Online Public Rumor Engagement Model and Intervention Strategy in Major Public Health Emergencies: From the Perspective of Social Psychological Stress
Abstract
:1. Introduction
2. Related Work
2.1. Public Rumor Engagement and Intervention
2.2. Epidemic Model under Major Public Health Emergencies
3. Theoretical Model
3.1. Analysis of Interactive Infection Process of Multiple Public Rumor Engagers
3.2. Construction of Interactive Infection Model of Multiple Public Rumor Engagers under Intervention
4. Empirical Case and Numerical Simulations
4.1. Data and Empirical Sample
4.2. Simulation Model Initialization Setting
4.3. Numerical Simulation of Rumor Intervention Mode
4.4. Analysis of the Effect of Rumor Intervention
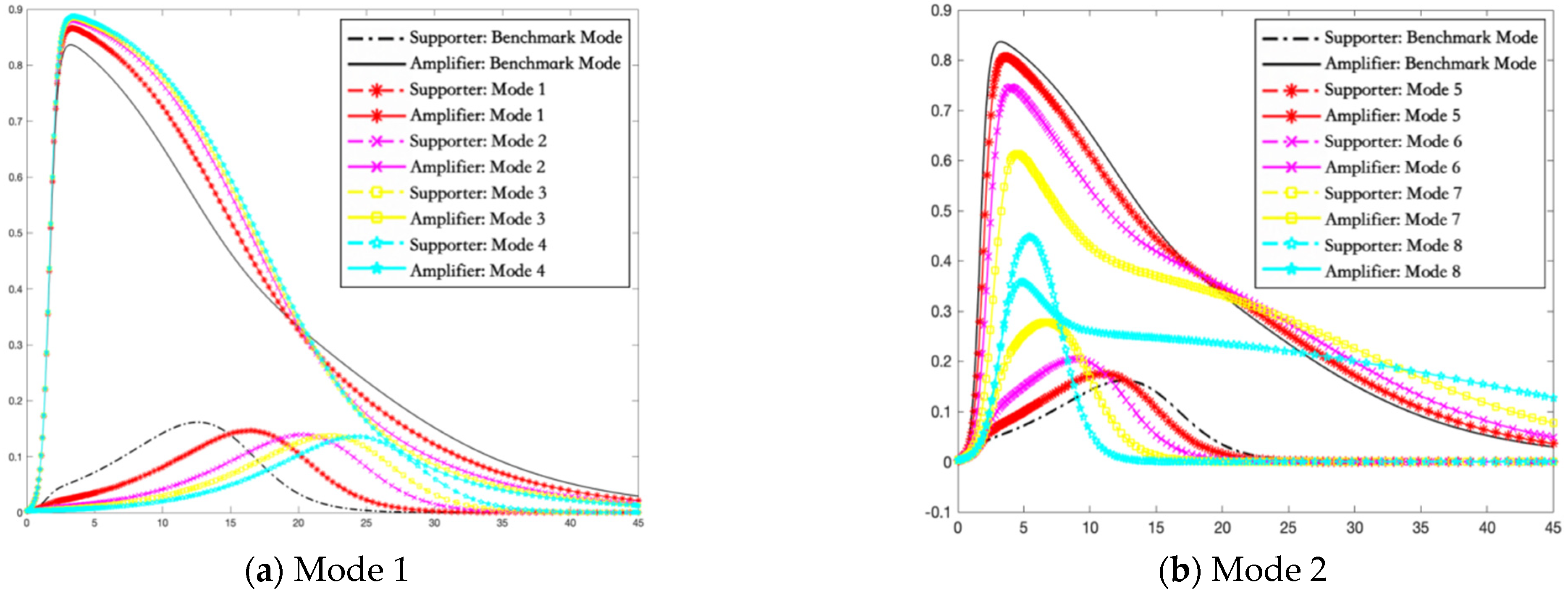
4.4.1. The Influence of the Rumor Intervention Strategy during the Social Psychological Alarm Reaction Period
4.4.2. The Influence of the Rumor Intervention Strategy during the Social Psychological Resistance Period
4.4.3. The Influence of the Rumor Intervention Strategy during the Social Psychological Exhaustion Period
5. Conclusions
6. Discussion and Future Directions
6.1. Theoretical Contributions
6.2. Suggestions for the Healthy Development of Social Media Platforms during Major Public Health Crisis
6.3. Limitations and Future Work
Author Contributions
Funding
Institutional Review Board Statement
Informed Consent Statement
Data Availability Statement
Acknowledgments
Conflicts of Interest
Appendix A. Details of Model Analysis: Equilibria and Stability Analysis
References
- Garfin, D.R.; Silver, R.C.; Holman, E.A. The novel coronavirus (COVID-2019) outbreak: Amplification of public health consequences by media exposure. Health Psychol. 2020, 39, 355–357. [Google Scholar] [CrossRef] [PubMed]
- Lienemann, B.A.; Siegel, J.T. State psychological reactance to depression public service announcements among people with varying levels of depressive symptomatology. Health Commun. 2015, 31, 102–116. [Google Scholar] [CrossRef]
- Phuong, V.T.; Hadzialic, S. Media ethics within the fake news challenges during the Covid-19 pandemic. Stud. I Anal. Nau. Polit. 2020, 2, 33–46. [Google Scholar]
- Hadzialic, S.; Phuong, V.I. Education of the media: Media ethics within the frame of social media. Glob. Bus. Manag. Res. Int. J. 2020, 9, 35–49. [Google Scholar]
- Swire-Thompson, B.; DeGutis, J.; Lazer, D. Searching for the backfire effect: Measurement and design considerations. J. Appl. Res. Mem. Cogn. 2020, 9, 286–299. [Google Scholar] [CrossRef]
- Oh, O.; Agrawal, M.; Rao, H.R. Community intelligence and social media services: A rumor theoretic analysis of tweets during social crises. MIS Q. 2013, 37, 407–426. [Google Scholar] [CrossRef]
- Slater, M.; Wilbur, S. A framework for immersive virtual environments (FIVE): Speculations on the role of presence in virtual environments. Presence-Teleop. Virt. 1997, 6, 603–616. [Google Scholar] [CrossRef]
- Vaast, E.; Safadi, H.; Lapointe, L.; Negoita, B. Social media affordances for connective action: An examination of microblogging use during the Gulf of Mexico oil spill. MIS Q. 2017, 41, 1179–1205. [Google Scholar] [CrossRef]
- Jiang, S.; Zhang, H.; Qi, J.; Fang, B.; Xu, T. Perceiving social-emotional volatility and triggered causes of COVID-19. Int. J. Environ. Res. Public Health 2021, 18, 4591. [Google Scholar] [CrossRef] [PubMed]
- Pakpour, A.H.; Griffiths, M.D.; Lin, C.Y. Assessing psychological response to the COVID-19: The fear of COVID-19 scale and the COVID Stress Scales. Int. J. Ment. Health Addict. 2020, 19, 1–4. [Google Scholar] [CrossRef] [PubMed]
- Staszkiewicz, P.; Chomiak-Orsa, I.; Staszkiewicz, I. Dynamics of the COVID-19 contagion and mortality: Country factors, social media, and market response evidence from a global panel analysis. IEEE Access 2020, 99, 1. [Google Scholar] [CrossRef]
- Tian, S.H.; Sun, M.Q.; Zhang, J.Y.; Management, S.O. Research on the emotion evolution of network public opinion based on improved sir model. Inf. Sci. 2019, 37, 52–64. [Google Scholar]
- Li, Q.; Du, Y.; Li, Z.; Hu, J.; Hu, R.; Lv, B.; Jia, P. HK–SEIR model of public opinion evolution based on communication factors. Eng. Appl. Artif. Intel. 2021, 100, 104192. [Google Scholar] [CrossRef]
- Zan, Y.L. DSIR double-rumors spreading model in complex networks. Chaos Solitons Fractals 2018, 110, 191–202. [Google Scholar] [CrossRef]
- Wang, J.; Zhao, L.; Huang, R. 2SI2R rumor spreading model in homogeneous networks. Phys. A 2014, 413, 153–161. [Google Scholar] [CrossRef]
- Son, J.; Lee, H.K.; Jin, S.S.; Woo, J. How do multiple topics in terse tweets affect retweeting? Evidence from the 2013 Colorado Floods. In Proceedings of the Twenty-Third Americas Conference on Information Systems, Boston, MA, USA, 10–12 August 2017; ACIS Press: Boston, MA, USA, 2017; pp. 1–10. [Google Scholar]
- Wei, Z.A.; Meng, W.A.; Ycz, B. Does government information release really matter in regulating contagion-evolution of negative emotion during public emergencies? From the perspective of cognitive big data analytics. Int. J. Inf. Manag. 2020, 50, 498–514. [Google Scholar]
- He, Z. Research on rapidly dispelling rumors of post-disaster rumors spread in social media era—Taking Jiuzhaigou earthquake as an example. New Media Soc. 2018, 2, 24–46. [Google Scholar]
- Wang, G.; Wang, Y.; Liu, K.; Li, J. Multidimensional influencing factors of public opinion information dissemination in social media: Evidence from Weibo dataset. Int. J. Mod. Phys. B 2019, 33, 1950375. [Google Scholar] [CrossRef]
- Medina, L.M.; Rodriguez, J.R.; Sarmiento, P.J.D. Shaping public opinion through the lens of agenda setting in rolling out COVID-19 vaccination program. J. Public Health 2021, 43, e389–e390. [Google Scholar] [CrossRef]
- Pancer, E.; Chandler, V.; Poole, M.; Noseworthy, T.J. How readability shapes social media engagement. J. Consum. Psychol. 2019, 29, 262–270. [Google Scholar] [CrossRef]
- Seo, Y.; Li, X.; Choi, Y.K.; Yoon, S. Narrative transportation and paratextual features of social media in viral advertising. J. Advert. 2018, 47, 83–95. [Google Scholar] [CrossRef]
- Zhang, Y.; Chen, J.; Liu, B.; Yang, Y.; Li, H.; Zheng, X.; Xiong, N. Covid-19 public opinion and emotion monitoring system based on time series thermal new word mining. Comput. Mater. Contin. 2020, 64, 1415–1434. [Google Scholar] [CrossRef]
- Valentino, N.A.; Wayne, C.; Oceno, M. Mobilizing sexism: The interaction of emotion and gender attitudes in the 2016 US presidential election. Public Opin. Quart. 2018, 82, 799–821. [Google Scholar] [CrossRef] [Green Version]
- Seaton, K.; Wu, H.D. Making war and peace with emotion: Examining the Iraq and Iran cases via presidential speech and media coverage. Int. Polit. Sci. Rev. 2021, 22, 0192512120982498. [Google Scholar] [CrossRef]
- Williams, A. Public Opinion Polls and Audience Understanding: Exploring the Relationships between Interactivity and Political Engagement; Social Science Electronic Publishing: Rochester, NY, USA, 2011. [Google Scholar]
- Marshall-Giles, J. Gender differences in public opinion and political engagement in Western Canada. In The West in Canada Project; Canada West Foundation: Calgary, AB, Canada, 2008; pp. 1–10. [Google Scholar]
- De Vries, L.; Peluso, A.M.; Romani, S.; Leeflang, P.S.; Marcati, A. Explaining consumer brand-related activities on social media: An investigation of the different roles of self-expression and socializing motivations. Comput. Hum. Behav. 2017, 75, 272–282. [Google Scholar] [CrossRef] [Green Version]
- Fu, P.W.; Wu, C.C.; Cho, Y.J. What makes users share content on Facebook? Compatibility among psychological incentive, social capital focus, and content type. Comput. Hum. Behav. 2017, 67, 23–32. [Google Scholar] [CrossRef]
- Junfeng, G. Analysis of the Participation Motivation of Information Audience in the Network Public Opinion Events. Libr. Inf. Serv. 2016, 60, 91. [Google Scholar]
- Terán, L.; Yirgu, K. Estimating public opinions using Twitter data: The case of the 2018 Ecuadorian national referendum and constitutional reforms. In Proceedings of the 2019 Sixth International Conference on eDemocracy & eGovernment (ICEDEG), Quito, Ecuador, 24–26 April 2019; pp. 128–136. [Google Scholar]
- Zgueb, Y.; Bourgou, S.; Neffeti, A.; Amamou, B.; Masmoudi, J.; Chebbi, H.; Bouasker, A. Psychological crisis intervention response to the COVID-19 pandemic: A Tunisian centralised Protocol. Psychiatry Res. 2020, 289, 113042. [Google Scholar] [CrossRef]
- Bassi, M.; Negri, L.; Delle Fave, A.; Accardi, R. The relationship between post-traumatic stress and positive mental health symptoms among health workers during COVID-19 pandemic in Lombardy, Italy. J. Affect. Disord. 2021, 280, 1–6. [Google Scholar] [CrossRef]
- Magnavita, N.; Di Prinzio, R.R.; Chirico, F.; Sacco, A.; Quintavalle, G. COVID-19 and staff mental health: Is there an evidence? An Italian field study. Eur. J. Public Health 2020, 30, 165–565. [Google Scholar] [CrossRef]
- Renjun, G.; Ziyun, L.; Xiwu, Y.; Wei, W.; Yihuang, G.; Chunbing, Z.; Zhiguang, S. Psychological intervention on COVID-19: A protocol for systematic review and meta-analysis. Medicine 2020, 99, e20335. [Google Scholar] [CrossRef]
- Liao, J.Q.; Fielding, R. Uncertain news: Trust and preventive practices in respiratory infectious diseases. Eur. Psychol. 2014, 19, 4. [Google Scholar] [CrossRef]
- Liu, Y.; Diao, S.M.; Zhu, Y.X.; Liu, Q. SHIR competitive information diffusion model for online social media. Phys. A 2016, 461, 543–553. [Google Scholar] [CrossRef]
- Zhang, Y.; Zhu, J. Stability analysis of I2S2R rumor spreading model in complex networks. Phys. A 2018, 503, 862–881. [Google Scholar] [CrossRef]
- Zhiying, W.; Weikang, W.; Chaolong, Y. Model and Simulation of Interactive Dissemination of Multiple Public Opinion Information under Government Intervention. J. Syst. Simul. 2020, 32, 956–966. [Google Scholar]
- Baidu Index. Available online: https://index.baidu.com/v2/index.html#/ (accessed on 25 February 2020).
- Zhi, Z. Resolution and coordination of universities’ ability of public opinions guidance in the age of mobile media. J. High. Educ. 2017, 10, 6–11. [Google Scholar]
- Lin, A.; Bing, K. New pattern construction of network platform and guidance of public opinion. New Media Soc. 2017, 4, 87–98. [Google Scholar]
- Tan, S.; Yang, L.; Sun, H.; Guan, Z.; He, X. Interpreting the public sentiment variations on Twitter. IEEE Trans. Knowl. Data Eng. 2014, 26, 1158–1170. [Google Scholar]
- Asmundson, G.J.G.; Taylor, S. How health anxiety influences responses to viral outbreaks like COVID-19: What all decisionmakers, health authorities, and health care professionals need to know. J. Anxiety Disord. 2020, 71, 102211. [Google Scholar] [CrossRef] [PubMed]
- Moss, L.; Shaw, M.; Piper, I.; Hawthorne, C.; Kinsella, J. Sharing of big data in healthcare: Public opinion, trust, and privacy considerations for health informatics researchers. Health Inf. 2017, 10, 463–468. [Google Scholar]
- Mu, J.; Thomas, E.; Qi, J.; Tan, Y. Online group influence and digital product consumption. J. Acad. Mark. Sci. 2018, 46, 1–27. [Google Scholar] [CrossRef]
- Samsuzzoha, M.; Singh, M.; Lucy, D. Parameter estimation of influenza epidemic model. Appl. Math. Comput. 2013, 220, 616–629. [Google Scholar] [CrossRef]
- Arino, J.; Brauer, F.; Van den Driessche, P.; Watmough, J.; Wu, J. A final size relation for epidemic models. Math. Biosci. Eng. 2007, 4, 159. [Google Scholar] [PubMed]
- Van den Driessche, P.; Watmough, J. Reproduction numbers and sub-threshold endemic equilibria for compartmental models of disease transmission. Math. Biosci. 2002, 180, 29–48. [Google Scholar] [CrossRef]







| Advocates | Supporters | Amplifiers | |
|---|---|---|---|
| Actions in rumor engagement | Initiate collective engagement activities; Stimulate the interest of supporters and amplifiers; Lead content creation and rumors output. | After being awakened by the advocates, follow up and support the activities of the advocates in the rumor engagement action in time; Process the unconfirmed content materials provided by the advocates and engage in content creation and rumors output. | Spread the unconfirmed content created by advocates and supporters but do not create any new rumors; Scale-up and maintain over time the momentum of rumor engagement activities. |
| Scale | Relatively less | Less | Many |
| Frequency and intensity of social media use | Heavy users | Moderate users | Moderate users |
| Patterns of feature use | All key features (such as posting, commenting, sharing, liking, tagging, etc.) | All key features, especially sharing and tagging | Only sharing feature |
| Infection effect | With strong emotional penetration, high topic sensitivity, and strong attraction of published content, it is easy to attract the general attention of the public opinion field. | Strong emotional penetration, high topic sensitivity, strong attraction of published content, and easy to attract the attention of other users. | Only spread, no creation, weak emotional penetration, weak topic sensitivity, and received the least attention alone. |
| Reciprocal interdependence among roles | Advocates initiate, guide, and rekindle the rumor engagement; Supporters qualify the public rumor engagement; amplifiers scale the rumor engagement by further circulating others’ unconfirmed content and sustaining the momentum. | ||
| Parameter | Psychosocial Stress Stage | Parameter Meaning |
|---|---|---|
| Social psychological alarm reaction | The transmission probability from ignorant to supporter | |
| Social psychological alarm reaction | The transmission probability from ignorant to amplifier | |
| Social psychological resistance | The transmission probability from supporter to immune 1 due to contacts | |
| Social psychological resistance | The transmission probability from amplifier to immune 2 due to contacts | |
| Social psychological resistance | The transfer rate from supporter to immune 1 due to forgetting mechanism | |
| Social psychological resistance | The transfer rate from amplifier to immune 2 due to forgetting mechanism | |
| Social psychological resistance | The transmission probability from amplifier to supporter | |
| Social psychological exhaustion | The transmission probability from immune 2 to supporter | |
| Social psychological alarm reaction | During the transmission of ignorant to supporter, a certain interven-tion role is applied to hinder the generation of supporter | |
| Social psychological alarm reaction | During the transmission of ignorant to amplifier, a certain interven-tion role is applied to hinder the generation of amplifier | |
| Social psychological resistance | During the transmission of supporter to immune 1, a certain inter-vention role is applied to promote the disappearance of supporter | |
| Social psychological resistance | During the transmission of amplifier to immune 2, a certain interven-tion role is applied to promote the disappearance of amplifier | |
| Social psychological resistance | During the transmission of amplifier to supporter, a certain intervention role is applied to hinder the generation of supporter | |
| Social psychological exhaustion | During the transmission of immune 2 to supporter, a certain inter-vention role is applied to hinder the generation of secondary supporter |
| Role | Number of People | Number of Original Messages | Number of Original Mentions | Number of Original Topics | Number of Original External Links |
|---|---|---|---|---|---|
| Advocate | 10,403 | 34.571 | 0.305 | 1.022 | 1.079 |
| Supporter | 65,600 | 1.733 | 0.193 | 0.482 | 0.497 |
| Amplifier | 118,180 | 0.000 | 0.000 | 0.000 | 0.000 |
| Mode | Scenario | Adjustable Parameter | Intervention Stage | Intervention Object | Intervention Direction | Intervention Intensity * |
|---|---|---|---|---|---|---|
| Mode 1 | Scenario 1 | Social psychological alarm reaction | Ignorant—> Supporter | Hindering | Level 1 | |
| Scenario 2 | Social psychological alarm reaction | Ignorant—> Supporter | Hindering | Level 2 | ||
| Scenario 3 | Social psychological alarm reaction | Ignorant—> Supporter | Hindering | Level 3 | ||
| Scenario 4 | Social psychological alarm reaction | Ignorant—> Supporter | Hindering | Level 4 | ||
| Mode 2 | Scenario 5 | Social psychological alarm reaction | Ignorant—> Amplifier | Hindering | Level 1 | |
| Scenario 6 | Social psychological alarm reaction | Ignorant—> Amplifier | Hindering | Level 2 | ||
| Scenario 7 | Social psychological alarm reaction | Ignorant—> Amplifier | Hindering | Level 3 | ||
| Scenario 8 | Social psychological alarm reaction | Ignorant—> Amplifier | Hindering | Level 4 | ||
| Mode 3 | Scenario 9 | Social psychological resistance | Supporter—> Immune 1 | Persuasion | Level 1 | |
| Scenario 10 | Social psychological resistance | Supporter—> Immune 1 | Persuasion | Level 2 | ||
| Scenario 11 | Social psychological resistance | Supporter—> Immune 1 | Persuasion | Level 3 | ||
| Scenario 12 | Social psychological resistance | Supporter—> Immune 1 | Persuasion | Level 4 | ||
| Mode 4 | Scenario 13 | Social psychological resistance | Amplifier—> Immune 2 | Persuasion | Level 1 | |
| Scenario 14 | Social psychological resistance | Amplifier—> Immune 2 | Persuasion | Level 2 | ||
| Scenario 15 | Social psychological resistance | Amplifier—> Immune 2 | Persuasion | Level 3 | ||
| Scenario 16 | Social psychological resistance | Amplifier—> Immune 2 | Persuasion | Level 4 | ||
| Mode 5 | Scenario 17 | Social psychological resistance | Amplifier—> Supporter | Hindering | Level 1 | |
| Scenario 18 | Social psychological resistance | Amplifier—> Supporter | Hindering | Level 2 | ||
| Scenario 19 | Social psychological resistance | Amplifier—> Supporter | Hindering | Level 3 | ||
| Scenario 20 | Social psychological resistance | Amplifier—> Supporter | Hindering | Level 4 | ||
| Mode 6 | Scenario 21 | Social psychological exhaustion | Immune 2—> Supporter | Hindering | Level 1 | |
| Scenario 22 | Social psychological exhaustion | Immune 2—> Supporter | Hindering | Level 2 | ||
| Scenario 23 | Social psychological exhaustion | Immune 2—> Supporter | Hindering | Level 3 | ||
| Scenario 24 | Social psychological exhaustion | Immune 2—> Supporter | Hindering | Level 4 |
| Mode | Scenario | ||||||||||||
|---|---|---|---|---|---|---|---|---|---|---|---|---|---|
| Non | Benchmark | 0.035 | 0 | 0.075 | 0 | 0.03 | 0 | 0.005 | 0 | 0.005 | 0 | 0.005 | 0 |
| Mode 1 | Scenario 1 | 0.035 | 0.01 | 0.075 | 0 | 0.03 | 0 | 0.005 | 0 | 0.005 | 0 | 0.005 | 0 |
| Scenario 2 | 0.035 | 0.02 | 0.075 | 0 | 0.03 | 0 | 0.005 | 0 | 0.005 | 0 | 0.005 | 0 | |
| Scenario 3 | 0.035 | 0.025 | 0.075 | 0 | 0.03 | 0 | 0.005 | 0 | 0.005 | 0 | 0.005 | 0 | |
| Scenario 4 | 0.035 | 0.03 | 0.075 | 0 | 0.03 | 0 | 0.005 | 0 | 0.005 | 0 | 0.005 | 0 | |
| Mode 2 | Scenario 5 | 0.035 | 0 | 0.075 | 0.01 | 0.03 | 0 | 0.005 | 0 | 0.005 | 0 | 0.005 | 0 |
| Scenario 6 | 0.035 | 0 | 0.075 | 0.02 | 0.03 | 0 | 0.005 | 0 | 0.005 | 0 | 0.005 | 0 | |
| Scenario 7 | 0.035 | 0 | 0.075 | 0.03 | 0.03 | 0 | 0.005 | 0 | 0.005 | 0 | 0.005 | 0 | |
| Scenario 8 | 0.035 | 0 | 0.075 | 0.04 | 0.03 | 0 | 0.005 | 0 | 0.005 | 0 | 0.005 | 0 | |
| Mode 3 | Scenario 9 | 0.035 | 0 | 0.075 | 0 | 0.03 | −0.01 | 0.005 | 0 | 0.005 | 0 | 0.005 | 0 |
| Scenario 10 | 0.035 | 0 | 0.075 | 0 | 0.03 | −0.02 | 0.005 | 0 | 0.005 | 0 | 0.005 | 0 | |
| Scenario 11 | 0.035 | 0 | 0.075 | 0 | 0.03 | −0.03 | 0.005 | 0 | 0.005 | 0 | 0.005 | 0 | |
| Scenario 12 | 0.035 | 0 | 0.075 | 0 | 0.03 | −0.04 | 0.005 | 0 | 0.005 | 0 | 0.005 | 0 | |
| Mode 4 | Scenario 13 | 0.035 | 0 | 0.075 | 0 | 0.03 | 0 | 0.005 | −0.01 | 0.005 | 0 | 0.005 | 0 |
| Scenario 14 | 0.035 | 0 | 0.075 | 0 | 0.03 | 0 | 0.005 | −0.02 | 0.005 | 0 | 0.005 | 0 | |
| Scenario 15 | 0.035 | 0 | 0.075 | 0 | 0.03 | 0 | 0.005 | −0.03 | 0.005 | 0 | 0.005 | 0 | |
| Scenario 16 | 0.035 | 0 | 0.075 | 0 | 0.03 | 0 | 0.005 | −0.04 | 0.005 | 0 | 0.005 | 0 | |
| Mode 5 | Scenario 17 | 0.035 | 0 | 0.075 | 0 | 0.03 | 0 | 0.005 | 0 | 0.005 | 0.001 | 0.005 | 0 |
| Scenario 18 | 0.035 | 0 | 0.075 | 0 | 0.03 | 0 | 0.005 | 0 | 0.005 | 0.002 | 0.005 | 0 | |
| Scenario 19 | 0.035 | 0 | 0.075 | 0 | 0.03 | 0 | 0.005 | 0 | 0.005 | 0.003 | 0.005 | 0 | |
| Scenario 20 | 0.035 | 0 | 0.075 | 0 | 0.03 | 0 | 0.005 | 0 | 0.005 | 0.004 | 0.005 | 0 | |
| Mode 6 | Scenario 21 | 0.035 | 0 | 0.075 | 0 | 0.03 | 0 | 0.005 | 0 | 0.005 | 0 | 0.005 | 0.001 |
| Scenario 22 | 0.035 | 0 | 0.075 | 0 | 0.03 | 0 | 0.005 | 0 | 0.005 | 0 | 0.005 | 0.002 | |
| Scenario 23 | 0.035 | 0 | 0.075 | 0 | 0.03 | 0 | 0.005 | 0 | 0.005 | 0 | 0.005 | 0.003 | |
| Scenario 24 | 0.035 | 0 | 0.075 | 0 | 0.03 | 0 | 0.005 | 0 | 0.005 | 0 | 0.005 | 0.004 |
Publisher’s Note: MDPI stays neutral with regard to jurisdictional claims in published maps and institutional affiliations. |
© 2022 by the authors. Licensee MDPI, Basel, Switzerland. This article is an open access article distributed under the terms and conditions of the Creative Commons Attribution (CC BY) license (https://creativecommons.org/licenses/by/4.0/).
Share and Cite
Liu, J.; Qi, J. Online Public Rumor Engagement Model and Intervention Strategy in Major Public Health Emergencies: From the Perspective of Social Psychological Stress. Int. J. Environ. Res. Public Health 2022, 19, 1988. https://doi.org/10.3390/ijerph19041988
Liu J, Qi J. Online Public Rumor Engagement Model and Intervention Strategy in Major Public Health Emergencies: From the Perspective of Social Psychological Stress. International Journal of Environmental Research and Public Health. 2022; 19(4):1988. https://doi.org/10.3390/ijerph19041988
Chicago/Turabian StyleLiu, Jiaqi, and Jiayin Qi. 2022. "Online Public Rumor Engagement Model and Intervention Strategy in Major Public Health Emergencies: From the Perspective of Social Psychological Stress" International Journal of Environmental Research and Public Health 19, no. 4: 1988. https://doi.org/10.3390/ijerph19041988
APA StyleLiu, J., & Qi, J. (2022). Online Public Rumor Engagement Model and Intervention Strategy in Major Public Health Emergencies: From the Perspective of Social Psychological Stress. International Journal of Environmental Research and Public Health, 19(4), 1988. https://doi.org/10.3390/ijerph19041988
