The Oneiric Activity during and after the COVID-19 Total Lockdown in Italy: A Longitudinal Study
Abstract
1. Introduction
2. Materials and Methods
2.1. Design
2.2. Materials
- (a)
- Demographic and COVID-19 related variables: we administered a questionnaire to collect information about age, gender, education, occupation, Italian area, exposure to COVID-19 at the workplace, cohabitation, having a relative/friend affected by COVID-19, forced quarantine for suspected COVID-19 infection, daily hours spent using digital media.
- (b)
- Anxiety symptoms: we administered the State-Trait Anxiety Inventory (STAI-Y, I-II; [37,38]) to assess anxiety symptoms. This is a self-reported questionnaire, consisting of 40 items: 20 for the evaluation of state-like anxiety (STAI-Y I) and 20 for trait-like anxiety (STAI-Y II). A significant level of anxiety is indicated by scores ≥ 40. In the current sample, the Cronbach’s alpha was 0.95 at TL and 0.96 at PL for STAI-Y I, 0.93 at TL and PL for STAI-Y II.
- (c)
- (d)
- Sleep Quality: we administered the Pittsburgh Sleep Quality Index (PSQI; [41]) to assess sleep quality. This is a self-reported questionnaire consisting of 19 items, resulting in 7 subscales (sleep quality, sleep latency, sleep disturbances, use of sleep medications, daytime dysfunction) and a global sleep quality score. A PSQI global score > 5 indicates poor subjective sleep quality. In the present sample, the Cronbach’s alpha was 0.76 at TL and 0.79 at PL. We also used the PSQI-Addendum (PSQI-A; [42]) to evaluate trauma-related subjective sleep disturbances. This is a self-report assessment of seven disruptive nocturnal behaviours commonly observed in individuals with Post-Traumatic Stress Disorder (PTSD): flashes, general nervousness, memories or nightmares of traumatic experience, severe anxiety or panic not related to traumatic memories, bad dreams not related to traumatic memories, episodes of terror or screaming during sleep without full awakening, episodes of acting out dreams (i.e., kicking, punching, running, screaming). A PSQI-A score ≥ 4 is predictive for the discrimination of individuals with and without PTSD [42]. The Cronbach’s alpha was 0.75 at TL and 0.73 at PL in the current study.
- (e)
- Dream features: we collected information on several dream variables referred to the last month. Specifically, we asked the participants to score dream and lucid dream frequency on a 7-point (0–6) Likert scale and different qualitative dream features (i.e., emotional load, vividness, bizarreness, length) on a 6-point (1–6) Likert scale [19,43,44,45,46,47]. Moreover, participants reported the most frequent dream emotion, choosing from happiness, sadness, fear, anger, disgust, pleasure, guilt, shame, surprise. Finally, participants were asked to report the presence of specific dream contents from a list (Table 1) adapted from the Typical Dream Questionnaires (TDS; [48]).
2.3. Statistics
3. Results
3.1. Demographic Features
3.2. COVID-19 Related, Clinical, and Sleep Changes
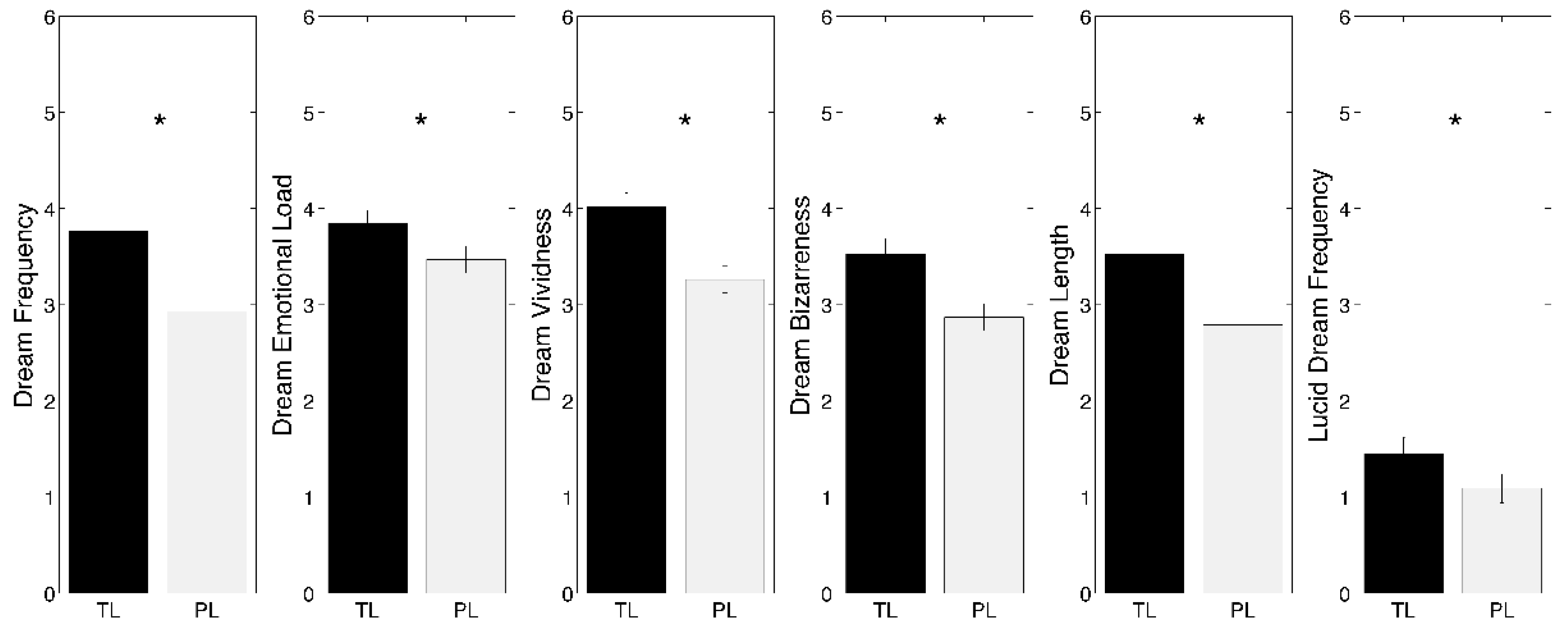
3.3. Dream Changes
4. Discussion
4.1. Quantitative and Qualitative Aspects of Dreams
4.2. Dream Contents
4.3. Dream Emotional Tone
4.4. Sleep Pattern, Clinical Measures and COVID-19 Related Variables
4.5. Limitations
5. Conclusions
Author Contributions
Funding
Institutional Review Board Statement
Informed Consent Statement
Data Availability Statement
Acknowledgments
Conflicts of Interest
References
- Xiong, J.; Lipsitz, O.; Nasri, F.; Lui, L.M.W.; Gill, H.; Phan, L.; Chen-Li, D.; Iacobucci, M.; Ho, R.; Majeed, A.; et al. Impact of COVID-19 pandemic on mental health in the general population: A systematic review. J. Affect. Disord. 2020, 277, 55–64. [Google Scholar] [CrossRef]
- Torales, J.; O’Higgins, M.; Castaldelli-Maia, J.M.; Ventriglio, A. The outbreak of COVID-19 coronavirus and its impact on global mental health. Int. J. Soc. Psychiatry 2020, 66, 317–320. [Google Scholar] [CrossRef] [PubMed]
- Jahrami, H.; BaHammam, A.S.; Bragazzi, N.L.; Saif, Z.; Faris, M.; Vitiello, M.V. Sleep problems during the COVID-19 pandemic by population: A systematic review and meta-analysis. J. Clin. Sleep Med. 2021, 17, 299–313. [Google Scholar] [CrossRef] [PubMed]
- Partinen, M.; Holzinger, B.; Morin, C.M.; Espie, C.; Chung, F.; Penzel, T.; Benedict, C.; Bolstad, C.; Cedernaes, J.; Chan, R.N.Y.; et al. Sleep and daytime problems during the COVID-19 pandemic and effects of coronavirus infection, confinement and financial suffering: A multinational survey using a harmonised questionnaire. BMJ Open 2021, 11, e050672. [Google Scholar] [CrossRef] [PubMed]
- Cellini, N.; Canale, N.; Mioni, G.; Costa, S. Changes in sleep pattern, sense of time and digital media use during COVID-19 lockdown in Italy. J. Sleep Res. 2020, 29, e13074. [Google Scholar] [CrossRef] [PubMed]
- Franceschini, C.; Musetti, A.; Zenesini, C.; Palagini, L.; Scarpelli, S.; Quattropani, M.C.; Lenzo, V.; Freda, M.F.; Lemmo, D.; Vegni, E.; et al. Poor Sleep Quality and Its Consequences on Mental Health During the COVID-19 Lockdown in Italy. Front. Psychol. 2020, 11, 574475. [Google Scholar] [CrossRef] [PubMed]
- Brandão, L.E.M.; Martikainen, T.; Merikanto, I.; Holzinger, B.; Morin, C.M.; Espie, C.A.; Bolstad, C.J.; Leger, D.; Chung, F.; Plazzi, G.; et al. Social Jetlag Changes During the COVID-19 Pandemic as a Predictor of Insomnia—A Multi-National Survey Study. Nat. Sci. Sleep 2021, 13, 1711–1722. [Google Scholar] [CrossRef]
- Holzinger, B.; Mayer, L.; Nierwetberg, F.; Klösch, G. COVID-19 lockdown–Are Austrians finally able to compensate their sleep debt? Sleep Med. X 2021, 3, 100032. [Google Scholar] [CrossRef]
- Alfonsi, V.; Gorgoni, M.; Scarpelli, S.; Zivi, P.; Sdoia, S.; Mari, E.; Fraschetti, A.; Ferlazzo, F.; Giannini, A.M.; De Gennaro, L. COVID-19 lockdown and poor sleep quality: Not the whole story. J. Sleep Res. 2021, 30, e13368. [Google Scholar] [CrossRef]
- Morin, C.M.; Bjorvatn, B.; Chung, F.; Holzinger, B.; Partinen, M.; Penzel, T.; Ivers, H.; Wing, Y.K.; Chan, N.Y.; Merikanto, I.; et al. Insomnia, anxiety, and depression during the COVID-19 pandemic: An international collaborative study. Sleep Med. 2021, 87, 38–45. [Google Scholar] [CrossRef]
- Gorgoni, M.; Scarpelli, S.; Mangiaruga, A.; Alfonsi, V.; Bonsignore, M.R.; Fanfulla, F.; Ferini-Strambi, L.; Nobili, L.; Plazzi, G.; De Gennaro, L.; et al. Pre-sleep arousal and sleep quality during the COVID-19 lockdown in Italy. Sleep Med. 2021, 88, 46–57. [Google Scholar] [CrossRef]
- Gorgoni, M.; Scarpelli, S.; Mangiaruga, A.; Alfonsi, V.; Bonsignore, M.R.; Fanfulla, F.; Ferini-Strambi, L.; Nobili, L.; Plazzi, G.; De Gennaro, L.; et al. Persistence of the Effects of the COVID-19 Lockdown on Sleep: A Longitudinal Study. Brain Sci. 2021, 11, 1520. [Google Scholar] [CrossRef]
- Salfi, F.; D’Atri, A.; Tempesta, D.; Ferrara, M. Sleeping under the waves: A longitudinal study across the contagion peaks of the COVID-19 pandemic in Italy. J. Sleep Res. 2021, 30, e13313. [Google Scholar] [CrossRef] [PubMed]
- Wood, J.M.; Bootzin, R.R.; Rosenhan, D.; Nolen-Hoesksema, F.; Jourden, F. Effects of the 1989 San Francisco earthquake on frequency and content of nightmares. J. Abnorm. Psychol. 1992, 101, 219–224. [Google Scholar] [CrossRef] [PubMed]
- David, D.; Mellman, T.A. Dreams following the hurricane Andrew. Dreaming 1997, 7, 209–214. [Google Scholar] [CrossRef]
- Hartmann, E.; Basile, R. Dream imagery becomes more intense after 9/11/01. Dreaming 2003, 13, 61–66. [Google Scholar] [CrossRef]
- Wang, H.; Xia, Q.; Xiong, Z.; Li, Z.; Xiang, W.; Yuan, Y.; Liu, Y.; Li, Z. The psychological distress and coping styles in the early stages of the 2019 coronavirus disease (COVID-19) epidemic in the general mainland Chinese population: A web-based survey. PLoS ONE 2020, 15, e0233410. [Google Scholar] [CrossRef]
- Schredl, M.; Bulkeley, K. Dreaming and the COVID-19 pandemic: A survey in a U.S. sample. Dreaming 2020, 30, 189–198. [Google Scholar] [CrossRef]
- Gorgoni, M.; Scarpelli, S.; Alfonsi, V.; Annarumma, L.; Cordone, S.; Stravolo, S.; De Gennaro, L. Pandemic dreams: Quantitative and qualitative features of the oneiric activity during the lockdown due to COVID-19 in Italy. Sleep Med. 2021, 81, 20–32. [Google Scholar] [CrossRef]
- Scarpelli, S.; Alfonsi, V.; Mangiaruga, A.; Musetti, A.; Quattropani, M.C.; Lenzo, V.; Freda, M.F.; Lemmo, D.; Vegni, E.; Borghi, L.; et al. Pandemic nightmares: Effects on dream activity of the COVID-19 lockdown in Italy. J. Sleep Res. 2021, 30, e13300. [Google Scholar] [CrossRef]
- Fränkl, E.; Scarpelli, S.; Nadorff, M.R.; Bjorvatn, B.; Bolstad, C.J.; Chan, N.Y.; Chung, F.; Dauvilliers, Y.; Espie, C.A.; Inoue, Y.; et al. How our Dreams Changed During the COVID-19 Pandemic: Effects and Correlates of Dream Recall Frequency—A Multinational Study on 19,355 Adults. Nat. Sci. Sleep. 2021, 13, 1573–1591. [Google Scholar] [CrossRef]
- Conte, F.; Rescott, M.L.; De Rosa, O.; Cellini, N.; Coppola, A.; Cerasuolo, M.; Malloggi, S.; Giganti, F.; Ficca, G. Changes in dream features across the first and second waves of the Covid-19 pandemic. J. Sleep Res. 2021, 22, e13425. [Google Scholar] [CrossRef]
- Iorio, I.; Sommantico, M.; Parrello, S. Dreaming in the time of COVID-19: A quali-quantitative Italian study. Dreaming 2020, 30, 199–215. [Google Scholar] [CrossRef]
- Barrett, D. Dreams about COVID-19 versus normative dreams: Trends by gender. Dreaming 2020, 30, 216–221. [Google Scholar] [CrossRef]
- MacKay, C.; DeCicco, T.L. Pandemic dreaming: The effect of COVID-19 on dream imagery, a pilot study. Dreaming 2020, 30, 222–234. [Google Scholar] [CrossRef]
- Pesonen, A.K.; Lipsanen, J.; Halonen, R.; Elovainio, M.; Sandman, N.; Mäkelä, J.M.; Antila, M.; Béchard, D.; Ollila, H.M.; Kuula, L. Pandemic dreams: Network analysis of dream content during the COVID-19 lockdown. Front. Psychol. 2020, 11, 2569. [Google Scholar] [CrossRef] [PubMed]
- Mota, N.B.; Weissheimer, J.; Ribeiro, M.; De Paiva, M.; Avilla-Souza, J.; Simabucuru, G.; Chaves, M.F.; Cecchi, L.; Cirne, J.; Cecchi, G.; et al. Dreaming during the Covid-19 pandemic: Computational assessment of dream reports reveals mental suffering related to fear of contagion. PLoS ONE 2020, 15, e0242903. [Google Scholar] [CrossRef] [PubMed]
- Kennedy, K.E.R.; Bastien, C.H.; Ruby, P.M.; Killgore, W.D.S.; Wills, C.C.A.; Grandner, M.A. Nightmare content during the COVID-19 pandemic: Influence of COVID-related stress and sleep disruption in the United States. J. Sleep Res. 2021, 31, e13439. [Google Scholar] [CrossRef]
- Kilius, E.; Abbas, N.H.; McKinnon, L.; Samson, D.R. Pandemic nightmares: COVID-19 lockdown associated with increased aggression in female university students’ dreams. Front. Psychol. 2021, 12, 644636. [Google Scholar] [CrossRef]
- Solomonova, E.; Picard-Deland, C.; Rapoport, I.L.; Pennestri, M.H.; Saad, M.; Kendzerska, T.; Veissiere, S.P.L.; Godbout, R.; Edwards, J.D.; Quilty, L.; et al. Stuck in a lockdown: Dreams, bad dreams, nightmares, and their relationship to stress, depression and anxiety during the COVID-19 pandemic. PLoS ONE 2021, 16, e0259040. [Google Scholar] [CrossRef]
- Scarpelli, S.; Alfonsi, V.; D’Anselmo, A.; Gorgoni, M.; Musetti, A.; Plazzi, G.; De Gennaro, L.; Franceschini, C. Dream activity in narcoleptic patients during the COVID-19 lockdown in Italy. Front. Psychol. 2021, 12, 1907. [Google Scholar] [CrossRef] [PubMed]
- Scarpelli, S.; Alfonsi, V.; Gorgoni, M.; Musetti, A.; Filosa, M.; Quattropani, M.C.; Lenzo, V.; Vegni, E.; Borghi, L.; Margherita, G.; et al. Dreams and Nightmares during the First and Second Wave of the COVID-19 Infection: A Longitudinal Study. Brain Sci. 2021, 11, 1375. [Google Scholar] [CrossRef]
- Scarpelli, S.; Gorgoni, M.; Alfonsi, V.; Annarumma, L.; Di Natale, V.; Pezza, E.; De Gennaro, L. The impact of the end of COVID confinement on pandemic dreams, as assessed by a weekly sleep diary: A longitudinal investigation in Italy. J. Sleep Res. 2021, 20, e13429. [Google Scholar] [CrossRef]
- Alfonsi, V.; Gorgoni, M.; Scarpelli, S.; Zivi, P.; Sdoia, S.; Mari, E.; Quaglieri, A.; Ferlazzo, F.; Giannini, A.M.; De Gennaro, L. Changes in sleep pattern and dream activity across and after the COVID-19 lockdown in Italy: A longitudinal observational study. J. Sleep Res. 2021, 31, e13500. [Google Scholar] [CrossRef] [PubMed]
- Scarpelli, S.; Nadorff, M.R.; Bjorvatn, B.; Chung, F.; Dauvilliers, Y.; Espie, C.A.; Inoue, Y.; Matsui, K.; Merikanto, I.; Morin, C.M.; et al. Nightmares in People with COVID-19: Did Coronavirus Infect Our Dreams? Nat. Sci. Sleep. 2022, 14, 93–108. [Google Scholar] [CrossRef] [PubMed]
- Faul, F.; Erdfelder, E.; Buchner, A.; Lang, A.-G. Statistical power analyses using G*Power 3.1: Tests for correlation and regression analyses. Behav. Res. Methods 2009, 41, 1149–1160. [Google Scholar] [CrossRef]
- Spielberger, C.D. State-Trait Anxiety Inventory: Bibliography, 2nd ed.; Consulting Psychologists Press: Palo Alto, CA, USA, 1989. [Google Scholar]
- Pedrabissi, L.; Santinello, M. Inventario per l’ansia di «Stato» e di «Tratto»: Nuova Versione Italiana dello STAI Forma Y: Manuale; Organizzazioni Speciali: Firenze, Italy, 1989. [Google Scholar]
- Beck, A.T.; Steer, R.A.; Brown, G.K. Manual for the Beck Depression Inventory II; Psychological Corporation: San Antonio, TX, USA, 1996. [Google Scholar]
- Ghisi, M.; Flebus, G.B.; Montano, A.; Sanavio, E.; Sica, C. Beck Depression Inventory, II, Italian Version; Editore Giunti OS: Firenze, Italy, 2006. [Google Scholar]
- Curcio, G.; Tempesta, D.; Scarlata, S.; Marzano, C.; Moroni, F.; Rossini, P.M.; Ferrara, M.; De Gennaro, L. Validity of the Italian version of the Pittsburgh sleep quality index (PSQI). Neurol. Sci. 2013, 34, 511–519. [Google Scholar] [CrossRef]
- Germain, A.; Hall, M.; Krakow, B.; Katherine Shear, M.; Bujsse, D.J. A brief sleep scale for posttraumatic stress disorder: Pittsburgh sleep quality index Addendum for PTSD. J. Anxiety Disord. 2005, 19, 233–244. [Google Scholar] [CrossRef]
- De Gennaro, L.; Ferrara, M.; Cristiani, R.; Curcio, G.; Martiradonna, V.; Bertini, M. Alexithymia and dream recall upon spontaneous morning awakening. Psychosom. Med. 2003, 65, 301–306. [Google Scholar] [CrossRef]
- De Gennaro, L.; Marzano, C.; Moroni, F.; Curcio, G.; Ferrara, M.; Cipolli, C. Recovery sleep after sleep deprivation almost completely abolishes dream recall. Behav. Brain Res. 2010, 206, 293–298. [Google Scholar] [CrossRef]
- De Gennaro, L.; Cipolli, C.; Cherubini, A.; Assogna, F.; Cacciari, C.; Marzano, C.; Curcio, G.; Ferrara, M.; Caltagirone, C.; Spalletta, G. Amygdala and hippocampus volumetry and diffusivity in relation to dreaming. Hum. Brain Mapp. 2011, 32, 1458–1470. [Google Scholar] [CrossRef]
- Scarpelli, S.; D’Atri, A.; Mangiaruga, A.; Marzano, C.; Gorgoni, M.; Schiappa, C.; Ferrara, M.; De Gennaro, L. Predicting dream recall: EEG activation during NREM sleep or shared mechanisms with wakefulness? Brain Topogr. 2017, 30, 629–638. [Google Scholar] [CrossRef]
- Scarpelli, S.; D’Atri, A.; Bartolacci, C.; Gorgoni, M.; Mangiarua, A.; Ferrara, M.; De Gennaro, L. Dream recall upon awakening from non-rapid eye movement sleep in older adults: Electrophysiological pattern and qualitative features. Brain Sci. 2020, 10, 343. [Google Scholar] [CrossRef]
- Nielsen, T. Variations in dream recall frequency and dream theme diversity by age and sex. Front. Neurol. 2012, 3, 106. [Google Scholar] [CrossRef]
- Cohen, D.B.; MacNeilage, P.F. A test of the salience hypothesis of dream recall. J. Consult. Clin. Psychol. 1974, 42, 699–703. [Google Scholar] [CrossRef]
- De Macêdo, T.C.F.; Ferreira, G.H.; de Almondes, K.M.; Kirov, R.; Mota-Rolim, S.A. My dream, my rules: Can lucid dreaming treat nightmares? Front. Psychol. 2019, 10, 2618. [Google Scholar] [CrossRef]
- Scarpelli, S.; Bartolacci, C.; D’Atri, A.; Gorgoni, M.; De Gennaro, L. The functional role of dreaming in emotional processes. Front. Psychol. 2019, 10, 459. [Google Scholar] [CrossRef]
- Schredl, M. Factors affecting the continuity between waking and dreaming: Emotional intensity and emotional tone of the waking-life event. Sleep Hypn. 2006, 8, 1–5. [Google Scholar]
- Domhoff, G.W. Finding Meanings in Dreams. A Quantitative Approach; Springer: New York, NY, USA, 1996. [Google Scholar] [CrossRef]
- Scarpelli, S.; Alfonsi, V.; Gorgoni, M.; Giannini, A.M.; De Gennaro, L. Investigation on neurobiological mechanisms of dreaming in the new decade. Brain Sci. 2021, 11, 220. [Google Scholar] [CrossRef]
- Eichenlaub, J.B.; Cash, S.; Blagrove, M. Daily Life Experiences in Dreams and Sleep-Dependent Memory Consolidation. In Cognitive Neuroscience of Memory Consolidation; Axmacher, N., Rasch, B., Eds.; Springer International Publishing: Cham, Switzerland, 2017; pp. 161–172. [Google Scholar]
- Nielsen, T.; Stenstrom, P. What are the memory sources of dreaming? Nature 2005, 437, 1286–1289. [Google Scholar] [CrossRef]
- Malinowski, J.E.; Horton, C.L. Metaphor and hyperassociativity: The imagination mechanisms behind emotion assimilation in sleep and dreaming. Front. Psychol. 2015, 6, 1132. [Google Scholar] [CrossRef]
- Van Rijn, E.; Eichenlaub, J.B.; Lewis, P.A.; Walker, M.P.; Gaskell, M.G.; Malinowski, J.E.; Balgrove, M. The dream-lag effect: Selective processing of personally significant events during Rapid Eye Movement sleep, but not during Slow Wave Sleep. Neurobiol. Learn. Mem. 2015, 122, 98–109. [Google Scholar] [CrossRef]
- Schredl, M.; Gilles, M.; Wolf, I.; Peus, V.; Scharnholz, B.; Sutterlin, M.; Bardtke, S.; Send, T.S.; Samaras, A.; Deuschle, M. Nightmares and Stress: A Longitudinal Study. J. Clin. Sleep Med. 2019, 15, 1209–1215. [Google Scholar] [CrossRef]
- Nielsen, T. The Stress Acceleration Hypothesis of Nightmares. Front. Neurol. 2017, 8, 201. [Google Scholar] [CrossRef]
- Kimhi, S.; Eshel, Y.; Marciano, H.; Adini, B. A Renewed Outbreak of the COVID-19 Pandemic: A Longitudinal Study of Distress, Resilience, and Subjective Well-Being. Int. J. Environ. Res. Public Health 2020, 17, 7743. [Google Scholar] [CrossRef]
- Borghi, L.; Bonazza, F.; Lamiani, G.; Musetti, A.; Manari, T.; Filosa, M.; Quattropani, M.C.; Lenzo, V.; Freda, M.F.; Lemmo, D.; et al. Dreaming during lockdown: A quali-quantitative analysis of the Italian population dreams during the first COVID-19 pandemic wave. Res. Psychother. Psychopathol. Process Outcome 2021, 24, 200–211. [Google Scholar] [CrossRef]
- Wang, C.; Pan, R.; Wan, X.; Tan, Y.; Xu, L.; McIntyre, R.S.; Choo, F.N.; Tran, B.; Ho, R.; Sharma, V.K.; et al. A longitudinal study on the mental health of general population during the COVID-19 epidemic in China. Brain Behav. Immun. 2020, 87, 40–48. [Google Scholar] [CrossRef]
- Daly, M.; Sutin, A.; Robinson, E. Longitudinal changes in mental health and the COVID-19 pandemic: Evidence from the UK Household Longitudinal Study. Psychol. Med. 2020, 1–10. [Google Scholar] [CrossRef]
- Pieh, C.; Budimir, S.; Humer, E.; Probst, T. Comparing Mental Health during the COVID-19 Lockdown and 6 Months after the Lockdown in Austria: A Longitudinal Study. Front. Psychiatry 2021, 12, 625973. [Google Scholar] [CrossRef]
- Schredl, M.; Göritz, A.S. Social Media, Dreaming, and Personality: An Online Study. Cyberpsychol. Behav. Soc. Netw. 2019, 22, 657–661. [Google Scholar] [CrossRef]
- Bayleyegn, T.; Wolkin, A.; Oberst, K.; Young, S.; Sanchez, C.; Phelps, A.; Schulte, J.; Rubin, C.; Batts, D. Rapid assessment of the needs and health status in Santa Rosa and Escambia counties, Florida, after Hurricane Ivan, September 2004. Disaster Manag. Response 2006, 4, 12–18. [Google Scholar] [CrossRef] [PubMed]
- Varela, E.; Koustouki, V.; Davos, C.H.; Eleni, K. Psychological consequences among adults following the 1999 earthquake in Athens, Greece. Disasters 2008, 32, 280–291. [Google Scholar] [CrossRef] [PubMed]
- Qu, Z.; Wang, X.; Tian, D.; Zhao, Y.; Zhang, Q.; He, H.; Zhang, X.; Xu, F.; Guo, S. Posttraumatic stress disorder and depression among new mothers at 8 months later of the 2008 Sichuan earthquake in China. Arch. Wom. Ment. Health 2012, 15, 49–55. [Google Scholar] [CrossRef] [PubMed]
- Alderman, K.; Turner, L.R.; Tong, S. Assessment of the health impacts of the 2011 summer floods in Brisbane. Disaster Med. Public Health Prep. 2013, 7, 380–386. [Google Scholar] [CrossRef]
- Tempesta, D.; Curcio, G.; De Gennaro, L.; Ferrara, M. Long-term impact of earthquakes on sleep quality. PLoS ONE 2013, 8, e55936. [Google Scholar] [CrossRef]
- Leopold, R.L.; Dillon, H. Psycho-anatomy of a disaster: A long term study of posttraumatic neuroses in survivors of a marine explosion. Am. J. Psychiatry 1963, 119, 913–921. [Google Scholar] [CrossRef]
- Archibald, H.C.; Long, D.M.; Miller, C.; Tuddenham, R.D. Gross stress reaction in combat—A 15 year follow-up. Am. J. Psychiatry 1962, 119, 317–322. [Google Scholar] [CrossRef]
- Applewhite, L.; Keller, N.; Borah, A. Mental health care use by soldiers conducting counterinsurgency operations. Mil. Med. 2012, 177, 501–506. [Google Scholar] [CrossRef][Green Version]
- Wang, S.J.; Rushiti, F.; Sejdiu, X.; Pacolli, S.; Gashi, B.; Salihu, F.; Modvig, J. Survivors of war in northern Kosovo (III): The role of anger and hatred in pain and PTSD and their interactive effects on career outcome, quality of sleep and suicide ideation. Confl. Health 2012, 30, 4. [Google Scholar] [CrossRef]
- Casagrande, M.; Favieri, F.; Tambelli, R. The enemy who sealed the world: Effects quarantine due to the COVID-19 on sleep quality, anxiety, and psychological distress in the Italian population. Sleep Med. 2020, 75, 12–20. [Google Scholar] [CrossRef]
- Schredl, M.; Reinhard, I. Gender differences in dream recall: A meta-analysis. J. Sleep Res. 2008, 17, 125–131. [Google Scholar] [CrossRef] [PubMed]
- Schredl, M. Explaining the gender difference in dream recall frequency. Dreaming 2010, 20, 96–106. [Google Scholar] [CrossRef]
- Zhang, B.; Wing, Y.K. Sex differences in insomnia: A meta-analysis. Sleep 2006, 29, 85–93. [Google Scholar] [CrossRef] [PubMed]
- Bradley, M.M.; Codispoti, M.; Sabatinelli, D.; Lang, P.J. Emotion and motivation II: Sex differences in picture processing. Emotion 2001, 1, 300–319. [Google Scholar] [CrossRef]
- Lithari, C.; Frantzidis, C.A.; Papadelis, C.; Vivas, A.B.; Klados, M.A.; Kourtidou-Papadeli, C.; Pappas, C.; Ioannides, A.A.; Bamidis, P.D. Are females more responsive to emotional stimuli? A neurophysiological study across arousal and valence dimensions. Brain Topogr. 2010, 23, 27–40. [Google Scholar] [CrossRef]
- Stevens, J.S.; Hamann, S. Sex differences in brain activation to emotional stimuli: A meta-analysis of neuroimaging studies. Neuropsychologia 2012, 50, 1578–1593. [Google Scholar] [CrossRef]
- Lenzo, V.; Sardella, A.; Musetti, A.; Freda, M.F.; Lemmo, D.; Vegni, E.; Borghi, L.; Plazzi, G.; Palagini, L.; Castelnuovo, G.; et al. The Relationship Between Resilience and Sleep Quality During the Second Wave of the COVID-19 Pandemic: A Longitudinal Study. Nat. Sci. Sleep 2022, 14, 41–51. [Google Scholar] [CrossRef]



| Dream Contents | |
|---|---|
| 1. Being chased or pursued, but not physically injured | 32. Fire |
| 2. Being injured | 33. A person now dead as alive |
| 3. Being physically attacked (beaten, stabbed, raped, etc.) | 34. A person now alive as dead |
| 4. Trying again and again to do something | 35. Failing an examination |
| 5. Being frozen with fright | 36. Suffocation, breathing problems |
| 6. Food, eating | 37. Feral and violent animal |
| 7. Arriving too late, e.g., missing a train | 38. Pandemic/epidemic |
| 8. Swimming | 39. Being at a movie/cartoon/videogame/comic book |
| 9. Being isolated/locked up/shut down | 40. Killing someone |
| 10. Pets | 41. Lunatics or insane |
| 11. Money | 42. Being half awake and paralyzed in bed |
| 12. Flying or soaring through the air | 43. Seeing a face very close to you |
| 13. Falling or being on the verge of falling | 44. Seeing and UFO or an extra-terrestrial |
| 14. Being inappropriately dressed | 45. Being an animal |
| 15. Being nude | 46. Being a child again |
| 16. Being tired, unable to move | 47. Seeing an angel or encountering God in some form |
| 17. Being infected by a virus | 48. Discovering a new room at home |
| 18. Having superior knowledge, superpowers or magic abilities | 49. Airplane crash |
| 19. Seeing him/herself in the mirror | 50. Someone having an abortion |
| 20. Natural disasters (earthquakes, floods, tornados…) | 51. Being sick |
| 21. Insects, spiders or snakes | 52. Being close to some sick |
| 22. Being a member of the opposite sex | 53. Zombies |
| 23. Being an object (e.g., tree or rock) | 54. Dictatorship |
| 24. Encountering a kind of evil force, monsters or demon | 55. Being betrayed |
| 25. Your teeth falling out/losing your teeth | 56. Being at the workplace |
| 26. Being killed or seeing yourself as dead | 57. Loved ones (family, friends) |
| 27. Vividly sensing, but not necessarily seeing or hearing, a presence in the room | 58. Being in crowded places (restaurants, clubs, concerts…) |
| 28. Being unable to find, or embarrassed about using a toilet | 59. War |
| 29. School, teachers, studying | 60. Travelling |
| 30. Sexual experiences | 61. Social media interactions (video calls, chats, …) |
| 31. Losing control of a vehicle | 62. Be possessed |
| Overall Sample (n = 108) | ||
|---|---|---|
| N | % | |
| Gender | ||
| Male | 25 | 23.15 |
| Female | 83 | 76.85 |
| Age (Mean ± SE: 32.12 ± 1.29 years; range: 18–88) | ||
| 18–24 | 42 | 38.89 |
| 25–29 | 22 | 20.37 |
| 30–39 | 22 | 20.37 |
| >40 | 22 | 20.37 |
| Education | ||
| Middle school | 1 | 0.93 |
| High school | 33 | 30.55 |
| Undergraduate/Graduate | 56 | 51.85 |
| Post-graduate | 18 | 16.67 |
| Occupation | ||
| Student | 47 | 43.52 |
| Employed/Self-employed | 47 | 43.52 |
| Unemployed | 9 | 8.33 |
| House husband/wife | 3 | 2.78 |
| Retired | 2 | 1.85 |
| Italian area | ||
| North | 14 | 12.96 |
| Center | 67 | 62.04 |
| South | 27 | 25.00 |
| Total Lockdown (TL) | Post-Lockdown (PL) | p | |||
|---|---|---|---|---|---|
| N | % | N | % | ||
| COVID-19 related features | |||||
| COVID-19 exposure at the workplace | 0.19 | ||||
| Not employed | 31 | 28.71 | 29 | 26.85 | |
| Not Exposed | 56 | 51.85 | 51 | 47.22 | |
| Exposed | 21 | 19.44 | 28 | 25.93 | |
| Cohabitation | 1.00 | ||||
| Alone | 15 | 13.89 | 14 | 12.96 | |
| With others | 93 | 86.11 | 94 | 87.04 | |
| Knowing a relative/friend infected by COVID-19 | 0.33 | ||||
| Yes | 16 | 14.81 | 21 | 19.44 | |
| No | 92 | 85.19 | 87 | 80.56 | |
| Forced quarantine for suspected COVID-19 infection | 1.00 | ||||
| Yes | 12 | 11.11 | 11 | 10.18 | |
| No | 96 | 88.89 | 97 | 89.81 | |
| Sleep and clinical features | |||||
| PSQI Global a | 0.60 | ||||
| PSQI ≤ 5 | 51 | 47.66 | 55 | 50.93 | |
| PSQI > 5 | 56 | 52.34 | 53 | 49.07 | |
| PSQI-A a | * 0.001 | ||||
| PSQI-A ≤ 3 | 38 | 35.51 | 56 | 51.85 | |
| PSQI-A > 3 | 69 | 64.48 | 52 | 48.16 | |
| STAI-I | 0.54 | ||||
| STAI-I ≤ 39 | 35 | 32.41 | 39 | 36.11 | |
| STAI-I > 39 | 73 | 67.59 | 69 | 63.89 | |
| STAI-II | 0.38 | ||||
| STAI-II ≤ 39 | 33 | 30.56 | 38 | 35.18 | |
| STAI-II > 39 | 75 | 69.44 | 70 | 64.82 | |
| BDI | 1.00 | ||||
| BDI ≤ 13 | 72 | 66.67 | 72 | 66.67 | |
| BDI > 13 | 36 | 33.33 | 36 | 33.33 | |
| Total Lockdown (TL) Mean ± SE | Post-Lockdown (PL) Mean ± SE | t107 | p | |
|---|---|---|---|---|
| Time with digital media (h/d) | 7.81 ± 0.29 | 7.03 ± 0.29 | −2.77 | 0.007 * |
| STAI-I | 46.45 ± 1.15 | 46.19 ± 1.30 | −0.24 | 0.81 |
| STAI-II | 44.86 ± 1.11 | 44.81 ± 1.11 | −0.06 | 0.95 |
| BDI | 11.94 ± 0.85 | 11.33 ± 0.92 | −0.72 | 0.47 |
| PSQI Global score | 6.58 ± 0.33 | 6.04 ± 0.33 | −1.76 | 0.08 |
| PSQI C1 Sleep quality | 1.25 ± 0.07 | 1.17 ± 0.06 | −1.13 | 0.26 |
| PSQI C2 Sleep latency | 1.34 ± 0.10 | 0.95 ± 0.08 | −4.09 | <0.001 * |
| PSQI C3 Sleep duration | 0.79 ± 0.08 | 0.91 ± 0.09 | 1.40 | 0.16 |
| PSQI C4 Habitual Sleep Efficiency | 0.76 ± 0.09 | 0.61 ± 0.09 | −1.66 | 0.10 |
| PSQI C5 Sleep disturbance | 1.27 ± 0.06 | 1.21 ± 0.05 | −1.35 | 0.18 |
| PSQI C6 Sleeping Medication | 0.22 ± 0.07 | 0.22 ± 0.07 | 0.00 | 1.00 |
| PSQI C7 Daytime dysfunctions | 0.94 ± 0.07 | 0.97 ± 0.07 | 0.38 | 0.71 |
| PSQI-A | 5.63 ± 0.37 | 3.96 ± 0.31 | −5.68 | <0.001 * |
| Being Frozen with Fright | Being Isolated/ Locked Up/ Shut Down | Being Half Awake and Paralyzed in Bed | Loved Ones | Being in Crowded Places | War | Traveling | |
|---|---|---|---|---|---|---|---|
| TL (%) | 32.41 | 28.70 | 25.00 | 91.67 | 49.07 | 17.59 | 48.15 |
| PL (%) | 22.22 | 17.59 | 12.04 | 77.78 | 35.19 | 7.41 | 32.41 |
| Change (%) | −10.19 | −11.11 | −12.96 | −13.89 | −13.88 | −10.18 | −15.74 |
| Appearance at PL (n) | 7 | 7 | 4 | 3 | 14 | 2 | 11 |
| Unchanged (n) | 83 | 82 | 86 | 87 | 65 | 93 | 69 |
| Disappearance at PL (n) | 18 | 19 | 18 | 18 | 29 | 13 | 28 |
| McNemar (p) | 0.04 | 0.03 | 0.004 | 0.001 | 0.03 | 0.007 | 0.01 |
Publisher’s Note: MDPI stays neutral with regard to jurisdictional claims in published maps and institutional affiliations. |
© 2022 by the authors. Licensee MDPI, Basel, Switzerland. This article is an open access article distributed under the terms and conditions of the Creative Commons Attribution (CC BY) license (https://creativecommons.org/licenses/by/4.0/).
Share and Cite
Gorgoni, M.; Scarpelli, S.; Alfonsi, V.; Annarumma, L.; Pellegrini, E.; Fasiello, E.; Cordone, S.; D’Atri, A.; Salfi, F.; Amicucci, G.; et al. The Oneiric Activity during and after the COVID-19 Total Lockdown in Italy: A Longitudinal Study. Int. J. Environ. Res. Public Health 2022, 19, 3857. https://doi.org/10.3390/ijerph19073857
Gorgoni M, Scarpelli S, Alfonsi V, Annarumma L, Pellegrini E, Fasiello E, Cordone S, D’Atri A, Salfi F, Amicucci G, et al. The Oneiric Activity during and after the COVID-19 Total Lockdown in Italy: A Longitudinal Study. International Journal of Environmental Research and Public Health. 2022; 19(7):3857. https://doi.org/10.3390/ijerph19073857
Chicago/Turabian StyleGorgoni, Maurizio, Serena Scarpelli, Valentina Alfonsi, Ludovica Annarumma, Elisa Pellegrini, Elisabetta Fasiello, Susanna Cordone, Aurora D’Atri, Federico Salfi, Giulia Amicucci, and et al. 2022. "The Oneiric Activity during and after the COVID-19 Total Lockdown in Italy: A Longitudinal Study" International Journal of Environmental Research and Public Health 19, no. 7: 3857. https://doi.org/10.3390/ijerph19073857
APA StyleGorgoni, M., Scarpelli, S., Alfonsi, V., Annarumma, L., Pellegrini, E., Fasiello, E., Cordone, S., D’Atri, A., Salfi, F., Amicucci, G., Ferrara, M., Pazzaglia, M., & De Gennaro, L. (2022). The Oneiric Activity during and after the COVID-19 Total Lockdown in Italy: A Longitudinal Study. International Journal of Environmental Research and Public Health, 19(7), 3857. https://doi.org/10.3390/ijerph19073857

