Identification of Potential Harmful Transformation Products of Selected Micropollutants in Outdoor and Indoor Swimming Pool Water
Abstract
:1. Introduction
2. Materials and Methods
2.1. Tested Samples
2.2. Chlorination and Ozonation Processes
2.3. Photodecomposition Processes
2.4. Compound Analytical Procedure
2.5. Evaluation of Research Results
3. Results
3.1. Decomposition of Compounds during the Process of Chlorination and Ozonation
3.2. Photodecomposition of Compounds in Outdoor and Indoor Conditions
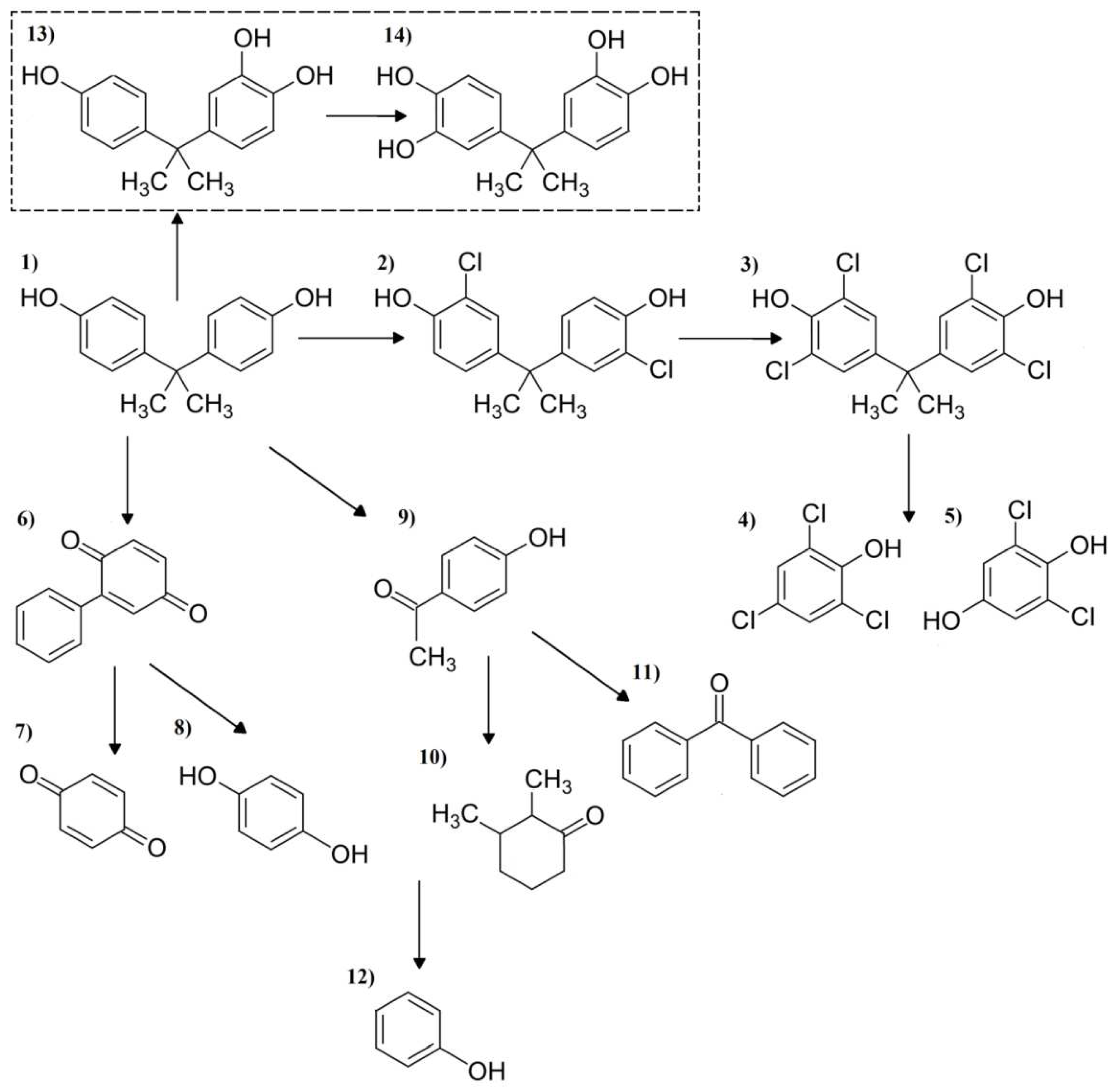
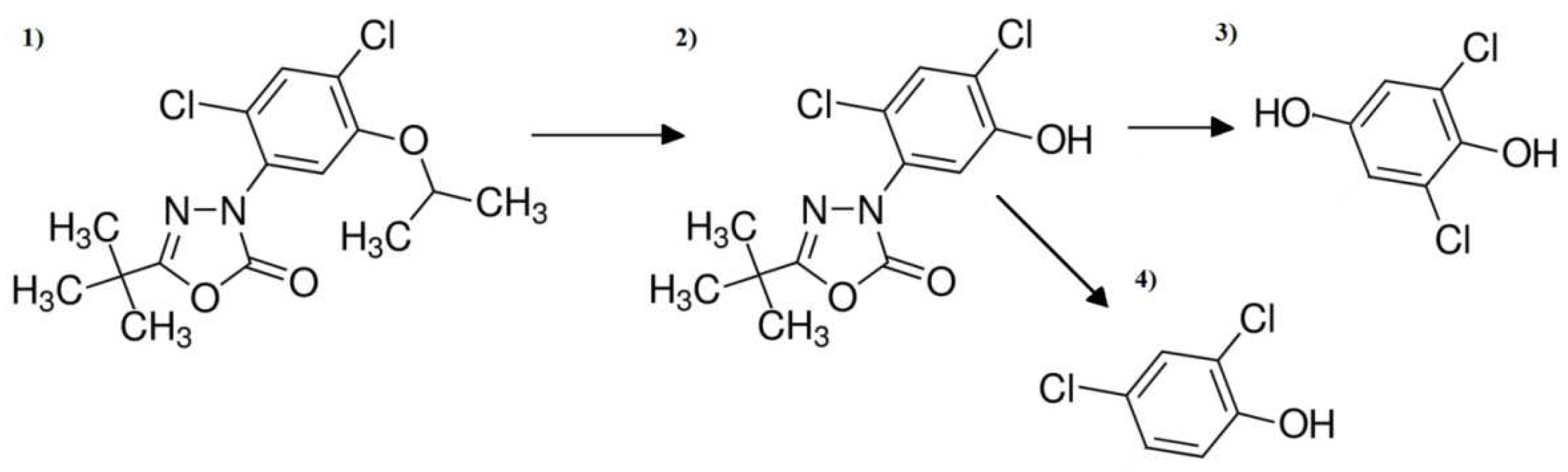
3.3. Identification of the Decomposition Intermediates
4. Discussion of Results
5. Conclusions
Author Contributions
Funding
Institutional Review Board Statement
Informed Consent Statement
Data Availability Statement
Conflicts of Interest
References
- Teo, T.L.; Coleman, H.M.; Khan, S.J. Occurrence and daily variability of pharmaceuticals and personal care products in swimming pools. Environ. Sci. Pollut. Res. Int. 2016, 23, 6972–6981. [Google Scholar] [CrossRef] [PubMed]
- Lempart, A.; Kudlek, E.; Lempart, M.; Dudziak, M. The Presence of Compounds from the Personal Care Products Group in Swimming Pool Water. J. Ecol. Eng. 2018, 19, 29–37. [Google Scholar] [CrossRef]
- Lempart, A.; Kudlek, E.; Dudziak, M. Concentration levels of selected pharmaceuticals in swimming pool water. Des. Water Treat 2018, 117, 353–361. [Google Scholar] [CrossRef]
- Suppes, L.M.; Huang, C.H.; Lee, W.N.; Brockman, K.J. Sources of pharmaceuticals and personal care products in swimming pools. J Water Health. 2017, 15, 829–833. [Google Scholar] [CrossRef] [PubMed]
- Kudlek, E. Decomposition of contaminants of emerging concern in advanced oxidation processes. Water 2018, 10, 955. [Google Scholar] [CrossRef] [Green Version]
- Ngwenya, N.; Ncube, E.J.; Parsons, J. Recent advances in drinking water disinfection: Successes and challenges. Rev. Environ. Contam. Toxicol. 2013, 222, 111–170. [Google Scholar]
- Wyczarska-Kokot, J.; Lempart-Rapacewicz, A.; Dudziak, M. Analysis of free and combined chlorine concentrations in swimming pool water and an attempt to determine a reliable water sampling point. Water 2020, 12, 311. [Google Scholar] [CrossRef] [Green Version]
- van Veldhoven, K.; Keski-Rahkonen, P.; Barupal, D.K.; Villanueva, C.M.; Font-Ribera, L.; Scalbert, A.; Bodinier, B.; Grimalt, J.O.; Zwiener, C.; Vlaanderen, J.; et al. Effects of exposure to water disinfection by-products in a swimming pool: A metabolome-wide association study. Environ. Int. 2018, 111, 60–70. [Google Scholar] [CrossRef] [Green Version]
- Richardson, S.D.; DeMarini, D.M.; Kogevinas, M.; Fernandez, P.; Marco, E.; Lourencetti, C.; Ballesté, C.; Heederik, D.; Meliefste, K.; McKague, A.B.; et al. What’s in the pool? A comprehensive identification of disinfection by-products and assessment of mutagenicity of chlorinated and brominated swimming pool water. Environ. Health Perspect. 2010, 118, 1523–1530. [Google Scholar] [CrossRef] [Green Version]
- Chowdhury, S.; Alhooshani, K.; Karanfil, T. Disinfection byproducts in swimming pool: Occurrences, implications and future needs. Water Res. 2014, 53, 68–109. [Google Scholar] [CrossRef]
- Wyczarska-Kokot, J.; Lempart-Rapacewicz, A.; Dudziak, M. Chlorine contamination in different points of pool-Risk analysis for bathers’ health. Ecol. Chem. Eng. A 2017, 24, 217–226. [Google Scholar]
- Manasfi, T.; De Méo, M.; Coulomb, B.; Di Giorgio, C.; Boudenne, J.L. Identification of disinfection by-products in freshwater and seawater swimming pools and evaluation of genotoxicity. Environ. Int. 2016, 88, 94–102. [Google Scholar] [CrossRef] [PubMed]
- Lempart, A.; Kudlek, E.; Dudziak, M. The occurence of micropollutants from PPCPs macrogroup in swimming pool water. Proc. ECOpole. 2018, 12, 169–176. [Google Scholar]
- Kim, M.-K.; Zoh, K.D. Occurrence and removals of micropollutants in water environment. Environ. Eng. Res. 2016, 21, 319–332. [Google Scholar] [CrossRef] [Green Version]
- Gibs, J.; Stackelberg, P.E.; Furlong, E.T.; Meyer, M.; Zaugg, S.D.; Lippincott, R.L. Persistence of pharmaceuticals and other organic compounds in chlorinated drinking water as a function of time. Sci. Total Environ. 2007, 373, 240–249. [Google Scholar] [CrossRef] [PubMed]
- Nam, S.W.; Jo, B.I.; Yoon, Y.; Zoh, K.D. Occurrence and removal of selected micropollutants in a water treatment plant. Chemosphere 2014, 95, 156–165. [Google Scholar] [CrossRef] [PubMed]
- World Health Organization. IARC Monographs on the Evaluation of Carcinogenic Risks to Humans; Some Drinking-Water Disinfectants and Contaminants, Including Arsenic; IARC Press: Lyon, France, 2004; Volume 84. [Google Scholar]
- Lempart, A.; Kudlek, E.; Dudziak, M. Nanofiltration treatment of swimming pool water in the aspect of the phenolic micropollutants elimination. Des. Water Treat. 2018, 128, 306–313. [Google Scholar]
- Lempart, A.; Kudlek, E.; Dudziak, M. The potential of the organic micropollutants emission from swimming accessories into pool water. Environ. Int. 2020, 136, 105442. [Google Scholar]
- Meffe, R.; de Bustamante, I. Emerging organic contaminants in surface water and groundwater: A first overview of the situation in Italy. Sci. Total Environ. 2014, 481, 280–295. [Google Scholar] [CrossRef]
- Ekowati, Y.; Buttiglieri, G.; Ferrero, G.; Valle-Sistac, J.; Diaz-Cruz, M.S.; Barceló, D.; Petrovic, M.; Villagrasa, M.; Kennedy, M.D.; Rodríguez-Roda, I. Occurrence of pharmaceuticals and UV filters in swimming pools and spas. Environ. Sci. Pollut. Res. Int. 2016, 23, 14431–14441. [Google Scholar] [CrossRef]
- Lempart, A.; Kudlek, E.; Dudziak, M. Determination of Micropollutants in Water Samples from Swimming Pool Systems. Water 2018, 10, 1083. [Google Scholar] [CrossRef] [Green Version]
- Wyczarska-Kokot, J.; Lempart-Rapacewicz, A.; Dudziak, M.; Łaskawiec, E. Impact of swimming pool water treatment system factors on the content of selected disinfection by-products. Environ. Monit. Assess. 2020, 192, 722. [Google Scholar] [CrossRef] [PubMed]
- Soufan, M.; Deborde, M.; Delmont, A.; Legube, B. Aqueous chlorination of carbamazepine: Kinetic study and transformation product identification. Water Res. 2013, 47, 5076–5087. [Google Scholar] [CrossRef] [PubMed]
- Weng, S.C.; Sun, P.; Ben, W.; Huang, C.H.; Lee, L.T.; Blatchely, E.R. The Presence of Pharmaceuticals and Personal Care Products in Swimming Pools. Environ. Sci. Technol. Lett. 2014, 12, 495–498. [Google Scholar] [CrossRef]
- Feng, Y.; Smith, D.W.; Bolton, J.R. Photolysis of aqueous free chlorine species (HOCl and OCl–) with 254 nm ultraviolet light. J. Environ. Eng. Sci. 2007, 6, 277–284. [Google Scholar] [CrossRef] [Green Version]
- Deng, J.; Shao, Y.; Gao, N.; Xia, S.; Tan, C.; Zhou, S.; Hu, X. Degradation of the antiepileptic drug carbamazepine upon different UV-based advanced oxidation processes in water. Chem. Eng. J. 2013, 222, 150–158. [Google Scholar] [CrossRef]
- Watts, M.J.; Linden, K.G. Chlorine photolysis and subsequent OH radical production during UV treatment of chlorinated water. Water Res. 2007, 41, 2871–2878. [Google Scholar] [CrossRef]
- Wang, D.; Bolton, J.R.; & Hofmann, R. Medium pressure UV combined with chlorine advanced oxidation for trichloroethylene destruction in a model water. Water Res. 2012, 46, 4677–4686. [Google Scholar] [CrossRef]
- Nowell, L.H.; Hoigné, J. Photolysis of aqueous chlorine at sunlight and ultraviolet wavelengths—II. Hydroxyl radical production. Water Res. 1992, 26, 599–605. [Google Scholar] [CrossRef]
- Zhu, B.; Zonja, B.; Gonzalez, O.; Sans, C.; Pérez, S.; Barceló, D.; Esplugas, S.; Xu, K.; Zhimin, Q. Degradation kinetics and pathways of three calcium channel blockers under UV irradiation. Water Res. 2015, 86, 9–16. [Google Scholar] [CrossRef]
- Cristale, J.; Dantas, R.D.; De Luca, A.; Sans, C.; Esplugas, S.; Lacorte, S. Role of oxygen and DOM in sunlight induced photodegradation of organophosphorous flame retardants in river water. J Hazard Mater. 2017, 323, 242–249. [Google Scholar] [CrossRef] [PubMed]
- Fang, J.; Fu, Y.; Shang, C. The Roles of Reactive Species in Micropollutant Degradation in the UV/Free Chlorine System. Environ. Sci. Technol. 2014, 48, 1859–1868. [Google Scholar] [CrossRef] [PubMed]
- Zarrelli, A.; DellaGreca, M.; Iesce, M.R.; Lavorgna, M.; Temussi, F.; Schiavone, L.; Criscuolo, E.; Parrella, A.; Previtera, L.; Isidori, M. Ecotoxicological evaluation of caffeine and its derivatives from a simulated chlorination step. Sci. Total Environ. 2014, 470–471, 453–458. [Google Scholar] [CrossRef] [PubMed] [Green Version]
- Tandarić, T.; Vrček, V.; Šakić, D. A quantum chemical study of HOCl-induced transformations of carbamazepine. Org. Biomol. Chem. 2016, 14, 10866–10874. [Google Scholar] [CrossRef] [PubMed] [Green Version]
- Sharma, J.; Mishra, I.M.; Kumar, V. Mechanistic study of photo-oxidation of Bisphenol-A (BPA) with hydrogen peroxide (H2O2) and sodium persulfate (SPS). J. Environ. Manag. 2016, 166, 12–22. [Google Scholar] [CrossRef] [PubMed]
- Elsby, R.; Maggs, J.L.; Ashby, J.; Park, B.K. Comparison of the Modulatory Effects of Human and Rat Liver Microsomal Metabolism on the Estrogenicity of Bisphenol A: Implications for Extrapolation to Humans. J. Pharmacol. Exp. Ther. 2001, 297, 103–113. [Google Scholar]
- Deborde, M.; Rabouan, S.; Mazellier, P.; Duguet, J.-P.; Legube, B. Oxidation of bisphenol A by ozone in aqueous solution. Water Res. 2008, 42, 4299–4308. [Google Scholar] [CrossRef]
- Mutseyekwa, M.E.; Doğan, Ş.; Pirgalıoğlu, S. Ozonation for the removal of bisphenol A. Water Sci. Technol. 2017, 76, 2764–2775. [Google Scholar] [CrossRef]
- Yamamoto, T.; Yasuhara, A. Chlorination of bisphenol A in aqueous media: Formation of chlorinated bisphenol A congeners and degradation to chlorinated phenolic compounds. Chemosphere 2002, 46, 1215–1223. [Google Scholar] [CrossRef]
- Kusvuran, E.; Yildirim, D. Degradation of bisphenol A by ozonation and determination of degradation intermediates by gas chromatography–mass spectrometry and liquid chromatography–mass spectrometry. Chem. Eng. J. 2013, 220, 6–14. [Google Scholar] [CrossRef]
- Zhao, Y.; Yao, R.; Meng, Y.; Li, J.; Jiang, Y.; Chen, L. The degradation of oxadiazon by non-thermal plasma with a dielectric barrier configuration. Plasma. Sci. Technol. 2017, 19, 034001. [Google Scholar] [CrossRef] [Green Version]












| Parameter | Unit | Value |
|---|---|---|
| pH | - | 7.2 |
| Conductivity | µS∙cm−1 | 972.6 |
| Temperature | °C | 28 |
| TOC * | mg·L−1 | 3.23 |
| IC ** | mg·L−1 | 1.10 |
| TC *** | mg·L−1 | 4.33 |
| Free chlorine | mg·L−1 | 0.5 |
| Combined chlorine | mg·L−1 | 0.1 |
| Total chlorine | mg·L−1 | 0.6 |
| Turbidity | NTU | 0.1 |
| Compound | Processes | |||||||||
|---|---|---|---|---|---|---|---|---|---|---|
| Cl2 * | O3 | NL | AL | NL/Cl2 | AL/Cl2 | NL/Cl2/UV | AL/Cl2/UV | NL/Cl2/O3 | AL/Cl2/O3 | |
| CAF by-products | ||||||||||
| 8-Methoxycaffeine | - | - | + | + | + | + | - | + | - | + |
| 8-Chlorocaffeine | + | - | - | - | + | + | - | + | - | + |
| 8-Hydroxymethylcaffeine | - | - | + | + | + | + | - | + | - | + |
| CBZ by-products | ||||||||||
| 3-Hydroxycarbamazepine | + | + | + | + | + | + | + | + | + | + |
| 10,11-Dihydro-10-hydroxycarbamazepine | + | - | + | + | + | + | + | + | + | + |
| Dihydrocarbamazepine-10,11-trans-diol | + | - | + | - | + | + | + | + | + | + |
| Carbamazepine-10,11-epoxide | + | + | + | - | + | + | + | + | - | + |
| Iminostilbene | + | - | + | - | + | - | + | + | - | + |
| 3-Chloro-5H-dibenz[b,f]azepine | + | - | - | - | + | + | + | + | + | + |
| 3,7-dichloro-5h-dibenz[b,f]azepine | + | - | - | - | + | + | + | + | + | + |
| 9-Acridone | - | - | + | - | + | - | + | - | - | - |
| Acridine | - | - | + | - | + | - | + | - | + | + |
| BPA by-products | ||||||||||
| 3,3′-Dichlorobisphenol A | + | - | - | - | + | + | + | + | - | + |
| Tetrachlorobisphenol A | + | - | - | - | + | + | + | + | - | + |
| 2,4,6-Trichlorophenol | + | - | - | - | + | + | + | + | + | + |
| 2,6-Dichlorohydroquinone, | + | - | - | - | + | + | + | + | + | + |
| 2-Phenylbenzoquinone | + | + | + | - | + | + | + | + | + | + |
| Benzoquinone | - | + | + | - | + | + | + | + | + | + |
| Hydroquinone | - | + | + | + | + | - | + | + | + | + |
| p-Hydroxyacetophenone | - | + | + | + | + | + | + | + | + | + |
| 2,3-Dimethylcyclohexanon | - | + | + | + | + | + | + | + | + | + |
| Benzophenone | - | + | + | - | + | + | + | + | ||
| Phenol | + | + | + | + | + | + | + | + | + | + |
| 5-Hydroxybisphenol | - | + | + | + | + | - | - | + | - | + |
| 5,5′-Dihydroxybisphenol | - | + | + | - | + | - | - | + | - | + |
| ODZ by-products | ||||||||||
| 9-tert-Butyl-3-(2,4-dichloro-5-hydroxyphenyl)-1,3,4-oxadiazol-2(3H)-one | - | + | + | + | + | + | + | + | - | + |
| 2,6-Dichlorohydroquinone | + | + | + | - | + | + | + | + | - | + |
| 2,4-Dichloropheno | - | + | + | - | - | - | - | - | - | + |
Publisher’s Note: MDPI stays neutral with regard to jurisdictional claims in published maps and institutional affiliations. |
© 2022 by the authors. Licensee MDPI, Basel, Switzerland. This article is an open access article distributed under the terms and conditions of the Creative Commons Attribution (CC BY) license (https://creativecommons.org/licenses/by/4.0/).
Share and Cite
Kudlek, E.; Lempart-Rapacewicz, A.; Dudziak, M. Identification of Potential Harmful Transformation Products of Selected Micropollutants in Outdoor and Indoor Swimming Pool Water. Int. J. Environ. Res. Public Health 2022, 19, 5660. https://doi.org/10.3390/ijerph19095660
Kudlek E, Lempart-Rapacewicz A, Dudziak M. Identification of Potential Harmful Transformation Products of Selected Micropollutants in Outdoor and Indoor Swimming Pool Water. International Journal of Environmental Research and Public Health. 2022; 19(9):5660. https://doi.org/10.3390/ijerph19095660
Chicago/Turabian StyleKudlek, Edyta, Anna Lempart-Rapacewicz, and Mariusz Dudziak. 2022. "Identification of Potential Harmful Transformation Products of Selected Micropollutants in Outdoor and Indoor Swimming Pool Water" International Journal of Environmental Research and Public Health 19, no. 9: 5660. https://doi.org/10.3390/ijerph19095660
APA StyleKudlek, E., Lempart-Rapacewicz, A., & Dudziak, M. (2022). Identification of Potential Harmful Transformation Products of Selected Micropollutants in Outdoor and Indoor Swimming Pool Water. International Journal of Environmental Research and Public Health, 19(9), 5660. https://doi.org/10.3390/ijerph19095660

