 1 | 1 | 1 | 1 | 0 | 0 | - | 0.5 | 1 | 1 | 0 | 12.5 | 66% |
| Battevi et al., 2009 [36] | 1 | 1 | 1 | 0 | - | 1 | 1 | 1 | - | 0 | - | 0 | - | 1 | 1 | 1 | 1 | 0 | 0 | - | 0 | 0 | 0.5 | 0 | 10.5 | 55% |
| Berguer 1998 [37] | 1 | 1 | 1 | 0 | - | 1 | 1 | 1 | - | 0 | - | 0 | - | 1 | 1 | 1 | 1 | 0 | 0 | - | 0 | 0 | 0.5 | 0 | 10.5 | 55% |
| Bolduc-Beguin et al., 2017 [13] | 1 | 1 | 1 | 0 | - | 1 | 1 | 1 | - | 0 | - | 0 | - | 1 | 1 | 1 | 1 | 0 | 0 | - | 0 | 0 | 0.5 | 0 | 10.5 | 55% |
| Buschbacher 1994 [38] | 1 | 1 | 1 | 0 | - | 1 | 1 | 1 | - | 0 | - | 0 | - | 1 | 1 | 1 | 1 | 0 | 0 | - | 0 | 0 | 0.5 | 0 | 10.5 | 55% |
| Capone et al., 2010 [39] | 1 | 1 | 1 | 0 | - | 1 | 1 | 1 | - | 0 | - | 0 | - | 1 | 1 | 1 | 1 | 1 | 1 | - | 1 | 1 | 0.5 | 0.5 | 15 | 79% |
| Cass et al., 2014 [40] | 1 | 1 | 1 | 0 | - | 1 | 1 | 1 | - | 0 | - | 0 | - | 1 | 1 | 1 | 1 | 0 | 0 | - | 0.5 | 0.5 | 0.5 | 0 | 11.5 | 61% |
| Cavanagh et al., 2012 [41] | 1 | 1 | 1 | 0 | - | 1 | 1 | 1 | - | 0 | - | 0 | - | 1 | 1 | 1 | 1 | 0 | 0 | - | 1 | 0.5 | 1 | 0 | 12.5 | 66% |
| Cohen-Rosenblum et al., 2022 [42] | 1 | 1 | 1 | 0 | - | 1 | 1 | 1 | - | 0 | - | 0 | - | 1 | 1 | 1 | 1 | 0 | 0 | - | 1 | 0.5 | 0.5 | 0 | 12 | 63% |
| Dabholkar et al., 2015 [43] | 1 | 1 | 1 | 0 | - | 1 | 1 | 1 | - | 0 | - | 0 | - | 0 | 1 | 1 | 1 | 0 | 0 | - | 0 | 0.5 | 0.5 | 0 | 10 | 53% |
| Dabholkar et al., 2017 [44] | 1 | 1 | 1 | 0 | - | 1 | 1 | 1 | - | 0 | - | 0 | - | 0 | 1 | 1 | 1 | 0 | 0 | - | 0 | 0 | 0.5 | 0.5 | 10 | 53% |
| Davis et al., 2013 [45] | 1 | 1 | 1 | 0 | - | 1 | 1 | 1 | - | 0 | - | 0 | - | 1 | 1 | 1 | 1 | 0 | 0 | - | 0 | 0 | 0.5 | 0 | 10.5 | 55% |
| Davis et al., 2014 [46] | 1 | 1 | 1 | 0 | - | 1 | 1 | 1 | - | 0 | - | 0 | - | 1 | 1 | 1 | 1 | 0 | 0 | - | 0 | 0 | 0.5 | 0 | 10.5 | 55% |
| Dhimitri et al., 2005 [47] | 1 | 1 | 1 | 0 | - | 1 | 1 | 1 | - | 0 | - | 0 | - | 1 | 1 | 1 | 1 | 1 | 0 | - | 0 | 0 | 0.5 | 0 | 11.5 | 61% |
| Diaconita et al., 2019 [48] | 1 | 1 | 1 | 0 | - | 1 | 1 | 1 | - | 0 | - | 0 | - | 0 | 1 | 1 | 1 | 0 | 0 | - | 0 | 0 | 0.5 | 0 | 9.5 | 50% |
| Dianat et al., 2018 [14] | 1 | 1 | 1 | 0 | - | 1 | 1 | 1 | - | 0 | - | 0 | - | 1 | 1 | 1 | 1 | 1 | 1 | - | 1 | 1 | 1 | 0 | 15 | 79% |
| Esposito et al., 2014 [49] | 1 | 1 | 1 | 0 | - | 1 | 1 | 1 | - | 0 | - | 0 | - | 1 | 1 | 1 | 1 | 0 | 0 | - | 0.5 | 0 | 0.5 | 0 | 11 | 58% |
| Esser et al., 2007 [50] | 1 | 1 | 1 | 0 | - | 1 | 1 | 1 | - | 0 | - | 0 | - | 0 | 1 | 1 | 1 | 0 | 0 | - | 0 | 0.5 | 0.5 | 0 | 10 | 53% |
| Filisetti et al., 2015 [51] | 1 | 1 | 1 | 0 | - | 1 | 1 | 1 | - | 0 | - | 0 | - | 0 | 1 | 1 | 1 | 0 | 0 | - | 0 | 0 | 0.5 | 0 | 9.5 | 50% |
| Forst et al., 2006 [52] | 1 | 1 | 1 | 0 | - | 1 | 1 | 1 | - | 0 | - | 0 | - | 1 | 1 | 1 | 1 | 1 | 0 | - | 1 | 0.5 | 0.5 | 0 | 13 | 68% |
| Franasiak et al., 2012 [20] | 1 | 1 | 1 | 0 | - | 1 | 1 | 1 | - | 0 | - | 0 | - | 1 | 1 | 1 | 1 | 0 | 0 | - | 1 | 0.5 | 0.5 | 0 | 12 | 63% |
| Franasiak et al., 2014 [53] | 1 | 1 | 1 | 0 | - | 1 | 1 | 1 | - | 0 | - | 0 | - | 0 | 1 | 1 | 1 | 0 | 0 | - | 1 | 0 | 0.5 | 0 | 10.5 | 55% |
| Giagio et al., 2019 [30] | 1 | 1 | 1 | 1 | - | 1 | 1 | 1 | - | 1 | - | 1 | - | 1 | 1 | 1 | 1 | 1 | 1 | - | 1 | 1 | 1 | 0 | 18 | 95% |
| Giberti et al., 2014 [54] | 1 | 1 | 1 | 0 | - | 1 | 1 | 1 | - | 0 | - | 0 | - | 1 | 1 | 1 | 1 | 0 | 0 | - | 1 | 0.5 | 0.5 | 0 | 12 | 63% |
| Gofrit et al., 2008 [55] | 1 | 1 | 1 | 0 | - | 1 | 1 | 1 | - | 0 | - | 0 | - | 1 | 1 | 1 | 1 | 0 | 0 | - | 0 | 0.5 | 0.5 | 0 | 11 | 58% |
| Goldstein et al., 2004 [56] | 1 | 1 | 1 | 0 | - | 1 | 1 | 1 | - | 0 | - | 0 | - | 1 | 1 | 1 | 1 | 0 | 0 | - | 1 | 0.5 | 0.5 | 0 | 12 | 63% |
| Grant et al., 2020 [57] | 1 | 1 | 1 | 0 | - | 1 | 1 | 1 | - | 0 | - | 0 | - | 1 | 1 | 1 | 1 | 1 | 0 | - | 1 | 0.5 | 0.5 | 0.5 | 13.5 | 71% |
| Hansel et al., 2008 [58] | 1 | 1 | 1 | 0 | - | 1 | 1 | 1 | - | 0 | - | 0 | - | 1 | 1 | 1 | 1 | 1 | 1 | - | 1 | 0.5 | 0.5 | 0 | 14 | 74% |
| Hemal et al., 2001 [59] | 1 | 1 | 1 | 0 | - | 1 | 1 | 1 | - | 0 | - | 0 | - | 1 | 1 | 1 | 1 | 0 | 0 | - | 0 | 0.5 | 0.5 | 0 | 11 | 58% |
| Ho et al., 2018 [60] | 1 | 1 | 1 | 0 | - | 1 | 1 | 1 | - | 0 | - | 0 | - | 0.5 | 1 | 1 | 1 | 0 | 0 | - | 1 | 0.5 | 0.5 | 0 | 11.5 | 61% |
| Hyer et al., 2015 [61] | 1 | 1 | 1 | 0 | - | 1 | 1 | 1 | - | 0 | - | 0 | - | 1 | 1 | 1 | 1 | 1 | 1 | - | 1 | 1 | 1 | 0 | 15 | 79% |
| Johnston et al., 2005 [62] | 1 | 1 | 1 | 0 | - | 1 | 1 | 1 | - | 0 | - | 0 | - | 1 | 1 | 1 | 1 | 0 | 0 | - | 0.5 | 0.5 | 0.5 | 0 | 11.5 | 61% |
| Kaya et al., 2008 [63] | 1 | 1 | 1 | 0 | - | 1 | 1 | 1 | - | 0 | - | 0 | - | 0.5 | 1 | 1 | 1 | 0 | 0 | - | 0 | 0 | 0.5 | 0 | 10 | 53% |
| Khansa et al., 2018 [8] | 1 | 1 | 1 | 0 | - | 1 | 1 | 1 | - | 0 | - | 0 | - | 1 | 1 | 1 | 1 | 1 | 1 | - | 1 | 1 | 1 | 0 | 15 | 79% |
| Kim-Fine et al., 2013 [64] | 1 | 1 | 1 | 0 | - | 1 | 1 | 1 | - | 0 | - | 0 | - | 1 | 1 | 1 | 1 | 1 | 1 | - | 0 | 0.5 | 0.5 | 0 | 13 | 68% |
| Kitzmann et al., 2012 [65] | 1 | 1 | 1 | 0 | - | 1 | 1 | 1 | - | 0 | - | 0 | - | 1 | 1 | 1 | 1 | 1 | 1 | - | 1 | 1 | 1 | 0 | 15 | 79% |
| Klein et al., 2015 [66] | 1 | 1 | 1 | 0 | - | 1 | 1 | 1 | - | 0 | - | 0 | - | 1 | 1 | 1 | 1 | 1 | 1 | - | 1 | 0.5 | 0.5 | 0 | 14 | 74% |
| Knudsen et al., 2014 [67] | 1 | 1 | 1 | 0 | - | 1 | 1 | 1 | - | 0 | - | 0 | - | 1 | 1 | 1 | 1 | 0 | 0 | - | 1 | 0.5 | 0.5 | 1 | 12 | 63% |
| Lee et al., 2017 [68] | 1 | 1 | 1 | 0 | - | 1 | 1 | 1 | - | 0 | - | 0 | - | 1 | 1 | 1 | 1 | 0 | 0 | - | 0.5 | 0.5 | 0.5 | 0 | 10.5 | 55% |
| Liang et al., 2012 [2] | 1 | 1 | 1 | 0 | - | 1 | 1 | 1 | - | 0 | - | 0 | - | 1 | 1 | 1 | 0.5 | 0 | 0.5 | - | 1 | 0.5 | 0.5 | 0 | 10 | 53% |
| Liang et al., 2013 [69] | 1 | 1 | 1 | 0 | - | 1 | 1 | 1 | - | 0 | - | 0 | - | 1 | 1 | 1 | 1 | 0 | 0 | - | 1 | 0.5 | 1 | 0 | 12 | 63% |
| Liberman et al., 2005 [25] | 1 | 1 | 1 | 0 | - | 1 | 1 | 1 | - | 0 | - | 0 | - | 1 | 1 | 1 | 1 | 0 | 0 | - | 1 | 0.5 | 0.5 | 0 | 11 | 58% |
| Mal and Costello, 2002 [70] | 1 | 1 | 1 | 0 | - | 1 | 1 | 1 | - | 0 | - | 0 | - | 0.5 | 1 | 1 | 1 | 0 | 0 | - | 0 | 0.5 | 0.5 | 0 | 9.5 | 50% |
| Matern and Koneczny 2007 [71] | 1 | 1 | 1 | 0 | - | 1 | 1 | 1 | - | 0 | - | 0 | - | 0.5 | 1 | 1 | 1 | 0 | 0 | - | 0 | 0.5 | 0.5 | 0 | 9.5 | 50% |
| Mavrovounis et al., 2021 [72] | 1 | 1 | 1 | 0 | - | 1 | 1 | 1 | - | 0 | - | 0 | - | 1 | 1 | 1 | 1 | 0 | 0 | - | 1 | 0.5 | 1 | 0.5 | 12.5 | 66% |
| Mehrifar et al., 2018 [73] | 1 | 1 | 1 | 0 | - | 1 | 1 | 1 | - | 0 | - | 0 | - | 0.5 | 1 | 1 | 1 | 0 | 0 | - | 0 | 0.5 | 0.5 | 0 | 10 | 53% |
| Miller et al., 2012 [74] | 1 | 1 | 1 | 0 | - | 1 | 1 | 1 | - | 0 | - | 0 | - | 1 | 1 | 1 | 1 | 1 | 0.5 | - | 0.5 | 0.5 | 0.5 | 0 | 12.5 | 66% |
| Mirbod et al. 1995 [75] | 1 | 1 | 1 | 0 | - | 1 | 1 | 1 | - | 0 | - | 0 | - | 1 | 1 | 1 | 1 | 1 | 1 | - | 0 | 0.5 | 0.5 | 0 | 12.5 | 66% |
| Mohseni-Bandpei et al., 2011 [10] | 1 | 1 | 1 | 0 | - | 1 | 1 | 1 | - | 0 | - | 0,5 | - | 1 | 1 | 1 | 1 | 1 | 1 | - | 1 | 1 | 1 | 1 | 16.5 | 87% |
| Morandeira-Rivas et al., 2012 [76] | 1 | 1 | 1 | 0 | - | 1 | 1 | 1 | - | 0 | - | 0 | - | 1 | 1 | 1 | 1 | 0 | 0 | - | 1 | 0.5 | 0.5 | 0 | 12 | 63% |
| O’Sullivan 2002 [77] | 1 | 1 | 1 | 0 | - | 1 | 1 | 1 | - | 0 | - | 0 | - | 1 | 1 | 1 | 1 | 0 | 0 | - | 0.5 | 0.5 | 0.5 | 0 | 11.5 | 61% |
| Plerhoples et al., 2012 [7] | 1 | 1 | 1 | 0 | - | 1 | 1 | 1 | - | 0 | - | 0 | - | 1 | 1 | 1 | 1 | 0 | 0 | - | 0.5 | 0.5 | 0.5 | 0 | 11.5 | 61% |
| Quinn and Moohan 2015 [78] | 1 | 1 | 1 | 0 | - | 1 | 1 | 1 | - | 0 | - | 0 | - | 1 | 1 | 1 | 1 | 0.5 | 0 | - | 0 | 0.5 | 0.5 | 0 | 11.5 | 61% |
| Rambabu and Suneetha 2014 [79] | 1 | 1 | 1 | 0 | - | 1 | 1 | 1 | - | 0 | - | 0 | - | 1 | 1 | 1 | 1 | 0 | 0 | - | 1 | 0.5 | 0.5 | 0 | 12 | 63% |
| Rata et al., 2021 [80] | 1 | 1 | 1 | 0 | - | 1 | 1 | 1 | - | 0 | - | 0 | - | 1 | 1 | 1 | 1 | 1 | 1 | - | 0.5 | 0.5 | 0.5 | 0.5 | 14 | 74% |
| Riaz et al., 2021 [81] | 1 | 1 | 1 | 0 | - | 1 | 1 | 1 | - | 0 | - | 0 | - | 1 | 1 | 1 | 1 | 0 | 0 | - | 1 | 0.5 | 0.5 | 0 | 12 | 63% |
| Ruitenburg et al., 2012 [11] | 1 | 1 | 1 | 0 | - | 1 | 1 | 1 | - | 0 | - | 0 | - | 1 | 1 | 1 | 1 | 0.5 | 0.5 | - | 0 | 0.5 | 0.5 | 0 | 12 | 63% |
| Santos-Carreras et al., 2012 [82] | 1 | 1 | 1 | 0 | - | 1 | 1 | 1 | - | 0 | - | 0 | - | 1 | 1 | 1 | 1 | 0 | 0 | - | 1 | 1 | 1 | 1 | 14 | 74% |
| Sari et al., 2010 [83] | 1 | 1 | 1 | 0 | - | 1 | 1 | 1 | - | 0 | - | 0 | - | 1 | 1 | 1 | 1 | 0 | 0 | - | 1 | 0.5 | 0.5 | 0.5 | 12.5 | 66% |
| Sivak-Callcott et al., 2011 [84] | 1 | 1 | 1 | 0 | - | 1 | 1 | 1 | - | 0 | - | 0 | - | 1 | 1 | 1 | 1 | 0 | 0 | - | 0 | 0.5 | 0.5 | 0 | 11 | 58% |
| Stomberg et al., 2010 [85] | 1 | 1 | 1 | 0 | - | 1 | 1 | 1 | - | 0 | - | 0 | - | 1 | 1 | 1 | 1 | 0 | 0 | - | 0 | 0.5 | 0.5 | 0 | 11 | 58% |
| Szeto et al., 2009 [1] | 1 | 1 | 1 | 0 | - | 1 | 1 | 1 | - | 0 | - | 0 | - | 1 | 1 | 1 | 0.5 | 1 | 1 | - | 1 | 0.5 | 0.5 | 1 | 13 | 68% |
| Tan and Kwek 2020 [86] | 1 | 1 | 1 | 0 | - | 1 | 1 | 1 | - | 0 | - | 0 | - | 1 | 1 | 1 | 1 | 0 | 0 | - | 0 | 0.5 | 0.5 | 0 | 10 | 53% |
| Tjiam et al., 2014 [24] | 1 | 1 | 1 | 0 | - | 1 | 1 | 1 | - | 0 | - | 0 | - | 1 | 1 | 1 | 1 | 0 | 0 | - | 0 | 0.5 | 0.5 | 0 | 10 | 53% |
| Trejo et al., 2006 [87] | 1 | 1 | 1 | 0 | - | 1 | 1 | 1 | - | 0 | - | 0 | - | 1 | 1 | 1 | 1 | 0 | 0 | - | 0 | 0.5 | 0.5 | 0 | 10 | 53% |
| Vaghela et al., 2019 [88] | 1 | 1 | 1 | 0 | - | 1 | 1 | 1 | - | 0 | - | 0 | - | 1 | 1 | 1 | 1 | 0 | 0 | - | 0.5 | 0.5 | 0.5 | 0 | 10.5 | 55% |
| Vijendren et al., 2016 [89] | 1 | 1 | 1 | 0 | - | 1 | 1 | 1 | - | 0 | - | 0 | - | 0.5 | 1 | 1 | 1 | 0 | 0 | - | 0 | 0 | 0.5 | 0 | 9.5 | 50% |
| Voss et al., 2016 [90] | 1 | 1 | 1 | 0 | - | 1 | 1 | 1 | - | 0 | - | 0 | - | 1 | 1 | 1 | 1 | 1 | 1 | - | 1 | 0.5 | 0.5 | 0 | 13.5 | 71% |
| Wauben et al., 2006 [23] | 1 | 1 | 1 | 0 | - | 1 | 1 | 1 | - | 0 | - | 0 | - | 1 | 1 | 1 | 1 | 0 | 0 | - | 0 | 0.5 | 0.5 | 0 | 10.5 | 55% |
| Wohlauer et al., 2021 [9] | 1 | 1 | 1 | 0 | - | 1 | 1 | 1 | - | 0 | - | 0 | - | 1 | 1 | 1 | 1 | 1 | 1 | - | 0 | 0.5 | 0.5 | 0 | 12.5 | 66% |
| Wolf et al., 2000 [91] | 1 | 1 | 1 | 0 | - | 1 | 1 | 1 | - | 0 | - | 0 | - | 1 | 1 | 1 | 1 | 0 | 0 | - | 0 | 0.5 | 0.5 | 0 | 10.5 | 55% |
Appendix A.2
| None Robotic-/Video-Assisted Surgery | |||||||||||||||||
|---|---|---|---|---|---|---|---|---|---|---|---|---|---|---|---|---|---|
| Authors | Study Details | Body Area | |||||||||||||||
| Neck | Back | Upper Back | Mid-Back | Lower Back | Shoulder | Elbow | Wrist | Fingers | Thumb | Hip | Knee | Ankle | |||||
| Alnefaie et al., 2019 [31] | N Participants | 121 | Age (year) | 34.38 | 46.3% | 51.9% | 25.7% | 9.3% | 22.2% | 20.4% | 20.4% | ||||||
| Country | Saudi Arabia | Practice (year) | NR | ||||||||||||||
| Male/Female (%) | 61.2/38.8 | Case load (per week) | NR | ||||||||||||||
| Alqahtani et al., 2015 [32] | N Participants | 183 | Age (year) | 54.9 | 27.9% | 14.2% | 14.2% | 22.9% | |||||||||
| Country | Multiple | Practice (year) | 22.3 | ||||||||||||||
| Male/Female (%) | 97.8/2.2 | Case load (per week) | 5.8 cases | ||||||||||||||
| Alqhatani et al., 2022 [12] | N Participants | 578 | Age (year) | 52.8 | 18.3% | 20.7% | 14% | 15.7% | 31.3% | 4% | 7.4% | 5.7% | |||||
| Country | United States | Practice (year) | 19.78 | ||||||||||||||
| Male/Female (%) | 84.8/15.2 | Case load (per week) | 8.57 cases | ||||||||||||||
| AlSabah et al., 2019 [33] | N Participants | 101 | Age (year) | 45.2 ± 7.8 | 52% | 71% | 30% | 12% | 20% | ||||||||
| Country | Multiple | Practice (year) | 19.4 ± 7.5 | ||||||||||||||
| Male/Female (%) | 94.7/5.3 | Case load (per week) | 20.25 cases | ||||||||||||||
| Alzahrani et al., 2016 [34] | N Participants | 402 | Age (year) | 51.2 | 10.4% | 28.6% | 12.9% | 15.4% | 10% | ||||||||
| Country | United States | Practice (year) | 18.3 | ||||||||||||||
| Male/Female (%) | 76.1/23.9 | Case load (per week) | NR | ||||||||||||||
| Auerbach et al., 2011 [35] | N Participants | 561 | Age (year) | 54 | 59.4% | 62.2% | 48.5% | 28.3% | 24.8% | 31.2% | |||||||
| Country | United States | Practice (year) | NR | ||||||||||||||
| Male/Female (%) | NR | Case load (per week) | 2.8 cases | ||||||||||||||
| Bolduc-Beguin et al., 2017 [13] | N Participants | 137 | Age (year) | 46 | 64.3% | 58.4% | 64.2% | ||||||||||
| Country | Canada | Practice (year) | 14.0 | ||||||||||||||
| Male/Female (%) | 79.0/21.0 | Case load (per week) | NR | ||||||||||||||
| Capone et al., 2010 [39] | N Participants | 325 | Age (year) | 48.1 | 26.8% | 9.2% | 24% | 17.9% | 29.8% | 24.7% | 12.6% | ||||||
| Country | United States | Practice (year) | 12.9 | ||||||||||||||
| Male/Female (%) | 87.1/12.9 | Case load (per week) | NR | ||||||||||||||
| Cavanagh et al., 2012 [41] | N Participants | 100 | Age (year) | 52.96 ± 8.0.3 | 59.7% | 56.5% | 19.4% | ||||||||||
| Country | United States | Practice (year) | 21.17 ± 9.32 | ||||||||||||||
| Male/Female (%) | 85.0/15.0 | Case load (per week) | NR | ||||||||||||||
| Cohen-Rosenblum et al., 2022 [42] | N Participants | 63 | Age (year) | 45.2 | 17.5% | 30.2% | 33.3% | 11.1% | 54% | 9.5% | 7.9% | 11.1% | |||||
| Country | United States | Practice (year) | 10.65 | ||||||||||||||
| Male/Female (%) | 0.0/100.0 | Case load (per week) | 5.3 cases | ||||||||||||||
| Dabholkar et al., 2015 [43] | N Participants | 75 | Age (year) | 43.4 | 26.6% | 49.3% | 14.6% | 14.6% | 25.3% | 22.6% | |||||||
| Country | India | Practice (year) | 14.06 | ||||||||||||||
| Male/Female (%) | 74.0/26.0 | Case load (per week) | 10.24 cases | ||||||||||||||
| Dabholkar et al., 2017 [44] | N Participants | 73 | Age (year) | 37.38 ± 10.79 | 41% | 37% | 32.9% | 16.4% | 9.6% | 23.3% | 5.4% | ||||||
| Country | India | Practice (year) | 10.60 ± 9.1 | ||||||||||||||
| Male/Female (%) | 63.1/36.9 | Case load (per week) | 4.86 ± 2.23 cases | ||||||||||||||
| Davis et al., 2013 [45] | N Participants | 140 | Age (year) | 49.7 ± 10.7 | 10% | 19.3% | 7.1% | 25% | |||||||||
| Country | United States | Practice (year) | 19.3 | ||||||||||||||
| Male/Female (%) | NR | Case load (per week) | 13.8 h | ||||||||||||||
| Davis et al., 2014 [46] | N Participants | 260 | Age (year) | NR | 7.7% | 14.6% | 3.5% | 8.8% | 1.9% | 2.7% | |||||||
| Country | United States | Practice (year) | 20 ± 11 | ||||||||||||||
| Male/Female (%) | 80.0/20.0 | Case load (per week) | 19 ± 10 h | ||||||||||||||
| Dhimitri et al., 2005 [47] | N Participants | 697 | Age (year) | 51.9 | 32.6% | 39% | 32.9% | ||||||||||
| Country | United States | Practice (year) | 19.8 | ||||||||||||||
| Male/Female (%) | 84.1/15.9 | Case load (per week) | 6.8 cases | ||||||||||||||
| Dianat et al., 2018 [14] | N Participants | 312 | Age (year) | 45.2 ± 9.3 | 45.8% | 31.4% | 42.3% | 40.1% | 13.8% | 25% | 28.5% | 48.7% | 27.9% | ||||
| Country | Iran | Practice (year) | 12.5 ± 8.3 | ||||||||||||||
| Male/Female (%) | 65.1/34.9 | Case load (per week) | 13.1 ± 7.3 cases | ||||||||||||||
| Esser et al., 2007 [50] | N Participants | 17 | Age (year) | 39.6 | 59% | 12% | 12% | 41% | 53% | 12% | 12% | ||||||
| Country | United States | Practice (year) | 6.8 | ||||||||||||||
| Male/Female (%) | 70.6/29.4 | Case load (per week) | 24.3 h | ||||||||||||||
| Filisetti et al., 2015 [51] | N Participants | 138 | Age (year) | NR | 18.1% | ||||||||||||
| Country | Multiple (Europe) | Practice (year) | 15 | ||||||||||||||
| Male/Female (%) | 76.1/23.9 | Case load (per week) | 1.4 case | ||||||||||||||
| Forst et al., 2006 [52] | N Participants | 285 | Age (year) | 46.7 | 28.8% | ||||||||||||
| Country | United States | Practice (year) | 14.1 | ||||||||||||||
| Male/Female (%) | 97.5/2.5 | Case load (per week) | NR | ||||||||||||||
| Giagio et al., 2019 [30] | N Participants | 76 | Age (year) | 37.7 ± 12.1 | 78.9% | 55.3% | 71.1% | 51.3% | 3.9% | 26.3% | 14.5% | 18.4% | 18.4% | ||||
| Country | Italy | Practice (year) | 10.4 ± 11.3 | ||||||||||||||
| Male/Female (%) | 65.8/34.2 | Case load (per week) | 16.1 cases | ||||||||||||||
| Goldstein et al., 2004 [56] | N Participants | 423 | Age (year) | NR | 16.8% | 29.4% | |||||||||||
| Country | United States | Practice (year) | 13.8 | ||||||||||||||
| Male/Female (%) | NR | Case load (per week) | 9.8 cases | ||||||||||||||
| Grant et al., 2020 [57] | N Participants | 329 | Age (year) | NR | 59% | 38% | 55% | ||||||||||
| Country | Australia | Practice (year) | NR | ||||||||||||||
| Male/Female (%) | 73.0/27.0 | Case load (per week) | 20 h | ||||||||||||||
| Hemal et al., 2001 [59] | N Participants | 73 | Age (year) | 36.9 ± 8.4 | 6% | 8.2% | 10.2% | 5.4% | 8.6% | 4.2% | |||||||
| Country | India | Practice (year) | 10.9 ± 7.6 | ||||||||||||||
| Male/Female (%) | NR | Case load (per week) | 12.9 ± 5.7 h | ||||||||||||||
| Hyer et al., 2015 [61] | N Participants | 518 | Age (year) | 48.7 | 29.6% | 47% | |||||||||||
| Country | United Kingdom | Practice (year) | NR | ||||||||||||||
| Male/Female (%) | 74.5/25.5 | Case load (per week) | 8.78 h | ||||||||||||||
| Khansa et al., 2018 [8] | N Participants | 865 | Age (year) | NR | 66.6% | 38.7% | 16.2% | 39.9% | 52% | 38.3% | 13.3% | ||||||
| Country | Multiple | Practice (year) | NR | ||||||||||||||
| Male/Female (%) | 75.8/24.2 | Case load (per week) | 7 cases | ||||||||||||||
| Kim-Fine et al., 2013 [64] | N Participants | 506 | Age (year) | 41.9 | 50.3% | 43% | 53.9% | 38.6% | 17% | 15.6% | 25.4% | ||||||
| Country | Multiple | Practice (year) | 15.9 | ||||||||||||||
| Male/Female (%) | 49.0/51.0 | Case load (per week) | NR | ||||||||||||||
| Kitzmann et al., 2012 [65] | N Participants | 94 | Age (year) | 41.5 ± 10.9 | 46% | 19% | 26% | 11% | 1% | 17% | |||||||
| Country | United States | Practice (year) | 11.8 | ||||||||||||||
| Male/Female (%) | 66.0/34.0 | Case load (per week) | NR | ||||||||||||||
| Klein et al., 2015 [66] | N Participants | 310 | Age (year) | 49 | 24.7% | 34.4% | |||||||||||
| Country | United States | Practice (year) | 16 | ||||||||||||||
| Male/Female (%) | 89.0/11.0 | Case load (per week) | 11.1 cases | ||||||||||||||
| Knudsen et al., 2014 [67] | N Participants | 32 | Age (year) | 29.5 | 59.4% | 35.5% | 54.8% | 34.4% | 3.1% | 19.4% | 9.7% | 22.6% | 22.6% | ||||
| Country | United States | Practice (year) | 2.9 | ||||||||||||||
| Male/Female (%) | 75.0/25.0 | Case load (per week) | 33.8 h | ||||||||||||||
| Liang et al., 2012 [2] | N Participants | 354 | Age (year) | 44.5 | 65.2% | 53.3% | 63.1% | 61.5% | 13.8% | 36.9% | 24.8% | 20.5% | |||||
| Country | United States | Practice (year) | 8.9 | ||||||||||||||
| Male/Female (%) | 70.9/29.1 | Case load (per week) | NR | ||||||||||||||
| Mal and Costello 2002 [70] | N Participants | 367 | Age (year) | 51.2 | 24% | ||||||||||||
| Country | United Kingdom | Practice (year) | NR | ||||||||||||||
| Male/Female (%) | NR | Case load (per week) | NR | ||||||||||||||
| Mavrovounis et al., 2021 [72] | N Participants | 409 | Age (year) | 44.63 | 4.6% | 2.7% | 6.8% | 4.2% | 1.7% | 2% | 2.9% | 1% | |||||
| Country | Multiple | Practice (year) | 15 | ||||||||||||||
| Male/Female (%) | 82.4/17.6 | Case load (per week) | 4 cases | ||||||||||||||
| Mehrifar et al., 2015 [73] | N Participants | 40 | Age (year) | 38.54 ± 8.34 | 84.6% | 44.1% | 56.8% | 37.4% | 10% | 40% | 20% | 18% | 24% | ||||
| Country | Iran | Practice (year) | 8.7 | ||||||||||||||
| Male/Female (%) | 63.0/37.0 | Case load (per week) | NR | ||||||||||||||
| Miller et al., 2012 [74] | N Participants | 61 | Age (year) | 50 ± 9.5 | 23% | ||||||||||||
| Country | United States | Practice (year) | 16.16.0 | ||||||||||||||
| Male/Female (%) | 79.0/21.0 | Case load (per week) | NR | ||||||||||||||
| Mirbod et al. 1995 [75] | N Participants | 63 | Age (year) | 41.8 ± 9.5 | 20.6% | 17.5% | 36.5% | 17.5% | 9.5% | ||||||||
| Country | Japan | Practice (year) | 16.6 ± 9.5 | ||||||||||||||
| Male/Female (%) | 100.0/0.0 | Case load (per week) | NR | ||||||||||||||
| Mohseni-Bandpei et al., 2011 [10] | N Participants | 223 | Age (year) | 42.6 | 71.7% | ||||||||||||
| Country | Iran | Practice (year) | 10.5 | ||||||||||||||
| Male/Female (%) | 48.4/51.6 | Case load (per week) | NR | ||||||||||||||
| Plerhoples et al., 2012 [7] | N Participants | 1068 | Age (year) | 45.8 ± 9.0 | 46.6% | 39% | 51.8% | 12.3% | 4.6% | 9.3% | 8.1% | 7.2% | 11.4% | 20% | 7.2% | ||
| Country | United States | Practice (year) | 13.8 ± 9.2 | ||||||||||||||
| Male/Female (%) | 72.7/27.3 | Case load (per week) | 0.77 case | ||||||||||||||
| Rambabu and Suneetha 2014 [79] | N Participants | 100 | Age (year) | NR | 11% | 5% | 20% | 8% | 5% | 8% | 12% | 16% | 15% | ||||
| Country | India | Practice (year) | NR | ||||||||||||||
| Male/Female (%) | NR | Case load (per week) | NR | ||||||||||||||
| Rata et al., 2021 [80] | N Participants | 95 | Age (year) | 37.56 ± 8.74 | 55.8% | 46.3% | 74.7% | 46.3% | 17.7% | 16.8% | 11.6% | 31.6% | 4.2% | ||||
| Country | Romania | Practice (year) | 10.09 ± 8.41 | ||||||||||||||
| Male/Female (%) | 62.1/37.9 | Case load (per week) | 7.56 ± 3.73 cases | ||||||||||||||
| Riaz et al., 2021 [81] | N Participants | 100 | Age (year) | 33.13± 11 | 37% | 21% | 45% | 35% | 5% | 22% | 9% | 10% | 18% | ||||
| Country | Pakistan | Practice (year) | 7.48± 9.51 | ||||||||||||||
| Male/Female (%) | 48.0/52.0 | Case load (per week) | 24.78 cases | ||||||||||||||
| Ruitenburg et al., 2012 [11] | N Participants | 295 | Age (year) | 40.0 ± 9.8 | 30.2% | 23.4% | 25.8% | 17.3% | |||||||||
| Country | The Netherlands | Practice (year) | NR | ||||||||||||||
| Male/Female (%) | 45.0/55.0 | Case load (per week) | NR | ||||||||||||||
| Santos-Carreras et al., 2012 [82] | N Participants | 49 | Age (year) | 43 ± 8.36 | 52.1% | 52.1% | 20.8% | 12.5% | 16.7% | ||||||||
| Country | Multiple | Practice (year) | NR | ||||||||||||||
| Male/Female (%) | 87.8/12.2 | Case load (per week) | NR | ||||||||||||||
| Sivak-Callcott et al., 2011 [84] | N Participants | 130 | Age (year) | 48 | 58% | 29.8% | 31.3% | 26.7% | |||||||||
| Country | United States | Practice (year) | 16.1 | ||||||||||||||
| Male/Female (%) | 85.4/14.6 | Case load (per week) | 13.8 h | ||||||||||||||
| Tan and Kwek 2020 [86] | N Participants | 56 | Age (year) | 33 | 66.1% | 19.5% | 37% | 39.3% | 8.5% | 42.9% | 5% | 16.5% | 21% | ||||
| Country | Singapore | Practice (year) | NR | ||||||||||||||
| Male/Female (%) | NR | Case load (per week) | 16h | ||||||||||||||
| Vaghela et al., 2019 [88] | N Participants | 43 | Age (year) | 42.07 | 30.2% | 52.5% | 23.3% | 2.3% | 2.3% | 2.3% | 7% | 7% | |||||
| Country | India | Practice (year) | 15.14 | ||||||||||||||
| Male/Female (%) | 69.8/30.2 | Case load (per week) | NR | ||||||||||||||
| Vijendren et al., 2016 [89] | N Participants | 323 | Age (year) | NR | 29.7% | 27.9% | 9% | ||||||||||
| Country | United Kingdom | Practice (year) | 18.7 | ||||||||||||||
| Male/Female (%) | NR | Case load (per week) | NR | ||||||||||||||
| Voss et al., 2016 [90] | N Participants | 127 | Age (year) | NR | 65.4% | 66.9% | 54.2% | 30% | 31% | ||||||||
| Country | United States | Practice (year) | 7.1 | ||||||||||||||
| Male/Female (%) | 60.6/39.4 | Case load (per week) | NR | ||||||||||||||
| Wohlauer et al., 2021 [9] | N Participants | 736 | Age (year) | 51.4 ± 10.9 | 45.2% | 25.1% | 39% | 6.3% | 17.9% | ||||||||
| Country | United States | Practice (year) | 17.2 ± 11.6 | ||||||||||||||
| Male/Female (%) | 83.6/16.4 | Case load (per week) | NR | ||||||||||||||
Appendix A.3
| Robotic-/Video-Assisted Surgery | |||||||||||||||||
|---|---|---|---|---|---|---|---|---|---|---|---|---|---|---|---|---|---|
| Authors | Study Details | Body Area | |||||||||||||||
| Neck | Back | Upper Back | Mid-Back | Lower Back | Shoulder | Elbow | Wrist | Fingers | Thumb | Hip | Knee | Ankle | |||||
| Adams et al., 2013 [22] | N Participants | 495 | Age (year) | 47 | 72.9% | 61.6% | 75.6% | 66.6% | 60.9% | ||||||||
| Country | United States | Practice (year) | 18 | ||||||||||||||
| Male/Female (%) | 50.3/49.7 | Case load (per week) | 8 h | ||||||||||||||
| Alnefaie et al., 2019 [31] | N Participants | 121 | Age (year) | 34.38 | 49.3% | 61.2% | 35.8% | 13.4% | 29.9% | 31.3% | 26.9% | ||||||
| Country | Saudi Arabia | Practice (year) | NR | ||||||||||||||
| Male/Female (%) | 61.2/38.8 | Case load (per week) | NR | ||||||||||||||
| AlSabah et al., 2019 [33] | N Participants | 101 | Age (year) | 45.2 ± 7.8 | 39% | 58% | 58% | 40% | 40% | ||||||||
| Country | Multiple | Practice (year) | 19.4 ± 7.5 | ||||||||||||||
| Male/Female (%) | 94.7/5.3 | Case load (per week) | 20.25 cases | ||||||||||||||
| Battevi et al., 2009 [36] | N Participants | 176 | Age (year) | 42.8 | 34.3% | 11.8% | |||||||||||
| Country | Italy | Practice (year) | NR | ||||||||||||||
| Male/Female (%) | 38.6/61.4 | Case load (per week) | NR | ||||||||||||||
| Berguer 1998 [37] | N Participants | 149 | Age (year) | NR | 52% | 55% | 47% | ||||||||||
| Country | United States | Practice (year) | NR | ||||||||||||||
| Male/Female (%) | NR | Case load (per week) | NR | ||||||||||||||
| Buschbacher 1994 [38] | N Participants | 265 | Age (year) | 48.8 ± 8.6 | 13% | 19% | 15% | 14% | |||||||||
| Country | United States | Practice (year) | NR | ||||||||||||||
| Male/Female (%) | 95.1/4.9 | Case load (per week) | NR | ||||||||||||||
| Cass et al., 2014 [40] | N Participants | 128 | Age (year) | NR | 73.4% | 77.3% | 80.5% | 69.5% | |||||||||
| Country | United Kingdom | Practice (year) | NR | ||||||||||||||
| Male/Female (%) | NR | Case load (per week) | NR | ||||||||||||||
| Diaconita et al., 2019 [48] | N Participants | 169 | Age (year) | NR | 46% | 21% | 36% | 28% | 18% | ||||||||
| Country | Canada | Practice (year) | NR | ||||||||||||||
| Male/Female (%) | 68.0/32.0 | Case load (per week) | NR | ||||||||||||||
| Esposito et al., 2014 [49] | N Participants | 23 | Age (year) | NR | 43.5% | 4.3% | 21.7% | ||||||||||
| Country | Multiple | Practice (year) | 9.78 | ||||||||||||||
| Male/Female (%) | NR | Case load (per week) | 7.28 cases | ||||||||||||||
| Franasiak et al., 2012 [20] | N Participants | 260 | Age (year) | 45.3 | 58.8% | 54% | 53.6% | 26.1% | 44.1% | 17.5% | 6.6% | ||||||
| Country | United States | Practice (year) | 9.4 | ||||||||||||||
| Male/Female (%) | 59.2/40.8 | Case load (per week) | NR | ||||||||||||||
| Franasiak et al., 2014 [53] | N Participants | 42 | Age (year) | NR | 33.3% | 7.1% | 19.1% | 23.8% | 16.7% | 2.4% | 2.4% | ||||||
| Country | United States | Practice (year) | 3.0 | ||||||||||||||
| Male/Female (%) | 45.2/54.8 | Case load (per week) | 5.4 h | ||||||||||||||
| Giberti et al., 2014 [54] | N Participants | 17 | Age (year) | 51.3 | 29.4% | 11.8% | 5.9% | ||||||||||
| Country | Italy | Practice (year) | 3.0 | ||||||||||||||
| Male/Female (%) | 94.1/5.9 | Case load (per week) | 6.0 h | ||||||||||||||
| Gofrit et al., 2008 [55] | N Participants | 73 | Age (year) | 44 ± 8.4 | 19% | 14% | 19% | 17.5% | 9% | 10.5% | 9% | ||||||
| Country | United States | Practice (year) | 11.7 ± 8.4 | ||||||||||||||
| Male/Female (%) | 100.0/0.0 | Case load (per week) | 3.1 ± 2.8 h | ||||||||||||||
| Hansel et al., 2008 [58] | N Participants | 71 | Age (year) | 45.1 | 10.4% | 16.7% | |||||||||||
| Country | United States | Practice (year) | NR | ||||||||||||||
| Male/Female (%) | 83.1/16.9 | Case load (per week) | NR | ||||||||||||||
| Hemal et al., 2001 [59] | N Participants | 131 | Age (year) | 41.6 ± 6.1 | 13% | 9.1% | 18% | 15% | 16% | 7.6% | |||||||
| Country | India | Practice (year) | 4.8 ± 2.5 | ||||||||||||||
| Male/Female (%) | NR | Case load (per week) | 8.8 ± 4.8 h | ||||||||||||||
| Ho et al., 2018 [60] | N Participants | 376 | Age (year) | 34.7 ± 8.69 | 73.5% | 47.8% | 52.8% | ||||||||||
| Country | United States | Practice (year) | 4.48 | ||||||||||||||
| Male/Female (%) | 72.7/27.3 | Case load (per week) | 6.7 cases | ||||||||||||||
| Johnston et al., 2005 [62] | N Participants | 25 | Age (year) | NR | 69% | 68% | 55% | 48% | 54% | ||||||||
| Country | United States | Practice (year) | NR | ||||||||||||||
| Male/Female (%) | NR | Case load (per week) | 1.6 case | ||||||||||||||
| Kaya et al., 2008 [63] | N Participants | 82 | Age (year) | NR | 72% | 70% | |||||||||||
| Country | Turkey | Practice (year) | NR | ||||||||||||||
| Male/Female (%) | NR | Case load (per week) | NR | ||||||||||||||
| Lee et al., 2017 [68] | N Participants | 428 | Age (year) | 47.61 ± 9.2 | 21.4% | 15.2% | 12.3% | 9.5% | 9.4% | 22.5% | |||||||
| Country | United States | Practice (year) | 13.48 ± 9.5 | ||||||||||||||
| Male/Female (%) | 71.3/28.7 | Case load (per week) | 5.24 ± 4.2 cases | ||||||||||||||
| Liang et al., 2013 [69] | N Participants | 241 | Age (year) | 44.3 | 58.1% | 53.1% | 33.6% | 32% | 30.3% | 21.6% | |||||||
| Country | China | Practice (year) | NR | ||||||||||||||
| Male/Female (%) | 96.7/3.3 | Case load (per week) | 5.28 cases | ||||||||||||||
| Liberman et al., 2005 [25] | N Participants | 582 | Age (year) | 48 | 11.2% | 8.9% | 44.2% | ||||||||||
| Country | United States | Practice (year) | 14.8 | ||||||||||||||
| Male/Female (%) | 89.3/10.7 | Case load (per week) | 17 cases | ||||||||||||||
| Matern and Koneczny 2007 [71] | N Participants | 425 | Age (year) | NR | 60% | 85% | 39% | ||||||||||
| Country | Germany | Practice (year) | NR | ||||||||||||||
| Male/Female (%) | 75.0/25.0 | Case load (per week) | NR | ||||||||||||||
| Morandeira-Rivas et al., 2012 [76] | N Participants | 78 | Age (year) | 44.06 | 55% | 53% | 52% | 50% | 22% | ||||||||
| Country | Spain | Practice (year) | NR | ||||||||||||||
| Male/Female (%) | 87.0/13.0 | Case load (per week) | 1.3 case | ||||||||||||||
| O’Sullivan 2002 [77] | N Participants | 122 | Age (year) | NR | 46% | 16% | 8% | 36% | |||||||||
| Country | Canada | Practice (year) | NR | ||||||||||||||
| Male/Female (%) | NR | Case load (per week) | NR | ||||||||||||||
| Plerhoples et al., 2012 [7] | N Participants | 1086 | Age (year) | 45.8 ± 9.0 | 44.1% | 41.4% | 44.5% | 33.2% | 8.5% | 16.6% | 11.6% | 17.8% | 10.1% | 15.7% | 5.7% | ||
| Country | United States | Practice (year) | 12.1 ± 8.3 | ||||||||||||||
| Male/Female (%) | 72.7/27.3 | Case load (per week) | 0.77 case | ||||||||||||||
| Quinn and Moohan 2015 [78] | N Participants | 53 | Age (year) | 30.4 | 41.5% | 15.5% | 28.3% | 28.3% | 43.4% | 15.1% | 20.8% | 20.8% | 22.6% | 37.7% | 20.8% | ||
| Country | Ireland | Practice (year) | 4.5 | ||||||||||||||
| Male/Female (%) | 36.0/64.0 | Case load (per week) | NR | ||||||||||||||
| Santos-Carreras et al., 2012 [82] | N Participants | 49 | Age (year) | 43 ± 8.36 | 37.2% | 34.9% | 41.9% | 20.9% | 30.2% | ||||||||
| Country | Multiple | Practice (year) | NR | ||||||||||||||
| Male/Female (%) | 87.8/12.2 | Case load (per week) | NR | ||||||||||||||
| Sari et al., 2010 [83] | N Participants | 55 | Age (year) | 39.5 ± 7.3 | 15% | 26% | 45% | ||||||||||
| Country | The Netherlands | Practice (year) | 8.75 ± 6.07 | ||||||||||||||
| Male/Female (%) | 65.4/34.6 | Case load (per week) | 6 h | ||||||||||||||
| Stomberg et al., 2010 [85] | N Participants | 101 | Age (year) | 48.2 ± 10.2 | 50% | 24% | 55% | 51% | 6% | 14% | 17% | 27% | |||||
| Country | Sweden | Practice (year) | 14.5 ± 10.4 | ||||||||||||||
| Male/Female (%) | 36.6/63.4 | Case load (per week) | 1.9 h | ||||||||||||||
| Szeto et al., 2009 [1] | N Participants | 135 | Age (year) | 35.3 | 82.9% | 52.6% | 68.1% | 57.8% | |||||||||
| Country | China | Practice (year) | 10.0 ± 7.3 | ||||||||||||||
| Male/Female (%) | 82.2/17.8 | Case load (per week) | NR | ||||||||||||||
| Tjiam et al., 2014 [24] | N Participants | 285 | Age (year) | 46 | 59.3% | 56.8% | 51.2% | 26% | 21.4% | 24.9% | |||||||
| Country | The Netherlands | Practice (year) | 12.9 | ||||||||||||||
| Male/Female (%) | 93.0/7.0 | Case load (per week) | 6.45 h | ||||||||||||||
| Trejo et al., 2006 [87] | N Participants | 38 | Age (year) | NR | 65% | 50% | 48% | 55% | 29% | ||||||||
| Country | United States | Practice (year) | NR | ||||||||||||||
| Male/Female (%) | NR | Case load (per week) | NR | ||||||||||||||
| Wauben et al., 2006 [23] | N Participants | 284 | Age (year) | 45 ± 9 | 78% | 77% | 77% | ||||||||||
| Country | Multiple (Europe) | Practice (year) | NR | ||||||||||||||
| Male/Female (%) | 89.4/10.6 | Case load (per week) | 17h | ||||||||||||||
| Wohlauer et al., 2021 [9] | N Participants | 736 | Age (year) | 51.4 ± 10.9 | 24% | 22.4% | 44.2% | 4.9% | 20.8% | ||||||||
| Country | United States | Practice (year) | 17.2 ± 11.6 | ||||||||||||||
| Male/Female (%) | 83.6/16.4 | Case load (per week) | NR | ||||||||||||||
| Wolf et al., 2000 [91] | N Participants | 18 | Age (year) | 45.5 | 28% | 33% | 17% | 11% | 67% | ||||||||
| Country | United States | Practice (year) | NR | ||||||||||||||
| Male/Female (%) | NR | Case load (per week) | NR | ||||||||||||||
Appendix A.4

Appendix A.5

Appendix A.6

Appendix A.7

Appendix A.8

References
- Szeto, G.P.Y.; Ho, P.; Ting, A.C.W.; Poon, J.T.C.; Cheng, S.W.K.; Tsang, R.C.C. Work-related Musculoskeletal Symptoms in Surgeons. J. Occup. Rehabil. 2009, 19, 175–184. [Google Scholar] [CrossRef] [PubMed]
- Liang, C.A.; Levine, V.J.; Dusza, S.W.; Hale, E.K.; Nehal, K.S. Musculoskeletal Disorders and Ergonomics in Dermatologic Surgery: A Survey of Mohs Surgeons in 2010. Dermatol. Surg. 2012, 38, 240–248. [Google Scholar] [CrossRef] [PubMed]
- Berguer, R.; Rab, G.T.; Abu-Ghaida, H.; Alarcon, A.; Chung, J. A comparison of surgeons’ posture during laparoscopic and open surgical procedures. Surg. Endosc. 1997, 11, 139–142. [Google Scholar] [CrossRef]
- Droeze, E.; Jonsson, H. Evaluation of ergonomic interventions to reduce musculoskeletal disorders of dentists in the Netherlands. Work 2005, 25, 211–220. [Google Scholar]
- Alexopoulos, E.; Stathi, I.-C.; Charizani, F. Prevalence of musculoskeletal disorders in dentists. BMC Musculoskelet. Disord. 2004, 5, 16. [Google Scholar] [CrossRef] [PubMed]
- Kierklo, A.; Kobus, A.; Jaworska, M.M.; Botuliński, B. Work-related musculoskeletal disorders among dentists—A questionnaire survey. Ann. Agric. Environ. Med. 2011, 18, 79–84. [Google Scholar]
- Plerhoples, T.A.; Hernandez-Boussard, T.; Wren, S.M. The aching surgeon: A survey of physical discomfort and symptoms following open, laparoscopic, and robotic surgery. J. Robot. Surg. 2012, 6, 65–72. [Google Scholar] [CrossRef]
- Khansa, I.; Khansa, L.; Westvik, T.S.; Ahmad, J.; Lista, F.R.; Janis, J.E. Work-Related Musculoskeletal Injuries in Plastic Surgeons in the United States, Canada, and Norway. Plast. Reconstr. Surg. 2018, 141, 165e–175e. [Google Scholar] [CrossRef]
- Wohlauer, M.; Coleman, D.M.; Sheahan, M.G.; Meltzer, A.J.; Halloran, B.; Hallbeck, S.; Money, S.R.; Coleman, D.; Sheahan, M.; Money, S.; et al. Physical pain and musculoskeletal discomfort in vascular surgeons. J. Vasc. Surg. 2021, 73, 1414–1421. [Google Scholar] [CrossRef]
- Mohseni-Bandpei, M.A.; Ahmad-Shirvani, M.; Golbabaei, N.; Behtash, H.; Shahinfar, Z.; Fernández-de-las-Peñas, C. Prevalence and Risk Factors Associated with Low Back Pain in Iranian Surgeons. J. Manip. Physiol. Ther. 2011, 34, 362–370. [Google Scholar] [CrossRef]
- Ruitenburg, M.; Frings-Dresen, M.; Sluiter, J. Physical job demands and related health complaints among surgeons. Int. Arch. Occup. Environ. Health 2012, 86, 271–279. [Google Scholar] [CrossRef]
- Alqahtani, S.; Alzahrani, M.; Bicknell, R.; Pichora, D. Prevalence and factors of work-related musculoskeletal disorders among hand surgeons. World J. Orthop. 2022, 13, 465–471. [Google Scholar] [CrossRef]
- Bolduc-Bégin, J.; Prince, F.; Christopoulos, A.; Ayad, T. Work-related musculoskeletal symptoms amongst Otolaryngologists and Head and Neck surgeons in Canada. Eur. Arch. Oto-Rhino-Laryngol. 2017, 275, 261–267. [Google Scholar] [CrossRef]
- Dianat, I.; Bazazan, A.; Souraki Azad, M.A.; Salimi, S.S. Work-related physical, psychosocial and individual factors associated with musculoskeletal symptoms among surgeons: Implications for ergonomic interventions. Appl. Ergon. 2018, 67, 115–124. [Google Scholar] [CrossRef]
- Epstein, S.; Sparer-Fine, E.; Tran, B.; Ruan, Q.; Dennerlein, J.; Singhal, D.; Lee, B. Prevalence of Work-Related Musculoskeletal Disorders Among Surgeons and Interventionalists: A Systematic Review and Meta-analysis. JAMA Surg. 2017, 153, e174947. [Google Scholar] [CrossRef]
- Mohr, C.J.; Nadzam, G.S.; Curet, M.J. Totally Robotic Roux-en-Y Gastric Bypass. Arch. Surg. 2005, 140, 779–786. [Google Scholar] [CrossRef]
- Talamini, M.A.; Chapman, S.; Horgan, S.; Melvin, W.S. A prospective analysis of 211 robotic-assisted surgical procedures. Surg. Endosc. Other Interv. Tech. 2003, 17, 1521–1524. [Google Scholar] [CrossRef] [PubMed]
- Craven, R.; Franasiak, J.; Mosaly, P.; Gehrig, P.A. Ergonomic Deficits in Robotic Gynecologic Oncology Surgery: A Need for Intervention. J. Minim. Invasive Gynecol. 2013, 20, 648–655. [Google Scholar] [CrossRef] [PubMed]
- Park, A.E.; Lee, G.I.; Seagull, F.J.; Meenaghan, N.; Dexter, D. Patients benefit while surgeons suffer: An impending epidemic. J. Am. Coll. Surg. 2010, 210, 306–313. [Google Scholar] [CrossRef] [PubMed]
- Franasiak, J.; Ko, E.M.; Kidd, J.; Secord, A.A.; Bell, M.; Boggess, J.F.; Gehrig, P.A. Physical strain and urgent need for ergonomic training among gynecologic oncologists who perform minimally invasive surgery. Gynecol. Oncol. 2012, 126, 437–442. [Google Scholar] [CrossRef]
- Berguer, R.; Forkey, D.L.; Smith, W.D. Ergonomic problems associated with laparoscopic surgery. Surg. Endosc. 1999, 13, 466–468. [Google Scholar] [CrossRef] [PubMed]
- Adams, S.; Hacker, M.; McKinney, J.; Elkadry, E.; Rosenblatt, P. Musculoskeletal Pain in Gynecologic Surgeons. J. Minim. Invasive Gynecol. 2013, 20, 1–10. [Google Scholar] [CrossRef] [PubMed]
- Wauben, L.S.G.L.; van Veelen, M.A.; Gossot, D.; Goossens, R.H.M. Application of ergonomic guidelines during minimally invasive surgery: A questionnaire survey of 284 surgeons. Surg. Endosc. Other Interv. Tech. 2006, 20, 1268–1274. [Google Scholar] [CrossRef] [PubMed]
- Tjiam, I.; Goossens, R.; Schout, B.; Koldewijn, E.; Hendrikx, A.; Muijtjens, A.; Scherpbier, A.; Witjes, J. Ergonomics in endourology and laparoscopy: An overview of musculoskeletal problems in urology. J. Endourol. 2014, 28, 605–611. [Google Scholar] [CrossRef]
- Liberman, A.S.; Shrier, I.; Gordon, P.H. Injuries sustained by colorectal surgeons performing colonoscopy. Surg. Endosc. Other Interv. Tech. 2005, 19, 1606–1609. [Google Scholar] [CrossRef]
- Harris, J.D.; Quatman, C.E.; Manring, M.M.; Siston, R.A.; Flanigan, D.C. How to Write a Systematic Review. Am. J. Sports Med. 2014, 42, 2761–2768. [Google Scholar] [CrossRef]
- Schulz, K.F.; Altman, D.G.; Moher, D.; The CONSORT Group. CONSORT 2010 Statement: Updated guidelines for reporting parallel group randomised trials. BMC Med. 2010, 8, 18. [Google Scholar] [CrossRef]
- McFarland, T.; Fischer, S. Considerations for Industrial Use: A Systematic Review of the Impact of Active and Passive Upper Limb Exoskeletons on Physical Exposures. IISE Trans. Occup. Ergon. Hum. Factors 2019, 7, 322–347. [Google Scholar] [CrossRef]
- Neyeloff, J.L.; Fuchs, S.C.; Moreira, L.B. Meta-analyses and Forest plots using a microsoft excel spreadsheet: Step-by-step guide focusing on descriptive data analysis. BMC Res. Notes 2012, 5, 52. [Google Scholar] [CrossRef]
- Giagio, S.; Volpe, G.; Pillastrini, P.; Gasparre, G.; Frizziero, A.; Squizzato, F. A Preventive Program for Work-related Musculoskeletal Disorders Among Surgeons: Outcomes of a Randomized Controlled Clinical Trial. Ann. Surg. 2019, 270, 969–975. [Google Scholar] [CrossRef]
- Alnefaie, M.; Alamri, A.; Hariri, A.; Alsaad, S.; Alsulami, A.; Abbas, A.; Alfozan, A.; Aljiffry, M.; Al-Abbadi, H. Musculoskeletal Symptoms Among Surgeons at a Tertiary Care Center: A Survey Based Study. Med. Arch. 2019, 73, 49. [Google Scholar] [CrossRef] [PubMed]
- Alqahtani, S.; Alzahrani, M.; Tanzer, M. Adult Reconstructive Surgery—A High Risk Profession for Work-Related Injuries. J. Arthroplast. 2015, 31, 1194–1198. [Google Scholar] [CrossRef] [PubMed]
- AlSabah, S.; Al Haddad, E.; Khwaja, H. The prevalence of musculoskeletal injuries in bariatric surgeons. Surg. Endosc. 2019, 33, 1818–1827. [Google Scholar] [CrossRef]
- Alzahrani, M.; Alqahtani, S.; Tanzer, M.; Hamdy, R. Musculoskeletal disorders among orthopedic pediatric surgeons: An overlooked entity. J. Child. Orthop. 2016, 10, 461–466. [Google Scholar] [CrossRef]
- Auerbach, J.; Weidner, Z.; Milby, A.; Diab, M.; Lonner, B. Musculoskeletal Disorders Among Spine Surgeons Results of a Survey of the Scoliosis Research Society Membership. Spine 2011, 36, E1715–E1721. [Google Scholar] [CrossRef] [PubMed]
- Battevi, N.; Menoni, O.; Cosentino, F.; Vitelli, N. Digestive endoscopy and risk of upper limb biomechanical overload. Med. Lav. 2009, 100, 171–177. [Google Scholar]
- Berguer, R. Surgical technology and the ergonomics of laparoscopic instruments. Surg. Endosc. 1998, 12, 458–462. [Google Scholar] [CrossRef]
- Buschbacher, R. Overuse Syndromes Among Endoscopists. Endoscopy 1994, 26, 539–544. [Google Scholar] [CrossRef]
- Capone, A.C.; Parikh, P.M.; Gatti, M.E.; Davidson, B.J.; Davison, S.P. Occupational Injury in Plastic Surgeons. Plast. Reconstr. Surg. 2010, 125, 1555–1561. [Google Scholar] [CrossRef]
- Cass, G.K.S.; Vyas, S.; Akande, V. Prolonged laparoscopic surgery is associated with an increased risk of vertebral disc prolapse. J. Obstet. Gynaecol. 2014, 34, 74–78. [Google Scholar] [CrossRef]
- Cavanagh, J.; Brake, M.; Kearns, D.; Hong, P. Work environment discomfort and injury: An ergonomic survey study of the American Society of Pediatric Otolaryngology members. Am. J. Otolaryngol. 2012, 33, 441–446. [Google Scholar] [CrossRef] [PubMed]
- Cohen-Rosenblum, A.R.; Varady, N.H.; Leonovicz, O.; Chen, A.F. Repetitive Musculoskeletal Injuries: A Survey of Female Adult Reconstruction Surgeons. J. Arthroplast. 2022, 37, 1474–1477.e1476. [Google Scholar] [CrossRef] [PubMed]
- Dabholkar, T.Y.; Yardi, S.S.; Dabholkar, Y.G.; Khanvilkar, A.V. Work Related Musculoskeletal Disorders in Surgeons Performing Minimal Invasive Procedures in Mumbai & Navi Mumbai India. Int. J. Health Sci. Res. 2015, 5, 347–355. [Google Scholar]
- Dabholkar, T.; Yardi, S.; Dabholkar, Y.G.; Velankar, H.K.; Ghuge, G. A Survey of Work-Related Musculoskeletal Disorders Among Otolaryngologists. Indian J. Otolaryngol. Head Neck Surg. 2017, 69, 230–238. [Google Scholar] [CrossRef] [PubMed]
- Davis, W.T.; Sathiyakumar, V.; Jahangir, A.A.; Obremskey, W.T.; Sethi, M.K. Occupational Injury Among Orthopaedic Surgeons. JBJS 2013, 95, e107. [Google Scholar] [CrossRef]
- Davis, W.T.; Fletcher, S.A.; Guillamondegui, O.D. Musculoskeletal occupational injury among surgeons: Effects for patients, providers, and institutions. J. Surg. Res. 2014, 189, 207–212.e6. [Google Scholar] [CrossRef] [PubMed]
- Dhimitri, K.; McGwin, G.; McNeal, S.; Lee, P.; Morse, P.; Patterson, M.; Wertz, F.; Marx, J. Symptoms of musculoskeletal disorders in ophthalmologists. Am. J. Ophthalmol. 2005, 139, 179–181. [Google Scholar] [CrossRef]
- Diaconita, V.; Uhlman, K.; Mao, A.; Mather, R. Survey of occupational musculoskeletal pain and injury in Canadian ophthalmology. Can. J. Ophthalmol. 2019, 54, 314–322. [Google Scholar] [CrossRef]
- Esposito, C.; Najmaldin, A.; Schier, F.; Yamataka, A.; Ferro, M.; Riccipetitoni, G.; Czauderna, P.; Ponsky, T.; Till, H.; Escolino, M.; et al. Work-related upper limb musculoskeletal disorders in pediatric minimally invasive surgery: A multicentric survey comparing laparoscopic and sils ergonomy. Pediatr. Surg. Int. 2014, 30, 395–399. [Google Scholar] [CrossRef]
- Esser, A.; Koshy, J.; Randle, H. Ergonomics in Office-Based Surgery: A Survey-Guided Observational Study. Dermatol. Surg. 2007, 33, 1304–1313; discussion 1313. [Google Scholar] [CrossRef]
- Filisetti, C.; Cho, A.; Riccipetitoni, G.; Saxena, A.K. Analysis of Hand Size and Ergonomics of Instruments in Pediatric Minimally Invasive Surgery. Surg. Laparosc. Endosc. Percutan Tech. 2015, 25, e159–e162. [Google Scholar] [CrossRef] [PubMed]
- Forst, L.; Friedman, L.; Shapiro, D. Carpal Tunnel Syndrome in Spine Surgeons: A Pilot Study. Arch. Environ. Occup. Health 2006, 61, 259–262. [Google Scholar] [CrossRef] [PubMed]
- Franasiak, J.M.; Craven, R.; Mosaly, P.; Gehrig, P.A. Feasibility and Acceptance of a Robotic Surgery Ergonomic Training Program. JSLS 2014, 18, e2014.00166. [Google Scholar] [CrossRef] [PubMed]
- Giberti, C.; Gallo, F.; Francini, L.; Signori, A.; Testa, M. Musculoskeletal disorders among robotic surgeons: A questionnaire analysis. Arch. Ital. Urol. Androl. 2014, 86, 95–98. [Google Scholar] [CrossRef]
- Gofrit, O.N.; Mikahail, A.A.; Zorn, K.C.; Zagaja, G.P.; Steinberg, G.D.; Shalhav, A.L. Surgeons’ Perceptions and Injuries During and After Urologic Laparoscopic Surgery. Urology 2008, 71, 404–407. [Google Scholar] [CrossRef]
- Goldstein, J.; Balter, S.; Cowley, M.; Hodgson, J.; Klein, L. Occupational hazards of interventional cardiologists: Prevalence of orthopedic health problems in contemporary practice. Catheter. Cardiovasc. Interv. 2004, 63, 407–411. [Google Scholar] [CrossRef]
- Grant, K.M.K.; Vo, T.; Tiong, L.U. The painful truth: Work-related musculoskeletal disorders in Australian surgeons. Occup. Med. 2020, 70, 60–63. [Google Scholar] [CrossRef]
- Hansel, S.; Crowell, M.; Pardi, D.; Bouras, E.; DiBaise, J. Prevalence and Impact of Musculoskeletal Injury Among Endoscopists: A Controlled Study. J. Clin. Gastroenterol. 2008, 43, 399–404. [Google Scholar] [CrossRef]
- Hemal, A.; Srinivas, M.; Charles, A.R. Ergonomic Problems Associated with Laparoscopy. J. Endourol. 2001, 15, 499–503. [Google Scholar] [CrossRef]
- Ho, T.-V.T.; Hamill, C.S.; Sykes, K.J.; Kraft, S.M. Work-related musculoskeletal symptoms among otolaryngologists by subspecialty: A national survey. Laryngoscope 2018, 128, 632–640. [Google Scholar] [CrossRef]
- Hyer, J.N.; Lee, R.M.; Chowdhury, H.R.; Smith, H.B.; Dhital, A.; Khandwala, M. National survey of back & neck pain amongst consultant ophthalmologists in the United Kingdom. Int. Ophthalmol. 2015, 35, 769–775. [Google Scholar] [CrossRef] [PubMed]
- Johnston, W.K.I.; Hollenbeck, B.K.; Wolf, J.S. Comparison of neuromuscular injuries to the surgeon during hand-assisted and standard laparoscopic urologic surgery. J. Endourol. 2005, 19, 377–381. [Google Scholar] [CrossRef] [PubMed]
- Kaya, O.; Moran, M.; Ozkardeş, A.B.; Taskin, E.Y.; Şeker, G.; Ozmen, M.M. Ergonomic Problems Encountered by the Surgical Team During Video Endoscopic Surgery. Surg. Laparosc. Endosc. Percutan Tech. 2008, 18, 40–44. [Google Scholar] [CrossRef] [PubMed]
- Kim-Fine, S.; Woolley, S.M.; Weaver, A.L.; Killian, J.M.; Gebhart, J.B. Work-related musculoskeletal disorders among vaginal surgeons. Int. Urogynecol. J. 2013, 24, 1191–1200. [Google Scholar] [CrossRef]
- Kitzmann, A.S.; Fethke, N.B.; Baratz, K.H.; Zimmerman, M.B.; Hackbarth, D.J.; Gehrs, K.M. A Survey Study of Musculoskeletal Disorders Among Eye Care Physicians Compared with Family Medicine Physicians. Ophthalmology 2012, 119, 213–220. [Google Scholar] [CrossRef]
- Klein, L.; Tra, Y.; Garratt, K.; Powell, W.; Lopez-Cruz, G.; Chambers, C.; Goldstein, J. Occupational health hazards of interventional cardiologists in the current decade: Results of the 2014 SCAI membership survey: Results of the 2014 SCAI Membership Occupational Health Survey. Catheter. Cardiovasc. Interv. 2015, 86, 913–924. [Google Scholar] [CrossRef]
- Knudsen, M.; Ludewig, P.; Braman, J. Musculoskeletal Pain in Resident Orthopaedic Surgeons: Results of a Novel Survey. Iowa Orthop. J. 2014, 34, 190–196. [Google Scholar]
- Lee, G.I.; Lee, M.R.; Green, I.; Allaf, M.; Marohn, M.R. Surgeons’ physical discomfort and symptoms during robotic surgery: A comprehensive ergonomic survey study. Surg. Endosc. 2017, 31, 1697–1706. [Google Scholar] [CrossRef]
- Liang, B.; Qi, L.; Yang, J.-r.; Cao, Z.; Zu, X.; Liu, L.; Wang, L. Ergonomic Status of Laparoscopic Urologic Surgery: Survey Results from 241 Urologic Surgeons in China. PLoS ONE 2013, 8, e70423. [Google Scholar] [CrossRef]
- Mal, R.K.; Costello, C.H. Is shoulder impingement syndrome a problem in otolaryngologists? Clin. Otolaryngol. 2002, 27, 44–47. [Google Scholar] [CrossRef]
- Matern, U.; Koneczny, S. Safety, hazards and ergonomics in the operating room. Surg. Endosc. 2007, 21, 1965–1969. [Google Scholar] [CrossRef] [PubMed]
- Mavrovounis, G.; Meling, T.; Lafuente, J.; Fountas, K.; Demetriades, A. Postural ergonomics and work-related musculoskeletal disorders in neurosurgery: Lessons from an international survey. Acta Neurochir. 2021, 163, 1541–1552. [Google Scholar] [CrossRef] [PubMed]
- Mehrifar, Y.; Mardanparvar, H.; Mohebian, Z. Musculoskeletal disorders among surgeons working in several hospitals of Tehran, Iran (2015). J. Occup. Health 2018, 7, 97–102. [Google Scholar] [CrossRef]
- Miller, K.; Benden, M.E.; Pickens, A.; Shipp, E.M.; Zheng, Q. Ergonomics Principles Associated With Laparoscopic Surgeon Injury/Illness. Hum. Factors 2012, 54, 1087–1092. [Google Scholar] [CrossRef] [PubMed]
- Mirbod, S.M.; Yoshida, H.; Miyamoto, K.; Miyashita, K.; Inaba, R.; Iwata, H. Subjective complaints in orthopedists and general surgeons. Int. Arch. Occup. Environ. Health 1995, 67, 179–186. [Google Scholar] [CrossRef] [PubMed]
- Morandeira-Rivas, A.; Millán-Casas, L.; Moreno-Sanz, C.; Herrero-Bogajo, M.L.; Tenías-Burillo, J.M.; Giménez-Salillas, L. Ergonomics in Laparoendoscopic Single-Site Surgery: Survey Results. J. Gastrointest. Surg. 2012, 16, 2151–2159. [Google Scholar] [CrossRef]
- O’Sullivan, S.; Bridge, G.; Ponich, T. Musculoskeletal Injuries among ERCP Endoscopists in Canada. Can. J. Gastroenterol. Hepatol. 2002, 16, 369–374. [Google Scholar] [CrossRef]
- Quinn, D.; Moohan, J. The trainees’ pain with laparoscopic surgery: What do trainees really know about theatre set-up and how this impacts their health. Gynecol. Surg. 2015, 12, 71–76. [Google Scholar] [CrossRef]
- Rambabu, T.; Suneetha, K. Prevalence of Work Related Musculoskeletal Disorders Among Physicians, Surgeons and Dentists: A Comparative Study. Ann. Med. Res. 2014, 4, 578–582. [Google Scholar] [CrossRef]
- Rata, A.; Sorin, B.; Garleanu, L.; Onofrei, R.R. Work-Related Musculoskeletal Complaints in Surgeons. Healthcare 2021, 9, 1482. [Google Scholar] [CrossRef]
- Riaz, H.; Khan, H.; Malik, Q. Postural ergonomic risk assessment and work-related musculoskeletal symptoms among surgeons. Int. J. Rehabil. Res. 2021, 1, 5–10. [Google Scholar] [CrossRef]
- Santos-Carreras, L.; Hagen, M.E.; Gassert, R.; Bleuler, H. Survey on Surgical Instrument Handle Design. Surg. Innov. 2012, 19, 50–59. [Google Scholar] [CrossRef]
- Sari, V.; Nieboer, T.E.; Vierhout, M.E.; Stegeman, D.F.; Kluivers, K.B. The operation room as a hostile environment for surgeons: Physical complaints during and after laparoscopy. Minim. Invasive Ther. Allied Technol. 2010, 19, 105–109. [Google Scholar] [CrossRef] [PubMed]
- Sivak-Callcott, J.; Diaz, S.; Ducatman, A.; Rosen, C.; Nimbarte, A. A Survey Study of Occupational Pain and Injury in Ophthalmic Plastic Surgeons. Ophthalmic Plast. Reconstr. Surg. 2011, 27, 28–32. [Google Scholar] [CrossRef] [PubMed]
- Stomberg, M.; Tronstad, S.-E.; Hedberg, K.; Bengtsson, J.; Jonsson, P.; Johansen, L.; Lindvall, B. Work-related Musculoskeletal Disorders When Performing Laparoscopic Surgery. Surg. Laparosc. Endosc. Percutan Tech. 2010, 20, 49–53. [Google Scholar] [CrossRef]
- Tan, K.; Kwek, E.B.K. Musculoskeletal Occupational Injuries in Orthopaedic Surgeons and Residents. Malays. Orthop. J. 2020, 14, 24–27. [Google Scholar] [CrossRef] [PubMed]
- Trejo, A.E.; Doné, K.; DiMartino, A.; Oleynikov, D.; Hallbeck, M.S. Articulating vs. conventional laparoscopic grasping tools—surgeons’ opinions. Int. J. Ind. Ergon. 2006, 36, 25–35. [Google Scholar] [CrossRef]
- Vaghela, D.; Parekh, S.; Ganjiwale, D.; Mehta, J. Work-related musculoskeletal disorder among surgeons in Gujarat. J. Educ. Health Promot. 2019, 8, 248. [Google Scholar] [CrossRef]
- Vijendren, A.; Yung, M.; Sanchez, J.; Duffield, K. Occupational musculoskeletal pain amongst ENT surgeons—Are we looking at the tip of an iceberg? J. Laryngol. Otol. 2016, 130, 490–496. [Google Scholar] [CrossRef]
- Voss, R.; Chiang, Y.-J.; Cromwell, K.; Urbauer, D.; Lee, J.; Cormier, J.; Stucky, C.-C. Do No Harm, Except to Ourselves? A Survey of Symptoms and Injuries in Oncologic Surgeons and Pilot Study of an Intraoperative Ergonomic Intervention. J. Am. Coll. Surg. 2016, 224, 16–25.e1. [Google Scholar] [CrossRef]
- Wolf, J.S.; Marcovich, R.; Gill, I.S.; Sung, G.T.; Kavoussi, L.R.; Clayman, R.V.; McDougall, E.M.; Shalhav, A.; Dunn, M.D.; Afane, J.S.; et al. Survey of neuromuscular injuries to the patient and surgeon during urologic laparoscopic surgery. Urology 2000, 55, 831–836. [Google Scholar] [CrossRef] [PubMed]
- Jacquier-Bret, J.; Gorce, P. Prevalence of Body Area Work-Related Musculoskeletal Disorders among Healthcare Professionals: A Systematic Review. Int. J. Environ. Res. Public. Health 2023, 20, 841. [Google Scholar] [CrossRef] [PubMed]
- Tavakkol, R.; Karimi, A.; Hassanipour, S.; Gharahzadeh, A.; Fayzi, R. A Multidisciplinary Focus Review of Musculoskeletal Disorders Among Operating Room Personnel. J. Multidiscip. Healthc. 2020, 13, 735–741. [Google Scholar] [CrossRef] [PubMed]
- Gorce, P.; Jacquier-Bret, J. Global prevalence of musculoskeletal disorders among physiotherapists: A systematic review and meta-analysis. BMC Musculoskelet. Disord. 2023, 24, 265. [Google Scholar] [CrossRef]
- Rabiei, M.; Shakiba, M.; Dehgan-Shahreza, H.; Talebzadeh, M.I. Musculoskeletal Disorders in Dentists. Int. J. Occup. Hyg. 2015, 4, 36–40. [Google Scholar]
- Okuyucu, K.; Gyi, D.; Hignett, S.; Doshani, A. Midwives are getting hurt: UK survey of the prevalence and risk factors for developing musculoskeletal symptoms. Midwifery 2019, 79, 102546. [Google Scholar] [CrossRef]
- Lang, J.; Ochsmann, E.; Kraus, T.; Lang, J.W.B. Psychosocial work stressors as antecedents of musculoskeletal problems: A systematic review and meta-analysis of stability-adjusted longitudinal studies. Soc. Sci. Med. 2012, 75, 1163–1174. [Google Scholar] [CrossRef]
- Choobineh, A.; Movahed, M.; Tabatabaie, S.H.; Kumashiro, M. Perceived demands and musculoskeletal disorders in operating room nurses of Shiraz city hospitals. Ind. Health 2010, 48, 74–84. [Google Scholar] [CrossRef]
- Canadian Centre for Occupational Health and Safety. Diseases, Disorders and Injuries—Work-Related Musculoskeletal Disorders. 2014. Available online: https://www.ccohs.ca/oshanswers/diseases/rmirsi.pdf (accessed on 24 March 2023).
- Ordóñez-Ríos, M.; Jara-Díaz, O.; Salamea, J.C.; Robles-Bykbaev, V. Ergonomic assessment and analysis of postural load of surgeons performing laparoscopic surgeries in Cuenca, Ecuador. Adv. Intell. Syst. Comput. 2018, 590, 427–437. [Google Scholar] [CrossRef]
- Kelts, G.; McMains, K.C.; Chen, P.G.; Weitzel, E.K. Monitor height ergonomics: A comparison of operating room video display terminals. Allergy Rhinol. 2015, 6, e28–e32. [Google Scholar] [CrossRef]
- Jacquier-Bret, J.; Gorce, P. Effect of Stool Movement on A Physiotherapist MSD Risk During Manual Lymphatic Drainage: A Case Report. Int. J. Health Sci. Res. 2022, 12, 98–104. [Google Scholar] [CrossRef]
- Jacquier-Bret, J.; Gorce, P.; Rouvière, E. Ergonomic risk assessment during massage among physiotherapists: Introduction of Generic Postures notion. Work, 2023; preprint. [Google Scholar] [CrossRef] [PubMed]









| High Quality | Medium Quality | Low Quality | |
|---|---|---|---|
| Giagio et al. [30] | Adams et al. [22] | Alnefaie et al. [31] | - |
| Mohseni-Bandpei et al. [10] | Alqahtani et al. [32] | Alqahtani et al. [12] | |
| AlSabah et al. [33] | Alzahrani et al. [34] | ||
| Auerbach et al. [35] | Battevi et al. [36] | ||
| Berguer [37] | Bolduc-Beguin et al. [13] | ||
| Buschbacher [38] | Capone et al. [39] | ||
| Cass et al. [40] | Cavanagh et al. [41] | ||
| Cohen-Rosenblum et al. [42] | Dabholkar et al. [43] | ||
| Dabholkar et al. [44] | Davis et al. [45] | ||
| Davis et al. [46] | Dhimitri et al. [47] | ||
| Diaconita et al. [48] | Dianat et al. [14] | ||
| Esposito et al. [49] | Esser et al. [50] | ||
| Filisetti et al. [51] | Forst et al. [52] | ||
| Franasiak et al. [20] | Franasiak et al. [53] | ||
| Giberti et al. [54] | Gofrit et al. [55] | ||
| Goldstein et al. [56] | Grant et al. [57] | ||
| Hansel et al. [58] | Hemal et al. [59] | ||
| Ho et al. [60] | Hyer et al. [61] | ||
| Johnston et al. [62] | Kaya et al. [63] | ||
| Khansa et al. [8] | Kim-Fine et al. [64] | ||
| Kitzmann et al. [65] | Klein et al. [66] | ||
| Knudsen et al. [67] | Lee et al. [68] | ||
| Liang et al. [2] | Liang et al. [69] | ||
| Liberman et al. [25] | Mal and Costello, [70] | ||
| Matern and Koneczny [71] | Mavrovounis et al. [72] | ||
| Mehrifar et al. [73] | Miller et al. [74] | ||
| Mirbod et al. [75] | Morandeira-Rivas et al. [76] | ||
| O’Sullivan et al. [77] | Plerhoples et al. [7] | ||
| Quinn and Moohan [78] | Rambabu and Suneetha [79] | ||
| Rata et al. [80] | Riaz et al. [81] | ||
| Ruitenburg et al. [11] | Santos-Carreras et al. [82] | ||
| Sari et al. [83] | Sivak-Callcott et al. [84] | ||
| Stomberg et al. [85] | Szeto et al. [1] | ||
| Tan and Kwek [86] | Tjiam et al. [24] | ||
| Trejo et al. [87] | Vaghela et al. [88] | ||
| Vijendren et al. [89] | Voss et al. [90] | ||
| Wauben et al. [23] | Wohlauer et al. [9] | ||
| Wolf et al. [91] | |||
Disclaimer/Publisher’s Note: The statements, opinions and data contained in all publications are solely those of the individual author(s) and contributor(s) and not of MDPI and/or the editor(s). MDPI and/or the editor(s) disclaim responsibility for any injury to people or property resulting from any ideas, methods, instructions or products referred to in the content. |
© 2023 by the authors. Licensee MDPI, Basel, Switzerland. This article is an open access article distributed under the terms and conditions of the Creative Commons Attribution (CC BY) license (https://creativecommons.org/licenses/by/4.0/).
Share and Cite
Gorce, P.; Jacquier-Bret, J. Effect of Assisted Surgery on Work-Related Musculoskeletal Disorder Prevalence by Body Area among Surgeons: Systematic Review and Meta-Analysis. Int. J. Environ. Res. Public Health 2023, 20, 6419. https://doi.org/10.3390/ijerph20146419
Gorce P, Jacquier-Bret J. Effect of Assisted Surgery on Work-Related Musculoskeletal Disorder Prevalence by Body Area among Surgeons: Systematic Review and Meta-Analysis. International Journal of Environmental Research and Public Health. 2023; 20(14):6419. https://doi.org/10.3390/ijerph20146419
Chicago/Turabian StyleGorce, Philippe, and Julien Jacquier-Bret. 2023. "Effect of Assisted Surgery on Work-Related Musculoskeletal Disorder Prevalence by Body Area among Surgeons: Systematic Review and Meta-Analysis" International Journal of Environmental Research and Public Health 20, no. 14: 6419. https://doi.org/10.3390/ijerph20146419
APA StyleGorce, P., & Jacquier-Bret, J. (2023). Effect of Assisted Surgery on Work-Related Musculoskeletal Disorder Prevalence by Body Area among Surgeons: Systematic Review and Meta-Analysis. International Journal of Environmental Research and Public Health, 20(14), 6419. https://doi.org/10.3390/ijerph20146419

