Temporal Trends of Exposure to Organochlorine Pesticides in the United States: A Population Study from 2005 to 2016
Abstract
:1. Introduction
2. Materials and Methods
2.1. Study Population
2.2. NAHNES Sample Weights and Pooling Strategy
2.3. Exposure Assessment and Target OCPs
2.4. Statistical Analyses
3. Results
3.1. Temporal Trends in Serum OCP Concentrations by Survey Cycles
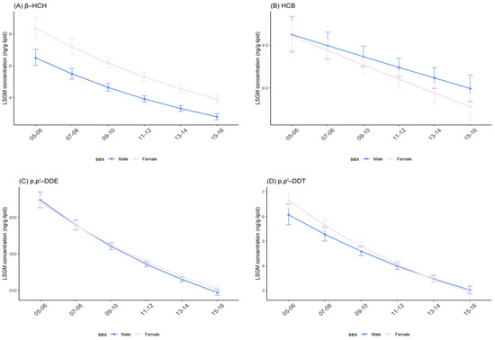
3.2. Temporal Trends in Serum OCP Concentrations by Survey Cycles and Sex
3.3. Temporal Trends in Serum OCP Concentrations by Survey Cycles and Age
3.4. Temporal Trends in Serum OCPs Concentrations by Survey Cycles and Race
4. Discussion
5. Conclusions
Supplementary Materials
Author Contributions
Funding
Institutional Review Board Statement
Informed Consent Statement
Data Availability Statement
Conflicts of Interest
References
- Arrebola, J.P.; Ramos, J.J.; Bartolomé, M.; Esteban, M.; Huetos, O.; Cañas, A.I.; López-Herranz, A.; Calvo, E.; Pérez-Gómez, B.; Castaño, A. Associations of multiple exposures to persistent toxic substances with the risk of hyperuricemia and subclinical uric acid levels in BIOAMBIENT.ES study. Environ. Int. 2019, 123, 512–521. [Google Scholar] [CrossRef] [PubMed]
- Helou, K.; Harmouche-Karaki, M.; Karake, S.; Narbonne, J.F. A review of organochlorine pesticides and polychlorinated biphenyls in Lebanon: Environmental and human contaminants. Chemosphere 2019, 231, 357–368. [Google Scholar] [CrossRef] [PubMed]
- Thomas, A.; Toms, L.L.; Harden, F.A.; Hobson, P.; White, N.M.; Mengersen, K.L.; Mueller, J.F. Concentrations of organochlorine pesticides in pooled human serum by age and gender. Environ. Res. 2017, 154, 10–18. [Google Scholar] [CrossRef] [PubMed]
- Lee, Y.M.; Bae, S.G.; Lee, S.H.; Jacobs, D.R., Jr.; Lee, D.H. Persistent organic pollutants and hyperuricemia in the U.S. general population. Atherosclerosis 2013, 230, 1–5. [Google Scholar] [CrossRef] [PubMed]
- Yang, J.H.; Lee, Y.M.; Bae, S.G.; Jacobs, D.R., Jr.; Lee, D.H. Associations between organochlorine pesticides and vitamin D deficiency in the U.S. population. PLoS ONE 2012, 7, e30093. [Google Scholar] [CrossRef]
- Kim, K.S.; Lee, Y.M.; Lee, H.W.; Jacobs, D.R., Jr.; Lee, D.H. Associations between organochlorine pesticides and cognition in U.S. elders: National Health and Nutrition Examination Survey 1999-2002. Environ. Int. 2015, 75, 87–92. [Google Scholar] [CrossRef] [PubMed]
- Bjermo, H.; Darnerud, P.O.; Lignell, S.; Pearson, M.; Rantakokko, P.; Nälsén, C.; Enghardt Barbieri, H.; Kiviranta, H.; Lindroos, A.K.; Glynn, A. Fish intake and breastfeeding time are associated with serum concentrations of organochlorines in a Swedish population. Environ. Int. 2013, 51, 88–96. [Google Scholar] [CrossRef] [PubMed]
- Kafaei, R.; Arfaeinia, H.; Savari, A.; Mahmoodi, M.; Rezaei, M.; Rayani, M.; Sorial, G.A.; Fattahi, N.; Ramavandi, B. Organochlorine pesticides contamination in agricultural soils of southern Iran. Chemosphere 2020, 240, 124983. [Google Scholar] [CrossRef] [PubMed]
- Xu, X.; Dailey, A.B.; Talbott, E.O.; Ilacqua, V.A.; Kearney, G.; Asal, N.R. Associations of serum concentrations of organochlorine pesticides with breast cancer and prostate cancer in U.S. adults. Environ. Health Perspect. 2010, 118, 60–66. [Google Scholar] [CrossRef] [Green Version]
- Ouidir, M.; Buck Louis, G.M.; Kanner, J.; Grantz, K.L.; Zhang, C.; Sundaram, R.; Rahman, M.L.; Lee, S.; Kannan, K.; Tekola-Ayele, F.; et al. Association of Maternal Exposure to Persistent Organic Pollutants in Early Pregnancy With Fetal Growth. JAMA Pediatri. 2020, 174, 149–161. [Google Scholar] [CrossRef]
- Sargis, R.M.; Simmons, R.A. Environmental neglect: Endocrine disruptors as underappreciated but potentially modifiable diabetes risk factors. Diabetologia 2019, 62, 1811–1822. [Google Scholar] [CrossRef] [PubMed] [Green Version]
- Tyagi, S.; Siddarth, M.; Mishra, B.K.; Banerjee, B.D.; Urfi, A.J.; Madhu, S.V. High levels of organochlorine pesticides in drinking water as a risk factor for type 2 diabetes: A study in north India. Environ. Pollut. 2021, 271, 116287. [Google Scholar] [CrossRef]
- Hung, H.; Halsall, C.J.; Blanchard, P.; Li, H.H.; Fellin, P.; Stern, G.; Rosenberg, B. Temporal trends of organochlorine pesticides in the Canadian Arctic atmosphere. Environ. Sci. Technol. 2002, 36, 862–868. [Google Scholar] [CrossRef] [PubMed]
- Tang, Z.; Huang, Q.; Yang, Y.; Zhu, X.; Fu, H. Organochlorine pesticides in the lower reaches of Yangtze River: Occurrence, ecological risk and temporal trends. Ecotoxicol. Environ. Saf. 2013, 87, 89–97. [Google Scholar] [CrossRef] [PubMed]
- Zhou, J.; Zeng, X.; Zheng, K.; Zhu, X.; Ma, L.; Xu, Q.; Zhang, X.; Yu, Y.; Sheng, G.; Fu, J. Musks and organochlorine pesticides in breast milk from Shanghai, China: Levels, temporal trends and exposure assessment. Ecotoxicol. Environ. Saf. 2012, 84, 325–333. [Google Scholar] [CrossRef] [PubMed]
- Xu, S.; Hansen, S.; Rautio, A.; Järvelin, M.R.; Abass, K.; Rysä, J.; Palaniswamy, S.; Huber, S.; Grimalt, J.O.; Dumas, P.; et al. Monitoring temporal trends of dioxins, organochlorine pesticides and chlorinated paraffins in pooled serum samples collected from Northern Norwegian women: The MISA cohort study. Environ. Res. 2021, 204, 111980. [Google Scholar] [CrossRef] [PubMed]
- Venier, M.; Hites, R.A. Time trend analysis of atmospheric POPs concentrations in the Great Lakes region since 1990. Environ. Sci. Technol. 2010, 44, 8050–8055. [Google Scholar] [CrossRef] [PubMed]
- Bradman, A.S.; Schwartz, J.M.; Fenster, L.; Barr, D.B.; Holland, N.T.; Eskenazi, B. Factors predicting organochlorine pesticide levels in pregnant Latina women living in a United States agricultural area. J. Expo. Sci. Environ. Epidemiol. 2007, 17, 388–399. [Google Scholar] [CrossRef] [Green Version]
- Ruge, B.Z.; Muir, D.; Helm, P.; Lohmann, R. Concentrations, Trends, and Air-Water Exchange of PCBs and Organochlorine Pesticides Derived from Passive Samplers in Lake Superior in 2011. Environ. Sci. Technol. 2018, 52, 14061–14069. [Google Scholar] [CrossRef] [PubMed] [Green Version]
- Parada, H., Jr.; Sun, X.; Tse, C.K.; Engel, L.S.; Olshan, A.F.; Troester, M.A. Plasma levels of dichlorodiphenyldichloroethene (DDE) and dichlorodiphenyltrichloroethane (DDT) and survival following breast cancer in the Carolina Breast Cancer Study. Environ. Int. 2019, 125, 161–171. [Google Scholar] [CrossRef]
- Pittman, H.T.; Bowerman, W.W.; Grim, L.H.; Grubb, T.G.; Bridges, W.C.; Wierda, M.R. Using nestling plasma to assess long-term spatial and temporal concentrations of organochlorine compounds in bald eagles within Voyageurs National Park, Minnesota, USA. Chemosphere 2015, 123, 79–86. [Google Scholar] [CrossRef]
- Byer, J.D.; Lebeuf, M.; Trottier, S.; Raach, M.; Alaee, M.; Stephen Brown, R.; Backus, S.; Casselman, J.M.; Hodson, P.V. Trends of persistent organic pollutants in American eel (Anguilla rostrata) from eastern Lake Ontario, Canada, and their potential effects on recruitment. Sci. Total Environ. 2015, 529, 231–242. [Google Scholar] [CrossRef] [PubMed]
- Hardell, E.; Carlberg, M.; Nordström, M.; van Bavel, B. Time trends of persistent organic pollutants in Sweden during 1993–2007 and relation to age, gender, body mass index, breast-feeding and parity. Sci. Total Environ. 2010, 408, 4412–4419. [Google Scholar] [CrossRef]
- Bush, B.; Snow, J.; Koblintz, R. Polychlorobiphenyl (PCB) congeners, p,p′-DDE, and hexachlorobenzene in maternal and fetal cord blood from mothers in Upstate New York. Arch. Environ. Contam. Toxicol. 1984, 13, 517–527. [Google Scholar] [CrossRef]
- Hansen, S.; Odland, J.; Phi, D.T.; Nieboer, E.; Sandanger, T.M. Maternal levels of organochlorines in two communities in southern Vietnam. Sci. Total Environ. 2009, 408, 225–232. [Google Scholar] [CrossRef]
- Arrebola, J.P.; Fernández, M.F.; Olea, N.; Ramos, R.; Martin-Olmedo, P. Human exposure to p,p′-dichlorodiphenyldichloroethylene (p,p′-DDE) in urban and semi-rural areas in southeast Spain: A gender perspective. Sci. Total Environ. 2013, 458–460, 209–216. [Google Scholar] [CrossRef]
- Torres-Avilés, N.A.; Albores-García, D.; Luna, A.L.; Moreno-Galván, M.; Salgado-Bustamante, M.; Portales-Pérez, D.P.; Calderón-Aranda, E.S. Exposure to p,p′-DDE Induces Morphological Changes and Activation of the PKCα-p38-C/EBPβ Pathway in Human Promyelocytic HL-60 Cells. BioMed Res. Int. 2016, 2016, 1375606. [Google Scholar] [CrossRef] [PubMed] [Green Version]
- Koureas, M.; Rousou, X.; Haftiki, H.; Mouchtouri, V.A.; Rachiotis, G.; Rakitski, V.; Tsakalof, A.; Hadjichristodoulou, C. Spatial and temporal distribution of p,p′-DDE (1-dichloro-2,2-bis (p-chlorophenyl) ethylene) blood levels across the globe. A systematic review and meta-analysis. Sci. Total Environ. 2019, 686, 440–451. [Google Scholar] [CrossRef] [PubMed]
- Emeville, E.; Giusti, A.; Coumoul, X.; Thomé, J.P.; Blanchet, P.; Multigner, L. Associations of plasma concentrations of dichlorodiphenyldichloroethylene and polychlorinated biphenyls with prostate cancer: A case-control study in Guadeloupe (French West Indies). Environ. Health Perspect. 2015, 123, 317–323. [Google Scholar] [CrossRef] [PubMed] [Green Version]
- Lind, L.; Penell, J.; Luttropp, K.; Nordfors, L.; Syvänen, A.C.; Axelsson, T.; Salihovic, S.; van Bavel, B.; Fall, T.; Ingelsson, E.; et al. Global DNA hypermethylation is associated with high serum levels of persistent organic pollutants in an elderly population. Environ. Int. 2013, 59, 456–461. [Google Scholar] [CrossRef]
- Jayasinghe, S.; Lind, L.; Salihovic, S.; Larsson, A.; Lind, P.M. High serum levels of p,p′-DDE are associated with an accelerated decline in GFR during 10 years follow-up. Sci. Total Environ. 2018, 644, 371–374. [Google Scholar] [CrossRef]
- Porta, M.; López, T.; Gasull, M.; Rodríguez-Sanz, M.; Garí, M.; Pumarega, J.; Borrell, C.; Grimalt, J.O. Distribution of blood concentrations of persistent organic pollutants in a representative sample of the population of Barcelona in 2006, and comparison with levels in 2002. Sci. Total Environ. 2012, 423, 151–161. [Google Scholar] [CrossRef] [PubMed]
- Mishra, K.; Sharma, R.C.; Kumar, S. Organochlorine pollutants in human blood and their relation with age, gender and habitat from North-east India. Chemosphere 2011, 85, 454–464. [Google Scholar] [CrossRef] [PubMed]
- Wang, H.S.; Chen, Z.J.; Wei, W.; Man, Y.B.; Giesy, J.P.; Du, J.; Zhang, G.; Wong, C.K.; Wong, M.H. Concentrations of organochlorine pesticides (OCPs) in human blood plasma from Hong Kong: Markers of exposure and sources from fish. Environ. Int. 2013, 54, 18–25. [Google Scholar] [CrossRef] [PubMed]
- Salihovic, S.; Lampa, E.; Lindström, G.; Lind, L.; Lind, P.M.; van Bavel, B. Circulating levels of persistent organic pollutants (POPs) among elderly men and women from Sweden: Results from the Prospective Investigation of the Vasculature in Uppsala Seniors (PIVUS). Environ. Int. 2012, 44, 59–67. [Google Scholar] [CrossRef]
- Long, M.; Wielsøe, M.; Bonefeld-Jørgensen, E.C. Time Trend of Persistent Organic Pollutants and Metals in Greenlandic Inuit during 1994-2015. Int. J. Environ. Res. Public Health 2021, 18, 2774. [Google Scholar] [CrossRef] [PubMed]
- Luo, D.; Zhou, T.; Tao, Y.; Feng, Y.; Shen, X.; Mei, S. Exposure to organochlorine pesticides and non-Hodgkin lymphoma: A meta-analysis of observational studies. Sci. Rep. 2016, 6, 25768. [Google Scholar] [CrossRef] [PubMed] [Green Version]
- Lee, D.H.; Porta, M.; Lind, L.; Lind, P.M.; Jacobs, D.R., Jr. Neurotoxic chemicals in adipose tissue: A role in puzzling findings on obesity and dementia. Neurology 2018, 90, 176–182. [Google Scholar] [CrossRef] [PubMed]
- Jain, R.B. Time trends over 2003-2014 in the concentrations of selected perfluoroalkyl substances among US adults aged ≥ 20 years: Interpretational issues. Sci. Total Environ. 2018, 645, 946–957. [Google Scholar] [CrossRef] [PubMed]
- Cox, S.; Niskar, A.S.; Narayan, K.M.; Marcus, M. Prevalence of self-reported diabetes and exposure to organochlorine pesticides among Mexican Americans: Hispanic health and nutrition examination survey, 1982--1984. Environ. Health Perspect. 2007, 115, 1747–1752. [Google Scholar] [CrossRef] [Green Version]
- Ortiz, V.; Telles, E. Racial Identity and Racial Treatment of Mexican Americans. Race Soc. Probl. 2012, 4, 41–56. [Google Scholar] [CrossRef] [Green Version]
- Morales, L.S.; Lara, M.; Kington, R.S.; Valdez, R.O.; Escarce, J.J. Socioeconomic, cultural, and behavioral factors affecting Hispanic health outcomes. J. Health Care Poor Underserved 2002, 13, 477–503. [Google Scholar] [CrossRef] [PubMed]
- Stehr-Green, P.A. Demographic and seasonal influences on human serum pesticide residue levels. J. Toxicol. Environ. Health 1989, 27, 405–421. [Google Scholar] [CrossRef] [PubMed]
- Flores, M.; Macias, N.; Rivera, M.; Lozada, A.; Barquera, S.; Rivera-Dommarco, J.; Tucker, K.L. Dietary patterns in Mexican adults are associated with risk of being overweight or obese. J. Nutr. 2010, 140, 1869–1873. [Google Scholar] [CrossRef] [PubMed] [Green Version]
- Irigaray, P.; Newby, J.A.; Lacomme, S.; Belpomme, D. Overweight/obesity and cancer genesis: More than a biological link. Biomed. Pharmacother. 2007, 61, 665–678. [Google Scholar] [CrossRef] [PubMed]
- Reaves, D.K.; Ginsburg, E.; Bang, J.J.; Fleming, J.M. Persistent organic pollutants and obesity: Are they potential mechanisms for breast cancer promotion? Endocr. Relat. Cancer 2015, 22, R69–R86. [Google Scholar] [CrossRef] [PubMed] [Green Version]
- Johnson, J.A. Influence of race or ethnicity on pharmacokinetics of drugs. J. Pharm. Sci. 1997, 86, 1328–1333. [Google Scholar] [CrossRef] [PubMed]




| Compounds | Survey Cycles | |||||
|---|---|---|---|---|---|---|
| 2005–2006 (n = 1973) | 2007–2008 (n = 2070) | 2009–2010 (n = 2322) | 2011–2012 (n = 1910) | 2013–2014 (n = 2157) | 2015–2016 (n = 1989) | |
| β-HCH | 75.3 | 68.9 | 86.4 | 82.5 | 76.1 | 73.6 |
| HCB | 98.8 | 100.0 | 100.0 | 100.0 | 100.0 | 100.0 |
| p,p′-DDE | 100.0 | 100.0 | 99.3 | 99.6 | 100.0 | 97.7 |
| p,p′-DDT | 99.2 | 82.2 | 96.3 | 95.6 | 92.6 | 85.7 |
| trans-nonachlor | 99.6 | 97.7 | 99.0 | 99.2 | 99.6 | 99.2 |
| Mirex | 59.5 | 59.5 | 65.8 | 65.3 | 64.1 | 58.9 |
| Oxychlordane | 97.6 | 94.3 | 58.5 | 97.6 | 98.9 | 97.4 |
| γ-HCH | 0 | 0 | 0.3 | 0.4 | / | / |
| o,p′-DDT | 25.1 | 4.9 | / | / | / | / |
| Compound | Cycles | LSGM (95% CI) | Percent Change 1 (95% CI) |
|---|---|---|---|
| β-HCH | 2005–2006 | 7.37 (6.88, 7.89) | −14.87 (−16.42, −13.28) |
| 2007–2008 | 6.27 (5.93, 6.63) | ||
| 2009–2010 | 5.34 (5.09, 5.6) | ||
| 2011–2012 | 4.55 (4.34, 4.76) | ||
| 2013–2014 | 3.87 (3.68, 4.07) | ||
| 2015–2016 | 3.29 (3.1, 3.5) | ||
| HCB | 2005–2006 | 9.62 (9.47, 9.77) | −1.57 (−2, −1.15) |
| 2007–2008 | 9.47 (9.35, 9.58) | ||
| 2009–2010 | 9.32 (9.23, 9.41) | ||
| 2011–2012 | 9.17 (9.09, 9.25) | ||
| 2013–2014 | 9.03 (8.94, 9.11) | ||
| 2015–2016 | 8.88 (8.78, 8.99) | ||
| p,p′-DDE | 2005–2006 | 444.53 (429.88, 459.67) | −14.85 (−15.65, −14.05) |
| 2007–2008 | 378.51 (368.55, 388.74) | ||
| 2009–2010 | 322.3 (315.33, 329.41) | ||
| 2011–2012 | 274.43 (268.87, 280.11) | ||
| 2013–2014 | 233.68 (228.31, 239.17) | ||
| 2015–2016 | 198.97 (193.3, 204.81) | ||
| p,p′-DDT | 2005–2006 | 6.36 (6.07, 6.67) | −14.17 (−15.19, −13.15) |
| 2007–2008 | 5.46 (5.25, 5.68) | ||
| 2009–2010 | 4.69 (4.54, 4.84) | ||
| 2011–2012 | 4.02 (3.91, 4.15) | ||
| 2013–2014 | 3.45 (3.35, 3.56) | ||
| 2015–2016 | 2.96 (2.85, 3.08) | ||
| trans-nonachlor | 2005–2006 | 13.65 (13.13, 14.2) | −8.74 (−9.94, −7.52) |
| 2007–2008 | 12.46 (12.12, 12.81) | ||
| 2009–2010 | 11.37 (11.16, 11.58) | ||
| 2011–2012 | 10.38 (10.21, 10.54) | ||
| 2013–2014 | 9.47 (9.25, 9.69) | ||
| 2015–2016 | 8.64 (8.35, 8.94) |
| Category | LSGM | 95% CI | Pairwise Comparison: p | ||
|---|---|---|---|---|---|
| Sex and Survey (p = 0.174) | |||||
| Cycle 2005–2006 | |||||
| Male | 6.49 | (6, 7.02) | |||
| Female | 8.37 | (7.7, 9.09) | <0.001 | ||
| Cycle 2007–2008 | |||||
| Male | 5.48 | (5.15, 5.84) | |||
| Female | 7.18 | (6.72, 7.68) | <0.001 | ||
| Cycle 2009–2010 | |||||
| Male | 4.63 | (4.39, 4.88) | |||
| Female | 6.16 | (5.83, 6.51) | <0.001 | ||
| Cycle 2011–2012 | |||||
| Male | 3.91 | (3.72, 4.11) | |||
| Female | 5.29 | (5.03, 5.55) | <0.001 | ||
| Cycle 2013–2014 | |||||
| Male | 3.3 | (3.11, 3.49) | |||
| Female | 4.54 | (4.31, 4.78) | <0.001 | ||
| Cycle 2015–2016 | |||||
| Male | 2.78 | (2.59, 2.99) | |||
| Female | 3.89 | (3.66, 4.15) | <0.001 | ||
| Age Group and Survey (p < 0.001) | 12–19 years | 20–39 years | 40–59 years | ||
| Cycle 2005–2006 | |||||
| 12–19 years | 1.87 | (1.74, 2.02) | |||
| 20–39 years | 4.24 | (3.76, 4.78) | <0.001 | ||
| 40–59 years | 10.42 | (9.51, 11.43) | <0.001 | <0.001 | |
| 60+ years | 30.14 | (28.03, 32.41) | <0.001 | <0.001 | <0.001 |
| Cycle 2007–2008 | |||||
| 12–19 years | 1.73 | (1.63, 1.84) | |||
| 20–39 years | 3.43 | (3.13, 3.77) | <0.001 | ||
| 40–59 years | 8.76 | (8.14, 9.43) | <0.001 | <0.001 | |
| 60+ years | 26.79 | (25.2, 28.47) | <0.001 | <0.001 | <0.001 |
| Cycle 2009–2010 | |||||
| 12–19 years | 1.6 | (1.52, 1.69) | |||
| 20–39 years | 2.78 | (2.6, 2.98) | <0.001 | ||
| 40–59 years | 7.37 | (6.93, 7.82) | <0.001 | <0.001 | |
| 60+ years | 23.81 | (22.54, 25.15) | <0.001 | <0.001 | <0.001 |
| Cycle 2011–2012 | |||||
| 12–19 years | 1.48 | (1.4, 1.57) | |||
| 20–39 years | 2.25 | (2.13, 2.38) | <0.001 | ||
| 40–59 years | 6.19 | (5.86, 6.54) | <0.001 | <0.001 | |
| 60+ years | 21.16 | (20.01, 22.38) | <0.001 | <0.001 | <0.001 |
| Cycle 2013–2014 | |||||
| 12–19 years | 1.37 | (1.27, 1.47) | |||
| 20–39 years | 1.82 | (1.72, 1.93) | <0.001 | ||
| 40–59 years | 5.2 | (4.9, 5.53) | <0.001 | <0.001 | |
| 60+ years | 18.81 | (17.64, 20.05) | <0.001 | <0.001 | <0.001 |
| Cycle 2015–2016 | |||||
| 12–19 years | 1.26 | (1.15, 1.39) | |||
| 20–39 years | 1.48 | (1.37, 1.59) | 0.021 | ||
| 40–59 years | 4.38 | (4.06, 4.72) | <0.001 | <0.001 | |
| 60+ years | 16.72 | (15.48, 18.04) | <0.001 | <0.001 | <0.001 |
| Race * and Survey (p < 0.001) | MA | NHB | NHW | ||
| Cycle 2005–2006 | |||||
| MA | 11.94 | (10.5, 13.57) | |||
| NHB | 3.39 | (3.18, 3.62) | <0.001 | ||
| NHW | 3.9 | (3.66, 4.16) | <0.001 | 0.02 | |
| OTHER | 27.11 | (20.59, 35.69) | <0.001 | <0.001 | <0.001 |
| Cycle 2007–2008 | |||||
| MA | 9.62 | (8.74, 10.6) | |||
| NHB | 2.97 | (2.83, 3.11) | <0.001 | ||
| NHW | 3.38 | (3.22, 3.54) | <0.001 | 0.002 | |
| OTHER | 20.46 | (16.61, 25.2) | <0.001 | <0.001 | <0.001 |
| Cycle 2009–2010 | |||||
| MA | 7.76 | (7.24, 8.32) | |||
| NHB | 2.6 | (2.52, 2.69) | <0.001 | ||
| NHW | 2.92 | (2.82, 3.03) | <0.001 | <0.001 | |
| OTHER | 15.45 | (13.13, 18.16) | <0.001 | <0.001 | <0.001 |
| Cycle 2011–2012 | |||||
| MA | 6.26 | (5.94, 6.59) | |||
| NHB | 2.27 | (2.22, 2.33) | <0.001 | ||
| NHW | 2.53 | (2.46, 2.6) | <0.001 | <0.001 | |
| OTHER | 11.66 | (9.97, 13.63) | <0.001 | <0.001 | <0.001 |
| Cycle 2013–2014 | |||||
| MA | 5.05 | (4.77, 5.34) | |||
| NHB | 1.99 | (1.94, 2.04) | <0.001 | ||
| NHW | 2.19 | (2.12, 2.26) | <0.001 | <0.001 | |
| OTHER | 8.8 | (7.25, 10.69) | <0.001 | <0.001 | <0.001 |
| Cycle 2015–2016 | |||||
| MA | 4.07 | (3.76, 4.4) | |||
| NHB | 1.74 | (1.68, 1.81) | <0.001 | ||
| NHW | 1.9 | (1.82, 1.98) | <0.001 | 0.017 | |
| OTHER | 6.64 | (5.14, 8.59) | <0.001 | <0.001 | <0.001 |
| Compound | Percent Change (95% CI) | p-Value | |
|---|---|---|---|
| Male | β-HCH | −15.59 (−17.47, −13.66) | <0.001 |
| HCB | −1.34 (−1.96, −0.73) | <0.001 | |
| p,p′-DDE | −15.37 (−16.55, −14.18) | <0.001 | |
| p,p′-DDT | −13.07 (−14.73, −11.38) | <0.001 | |
| trans-nonachlor | −8.83 (−10.37, −7.26) | <0.001 | |
| Female | β-HCH | −14.18 (−15.98, −12.34) | <0.001 |
| HCB | −1.79 (−2.34, −1.24) | <0.001 | |
| p,p′-DDE | −14.36 (−15.34, −13.36) | <0.001 | |
| p,p′-DDT | −15.17 (−16.23, −14.1) | <0.001 | |
| trans-nonachlor | −8.66 (−9.79, −7.51) | <0.001 |
| Compound | Percent Change (95% CI) | p-Value | |
|---|---|---|---|
| 12–19 years | β-HCH | −7.57 (−9.96, −5.11) | <0.001 |
| HCB | −2.52 (−3.83, −1.2) | <0.001 | |
| p,p′-DDE | −16.32 (−17.95, −14.65) | <0.001 | |
| p,p′-DDT | −11.36 (−13.9, −8.74) | <0.001 | |
| trans-nonachlor | −10.59 (−12.91, −8.2) | <0.001 | |
| 20–39 years | β-HCH | −19.02 (−21.62, −16.34) | <0.001 |
| HCB | −1.03 (−1.67, −0.38) | 0.002 | |
| p,p′-DDE | −15.82 (−17.46, −14.16) | <0.001 | |
| p,p′-DDT | −15.67 (−17.68, −13.61) | <0.001 | |
| trans-nonachlor | −10.67 (−12.33, −8.97) | <0.001 | |
| 40–59 years | β-HCH | −15.94 (−18, −13.83) | <0.001 |
| HCB | −1.54 (−2.28, −0.8) | <0.001 | |
| p,p′-DDE | −13.55 (−14.77, −12.32) | <0.001 | |
| p,p′-DDT | −12.9 (−14.02, −11.77) | <0.001 | |
| trans-nonachlor | −7.38 (−8.97, −5.75) | <0.001 | |
| 60+ years | β-HCH | −11.12 (−12.92, −9.29) | <0.001 |
| HCB | −1.85 (−2.7, −1) | <0.001 | |
| p,p′-DDE | −14.44 (−15.66, −13.2) | <0.001 | |
| p,p′-DDT | −15.47 (−16.68, −14.23) | <0.001 | |
| trans-nonachlor | −6.76 (−8.29, −5.21) | <0.001 |
| Compound | Percent Change (95% CI) | p-Value | |
|---|---|---|---|
| MA * | β-HCH | −19.37 (−22.19, −16.45) | <0.001 |
| HCB | −3.9 (−5.07, −2.72) | <0.001 | |
| p,p′-DDE | −18.52 (−21.19, −15.76) | <0.001 | |
| p,p′-DDT | −23.09 (−27.59, −18.3) | <0.001 | |
| trans-nonachlor | −8.46 (−10.16, −6.74) | <0.001 | |
| NHB * | β-HCH | −12.49 (−14.05, −10.9) | <0.001 |
| HCB | −1.47 (−2.08, −0.86) | <0.001 | |
| p,p′-DDE | −13.05 (−14.03, −12.06) | <0.001 | |
| p,p′-DDT | −11.29 (−12.33, −10.24) | <0.001 | |
| trans-nonachlor | −8.08 (−9.76, −6.37) | <0.001 | |
| NHW * | β-HCH | −13.41 (−14.96, −11.83) | <0.001 |
| HCB | −0.55 (−1.56, 0.47) | 0.290 | |
| p,p′-DDE | −15.04 (−16.36, −13.7) | <0.001 | |
| p,p′-DDT | −15.4 (−17.25, −13.51) | <0.001 | |
| trans-nonachlor | −9.22 (−10.46, −7.96) | <0.001 | |
| OTHER * | β-HCH | −24.52 (−30.82, −17.64) | <0.001 |
| HCB | −1.39 (−2.72, −0.05) | 0.042 | |
| p,p′-DDE | −21.11 (−23.78, −18.36) | <0.001 | |
| p,p′-DDT | −21.12 (−24.46, −17.64) | <0.001 | |
| trans-nonachlor | −11.86 (−13.05, −10.65) | <0.001 |
Publisher’s Note: MDPI stays neutral with regard to jurisdictional claims in published maps and institutional affiliations. |
© 2022 by the authors. Licensee MDPI, Basel, Switzerland. This article is an open access article distributed under the terms and conditions of the Creative Commons Attribution (CC BY) license (https://creativecommons.org/licenses/by/4.0/).
Share and Cite
Li, M.; Wang, R.; Su, C.; Li, J.; Wu, Z. Temporal Trends of Exposure to Organochlorine Pesticides in the United States: A Population Study from 2005 to 2016. Int. J. Environ. Res. Public Health 2022, 19, 3862. https://doi.org/10.3390/ijerph19073862
Li M, Wang R, Su C, Li J, Wu Z. Temporal Trends of Exposure to Organochlorine Pesticides in the United States: A Population Study from 2005 to 2016. International Journal of Environmental Research and Public Health. 2022; 19(7):3862. https://doi.org/10.3390/ijerph19073862
Chicago/Turabian StyleLi, Mengmeng, Rui Wang, Chang Su, Jianwen Li, and Zhenyu Wu. 2022. "Temporal Trends of Exposure to Organochlorine Pesticides in the United States: A Population Study from 2005 to 2016" International Journal of Environmental Research and Public Health 19, no. 7: 3862. https://doi.org/10.3390/ijerph19073862
APA StyleLi, M., Wang, R., Su, C., Li, J., & Wu, Z. (2022). Temporal Trends of Exposure to Organochlorine Pesticides in the United States: A Population Study from 2005 to 2016. International Journal of Environmental Research and Public Health, 19(7), 3862. https://doi.org/10.3390/ijerph19073862

