A New Nonlinear Photothermal Iterative Theory for Port-Wine Stain Detection
Abstract
1. Introduction
2. Theoretical Analysis
2.1. Theoretical Model
2.2. Nonlinear Thermal Diffusion Equation
2.3. Iterative Numerical Method for Solving the Nonlinear Heat Diffusion Equation
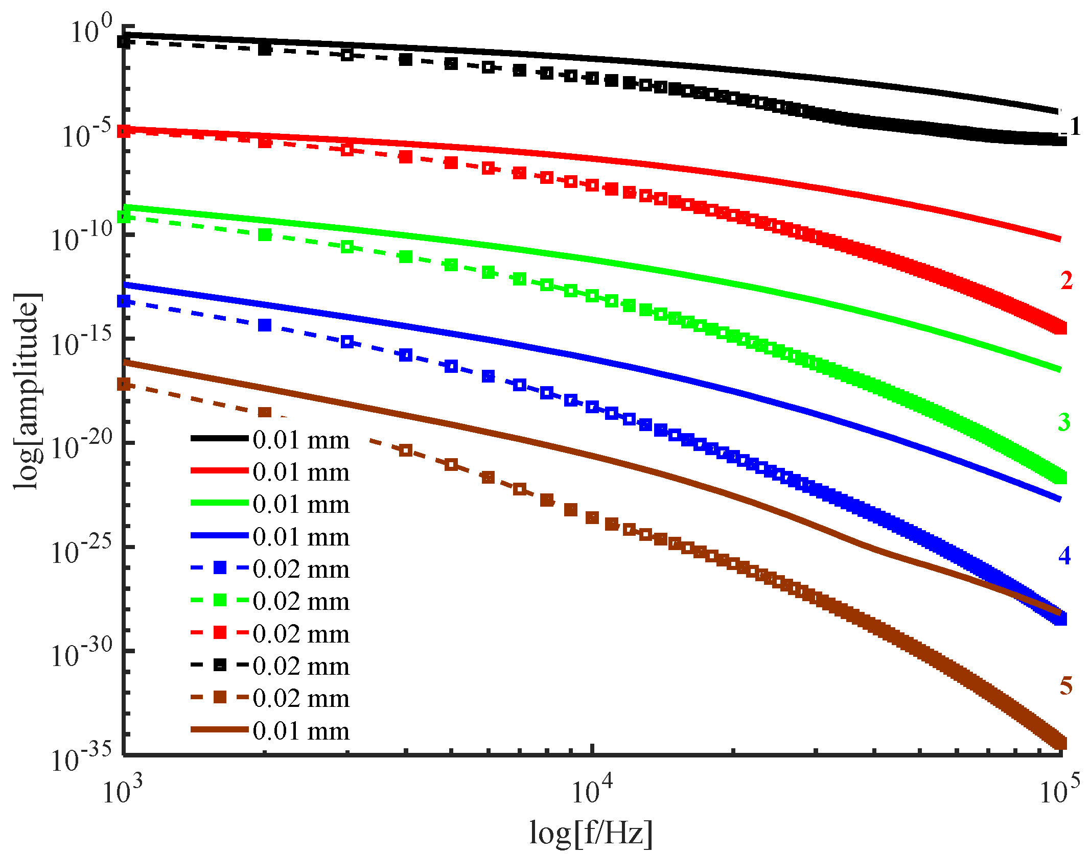
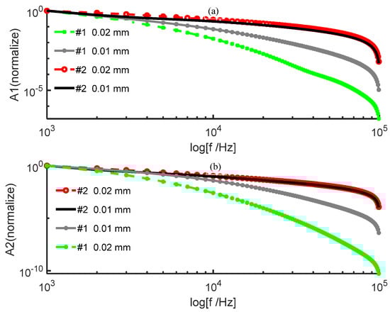
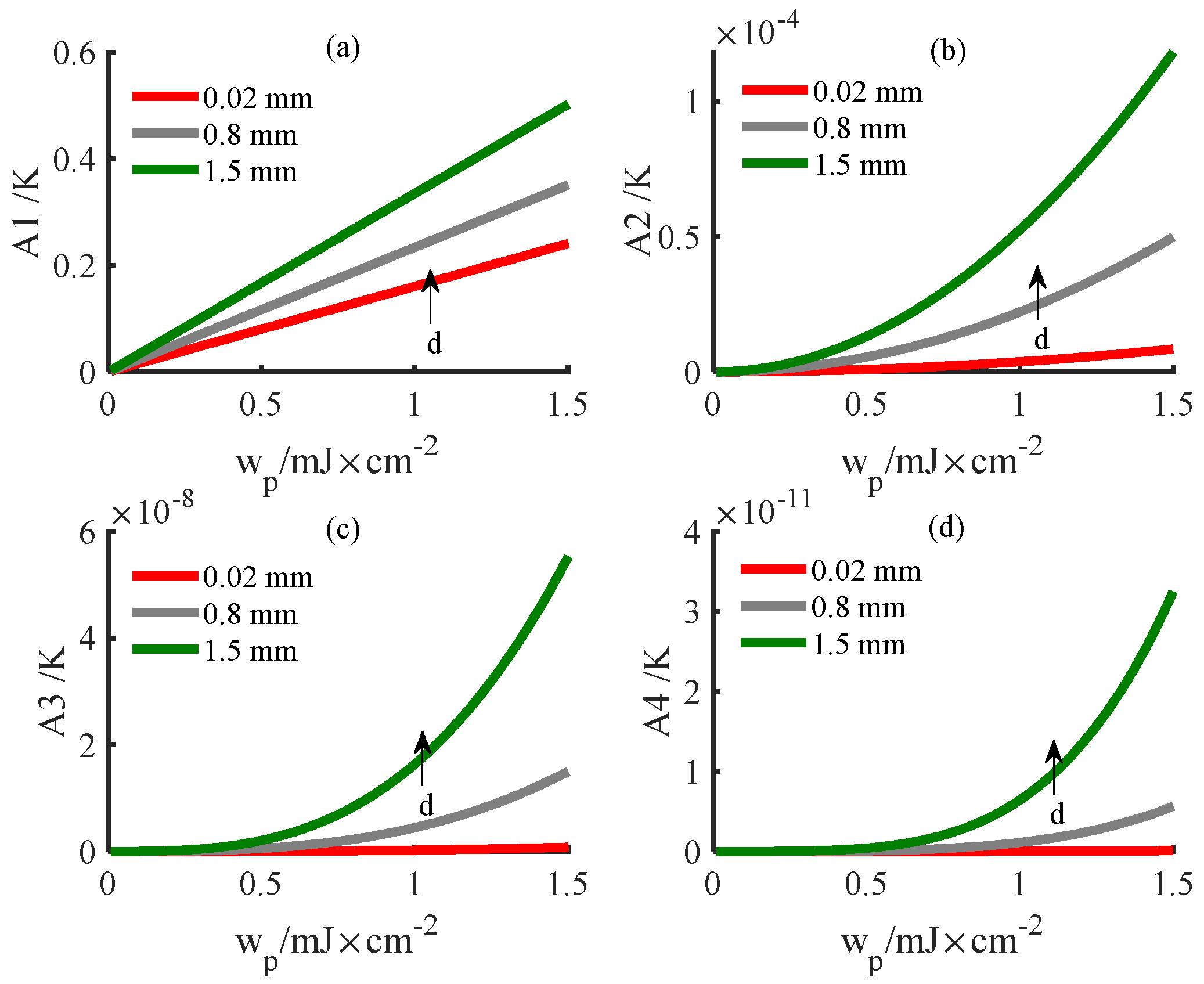
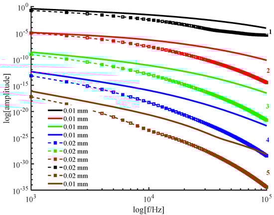
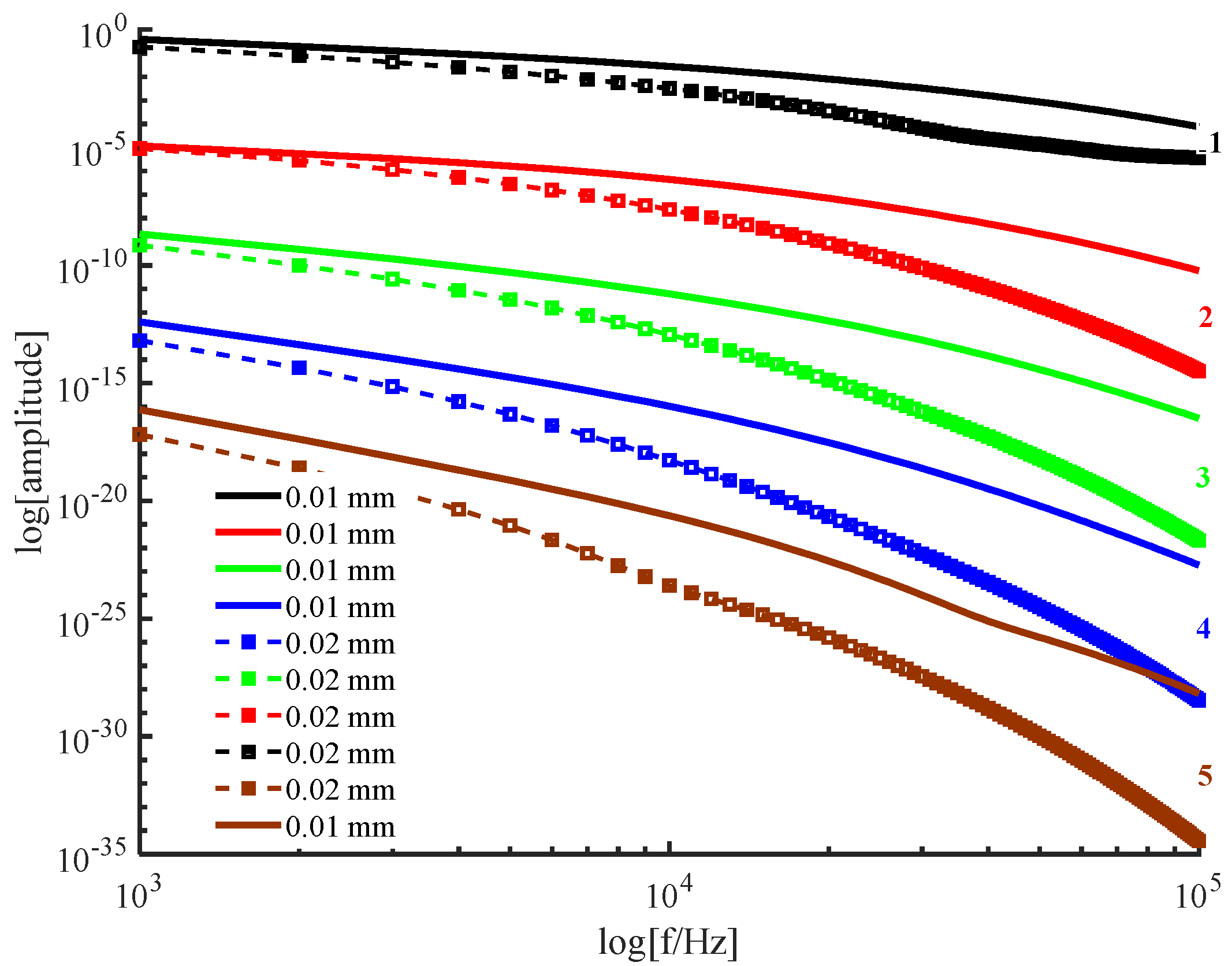
3. Numerical Results and Discussion
4. Conclusions
- (1)
- The rates of change with frequency, thickness, and optical energy intensity are larger for higher−order harmonics than lower-order harmonics; higher−order harmonics are more sensitive to sample detection than lower-order harmonics.
- (2)
- For the same parameter values, the proposed new numerical iterative method has greater sensitivity and a wider frequency band than the perturbation method. Furthermore, the calculation time of our proposed method will not drastically increase when additional high−order harmonics are included.
Author Contributions
Funding
Institutional Review Board Statement
Informed Consent Statement
Data Availability Statement
Acknowledgments
Conflicts of Interest
References
- Raath, M.; Chohan, S.; Wolkerstorfer, A.; van der Horst, C.M.A.M.; Heger, M. Port wine stain treatment outcomes have not improved over the past three decades. J. Eur. Acad. Dermatol. 2019, 33, 1369–1377. [Google Scholar] [CrossRef] [PubMed]
- Raath, M.; Amesfoort, J.; Hermann, M.; Ince, Y.; Heger, M. Site-specific pharmaco-laser therapy: A novel treatment modality for refractory port wine stains. J. Clin. Transl. Res. 2019, 5, 1–24. [Google Scholar] [PubMed]
- Lee, J.W.; Chung, H.Y.; Cerrati, E.W.; Teresa, M.O.; Waner, M. The natural history of soft tissue hypertrophy, bony hypertrophy, and nodule formation in patients with untreated head and neck capillary malformations. Dermatol. Surg. 2015, 41, 1241–1245. [Google Scholar] [CrossRef] [PubMed]
- Jiang, F.; Shao, J.; Chen, L.; Yang, N.; Li, Z. Influence of port-wine stains on quality of life of children and their parents. Acta. Derm.-Venereol. 2021, 101, adv00516. [Google Scholar] [CrossRef]
- Hagen, S.L.; Grey, K.R.; Korta, D.Z.; Kelly, K.M. Quality of life in adults with facial port-wine stains. J. Am. Acad. 2016, 76, 695–702. [Google Scholar] [CrossRef]
- Han, Y.; Ying, H.; Zhang, X.J. Retrospective study of photodynamic therapy for pulsed dye laser-resistant port-wine stains: PDT for PDL-resistant port-wine stains. J. Dermatol. 2020, 47, 348–355. [Google Scholar] [CrossRef]
- Li, D.C.; Nong, X.; Hu, Z.Y.; Fang, T.W.; Ye, L.I. Efficacy and related factors analysis in hmme-pdt in the treatment of port wine stains. Photodiagn. Photodyn. 2020, 29, 101649–101668. [Google Scholar] [CrossRef]
- Alexander, H.; Miller, D.L. Determining skin thickness with pulsed ultra sound. J. Investig. Dermatol. 1979, 72, 17–19. [Google Scholar] [CrossRef]
- John, P.R. Klippel-Trenaunay Syndrome. J. Vasc. Interv. Radiol. 2019, 22, 100634. [Google Scholar] [CrossRef]
- Eriksson, S.; Nilsson, J.; Lindell, G.; Sturesson, C. Laser speckle contrast imaging for intraoperative assessment of liver microcirculation: A clinical pilot study. Med. Devies.-Evid. Res. 2014, 7, 257–261. [Google Scholar] [CrossRef]
- Cheng, Q.; Qian, M.L.; Wang, X.L.; Zhang, H.N.; Wang, P.R. LED-Based Photoacoustic Imaging. Diagnosis and Treatment Monitoring of Port-Wine Stain Using LED-Based Photoacoustics: Theoretical Aspects and First In-Human Clinical Pilot Study; Mithun, K.A.S., Ed.; Springer: Singapore, 2020; Volume 7, pp. 351–377. [Google Scholar]
- Goh, J.H.L.; Tan, T.L.; Aziz, S.; Rizuana, I.H. Comparative Study of Digital Breast Tomosynthesis (DBT) with and without Ultrasound versus Breast Magnetic Resonance Imaging (MRI) in Detecting Breast Lesion. Int. J. Environ. Res. Public Health 2022, 19, 759. [Google Scholar] [CrossRef] [PubMed]
- Valera-Calero, J.A.; Fernández-de-Las-Peñas, C.; Varol, U.; Ortega-Santiago, R.; Gallego-Sendarrubias, G.M.; Arias-Buría, J.L. Ultrasound Imaging as a Visual Biofeedback Tool in Rehabilitation: An Updated Systematic Review. Int. J. Environ. Res. Public Health 2021, 18, 7554. [Google Scholar] [CrossRef] [PubMed]
- Hazer, A.; Yildirim, R. A review of single and multiple optical image encryption techniques. J. Opt. 2021, 23, 113501. [Google Scholar] [CrossRef]
- Khokhlova, T.D.; Pelivanov, I.M.; Karabutov, A.A. Methods of optoacoustic diagnostics of biological tissues. Acoust. Phys. 2009, 55, 672–683. [Google Scholar] [CrossRef]
- Estrada, H.; Sobol, E.; Baum, O.; Razansky, D. Hybrid optoacoustic and ultrasound biomicroscopy monitors’ laser-induced tissue modifications and magnetite nanoparticle impregnation. Laser Phys. Lett. 2014, 11, 125601. [Google Scholar] [CrossRef][Green Version]
- Craig, D.W.; Diebold, G.; Calasso, I.G. Photoacoustic point source. Phys. Rev. Lett. 2001, 86, 3550–3553. [Google Scholar]
- Inkov, V.N.; Karabutov, A.A.; Pelivanov, I.M. A theoretical model of the linear thermo-optical response of an absorbing particle immersed in a liquid. Laser Phys. 2001, 11, 1283–1291. [Google Scholar]
- Baum, O.; Wachsmann-Hogiu, S.; Milner, T.; Sobol, E. Laser-assisted formation of micropores and nanobubbles in sclera promote stable normalization of intraocular pressure. Laser Phys. Lett. 2017, 14, 065601. [Google Scholar] [CrossRef]
- Danielli, A.; Maslov, K.; Favazza, C.P.; Xia, J.; Wang, L.V. Nonlinear photoacoustic spectroscopy of hemoglobin. Appl. Phys. Lett. 2015, 106, 203701. [Google Scholar] [CrossRef]
- Gao, R.K.; Xu, Z.Q.; Ren, Y.G.; Song, L. Nonlinear mechanisms in photoacoustics—Powerful tools in photoacoustic imaging. J. Am. Acad. Dermatol. 2012, 67, 100243. [Google Scholar] [CrossRef]
- Ms Ma, A.B.; Klb, C.; Mhab, C.; Eb, D.; Eai, E. Electromagnetic hall current effect and fractional heat order for microtemperature photo-excited semiconductor medium with laser pulses. Results Phys. 2020, 17, 103161. [Google Scholar]
- Lotfy, K.H.; Hassan, W.; El-Bary, A.A.; Mona, A.K. Response of electromagnetic and thomson effect of semiconductor medium due to laser pulses and thermal memories during photothermal excitation. Results Phys. 2020, 16, 102877. [Google Scholar] [CrossRef]
- Jennifer, K.C.; Pedram, G.; Guillermo, A.; Anne, M.V.D.; Albert, W.; Kristen, M.K.; Michal, H. An overview of clinical and experimental treatment modalities for port wine stains. J. Am. Acad. Dermatol. 2012, 67, 289–304. [Google Scholar]
- Bashkatov, A.N.; Genina, E.A.; Tuchin, V.V. Optical properties of skin, subcutaneous, and muscle tissues: A review. J. Innov. Opt. Health Sci. 2011, 4, 9–38. [Google Scholar] [CrossRef]
- Wang, S.; Zhao, J.; Lui, H.; He, Q.; Zeng, H. Monte carlo simulation of near infrared autofluorescence measurements of in vivo skin. J. Photochem. Photobiol. B 2011, 105, 183–189. [Google Scholar] [CrossRef]
- Iorizzo, T.W.; Jermain, P.R.; Salomatina, E.; Muzikansky, A.; Yaroslavsky, A.N. Temperature induced changes in the optical properties of skin in vivo. Sci. Rep. 2021, 11, 754–762. [Google Scholar] [CrossRef]
- Wang, Q.H.; Li, P.Z. Study on the characteristics of second harmonic in PTR. Acta. Phys. Sin.-Ch. Ed. 1993, 13, 878–882. (In Chinese) [Google Scholar]
- Wang, Q.H.; Li, P.Z. Nonlinear theory and experiment of photothermal radiometry. J. Infrared Millim. Waves 1993, 12, 281–286. (In Chinese) [Google Scholar]
- Yan, C.C.; Liu, C.; Yang, C.Y.; Xue, G.G. Research on the 3-D and 1-D theories of photothermal radiometry. Appl. Laser 2004, 24, 399–401. (In Chinese) [Google Scholar]
- Du, G.H. Nonlinear theory of photoacoustic effect of restricted beam. Acta. Phys. Sin. 1988, 37, 769–775. (In Chinese) [Google Scholar]
- Gusev, V.E.; Karabutov, A.A. Laser Optoacoustics; American Institute of Physics: New York, NY, USA, 1993; pp. 135–172. [Google Scholar]
- Zhang, X.H. Signals and Systems, 2nd ed.; Xidian University Press: Xi’an, China, 2008; pp. 81–102. (In Chinese) [Google Scholar]








| Layers | d (mm) | β (mm−1) | σ (mm−1) | g | ρ (g/cm−3) | C (J/(g. K)) | K0 (mW/(cm. K)) |
|---|---|---|---|---|---|---|---|
| Stratum corneum | 0.01 | 0.00091 | 18.95 | 0.8 | 1.2 | 3.59 | 2.4 |
| Living epidermis | 0.08 | 0.13 | 18.95 | 0.8 | 1.2 | 3.59 | 2.4 |
| Papillary dermis | 0.10 | 0.105 | 11.65 | 0.8 | 1.09 | 3.35 | 4.2 |
| Upper blood plexus | 0.08 | 0.15875 | 15.485 | 0.818 | 1.09 | 3.35 | 4.2 |
| Reticular dermis | 1.50 | 0.105 | 11.65 | 0.8 | 1.09 | 3.35 | 4.2 |
| Deep blood plexus | 0.07 | 0.4443 | 46.165 | 0.962 | 1.09 | 3.35 | 4.2 |
| Dermis | 0.16 | 0.105 | 11.65 | 0.8 | 1.09 | 3.35 | 4.2 |
| Hypodermis | 3.00 | 0.009 | 11.44 | 0.9 | 1.21 | 2.24 | 1.97 |
| Muscle tissues | 3.00 | 0.029 | 7.13 | 0.9 | 1.075 | 3.5 | 4.5 |
| PWS | 0.001~1.5 | 0.15875 | 46.7 | 0.99 | 1.0 | 3.6 | 5.3 |
Publisher’s Note: MDPI stays neutral with regard to jurisdictional claims in published maps and institutional affiliations. |
© 2022 by the authors. Licensee MDPI, Basel, Switzerland. This article is an open access article distributed under the terms and conditions of the Creative Commons Attribution (CC BY) license (https://creativecommons.org/licenses/by/4.0/).
Share and Cite
Cao, N.; Liang, H.; Zhang, R.; Li, Y.; Cao, H. A New Nonlinear Photothermal Iterative Theory for Port-Wine Stain Detection. Int. J. Environ. Res. Public Health 2022, 19, 5637. https://doi.org/10.3390/ijerph19095637
Cao N, Liang H, Zhang R, Li Y, Cao H. A New Nonlinear Photothermal Iterative Theory for Port-Wine Stain Detection. International Journal of Environmental Research and Public Health. 2022; 19(9):5637. https://doi.org/10.3390/ijerph19095637
Chicago/Turabian StyleCao, Na, Hongtao Liang, Ruoyu Zhang, Yanhua Li, and Hui Cao. 2022. "A New Nonlinear Photothermal Iterative Theory for Port-Wine Stain Detection" International Journal of Environmental Research and Public Health 19, no. 9: 5637. https://doi.org/10.3390/ijerph19095637
APA StyleCao, N., Liang, H., Zhang, R., Li, Y., & Cao, H. (2022). A New Nonlinear Photothermal Iterative Theory for Port-Wine Stain Detection. International Journal of Environmental Research and Public Health, 19(9), 5637. https://doi.org/10.3390/ijerph19095637
