Capacity of Autonomous Sensory Meridian Response on the Reduction of Mental Stress
Abstract
1. Introduction
2. Materials and Methods
2.1. Subjects
2.2. Experimental Setup and Tasks
2.3. Experimental Protocol
2.4. Measurement of EEG
2.5. Analysis
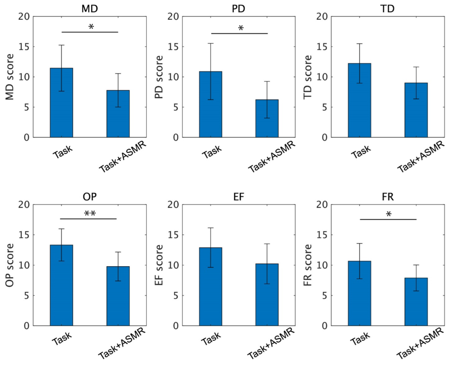
2.6. Evaluation of Mental Workload
3. Results
4. Discussion
5. Conclusions
Author Contributions
Funding
Institutional Review Board Statement
Informed Consent Statement
Data Availability Statement
Conflicts of Interest
References
- Bhui, K.; Dinos, S.; Galant-Miecznikowska, M.; de Jongh, B.; Stansfeld, S. Perceptions of work stress causes and effective interventions in employees working in public, private and non-governmental organizations: A qualitative study. BJPsych Bull. 2016, 40, 318–325. [Google Scholar] [CrossRef] [PubMed]
- Eskelinen, L.; Toikkanen, J.; Tuomi, K.; Mauno, I.; Nygard, C.H.; Ilmarinen, J. Symptoms of mental and physical stress in different categories of municipal work. Scand. J. Work. Environ. Health 1991, 17 (Suppl. S1), 82–86. [Google Scholar] [PubMed]
- Nieuwenhuijsen, K.; Bruinvels, D.; Frings-Dresen, M. Psychosocial work environment and stress-related disorders, a systematic review. Occup. Med. 2010, 60, 277–286. [Google Scholar] [CrossRef]
- Crowley, O.V.; McKinley, P.S.; Burg, M.M.; Schwartz, J.E.; Ryff, C.D.; Weinstein, M.; Seeman, T.E.; Sloan, R.P. The interactive effect of change in perceived stress and trait anxiety on vagal recovery from cognitive challenge. Int. J. Psychophysiol. 2011, 82, 225–232. [Google Scholar] [CrossRef] [PubMed]
- O’Connor, D.B.; Thayer, J.F.; Vedhara, K. Stress and health: A review of psychobiological processes. Annu. Rev. Psychol. 2021, 72, 663–688. [Google Scholar] [CrossRef]
- Brazier, M.; Casby, J.U. Cross-correlation and autocorrelation studies of electroencephalographic potentials. Electroencephalogr. Clin. Neurophysiol. 1952, 4, 201–211. [Google Scholar] [CrossRef]
- Ishihara, T.; Yoshii, N. Multivariate analytic study of EEG and mental activity in juvenile delinquents. Electroencephalogr. Clin. Neurophysiol. 1972, 33, 71–80. [Google Scholar] [CrossRef]
- Kakizaki, T. Stress response during mental task. Ind. Health 1973, 11, 8–18. [Google Scholar] [CrossRef]
- Fernández, T.; Harmony, T.; Rodríguez, M.; Bernal, J.; Silva, J.; Reyes, A.; Marosi, E. EEG activation patterns during the performance of tasks involving different components of mental calculation. Elec. Clin. Neurophysiol. 1995, 94, 175–182. [Google Scholar] [CrossRef]
- Shimada, T.; Konno, N.; Miyaho, K.; Fukami, T.; Saito, Y. Measurement of stress level during calculation task with EEG. IEEJ Trans. Electron. Info. Sys. 1998, 134, 1498–1505. [Google Scholar] [CrossRef]
- Giannakakis, G.; Grigoriadis, D.; Giannakaki, K.; Simantiraki, O.; Roniotis, R.; Tsiknakis, M. Review on psychological stress detection using biosignals. IEEE Trans. Affect. Comput. 2019, 13, 440–460. [Google Scholar] [CrossRef]
- Kirschbaum, C.; Hellhammer, D.H. Salivary cortisol in psychoneuroendocrine research: Recent developments and applications. Psychoneuroendocrinology 1994, 19, 313–333. [Google Scholar] [CrossRef]
- Al-Shargie, F.; Tang, T.B.; Kiguchi, M. Stress assessment based on decision fusion of EEG and fNIRS signals. IEEE Access 2017, 5, 19889–19896. [Google Scholar] [CrossRef]
- Al-Shargie, F.; Kiguchi, M.; Badruddin, N.; Dass, S.C.; Hani, A.F.M.; Tang, T.B. Mental stress assessment using simultaneous measurement of EEG and fNIRS. Biomed. Opt. Express 2016, 7, 3882–3898. [Google Scholar] [CrossRef] [PubMed]
- Arrighi, J.A.; Burg, M.; Cohen, I.S.; Kao, A.H.; Pfau, S.; Caulin-Glaser, T.; Zaret, B.L.; Soufer, R. Myocardial blood-flow response during mental stress in patients with coronary artery disease. Lancet 2000, 356, 310–311. [Google Scholar] [CrossRef]
- Zhang, X.; Huettel, S.A.; O’Dhaniel, A.; Guo, H.; Wang, L. Exploring common changes after acute mental stress and acute tryptophan depletion: Resting-state fMRI studies. J. Psychiatr. Res. 2019, 113, 172–180. [Google Scholar] [CrossRef] [PubMed]
- Hu, B.; Peng, H.; Zhao, Q.; Hu, B.; Majoe, D.; Zheng, F.; Moore, P. Signal quality assessment model for wearable EEG sensor on prediction of mental stress. IEEE Trans. Nanobiosci. 2015, 14, 553–561. [Google Scholar]
- Kulkarni, N.; Phalle, S.; Desale, M.; Gokhale, N.; Kasture, K. A review on EEG based stress monitoring system using deep learning approach. Mukt Shabd J. 2020, 9, 1317–1325. [Google Scholar]
- Alyan, E.; Saad, N.M.; Kamel, N.; Yusoff, M.Z.; Zakariya, M.A.; Rahman, M.A.; Guillet, C.; Merienne, F. Frontal electroencephalogram alpha asymmetry during mental stress related to workplace noise. Sensors 2021, 21, 1968. [Google Scholar] [CrossRef]
- Chae, J.; Hwang, S.; Seo, W.; Kang, Y. Relationship between rework of engineering drawing tasks and stress level measured from physiological signals. Autom. Constr. 2021, 124, 103560. [Google Scholar] [CrossRef]
- Ehrhardt, N.M.; Fietz, J.; Kopf-Beck, J.; Kappelmann, N.; Brem, A.K. Separating EEG correlates of stress: Cognitive effort, time pressure, and social-evaluative threat. Eur. J. Neurosci. 2022, 55, 2464–2473. [Google Scholar] [CrossRef] [PubMed]
- Katmah, R.; Al-Shargie, F.; Tariq, U.; Babiloni, F.; Al-Mughairbi, F.; Al-Nashash, H. A review on mental stress assessment methods using EEG signals. Sensors 2021, 21, 5043. [Google Scholar] [CrossRef] [PubMed]
- Mohad, M.M.H.; Kashima, M.; Sato, K.; Watanabe, M. Mental stress recognition based on non-invasive and non-contact measurement from stereo thermal and visible sensors. Int. J. Affect. Eng. 2015, 14, 9–17. [Google Scholar] [CrossRef]
- Cho, Y.; Julier, S.J.; Bianchi-Berthouze, N. Instant stress: Detection of perceived mental stress through smartphone photoplethysmography and thermal imaging. JMIR Mental Health 2019, 6, e10140. [Google Scholar] [CrossRef]
- Gioia, F.; Greco, A.; Callara, A.L.; Scilingo, E.P. Towards a contactless stress classification using thermal imaging. Sensors 2022, 22, 976. [Google Scholar] [CrossRef]
- Nisifuji, S.; Miyahara, I. Amplitude and phase responses of brain alpha wave to unpleasant and pleasant sounds. Trans. Soc. Instrum. Control. Eng. 2008, 44, 776–778. [Google Scholar] [CrossRef]
- Mizuno, M.Y.; Tanaka, Y.; Hayashi, T.; Okamoto, E.; Nishimura, H.; Inada, H. An analysis of EEG and plethysmogram on working environment under mental workload. Trans. Jpn. Soc. Med. Biol. Eng. 2010, 48, 11–24. [Google Scholar]
- Kabuto, M.; Kageyama, T.; Nitta, H. EEG power spectrum changes due to listening to pleasant musics and their relation to relaxation effects. Jpn. J. Hyg. 1993, 48, 808–818. [Google Scholar] [CrossRef]
- Thoma, M.V.; Marca, R.L.; Brönnimann, R.; Finkel, L.; Ehlert, U.; Nater, U.M. The Effect of Music on the Human Stress Response. PLoS ONE 2013, 8, e70156. [Google Scholar] [CrossRef]
- Geethanjali, B.; Adalarasu, K.; Rajsekaran, R. Impact of music on brain function during mental task using electroencephalography. Int. J. Med. Health Biomed. Bioeng. Pharm. Eng. 2012, 6, 256–260. [Google Scholar]
- Khan, M.A.; Chennafi, M.; Li, G.; Sang, G. Electroencephalogram-based comparative study of music effect on mental stress relief. 2018 11th International Congress on Image and Signal Processing. In Proceedings of the 2018 11th International Congress on Image and Signal Processing, BioMedical Engineering and Informatics (CISP-BMEI), Beijing, China, 13–15 October 2018. [Google Scholar]
- Barratt, E.; Davis, N.J. Autonomous Sensory Meridian Response (ASMR): A flow-like mental state. PeerJ 2015, 3, e851. [Google Scholar] [CrossRef] [PubMed]
- Marsden, R. Maria Spends 20 min Folding Towels’: Why Millions are Mesmerised by ASMR Videos. 2014. Available online: https://www.independent.co.uk/tech/maria-spends-20-minutes-folding-towels-why-millions-are-mesmerised-by-asmr-videos-7956866.html (accessed on 15 September 2022).
- Taylor, S. Head Orgasms’, Meditation and Near Death Experiences. The Guardian. 2013. Available online: http://www.theguardian.com/science/brain-flapping/2013/oct/09/head-orgasms-meditation-near-death-experiences (accessed on 15 September 2022).
- Bishop, S.R.; Lau, M.; Shapiro, S.; Carlson, L.; Anderson, N.D.; Carmody, J.; Segal, Z.V.; Abbey, S.; Speca, M.; Velting, D.; et al. Mindfulness: A proposed operational definition. Clin. Psychol. 2004, 11, 230–241. [Google Scholar] [CrossRef]
- Poerio, G.L.; Blakey, E.; Hostler, T.J.; Veltri, T. More than a feeling: Autonomous sensory meridian response (ASMR) is characterized by reliable changes in affect and physiology. PLoS ONE 2018, 13, e0196645. [Google Scholar] [CrossRef] [PubMed]
- Smith, S.D.; Fredborg, B.K.; Kornelsen, J. Atypical functional connectivity associated with autonomous sensory meridian response: An examination of five resting-state networks. Brain Connect. 2019, 9, 508–518. [Google Scholar] [CrossRef] [PubMed]
- Lee, S.; Kim, J.; Tak, S. Effects of autonomous sensory meridian response on the functional fonnectivity as measured by functional magnetic resonance imaging. Front. Behav. Neurosci. 2020, 14, 154. [Google Scholar] [CrossRef] [PubMed]
- Fredborg, B.K.; Champagne-Jorgensen, K.; Desroches, A.S.; Smith, S.D. An electroencephalographic examination of the autonomous sensory meridian response (ASMR). Conscious. Cogn. 2021, 87, 103053. [Google Scholar] [CrossRef]
- Lochte, B.C.; Guillory, S.A.; Richard, C.A.H.; Kelley, W.M. An fMRI investigation of the neural correlates underlying the autonomous sensory meridian response (ASMR). Bioimpact 2018, 8, 295–304. [Google Scholar] [CrossRef]
- Hart, S.G.; Staveland, L.E. Development of NASA-TLX (Task Load Index) Results of empirical and theoretical research. In Human Mental Workload; Hancock, P.A., Meshkati, N., Eds.; North-Holland: Amsterdam, The Netherlands, 1988; pp. 139–183. [Google Scholar]
- Åkerstedt, T.; Gillberg, M. Subjective and objective sleepiness in the active individual. Int. J. Neurosci. 1990, 51, 29–37. [Google Scholar] [CrossRef]
- Jasper, H.H. The ten twenty electrode system of the international federation. Electroencephalogr. Clin. Neurophysiol. 1958, 10, 371–375. [Google Scholar]
- Zanetti, M.; Mizumoto, T.; Faes, L.; Fornaser, A.; de Cecco, M.; Maule, L.; Valente, M.; Nollo, G. Multilevel assessment of mental stress via network physiology paradigm using consumer wearable devices. J. Ambient Intell. Humaniz. Comput. 2019, 12, 4409–4418. [Google Scholar] [CrossRef]
- Attallah, O. An effective mental stress state detection and evaluation system using minimum number of frontal brain blectrodes. Diagnostics 2020, 10, 292. [Google Scholar] [CrossRef] [PubMed]
- Jun, G.; Smitha, K.G. EEG based stress level identification. In Proceedings of the 2016 IEEE International Conference on Systems, Man, and Cybernetics (SMC), Budapest, Hungary, 9–12 October 2016; pp. 3270–3274. [Google Scholar]
- Halim, Z.; Rehan, M. On identification of driving-induced stress using electroencephalogram signals: A framework based on wearable safety-critical scheme and machine learning. Inf. Fusion 2020, 53, 66–79. [Google Scholar] [CrossRef]
- Benjamini, Y.; Hochberg, Y. Controlling the false discovery rate: A practical and powerful approach to multiple testing. J. Roy. Statist. Soc. Ser. 1995, 57, 289–300. [Google Scholar] [CrossRef]
- Faul, F.; Erdfelder, E.; Lang, A.G.; Buchner, A. G*Power 3: A flexible statistical power analysis program for the social, behavioral, and biomedical sciences. Behav. Res. Methods 2007, 39, 175–191. [Google Scholar] [CrossRef] [PubMed]
- Cohen, J. Statistical Power Analysis for the Behavior Science, 2nd ed.; Lawrence Erlbaum Associates: Hillsdale, NJ, USA, 1988. [Google Scholar]
- Borling, J.E. The effects of sedative music on alpha rhythms and focused attention in high-creative and low-creative subjects. J. Music Ther. 1981, 18, 101–108. [Google Scholar] [CrossRef]
- Corhan, C.M.; Gounard, B.R. Types of music, schedules of background stimulation, and visual vigilance performance. Percept. Mot. Ski. 1976, 42, 662. [Google Scholar] [CrossRef]
- Chetta, H.D. The effect of music and desensitization on preoperative anxiety in children. J. Music Ther. 1981, 13, 74–87. [Google Scholar] [CrossRef]
- Smith, C.A.; Morris, L.W. Differential effects of stimulative and sedative music on anxiety, concentration, and performance. Psychol. Rep. 1977, 41, 1047–1053. [Google Scholar] [CrossRef]
- Caspy, T.; Peleg, E.; Schlam, D.; Goldberg, J. Sedative and stimulative music effects: Differential effects on performance impairment following frustration. Motiv. Emot. 1988, 12, 123–138. [Google Scholar] [CrossRef]
- Schwartz, R.; Ayres, K.; Douglas, K.H. Effects of music on task performance, engagement, and behavior: A literature review. Psychol. Music. 2017, 45, 611–627. [Google Scholar] [CrossRef]
- Kiss, L.; Linnell, K.J. The effect of preferred background music on task-focus in sustained attention. Psychol. Res. 2021, 85, 2313–2325. [Google Scholar] [CrossRef] [PubMed]
- Chen, Y. The effect of background music on young people (10–24)’ task performance. In Proceedings of the 2021 International Conference on Social Development and Media Communication, Sanya, China, 26–28 November 2021. [Google Scholar]
- Lin, S.; Chih-Fang, H.; Bo-Yuan, L. A Pilot Study on the Portable EEG-Based Music Effects. J. Biomusic. Eng. 2016, S1, 002. [Google Scholar]
- Asifa, A.; Majida, M.; Anwar, S.M. Human stress classification using EEG signals in response to music tracks. Comput. Biol. Med. 2019, 107, 182–196. [Google Scholar] [CrossRef] [PubMed]
- Xu1, Y.; Xu1, X.; Deng, L. EEG research based on the influence of different music effects. J. Phys. Conf. Ser. 2020, 1631, 012147. [Google Scholar]
- Cash, D.K.; Heisick, L.L.; Papesh, M.H. Expectancy effects in the Autonomous Sensory Meridian Response. PeerJ 2018, 6, e5229. [Google Scholar] [CrossRef] [PubMed]
- Smith, S.D.; Fredborg, B.; Kornelsen, J. An examination of the default mode network in individuals with autonomous sensory meridian response (ASMR). Soc. Neurosci. 2017, 12, 361–365. [Google Scholar] [CrossRef]
- Bluhm, R.L.; Miller, J.; Lanius, R.A.; Osuch, E.A.; Boksman, K.; Neufeld, R.; Théberge, J.; Schaefer, B.; Williamson, P. Spontaneous low-frequency fluctuations in the BOLD signal in schizophrenic patients. Anom. Default Netw. Schizophr. Bull. 2007, 33, 1004–1012. [Google Scholar] [CrossRef]







| Condition | p-Value | Rank | Adjusted-p | BH Significance | Cohen’s d |
|---|---|---|---|---|---|
| Task-ASMR | 0.0000469 | 1 | 0.0002814 | Yes | 1.64 |
| Rest-Task | 0.00047768 | 2 | 0.00143304 | Yes | 1.34 |
| ASMR-Task+ASMR | 0.0043 | 3 | 0.0086 | Yes | 1.08 |
| Task-Task+ASMR | 0.0166 | 4 | 0.0249 | Yes | 1.16 |
| Rest-ASMR | 0.0411 | 5 | 0.04932 | Yes | 0.88 |
| Rest-Task+ASMR | 0.126 | 6 | 0.126 | No | 0.56 |
| Condition | p-Value | Rank | Adjusted-p | BH Significance | Cohen’s d |
|---|---|---|---|---|---|
| Task-ASMR | 0.0024 | 1 | 0.0144 | Yes | 1.84 |
| Rest-Task | 0.0035 | 2 | 0.0105 | Yes | 1.05 |
| Task-Task+ASMR | 0.0226 | 3 | 0.0452 | Yes | 1.08 |
| Rest-Task+ASMR | 0.2602 | 4 | 0.3903 | No | 0.34 |
| ASMR-Task+ASMR | 0.3708 | 5 | 0.4449 | No | 0.22 |
| Rest-ASMR | 0.7075 | 6 | 0.7075 | No | 0.30 |
Publisher’s Note: MDPI stays neutral with regard to jurisdictional claims in published maps and institutional affiliations. |
© 2022 by the authors. Licensee MDPI, Basel, Switzerland. This article is an open access article distributed under the terms and conditions of the Creative Commons Attribution (CC BY) license (https://creativecommons.org/licenses/by/4.0/).
Share and Cite
Inagaki, K.; Ohta, Y. Capacity of Autonomous Sensory Meridian Response on the Reduction of Mental Stress. Int. J. Environ. Res. Public Health 2022, 19, 14577. https://doi.org/10.3390/ijerph192114577
Inagaki K, Ohta Y. Capacity of Autonomous Sensory Meridian Response on the Reduction of Mental Stress. International Journal of Environmental Research and Public Health. 2022; 19(21):14577. https://doi.org/10.3390/ijerph192114577
Chicago/Turabian StyleInagaki, Keiichiro, and Yoshiyuki Ohta. 2022. "Capacity of Autonomous Sensory Meridian Response on the Reduction of Mental Stress" International Journal of Environmental Research and Public Health 19, no. 21: 14577. https://doi.org/10.3390/ijerph192114577
APA StyleInagaki, K., & Ohta, Y. (2022). Capacity of Autonomous Sensory Meridian Response on the Reduction of Mental Stress. International Journal of Environmental Research and Public Health, 19(21), 14577. https://doi.org/10.3390/ijerph192114577

