Community Response to Noise from Hot-Spots at a Major Road in Quito (Ecuador) and Its Application for Identification and Ranking These Areas
Abstract
:1. Introduction
Objectives and Hypotheses
2. Material and Method
2.1. Case study: Quito’s Bypass
2.2. Survey Campaign
2.2.1. Ethical Aspects and Data Protection
2.2.2. Questionnaire Design
2.2.3. Data Analysis and Statistical Test for Treating the Results of the Surveys and for the Calculation of the Dose–Response Curves
2.3. Comparison of the Hot-Spot of the Study Area Calculated with Different Community Noise Assessment Indicator
Statistical Tests for Comparison of HSIP 3D-Tool Output with the Different Noise Indicators
3. Results
3.1. Results from the Subjective Data Collected during the Survey Campaign
3.1.1. Descriptive Statistical Analysis of Socio-Acoustic Information
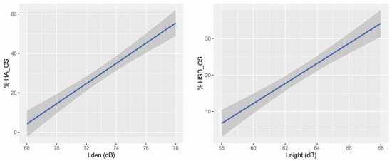
3.1.2. Exposure–Response Relationship for Highly Sleep Disturbed and Highly Noise Annoyed for the Case Study Area
3.1.3. Exposure–Response Relationship for Noise Annoyance
3.1.4. Comparing the Dose–Response Curves for the Percentage of HA_CS and HSD_CS of the Study Area with the Dose–Response Curves of the WHO


3.2. Comparison of the HSIP 3D-Tool Output Data for the Proposed Indicators
Statistical Tests Results
4. Discussion
4.1. Analysis of the Survey Data
4.2. Discussion concerning the Characterization of Noise Hot-Spots on Major Roads
- Whether there is a deviation between the dose–response indicators proposed by European regulations regarding the local dose–response curves estimated in this research from the study area of Quito;
 - To examine the impact that the use of reference time intervals (END vs. National), in combination with the use of dose-response curves (WHO vs. Case Study), may have on global estimates of the number of people exposed to noise in the study area.
 
4.3. Limitation of the Study
5. Conclusions
Supplementary Materials
Author Contributions
Funding
Institutional Review Board Statement
Informed Consent Statement
Data Availability Statement
Conflicts of Interest
References
- Ministry of Environment. Edición 387—Nov. 2015 Acuerdo 97/A—Niveles Máximos de Emisión de Ruido y Metodología de Medición Para Fuentes Fijas y Fuentes Móviles (Anexo 5, Libro VI de la Calidad Ambiental, Texto Unificado de la Legislación Secundaria del Ministerio del Ambiente); Ministerio del Ambiente: Quito, Ecuador, 2015. [Google Scholar]
 - The European Parliament and the Council of the EU. Decision No 1386/2013/EU of the European Parliament and of the Coucil of 20 November 2013 on a General Union Environment Action Programme to 2020 ‘Living well, within the limits of our planet’. Off. J. Eur. Union 2013, 354, 12–28. [Google Scholar]
 - World Health Organization. Environmental Noise Guidelines for the European Region; European Union: Maastricht, The Netherlands, 2018. [Google Scholar]
 - European Environment Agency. Environmental Noise in Europe—2020. EEA Report No 22/2019; EEA: Copenhaguen, Denmark, 2020. [Google Scholar]
 - Essers, E.; Pérez-Crespo, L.; Foraster, M.; Ambrós, A.; Tiemeier, H.; Guxens, M. Environmental noise exposure and emotional, aggressive, and attention-deficit/hyperactivity disorder-related symptoms in children from two European birth cohorts. Environ. Int. 2022, 158, 106946. [Google Scholar] [CrossRef] [PubMed]
 - Teixeira, L.R.; Pega, F.; de Abreu, W.; de Almeida, M.S.; de Andrade, C.A.; Azevedo, T.M.; Dzhambov, A.M.; Hu, W.; Macedo, M.R.; Martínez-Silveira, M.S.; et al. The prevalence of occupational exposure to noise: A systematic review and meta-analysis from the WHO/ILO Joint Estimates of the Work-related Burden of Disease and Injury. Environ. Int. 2021, 154, 106380. [Google Scholar] [CrossRef] [PubMed]
 - World Health Organization. Night Noise Guidelines for Europe; WHO Regional Office Europe: Copenhagen, Denmark, 2009; pp. 1–168. [Google Scholar]
 - Working Group of CEDR. Conference of European Directors of Roads CEDR. European Noise Directive and National Roads Authorities: Final Summary Report CEDR Road Noise 2019–2013; Conference of European Directors of Roads (CEDR): Brussels, Belgium, 2019. [Google Scholar]
 - European Commission. Position Paper on EU Noise Indicators; Office for Official Publications of the European Communities: Luxembourg, 2000. [Google Scholar]
 - European Commission. Position Paper on Dose Response Relationships between Transportation Noise and Annoyance; European Communities: Luxembourg, 2002. [Google Scholar]
 - The European Commission. Commission Directive (EU) 2020/367 of 4 March 2020 Amending Annex III to Directive 2002/49/EC of the European Parliament and of the Council as Regards the Establishment of Assessment Methods for Harmful Effects of Environmental Noise; European Commission: Brussels, Belgium, 2020; Volume 67, pp. 132–136. [Google Scholar]
 - The European Parliament and the Council of the EU. Directive 2002/49/EC of the European Parliament and of the Council Relating to the Assessment and Management of Environmental Noise; European Commission: Brussels, Belgium, 2002; Volume 89, pp. 12–25. [Google Scholar]
 - Sørensen, M.; Hoffmann, B.; Hvidberg, M.; Ketzel, M.; Jensen, S.S. Long-Term Exposure to Traffic-Related Air Pollution Associated with Blood Pressure and Self-Reported Hypertension in a Danish Cohort. Environ. Health Perspect. 2012, 418, 418–424. [Google Scholar] [CrossRef] [PubMed]
 - Basner, M.; McGuire, S. WHO Environmental Noise Guidelines for the European Region: A Systematic Review on Environmental Noise and Effects on Sleep. Environ. Res. Public Health 2018, 15, 519. [Google Scholar] [CrossRef] [Green Version]
 - Guski, R.; Schreckenberg, D.; Schuemer, R. WHO Environmental Noise Guidelines for the European Region: A Systematic Review on Environmental Noise and Annoyance. Int. J. Environ. Res. Public Health 2017, 14, 1539. [Google Scholar] [CrossRef] [Green Version]
 - Fields, J.M. Effect of personal and situational variables on noise annoyance in residential areas. J. Acoust. Soc. Am. 1993, 93, 2753–2763. [Google Scholar] [CrossRef]
 - Shimoyama, K.; Yano, T.; Morihara, T.; Nguyen, T.L.; Nguyen, H.Q. Comparison of community response to road traffic noise in five cities of Vietnam. In Proceedings of the 11th International Congress on Noise as a Public Health Problem (ICBEN), Nara, Japan, 1–5 June 2014. [Google Scholar]
 - Brown, A.L.; Lam, K.C.; van Kamp, I. Quantification of the exposure and effects of road traffic noise in a dense Asian city: A comparison with western cities. Environ. Health 2015, 14, 22. [Google Scholar] [CrossRef] [Green Version]
 - Gjestland, T.; Nguyen, T.L.; Yano, T. Community response to noise in Vietnam: Exposure-response relationships based on the community tolerance level. J. Acoust. Soc. Am. 2015, 137, 2596–2601. [Google Scholar] [CrossRef]
 - Gille, L.; Marquis-favre, C.; Morel, J. Testing of the European Union exposure-response relationships and annoyance equivalents model for annoyance due to transportation noises: The need of revised exposure-response relationships and annoyance equivalents model. Environ. Int. 2016, 94, 83–94. [Google Scholar] [CrossRef]
 - Brink, M.; Schäffer, B.; Vienneau, D.; Foraster, M.; Pieren, R.; Eze, I.C.; Cajochen, C.; Probst-hensch, N.; Röösli, M. A Survey on Exposure-Response Relationships for Road, Rail, and Aircraft Noise Annoyance: Differences between Continuous and Intermittent Noise. Environ. Int. 2019, 125, 277–290. [Google Scholar] [CrossRef]
 - Lercher, P.; De Coensel, B.; Dekonink, L.; Botteldooren, D. Community Response to Multiple Sound Sources: Integrating Acoustic and Contextual Approaches in the Analysis. Int. J. Environ. Res. Public Health 2017, 14, 663. [Google Scholar] [CrossRef] [Green Version]
 - Douglas, O.; Murphy, E. Source-based subjective responses to sleep disturbance from transportation noise. Environ. Int. 2016, 92–93, 450–456. [Google Scholar] [CrossRef]
 - Cerletti, P.; Eze, I.C.; Schaffner, E.; Foraster, M.; Viennau, D.; Cajochen, C.; Wunderli, J.; Röösli, M.; Stolz, D. The independent association of source-specific transportation noise exposure, noise annoyance and noise sensitivity with health-related quality of life. Environ. Int. 2020, 143, 105960. [Google Scholar] [CrossRef]
 - Ruiz-Padillo, A.; Torija, A.J.; Ramos-Ridao, Á.; Ruiz, D.P. A methodology for classification by priority for action: Selecting road stretches for network noise action plans. Transp. Res. Part D Transp. Environ. 2014, 29, 66–78. [Google Scholar] [CrossRef]
 - Licitra, G.; Ascari, E. Gden: An indicator for European noise maps comparison and to support action plans. Sci. Total Environ. 2014, 482–483, 411–419. [Google Scholar] [CrossRef] [PubMed]
 - Licitra, G.; Ascari, E.; Fredianelli, L. Prioritizing Process in Action Plans: A Review of Approaches. Curr. Pollut. Rep. 2017, 3, 151–161. [Google Scholar] [CrossRef]
 - D’Alessandro, F.; Schiavoni, S. A review and comparative analysis of European priority indices for noise action plans. Sci. Total Environ. 2015, 518–519, 290–301. [Google Scholar] [CrossRef]
 - Probst, W.; Petz, M. Noise mapping, hot spot detection and action planning—An approach developed in the frame of the EC-project Quiet City. In Proceedings of the INTER-NOISE 2007, Istanbul, Turkey, 28–31 August 2007. [Google Scholar]
 - Petz, M. Action planning procedures and realized action plans of municipalities and cities—Results from the implementation of END. In Proceedings of the Tecniacustica 2008, Coimbra, Portugal, 20–22 October 2008; pp. 1–11. [Google Scholar]
 - Bendtsen, H.; Fryd, J.; Popp, C.; Eggers, S.; Dilas, J.; Tønnesen, A.; Klæboe, R. CEDR Contractor Report 2017-03 ON-AIR Guidance Book on the Integration of Noise in Road Planning; Conference of European Directors of Roads (CEDR): Brussels, Belgium, 2017. [Google Scholar]
 - Borchi, F.; Carfagni, M.; Governi, L.; Curcuruto, S.; Silvaggio, R.; Bellomini, R.; Luzzi, S.; Licitra, G.; Palazzuoli, D.; Melloni, A. LIFE+ 2008 HUSH project results: A new methodology and a new platform for implementing an integrated and harmonized noise Action Plan and proposals for updating Italian legislation and Environmental Noise Directive. Noise Mapp. 2016, 3, 71–85. [Google Scholar] [CrossRef]
 - Pishue, B. 2020 Global Traffic Scorecard; INRIX: Kirkland, WA, USA, 2020. [Google Scholar]
 - Vega, D.; Parra, R. Caracterización de la intensidad media diaria y de los perfiles horarios del tráfico vehicular del Distrito Metropolitano de Quito. Av. Cienc. Ing. 2014, 6, 2–7. [Google Scholar] [CrossRef] [Green Version]
 - Secretaría General de Planificación Gobierno Abierto. Descarga Información Geográfica. Available online: http://gobiernoabierto.quito.gob.ec/?page_id=1122 (accessed on 16 July 2021).
 - ISO/TS 15666:2003-02 (E); Acoustics—Assessment of Noise Annoyance by Means of Social and Socio-Acoustic Surveys. International Organization for Standardization: Geneva, Switzerland, 2003; Volume 2, p. 15666.
 - Fields, J.M.; De Jong, R.G.; Gjestland, T.; Flindell, I.H.; Job, R.F.S.; Kurra, S.; Lercher, P.; Vallet, M.; Yano, T.; Guski, R.; et al. Standardized General-Purpose Noise Reaction Questions for Community Noise Surveys: Research and a Recommendation. J. Sound Vib. 2001, 242, 641–679. [Google Scholar] [CrossRef] [Green Version]
 - Puyana-Romero, V.; Cueto, J.L.; Gey, R. A 3D GIS tool for the detection of noise hot-spots from major roads. Transp. Res. Part D 2020, 84, 102376. [Google Scholar] [CrossRef]
 - Van den Berg, F.; Verhagen, C.; Uitenbroek, D. The Relation between Scores on Noise Annoyance and Noise Disturbed Sleep in a Public Health Survey. Int. J. Environ. Res. Public Health 2014, 11, 2314–2327. [Google Scholar] [CrossRef] [Green Version]
 - Cohen, J. Statistical Power Analysis for the Behavioral Sciences, 2nd ed.; Laurence Erlbaum Associates, P., Ed.; Academic Press: Cambridge, MA, USA, 1988; Volume 2, ISBN 0805802835. [Google Scholar]
 - Hair, J.F.; Black, W.C.; Babin, B.J.; Anderson, R.E. Multivariate Data Analysis, 7th ed.; Pearson Prentice Hall: Hoboken, NJ, USA, 2013. [Google Scholar]
 - Miedema, H.; Oudshoorn, C. Annoyance from Transportation Noise: Relationships with Exposure Metrics DNL and DENL and Their Confidence Intervals. Environ. Health Perspect. 2001, 109, 409–416. [Google Scholar] [CrossRef] [PubMed]
 - Groothuis-Oudshoorn, C.G.M.; Miedema, H.M.E. Multilevel Grouped Regression for Analyzing Self-reported Health in Relation to Environmental Factors: The Model and its Application. Biom. J. 2006, 48, 67–82. [Google Scholar] [CrossRef]
 - Lercher, P.; de Greve, B.; Botteldooren, D.; Rüdisser, J. A comparison of regional noise-annoyance-curves in alpine areas with the European standard curves. In Proceedings of the 9th Congress of the International Commission on the Biological Effects of Noise (ICBEN 2008), Mashantucket, CT, USA, 21–25 July 2008; pp. 562–570. [Google Scholar]
 - Lechner, C.; Schnaiter, D.; Reilly, S.B. Application of the noise annoyance equivalents model for aircraft, rail and road traffic noise to self-reported sleep disturbance. Acta Acústica 2021, 5, 12. [Google Scholar] [CrossRef]
 - Miedema, H.M.E.; Vos, H. Associations between self-reported sleep disturbance and environmental noise based on reanalyses of pooled data from 24 studies. Behav. Sleep Med. 2007, 5, 1–20. [Google Scholar] [CrossRef]
 - Instituto Eduardo Torroja de Ciencias de la Construcción con la colaboración de CEPCO y AICIA. Catálogo de Elementos Constructivos Del Código Técnico de La Edificación; CSIC and Instituto Eduardo Torroja. 2010. Available online: http://www.anape.es/pdf/Catalogo%20de%20Elementos%20Constructivos%20CAT-EC-v06.3_marzo_10.pdf (accessed on 16 July 2021).
 - Bodin, T.; Björk, J.; Öhrström, E.; Ardö, J.; Albin, M. Survey Context and Question Wording Affects Self Reported Annoyance Due to Road Traffic Noise: A Comparison between Two Cross-Sectional Studies. Environ. Health 2012, 11, 14. [Google Scholar] [CrossRef] [Green Version]
 - Brink, M.; Schä, B.; Pieren, R.; Marc, J. Conversion between noise exposure indicators Leq24h, LDay, LEvening, LNight, Ldn and Lden: Principles and practical guidance. Int. J. Hyg. Environ. Health 2018, 221, 54–63. [Google Scholar] [CrossRef]
 





| Coefficient | Std. Error | t Value | p-Value | |
|---|---|---|---|---|
| Intercept | 59.88 (C) | 407.80 | 0.147 | 0.887 | 
| Lnight | −4.02 (B) | 12.97 | −0.31 | 0.765 | 
| Lnight2 | 0.05 (A) | 0.10 | 0.55 | 0.616 | 
| Coefficient | Std. Error | t Value | p-Value | |
|---|---|---|---|---|
| Intercept | −152.65 (B) | 17.38 | −8.78 | 1.04 ×10 −5 | 
| Lnight | 2.75 (A) | 0.28 | 9.97 | 3.66 × 10−6 | 
| Coefficient | Std. Error | t Value | p-Value | |
|---|---|---|---|---|
| Intercept | 1156.80 (C) | 851.00 | 1.36 | 0.211 | 
| Lden | −36.07 (B) | 23.35 | −1.55 | 0.161 | 
| Lden2 | 0.28 (A) | 0.16 | 1.77 | 0.116 | 
| Coefficient | Std. Error | t Value | p-Value | |
|---|---|---|---|---|
| Intercept | −343.74 (B) | 36.25 | −9.48 | 5.56 × 10−6 | 
| Lden | 5.12 (A) | 0.50 | 10.31 | 2.77 × 10−6 | 
| Indicator to Estimate | The Output of Noise Mapping | Average Traffic Flow per Hour during the Nighttime as a Percentage of Total Traffic | National and END Noise Indicator Equivalences | 
|---|---|---|---|
| Lnoche | Lnight | 21:00–07:00 h, 1.8% v/h (noche) 23:00–07:00 h, 1.1% v/h (night)  | Lnoche ≈ Lnight + 2.2 dB | 
| HSD_CS Strategic Noise Map Results (Lnoche ≥ 60 dB)  | HSD_CS Strategic Noise Map Results (Lnight ≥ 58 dB)  | HSD Strategic Noise Map Results (Lnight ≥ 58 dB)  | 
|---|---|---|
| Total number N of people at risk of a harmful effect due to traffic noise | ||
| 189 people out of a total  of 1574  | 159 people out of a total of 1543 | 148 people out of a total  of 1543  | 
Publisher’s Note: MDPI stays neutral with regard to jurisdictional claims in published maps and institutional affiliations.  | 
© 2022 by the authors. Licensee MDPI, Basel, Switzerland. This article is an open access article distributed under the terms and conditions of the Creative Commons Attribution (CC BY) license (https://creativecommons.org/licenses/by/4.0/).
Share and Cite
Puyana-Romero, V.; Cueto, J.L.; Ciaburro, G.; Bravo-Moncayo, L.; Hernandez-Molina, R. Community Response to Noise from Hot-Spots at a Major Road in Quito (Ecuador) and Its Application for Identification and Ranking These Areas. Int. J. Environ. Res. Public Health 2022, 19, 1115. https://doi.org/10.3390/ijerph19031115
Puyana-Romero V, Cueto JL, Ciaburro G, Bravo-Moncayo L, Hernandez-Molina R. Community Response to Noise from Hot-Spots at a Major Road in Quito (Ecuador) and Its Application for Identification and Ranking These Areas. International Journal of Environmental Research and Public Health. 2022; 19(3):1115. https://doi.org/10.3390/ijerph19031115
Chicago/Turabian StylePuyana-Romero, Virginia, Jose Luis Cueto, Giuseppe Ciaburro, Luis Bravo-Moncayo, and Ricardo Hernandez-Molina. 2022. "Community Response to Noise from Hot-Spots at a Major Road in Quito (Ecuador) and Its Application for Identification and Ranking These Areas" International Journal of Environmental Research and Public Health 19, no. 3: 1115. https://doi.org/10.3390/ijerph19031115
APA StylePuyana-Romero, V., Cueto, J. L., Ciaburro, G., Bravo-Moncayo, L., & Hernandez-Molina, R. (2022). Community Response to Noise from Hot-Spots at a Major Road in Quito (Ecuador) and Its Application for Identification and Ranking These Areas. International Journal of Environmental Research and Public Health, 19(3), 1115. https://doi.org/10.3390/ijerph19031115
        
                                                
