Turn Performance Variation in European Elite Short-Course Swimmers
Abstract
1. Introduction
2. Materials and Methods
2.1. Subject Characteristics
2.2. Data Collection
2.3. Statistical Analysis
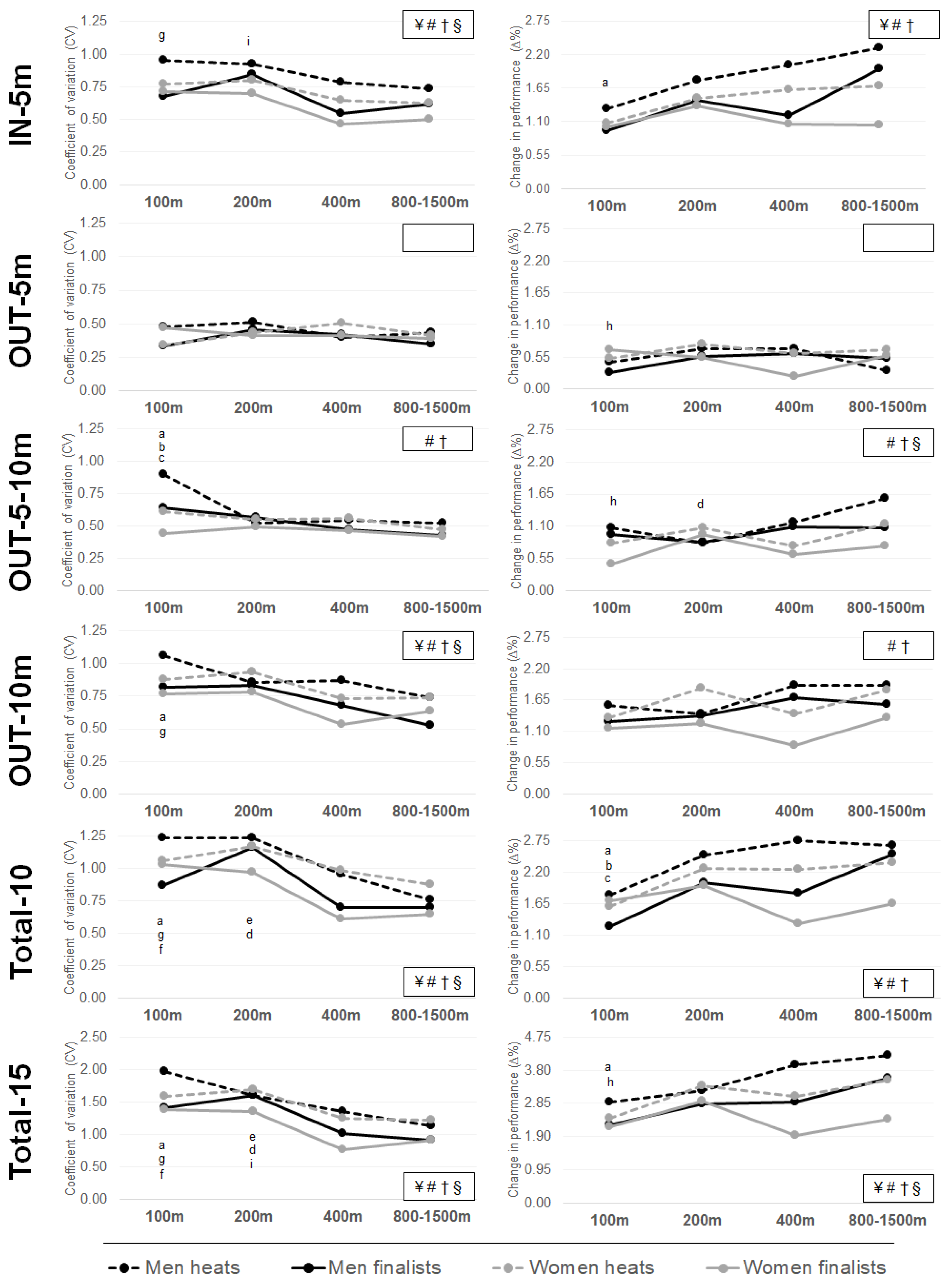
3. Results
4. Discussion
5. Conclusions
Author Contributions
Funding
Institutional Review Board Statement
Informed Consent Statement
Data Availability Statement
Conflicts of Interest
References
- Kjendlie, P.L.; Ingjer, F.; Stallman, R.K.; Stray-Gundersen, J. Factors affecting swimming economy in children and adults. Eur. J. Appl. Physiol. 2004, 93, 65–74. [Google Scholar] [CrossRef] [PubMed]
- Menting, S.G.P.; Elferink-Gemser, M.T.; Huijgen, B.C.; Hettinga, F.J. Pacing in lane-based head-to-head competitions: A systematic review on swimming. J. Sports Sci. 2019, 37, 2287–2299. [Google Scholar] [CrossRef] [PubMed]
- Stoggl, T.; Pellegrini, B.; Holmberg, H.C. Pacing and predictors of performance during cross-country skiing races: A systematic review. J. Sport Health Sci. 2018, 7, 381–393. [Google Scholar] [CrossRef] [PubMed]
- Neuloh, J.E.; Skorski, S.; Mauger, L.; Hecksteden, A.; Meyer, T. Analysis of end-spurt behaviour in elite 800-m and 1500-m freestyle swimming. Eur. J. Sport Sci. 2020, 21, 1628–1636. [Google Scholar] [CrossRef]
- Stewart, A.M.; Hopkins, W.G. Consistency of swimming performance within and between competitions. Med. Sci. Sports Exerc. 2000, 32, 997–1001. [Google Scholar] [CrossRef]
- Cuenca-Fernandez, F.; Ruiz-Navarro, J.J.; Gonzalez-Ponce, A.; Lopez-Belmonte, O.; Gay, A.; Arellano, R. Progression and variation of competitive 100 and 200m performance at the 2021 European Swimming Championships. Sports Biomech. 2021, 1–15. [Google Scholar] [CrossRef]
- López-Belmonte, Ó.; Gay, A.; Ruiz-Navarro, J.J.; Cuenca-Fernández, F.; González-Ponce, Á.; Arellano, R. Pacing profiles, variability and progression in 400, 800 and 1500-m freestyle swimming events at the 2021 European Championship. Int. J. Perform. Anal. Sport 2022, 22, 90–101. [Google Scholar] [CrossRef]
- Skorski, S.; Faude, O.; Abbiss, C.R.; Caviezel, S.; Wengert, N.; Meyer, T. Influence of pacing manipulation on performance of juniors in simulated 400-m swim competition. Int. J. Sports Physiol. Perform. 2014, 9, 817–824. [Google Scholar] [CrossRef]
- Skorski, S.; Faude, O.; Rausch, K.; Meyer, T. Reproducibility of pacing profiles in competitive swimmers. Int. J. Sports Med. 2013, 34, 152–157. [Google Scholar] [CrossRef]
- Gonjo, T.; Olstad, B.H. Race Analysis in Competitive Swimming: A Narrative Review. Int. J. Environ. Res. Public Health 2020, 18, 69. [Google Scholar] [CrossRef]
- Barbosa, T.M.; Barbosa, A.C.; Simbana Escobar, D.; Mullen, G.J.; Cossor, J.M.; Hodierne, R.; Arellano, R.; Mason, B.R. The role of the biomechanics analyst in swimming training and competition analysis. Sports Biomech. 2021, 1–18. [Google Scholar] [CrossRef] [PubMed]
- Thompson, K.G.; MacLaren, D.P.; Lees, A.; Atkinson, G. The effects of changing pace on metabolism and stroke characteristics during high-speed breaststroke swimming. J. Sports Sci. 2004, 22, 149–157. [Google Scholar] [CrossRef] [PubMed]
- Morais, J.E.; Barbosa, T.M.; Forte, P.; Pinto, J.N.; Marinho, D.A. Assessment of the inter-lap stability and relationship between the race time and start, clean swim, turn and finish variables in elite male junior swimmers’ 200 m freestyle. Sports Biomech. 2021, 1–14. [Google Scholar] [CrossRef] [PubMed]
- Morais, J.E.; Barbosa, T.M.; Neiva, H.P.; Marinho, D.A. Stability of pace and turn parameters of elite long-distance swimmers. Hum. Mov. Sci. 2019, 63, 108–119. [Google Scholar] [CrossRef] [PubMed]
- McGibbon, K.E.; Pyne, D.B.; Shephard, M.E.; Thompson, K.G. Pacing in Swimming: A Systematic Review. Sports Med. 2018, 48, 1621–1633. [Google Scholar] [CrossRef] [PubMed]
- Born, D.P.; Kuger, J.; Polach, M.; Romann, M. Start and turn performances of elite male swimmers: Benchmarks and underlying mechanims. Sports Biomech. 2021, 1–21. [Google Scholar] [CrossRef]
- Olstad, B.H.; Wathne, H.; Gonjo, T. Key Factors Related to Short Course 100 m Breaststroke Performance. Int. J. Environ. Res. Public Health 2020, 17, 6257. [Google Scholar] [CrossRef]
- Wolfrum, M.; Knechtle, B.; Rust, C.A.; Rosemann, T.; Lepers, R. The effects of course length on freestyle swimming speed in elite female and male swimmers-A comparison of swimmers at national and international level. SpringerPlus 2013, 2, 643. [Google Scholar] [CrossRef]
- Polach, M.; Thiel, D.; Krenik, J.; Born, D.P. Swimming turn performance: The distinguishing factor in 1500 m world championship freestyle races. BMC Res. Notes 2021, 14, 248. [Google Scholar] [CrossRef]
- Polach, M.; Born, D.P. Data Analysis: How Enhanced Turn Performance Led Florian Wellbrock to WR in 1500 Freestyle (Visual Charts). Swimming World Magazine, 15 January 2022. Available online: https://www.swimmingworldmagazine.com/news/data-analysis-how-enhanced-turn-performance-led-florian-wellbrock-to-world-record-in-1500-freestyle-visual-charts/ (accessed on 1 March 2022).
- Morais, J.E.; Barbosa, T.M.; Forte, P.; Bragada, J.A.; Castro, F.A.S.; Marinho, D.A. Stability analysis and prediction of pacing in elite 1500 m freestyle male swimmers. Sports Biomech. 2020, 1–18. [Google Scholar] [CrossRef]
- Ruiz-Navarro, J.J.; Lopez-Belmonte, O.; Gay, A.; Cuenca-Fernandez, F.; Arellano, R. A new model of performance classification to standardize the research results in swimming. Eur. J. Sport Sci. 2022, 1–23. [Google Scholar] [CrossRef] [PubMed]
- IOC. Swimming Events Tokyo. 2021. Available online: https://olympics.com/tokyo-2020/olympic-games/en/results/swimming/olympic-schedule-and-results.htm (accessed on 16 February 2022).
- Born, D.P.; Kuger, J.; Polach, M.; Romann, M. Turn Fast and Win: The Importance of Acyclic Phases in Top-Elite Female Swimmers. Sports 2021, 9, 122. [Google Scholar] [CrossRef] [PubMed]
- Morais, J.E.; Marinho, D.A.; Arellano, R.; Barbosa, T.M. Start and turn performances of elite sprinters at the 2016 European Championships in swimming. Sports Biomech. 2019, 18, 100–114. [Google Scholar] [CrossRef] [PubMed]
- Shapiro, J.R.; Klein, S.L.; Morgan, R. Stop ‘controlling’ for sex and gender in global health research. BMJ Glob. Health 2021, 6, e005714. [Google Scholar] [CrossRef] [PubMed]
- Pyne, D.; Trewin, C.; Hopkins, W. Progression and variability of competitive performance of Olympic swimmers. J. Sports Sci. 2004, 22, 613–620. [Google Scholar] [CrossRef]
- Ferguson, C.J. An effect size primer: A guide for clinicians and researchers. Prof. Psychol. Res. Pract. 2016, 40, 532–538. [Google Scholar] [CrossRef]
- Arellano, R.; Ruíz-Teba, A.; Morales-Ortíz, E.; Gay, A.; Cuenca-Fernandez, F.; Llorente-Ferrón, F.; López-Contreras, G. Short course 50m male freestyle performance comparison between national and regional Spanish swimmers. ISBS Proc. Arch. 2018, 36, 139. [Google Scholar]
- Sánchez, L.; Arellano, R.; Cuenca-Fernández, F. Analysis and influence of the underwater phase of breaststroke on short-course 50 and 100m performance. Int. J. Perform. Anal. Sport 2021, 21, 307–323. [Google Scholar] [CrossRef]
- Veiga, S.; Roig, A. Effect of the starting and turning performances on the subsequent swimming parameters of elite swimmers. Sports Biomech. 2017, 16, 34–44. [Google Scholar] [CrossRef]
- Veiga, S.; Cala, A.; Frutos, P.G.; Navarro, E. Comparison of starts and turns of national and regional level swimmers by individualized-distance measurements. Sports Biomech. 2014, 13, 285–295. [Google Scholar] [CrossRef]
- Marinho, D.A.; Barbosa, T.M.; Neiva, H.P.; Silva, A.J.; Morais, J.E. Comparison of the Start, Turn and Finish Performance of Elite Swimmers in 100 m and 200 m Races. J. Sports Sci. Med. 2020, 19, 397–407. [Google Scholar] [PubMed]
- Nicol, E.; Ball, K.; Tor, E. The biomechanics of freestyle and butterfly turn technique in elite swimmers. Sports Biomech. 2021, 20, 444–457. [Google Scholar] [CrossRef] [PubMed]
- Veiga, S.; Cala, A.; Mallo, J.; Navarro, E. A new procedure for race analysis in swimming based on individual distance measurements. J. Sports Sci. 2013, 31, 159–165. [Google Scholar] [CrossRef] [PubMed]
- Gonjo, T.; Olstad, B.H. Start and Turn Performances of Competitive Swimmers in Sprint Butterfly Swimming. J. Sports Sci. Med. 2020, 19, 727–734. [Google Scholar]
- Papic, C.; Andersen, J.; Naemi, R.; Hodierne, R.; Sanders, R.H. Augmented feedback can change body shape to improve glide efficiency in swimming. Sports Biomech. 2021, 1–20. [Google Scholar] [CrossRef]
- Formosa, D.P.; Sayers, M.G.; Burkett, B. Backstroke swimming: Exploring gender differences in passive drag and instantaneous net drag force. J. Appl. Biomech. 2013, 29, 662–669. [Google Scholar] [CrossRef][Green Version]
- Ruiz-Navarro, J.J.; Cano-Adamuz, M.; Andersen, J.T.; Cuenca-Fernandez, F.; Lopez-Contreras, G.; Vanrenterghem, J.; Arellano, R. Understanding the effects of training on underwater undulatory swimming performance and kinematics. Sports Biomech. 2021, 1–16. [Google Scholar] [CrossRef]
- Houel, N.; Elipot, M.; Andre, F.; Hellard, P. Influence of angles of attack, frequency and kick amplitude on swimmer’s horizontal velocity during underwater phase of a grab start. J. Appl. Biomech. 2013, 29, 49–54. [Google Scholar] [CrossRef]
- Papic, C.; McCabe, C.; Gonjo, T.; Sanders, R. Effect of torso morphology on maximum hydrodynamic resistance in front crawl swimming. Sports Biomech. 2020, 1–15. [Google Scholar] [CrossRef]
- Naemi, R.; Easson, W.J.; Sanders, R.H. Hydrodynamic glide efficiency in swimming. J. Sci. Med. Sport 2010, 13, 444–451. [Google Scholar] [CrossRef]
- Cortesi, M.; Gatta, G.; Michielon, G.; Di Michele, R.; Bartolomei, S.; Scurati, R. Passive Drag in Young Swimmers: Effects of Body Composition, Morphology and Gliding Position. Int. J. Environ. Res. Public Health 2020, 17, 2002. [Google Scholar] [CrossRef] [PubMed]
- Vilas-Boas, J.P.; Costa, L.; Fernandes, R.J.; Ribeiro, J.; Figueiredo, P.; Marinho, D.; Silva, A.J.; Rouboa, A.; Machado, L. Determination of the drag coefficient during the first and second gliding positions of the breaststroke underwater stroke. J. Appl. Biomech. 2010, 26, 324–331. [Google Scholar] [CrossRef] [PubMed]
- Marinho, D.A.; Barbosa, T.M.; Rouboa, A.I.; Silva, A.J. The Hydrodynamic Study of the Swimming Gliding: A Two-Dimensional Computational Fluid Dynamics (CFD) Analysis. J. Hum. Kinet. 2011, 29, 49–57. [Google Scholar] [CrossRef] [PubMed]
- Veiga, S.; Roig, A. Underwater and surface strategies of 200 m world level swimmers. J. Sports Sci. 2016, 34, 766–771. [Google Scholar] [CrossRef]
- Veiga, S.; Pla, R.; Qiu, X.; Boudet, D.; Guimard, A. Effects of Extended Underwater Sections on the Physiological and Biomechanical Parameters of Competitive Swimmers. Front. Physiol. 2022, 13, 815766. [Google Scholar] [CrossRef]
- Tor, E.; Pease, D.L.; Ball, K.A. How does drag affect the underwater phase of a swimming start. J. Appl Biomech. 2015, 31, 8–12. [Google Scholar] [CrossRef]
- Novais, M.L.; Silva, A.J.; Mantha, V.R.; Ramos, R.J.; Rouboa, A.I.; Vilas-Boas, J.P.; Luis, S.R.; Marinho, D.A. The Effect of Depth on Drag During the Streamlined Glide: A Three-Dimensional CFD Analysis. J. Hum. Kinet. 2012, 33, 55–62. [Google Scholar] [CrossRef]
- Pla, R.; Poszalczyk, G.; Souaissia, C.; Joulia, F.; Guimard, A. Underwater and Surface Swimming Parameters Reflect Performance Level in Elite Swimmers. Front. Physiol. 2021, 12, 712652. [Google Scholar] [CrossRef]
- Ikeda, Y.; Ichikawa, H.; Shimojo, H.; Nara, R.; Baba, Y.; Shimoyama, Y. Relationship between dolphin kick movement in humans and velocity during undulatory underwater swimming. J. Sports Sci. 2021, 39, 1497–1503. [Google Scholar] [CrossRef]
- Hochstein, S.; Blickhan, R. Body movement distribution with respect to swimmer’s glide position in human underwater undulatory swimming. Hum. Mov. Sci. 2014, 38, 305–318. [Google Scholar] [CrossRef]

| Men | 100 m | 200 m | 400 m | 1500 m | |||||||||
|---|---|---|---|---|---|---|---|---|---|---|---|---|---|
| CV | p-Value | ∆% | CV | p-Value | ∆% | CV | p-Value | ∆% | CV | p-Value | ∆% | ||
| IN-5m | Heat | 0.95% | <0.001 | 1.32 | 0.92% | <0.001 | 1.78 | 0.79% | <0.001 | 2.03 | 0.74% | <0.001 | 2.31 |
| Final | 0.67% | <0.001 | 0.95 | 0.85% | <0.001 | 1.44 | 0.54% | <0.001 | 1.18 | 0.62% | <0.001 | 1.98 | |
| OUT-5m | Heat | 0.47% | 0.142 | 0.46 | 0.52% | <0.001 | 0.70 | 0.40% | <0.001 | 0.70 | 0.43% | 1.0 | 0.32 |
| Final | 0.34% | 0.211 | 0.28 | 0.44% | <0.001 | 0.55 | 0.42% | <0.001 | 0.60 | 0.34% | 0.379 | 0.54 | |
| OUT-5-10m | Heat | 0.90% | <0.001 | 1.08 | 0.52% | <0.001 | 0.81 | 0.55% | <0.001 | 1.18 | 0.52% | <0.001 | 1.57 |
| Final | 0.64% | <0.001 | 0.96 | 0.57% | <0.001 | 0.83 | 0.47% | <0.001 | 1.09 | 0.43% | <0.001 | 1.08 | |
| OUT-10m | Heat | 1.06% | <0.001 | 1.56 | 0.85% | <0.001 | 1.41 | 0.87% | <0.001 | 1.91 | 0.74% | <0.001 | 1.91 |
| Final | 0.80% | <0.001 | 1.26 | 0.82% | <0.001 | 1.36 | 0.67% | <0.001 | 1.68 | 0.54% | <0.001 | 1.58 | |
| Total-10 | Heat | 1.23% | <0.001 | 1.80 | 1.23% | <0.001 | 2.49 | 0.96% | <0.001 | 2.74 | 0.75% | <0.001 | 2.66 |
| Final | 0.83% | <0.001 | 1.60 | 1.16% | <0.001 | 2.01 | 0.70% | <0.001 | 1.83 | 0.69% | <0.001 | 2.52 | |
| Total-15 | Heat | 1.97% | <0.001 | 2.89 | 1.60% | <0.001 | 3.21 | 1.35% | <0.001 | 3.96 | 1.14% | <0.001 | 4.24 |
| Final | 1.32% | <0.001 | 2.07 | 1.60% | <0.001 | 2.83 | 1.02% | <0.001 | 2.88 | 0.92% | <0.001 | 3.56 | |
| Women | 100 m | 200 m | 400 m | 800 m | |||||||||
| CV | p-value | ∆% | CV | p-value | ∆% | CV | p-value | ∆% | CV | p-value | ∆% | ||
| IN-5m | Heat | 0.77% | <0.001 | 1.07 | 0.80% | <0.001 | 1.48 | 0.65% | <0.001 | 1.63 | 0.62% | <0.001 | 1.68 |
| Final | 0.71% | <0.001 | 1.01 | 0.69% | <0.001 | 1.35 | 0.46% | <0.001 | 1.06 | 0.50% | <0.001 | 1.05 | |
| OUT-5m | Heat | 0.34% | <0.001 | 0.52 | 0.44% | <0.001 | 0.78 | 0.50% | 0.001 | 0.61 | 0.41% | <0.001 | 0.68 |
| Final | 0.46% | <0.001 | 0.67 | 0.41% | 0.236 | 0.55 | 0.41% | 0.807 | 0.23 | 0.39% | 0.123 | 0.58 | |
| OUT-5-10m | Heat | 0.61% | <0.001 | 0.81 | 0.55% | <0.001 | 1.08 | 0.56% | <0.001 | 0.77 | 0.47% | <0.001 | 1.14 |
| Final | 0.45% | 0.002 | 0.47 | 0.49% | <0.001 | 0.96 | 0.46% | 0.228 | 0.53 | 0.42% | <0.001 | 0.77 | |
| OUT-10m | Heat | 0.88% | <0.001 | 1.34 | 0.93% | <0.001 | 1.86 | 0.73% | <0.001 | 1.41 | 0.73% | <0.001 | 1.82 |
| Final | 0.76% | <0.001 | 1.14 | 0.77% | <0.001 | 1.24 | 0.53% | 0.030 | 0.85 | 0.64% | <0.001 | 1.34 | |
| Total-10 | Heat | 1.06% | <0.001 | 1.60 | 1.17% | <0.001 | 2.26 | 0.98% | <0.001 | 2.25 | 0.88% | <0.001 | 2.38 |
| Final | 1.03% | <0.001 | 1.70 | 0.97% | <0.001 | 1.97 | 0.61% | <0.001 | 1.30 | 0.64% | <0.001 | 1.64 | |
| Total-15 | Heat | 1.58% | <0.001 | 2.41 | 1.68% | <0.001 | 3.35 | 1.25% | <0.001 | 3.04 | 1.22% | <0.001 | 3.51 |
| Final | 1.38% | <0.001 | 2.17 | 1.36% | <0.001 | 2.92 | 0.77% | <0.001 | 1.92 | 0.92% | <0.001 | 2.40 |
| Men | IN-5m | OUT-5m | OUT-5-10m | OUT-10m | Total-10 | Total-15 | |||||||
|---|---|---|---|---|---|---|---|---|---|---|---|---|---|
| p-Value | η2 | p-Value | η2 | p-Value | η2 | p-Value | η2 | p-Value | η2 | p-Value | η2 | ||
| Mean | Level | <0.001 | 0.47 | <0.001 | 0.22 | <0.001 | 0.25 | <0.001 | 0.35 | <0.001 | 0.58 | <0.001 | 0.54 |
| Distance | <0.001 | 0.94 | <0.001 | 0.61 | <0.001 | 0.93 | <0.001 | 0.90 | <0.001 | 0.94 | <0.001 | 0.95 | |
| Level × Dist | 0.005 | 0.20 | 0.429 | 0.05 | 0.436 | 0.04 | 0.641 | 0.03 | 0.229 | 0.07 | 0.196 | 0.08 | |
| CV | Level | 0.007 | 0.12 | 0.166 | 0.03 | 0.054 | 0.06 | 0.025 | 0.09 | 0.014 | 0.10 | 0.016 | 0.10 |
| Distance | 0.048 | 0.13 | 0.492 | 0.04 | <0.001 | 0.29 | 0.032 | 0.14 | <0.001 | 0.30 | <0.001 | 0.31 | |
| Level × Dist | 0.625 | 0.03 | 0.678 | 0.03 | 0.163 | 0.08 | 0.696 | 0.03 | 0.393 | 0.05 | 0.366 | 0.06 | |
| ∆% | Level | 0.001 | 0.17 | 0.694 | 0.00 | 0.189 | 0.03 | 0.371 | 0.01 | 0.003 | 0.14 | 0.006 | 0.13 |
| Distance | <0.001 | 0.33 | 0.233 | 0.07 | 0.050 | 0.13 | 0.070 | 0.12 | 0.001 | 0.27 | 0.002 | 0.23 | |
| Level × Dist | 0.502 | 0.04 | 0.643 | 0.03 | 0.510 | 0.04 | 0.815 | 0.02 | 0.467 | 0.04 | 0.795 | 0.02 | |
| Women | IN-5m | OUT-5m | OUT-5-10m | OUT-10m | Total-10 | Total-15 | |||||||
| p-value | η2 | p-value | η2 | p-value | η2 | p-value | η2 | p-value | η2 | p-value | η2 | ||
| Mean | Level | <0.001 | 0.53 | <0.001 | 0.40 | <0.001 | 0.60 | <0.001 | 0.72 | <0.001 | 0.77 | <0.001 | 0.85 |
| Distance | <0.001 | 0.91 | <0.001 | 0.67 | <0.001 | 0.94 | <0.001 | 0.94 | <0.001 | 0.95 | <0.001 | 0.97 | |
| Level × Dist | 0.511 | 0.04 | 0.914 | 0.01 | 0.107 | 0.10 | 0.374 | 0.05 | 0.463 | 0.04 | 0.059 | 0.12 | |
| CV | Level | 0.012 | 0.11 | 0.949 | 0.00 | 0.015 | 0.10 | 0.004 | 0.14 | 0.002 | 0.16 | <0.001 | 0.24 |
| Distance | 0.001 | 0.25 | 0.811 | 0.02 | 0.355 | 0.05 | 0.002 | 0.23 | 0.008 | 0.19 | <0.001 | 0.38 | |
| Level × Dist | 0.764 | 0.02 | 0.344 | 0.06 | 0.693 | 0.02 | 0.868 | 0.01 | 0.254 | 0.07 | 0.658 | 0.03 | |
| ∆% | Level | 0.002 | 0.16 | 0.249 | 0.02 | 0.017 | 0.09 | 0.001 | 0.17 | 0.001 | 0.18 | <0.001 | 0.23 |
| Distance | 0.057 | 0.12 | 0.013 | 0.17 | 0.018 | 0.16 | 0.051 | 0.13 | 0.069 | 0.12 | 0.004 | 0.21 | |
| Level × Dist | 0.126 | 0.10 | 0.261 | 0.07 | 0.721 | 0.02 | 0.675 | 0.03 | 0.034 | 0.14 | 0.184 | 0.08 | |
Publisher’s Note: MDPI stays neutral with regard to jurisdictional claims in published maps and institutional affiliations. |
© 2022 by the authors. Licensee MDPI, Basel, Switzerland. This article is an open access article distributed under the terms and conditions of the Creative Commons Attribution (CC BY) license (https://creativecommons.org/licenses/by/4.0/).
Share and Cite
Cuenca-Fernández, F.; Ruiz-Navarro, J.J.; Polach, M.; Arellano, R.; Born, D.-P. Turn Performance Variation in European Elite Short-Course Swimmers. Int. J. Environ. Res. Public Health 2022, 19, 5033. https://doi.org/10.3390/ijerph19095033
Cuenca-Fernández F, Ruiz-Navarro JJ, Polach M, Arellano R, Born D-P. Turn Performance Variation in European Elite Short-Course Swimmers. International Journal of Environmental Research and Public Health. 2022; 19(9):5033. https://doi.org/10.3390/ijerph19095033
Chicago/Turabian StyleCuenca-Fernández, Francisco, Jesús J. Ruiz-Navarro, Marek Polach, Raúl Arellano, and Dennis-Peter Born. 2022. "Turn Performance Variation in European Elite Short-Course Swimmers" International Journal of Environmental Research and Public Health 19, no. 9: 5033. https://doi.org/10.3390/ijerph19095033
APA StyleCuenca-Fernández, F., Ruiz-Navarro, J. J., Polach, M., Arellano, R., & Born, D.-P. (2022). Turn Performance Variation in European Elite Short-Course Swimmers. International Journal of Environmental Research and Public Health, 19(9), 5033. https://doi.org/10.3390/ijerph19095033

