Nonalcoholic Fatty Liver Disease Is Related to Abnormal Corrected QT Interval and Left Ventricular Hypertrophy in Chinese Male Steelworkers
Abstract
1. Introduction
2. Methods
2.1. Ethics Statement
2.2. Study Participants
2.3. Exclusion Criteria
2.4. Health Examination Protocol
2.5. Anthropometric Data
2.6. Laboratory Measurements
2.7. Definitions
2.8. Measurements of ECG and QT and QTc Intervals
2.9. Echocardiographic Measurements
2.10. Abdominal Ultrasonography and NAFLD Fibrosis Score
2.11. Statistical Analysis
3. Results
4. Discussion
5. Conclusions
Supplementary Materials
Author Contributions
Funding
Institutional Review Board Statement
Informed Consent Statement
Data Availability Statement
Conflicts of Interest
References
- Farrell, G.C. Non-alcoholic steatohepatitis: What is it, and why is it important in the Asia-Pacific region? J. Gastroenterol. Hepatol. 2003, 18, 124–138. [Google Scholar] [CrossRef] [PubMed]
- Chitturi, S.; Farrell, G.C.; George, J. Non-alcoholic steatohepatitis in the Asia-Pacific region: Future shock? J. Gastroenterol. Hepatol. 2004, 19, 368–374. [Google Scholar] [CrossRef] [PubMed]
- Bedogni, G.; Miglioli, L.; Masutti, F.; Tiribelli, C.; Marchesini, G.; Bellentani, S. Prevalence of and risk factors for nonalcoholic fatty liver disease: The Dionysos nutrition and liver study. Hepatology 2005, 42, 44–52. [Google Scholar] [CrossRef] [PubMed]
- Chen, C.H.; Huang, M.H.; Yang, J.C.; Nien, C.K.; Yang, C.C.; Yeh, Y.H.; Yueh, S.K. Prevalence and risk factors of nonalcoholic fatty liver disease in an adult population of Taiwan: Metabolic significance of nonalcoholic fatty liver disease in nonobese adults. J. Clin. Gastroenterol. 2006, 40, 745–752. [Google Scholar] [CrossRef]
- Lin, T.J.; Lin, C.L.; Wang, C.S.; Liu, S.O.; Liao, L.Y. Prevalence of HFE mutations and relation to serum iron status in patients with chronic hepatitis C and patients with nonalcoholic fatty liver disease in Taiwan. World J. Gastroenterol. 2005, 11, 3905–3908. [Google Scholar] [CrossRef]
- Chalasani, N.; Younossi, Z.; Lavine, J.E.; Diehl, A.M.; Brunt, E.M.; Cusi, K.; Charlton, M.; Sanyal, A.J. The diagnosis and management of non-alcoholic fatty liver disease: Practice guideline by the American Association for the Study of Liver Diseases, American College of Gastroenterology, and the American Gastroenterological Association. Hepatology 2012, 55, 2005–2023. [Google Scholar] [CrossRef]
- Argo, C.K.; Caldwell, S.H. Epidemiology and natural history of nonalcoholic steatohepatitis. Clin. Liver Dis. 2009, 13, 511–531. [Google Scholar] [CrossRef]
- Starley, B.Q.; Calcagno, C.J.; Harrison, S.A. Nonalcoholic fatty liver disease and hepatocellular carcinoma: A weighty connection. Hepatology 2010, 51, 1820–1832. [Google Scholar] [CrossRef]
- Targher, G.; Day, C.P.; Bonora, E. Risk of cardiovascular disease in patients with nonalcoholic fatty liver disease. N. Engl. J. Med. 2010, 363, 1341–1350. [Google Scholar] [CrossRef]
- Ballestri, S.; Lonardo, A.; Bonapace, S.; Byrne, C.D.; Loria, P.; Targher, G. Risk of cardiovascular, cardiac and arrhythmic complications in patients with nonalcoholic fatty liver disease. World J. Gastroenterol. 2014, 20, 1724–1745. [Google Scholar] [CrossRef]
- Sauer, A.J.; Moss, A.J.; McNitt, S.; Peterson, D.R.; Zareba, W.; Robinson, J.L.; Qi, M.; Goldenberg, I.; Hobbs, J.B.; Ackerman, M.J.; et al. Long QT syndrome in adults. J. Am. Coll. Cardiol. 2007, 49, 329–337. [Google Scholar] [CrossRef] [PubMed]
- Zhang, Y.; Post, W.S.; Blasco-Colmenares, E.; Dalal, D.; Tomaselli, G.F.; Guallar, E. Electrocardiographic QT interval and mortality: A meta-analysis. Epidemiology 2011, 22, 660–670. [Google Scholar] [CrossRef] [PubMed]
- Zhang, Y.; Post, W.S.; Dalal, D.; Blasco-Colmenares, E.; Tomaselli, G.F.; Guallar, E. QT interval duration and mortality rate: Results from the Third National Health and Nutrition Examination Survey. Arch. Intern. Med. 2011, 171, 1727–1733. [Google Scholar] [CrossRef] [PubMed][Green Version]
- Straus, S.M.; Kors, J.A.; De Bruin, M.L.; van der Hooft, C.S.; Hofman, A.; Heeringa, J.; Deckers, J.W.; Kingma, J.H.; Sturkenboom, M.C.; Stricker, B.H.; et al. Prolonged QTc interval and risk of sudden cardiac death in a population of older adults. J. Am. Coll. Cardiol. 2006, 47, 362–367. [Google Scholar] [CrossRef] [PubMed]
- Cuspidi, C.; Sala, C.; Negri, F.; Mancia, G.; Morganti, A. Italian Society of Hypertension. Prevalence of left-ventricular hypertrophy in hypertension: An updated review of echocardiographic studies. J. Hum. Hypertens. 2012, 26, 343–349. [Google Scholar] [CrossRef] [PubMed]
- Gradman, A.H.; Alfayoumi, F. From left ventricular hypertrophy to congestive heart failure: Management of hypertensive heart disease. Prog. Cardiovasc. Dis. 2006, 48, 326–341. [Google Scholar] [CrossRef]
- Ninkovic, V.M.; Ninkovic, S.M.; Miloradovic, V.; Stanojevic, D.; Babic, M.; Giga, V.; Dobric, M.; Trenell, M.I.; Lalic, N.; Seferovic, P.M.; et al. Prevalence and risk factors for prolonged QT interval and QT dispersion in patients with type 2 diabetes. Acta Diabetol. 2016, 53, 737–744. [Google Scholar] [CrossRef]
- Gong, H.; Liu, X.; Cheng, F. Relationship between non-alcoholic fatty liver disease and cardiac arrhythmia: A systematic review and meta-analysis. J. Int. Med. Res. 2021, 49, 3000605211047074. [Google Scholar] [CrossRef]
- Mantovani, A.; Zoppini, G.; Targher, G.; Golia, G.; Bonora, E. Non-alcoholic fatty liver disease is independently associated with left ventricular hypertrophy in hypertensive Type 2 diabetic individuals. J. Endocrinol. Investig. 2012, 35, 215–218. [Google Scholar] [CrossRef]
- Mozos, I.; Filimon, L. QT and Tpeak-Tend intervals in shift workers. J. Electrocardiol. 2013, 46, 60–65. [Google Scholar] [CrossRef]
- Siegrist, J.; Peter, R.; Motz, W.; Strauer, B.E. The role of hypertension, left ventricular hypertrophy and psychosocial risks in cardiovascular disease: Prospective evidence from blue-collar men. Eur. Heart J. 1992, 13, 89–95. [Google Scholar] [CrossRef] [PubMed]
- Lee, T.L.; Hsuan, C.F.; Wu, C.C.; Hung, W.C.; Tsai, I.T.; Wei, C.T.; Yu, T.H.; Lu, I.C.; Chung, F.M.; Lee, Y.J.; et al. Association between Triglyceride Glucose Index and Corrected QT Prolongation in Chinese Male Steelworkers. Int. J. Environ. Res. Public Health 2021, 18, 4020. [Google Scholar] [CrossRef] [PubMed]
- Kong, X.; Ma, Y.; Chen, J.; Luo, Q.; Yu, X.; Li, Y.; Xu, J.; Huang, S.; Wang, L.; Huang, W.; et al. Evaluation of the Chronic Kidney Disease Epidemiology Collaboration Equation for Estimating Glomerular Filtration Rate in the Chinese Population. Nephrol. Dial. Transpl. 2013, 28, 641–651. [Google Scholar] [CrossRef] [PubMed]
- American Diabetes Association. 2. Classification and diagnosis of diabetes. Diabetes Care 2016, 39 (Suppl. S1), S13–S22. [Google Scholar] [CrossRef] [PubMed]
- Zheng, W.; McLerran, D.F.; Rolland, B.; Zhang, X.; Inoue, M.; Matsuo, K.; He, J.; Gupta, P.C.; Ramadas, K.; Tsugane, S.; et al. Association between body-mass index and risk of death in more than 1 million Asians. N. Engl. J. Med. 2011, 364, 719–729. [Google Scholar] [CrossRef]
- WHO Expert Consultation. Appropriate body-mass index for Asian populations and its implications for policy and intervention strategies. Lancet 2004, 363, 157–163. [Google Scholar] [CrossRef]
- Health Promotion Administration, Ministry of Health and Welfare. Taiwan’s Obesity Prevention and Management Strategy, 1st ed.; Health Promotion Administration, Ministry of Health and Welfare: Taipei City, Taiwan, 2018. [Google Scholar]
- Kidney Disease: Improving Global Outcomes (KDIGO) CKD Work Group KDIGO 2012 clinical practice guideline for the evaluation and management of chronic kidney disease. Kidney Int. Suppl. 2013, 3, 1–50.
- Rautaharju, P.M.; Surawicz, B.; Gettes, L.S.; Bailey, J.J.; Childers, R.; Deal, B.J.; Gorgels, A.; Hancock, E.W.; Josephson, M.; Kligfield, P.; et al. AHA/ACCF/HRS recommendations for the standardization and interpretation of the electrocardiogram: Part IV: The ST segment, T and U waves, and the QT interval: A scientific statement from the American Heart Association Electrocardiography and Arrhythmias Committee, Council on Clinical Cardiology; the American College of Cardiology Foundation; and the Heart Rhythm Society—Endorsed by the International Society for Computerized Electrocardiology. J. Am. Coll. Cardiol. 2009, 53, 982–991. [Google Scholar]
- Naksuk, N.; Hu, T.; Krittanawong, C.; Thongprayoon, C.; Sharma, S.; Park, J.Y.; Rosenbaum, A.N.; Gaba, P.; Killu, A.M.; Sugrue, A.M.; et al. Association of Serum Magnesium on Mortality in Patients Admitted to the Intensive Cardiac Care Unit. Am. J. Med. 2017, 130, 229.e5–229.e13. [Google Scholar] [CrossRef]
- Salvi, V.; Karnad, D.R.; Panicker, G.K.; Natekar, M.; Hingorani, P.; Kerkar, V.; Ramasamy, A.; de Vries, M.; Zumbrunnen, T.; Kothari, S.; et al. Comparison of 5 methods of QT interval measurements on electrocardiograms from a thorough QT/QTc study: Effect on assay sensitivity and categorical outliers. J. Electrocardiol. 2011, 44, 96–104. [Google Scholar] [CrossRef]
- Malik, M.; Hnatkova, K.; Batchvarov, V.; Gang, Y.; Smetana, P.; Camm, A.J. Sample size, power calculations, and their implications for the cost of thorough studies of drug induced QT interval prolongation. Pacing Clin. Electrophysiol. 2004, 27, 1659–1669. [Google Scholar] [CrossRef] [PubMed]
- Gardin, J.M.; Adams, D.B.; Douglas, P.S.; Feigenbaum, H.; Forst, D.H.; Fraser, A.G.; Grayburn, P.A.; Katz, A.S.; Keller, A.M.; Kerber, R.E.; et al. American Society of Echocardiography. Recommendations for a standardized report for adult transthoracic echocardiography: A report from the American Society of Echocardiography’s Nomenclature and Standards Committee and Task Force for a Standardized Echocardiography Report. J. Am. Soc. Echocardiogr. 2002, 15, 275–290. [Google Scholar] [PubMed]
- Kasner, M.; Westermann, D.; Steendijk, P.; Gaub, R.; Wilkenshoff, U.; Weitmann, K.; Hoffmann, W.; Poller, W.; Schultheiss, H.P.; Pauschinger, M.; et al. Utility of Doppler echocardiography and tissue Doppler imaging in the estimation of diastolic function in heart failure with normal ejection fraction: A comparative Doppler-conductance catheterization study. Circulation 2007, 116, 637–647. [Google Scholar] [CrossRef] [PubMed]
- Levy, D.; Savage, D.D.; Garrison, R.J.; Anderson, K.M.; Kannel, W.B.; Castelli, W.P. Echocardiographic criteria for left ventricular hypertrophy: The Framingham heart study. Am. J. Cardiol. 1987, 59, 956–960. [Google Scholar] [CrossRef]
- Needleman, L.; Kurtz, A.B.; Rifkin, M.D.; Cooper, H.S.; Pasto, M.E.; Goldberg, B.B. Sonography of diffuse benign liver disease: Accuracy of pattern recognition and grading. AJR. Am. J. Roentgenol. 1986, 146, 1011–1015. [Google Scholar] [CrossRef] [PubMed]
- Chung, T.H.; Shim, J.Y.; Lee, Y.J. Nonalcoholic Fatty Liver Disease as a Risk Factor for Prolonged Corrected QT Interval in Apparently Healthy Korean Women. J. Gastrointestin. Liver Dis. 2020, 29, 59–64. [Google Scholar] [CrossRef]
- Hung, C.S.; Tseng, P.H.; Tu, C.H.; Chen, C.C.; Liao, W.C.; Lee, Y.C.; Chiu, H.M.; Lin, H.J.; Ho, Y.L.; Yang, W.S.; et al. Nonalcoholic Fatty Liver Disease Is Associated With QT Prolongation in the General Population. J. Am. Heart Assoc. 2015, 4, e001820. [Google Scholar] [CrossRef]
- Targher, G.; Valbusa, F.; Bonapace, S.; Bertolini, L.; Zenari, L.; Pichiri, I.; Mantovani, A.; Zoppini, G.; Bonora, E.; Barbieri, E.; et al. Association of nonalcoholic fatty liver disease with QTc interval in patients with type 2 diabetes. Nutr. Metab. Cardiovasc. Dis. 2014, 24, 663–669. [Google Scholar] [CrossRef]
- Mangi, M.A.; Minhas, A.M.; Rehman, H.; Pathan, F.; Liang, H.; Beidas, S. Association of Non-alcoholic Fatty Liver Disease with Conduction Defects on Electrocardiogram. Cureus 2017, 9, e1107. [Google Scholar] [CrossRef]
- Grandinetti, A.; Chow, D.C.; Miyasaki, M.; Low, P. Association of increased QTc interval with the cardiometabolic syndrome. J. Clin. Hypertens. 2010, 12, 315–320. [Google Scholar] [CrossRef]
- Magnano, A.R.; Holleran, S.; Ramakrishnan, R.; Reiffel, J.A.; Bloomfield, D.M. Autonomic nervous system influences on QT interval in normal subjects. J. Am. Coll. Cardiol. 2002, 39, 1820–1826. [Google Scholar] [CrossRef]
- Pathak, R.K.; Mahajan, R.; Lau, D.H.; Sanders, P. The implications of obesity for cardiac arrhythmia mechanisms and management. Can. J. Cardiol. 2015, 31, 203–210. [Google Scholar] [CrossRef] [PubMed]
- Rinella, M.E. Nonalcoholic fatty liver disease: A systematic review. JAMA 2015, 313, 2263–2273. [Google Scholar] [CrossRef] [PubMed]
- Lazzerini, P.E.; Capecchi, P.L.; Laghi-Pasini, F. Long QT Syndrome: An Emerging Role for Inflammation and Immunity. Front. Cardiovasc. Med. 2015, 2, 26. [Google Scholar] [CrossRef]
- Williams, E.S.; Thomas, K.L.; Broderick, S.; Shaw, L.K.; Velazquez, E.J.; Al-Khatib, S.M.; Daubert, J.P. Race and gender variation in the QT interval and its association with mortality in patients with coronary artery disease: Results from the Duke Databank for Cardiovascular Disease (DDCD). Am. Heart J. 2012, 164, 434–441. [Google Scholar] [CrossRef]
- Liu, Y.C.; Hung, C.S.; Wu, Y.W.; Lee, Y.C.; Lin, Y.H.; Lin, C.; Lo, M.T.; Chan, C.C.; Ma, H.P.; Ho, Y.L.; et al. Influence of non-alcoholic fatty liver disease on autonomic changes evaluated by the time domain, frequency domain, and symbolic dynamics of heart rate variability. PLoS ONE 2013, 8, e61803. [Google Scholar] [CrossRef]
- Choi, I.Y.; Chang, Y.; Kang, G.; Jung, H.S.; Shin, H.; Wild, S.H.; Byrne, C.D.; Ryu, S. Low heart rate variability from 10-s electrocardiograms is associated with development of non-alcoholic fatty liver disease. Sci. Rep. 2022, 12, 1062. [Google Scholar] [CrossRef]
- Chinali, M.; Devereux, R.B.; Howard, B.V.; Roman, M.J.; Bella, J.N.; Liu, J.E.; Resnick, H.E.; Lee, E.T.; Best, L.G.; de Simone, G. Comparison of cardiac structure and function in American Indians with and without the metabolic syndrome (the Strong Heart Study). Am. J. Cardiol. 2004, 93, 40–44. [Google Scholar] [CrossRef]
- Wachtell, K.; Smith, G.; Gerdts, E.; Dahlöf, B.; Nieminen, M.S.; Papademetriou, V.; Bella, J.N.; Ibsen, H.; Rokkedal, J.; Devereux, R.B. Left ventricular filling patterns in patients with systemic hypertension and left ventricular hypertrophy (the LIFE study). Losartan intervention for endpoint. Am. J. Cardiol. 2000, 85, 466–472. [Google Scholar] [CrossRef]
- Avelar, E.; Cloward, T.V.; Walker, J.M.; Farney, R.J.; Strong, M.; Pendleton, R.C.; Segerson, N.; Adams, T.D.; Gress, R.E.; Hunt, S.C.; et al. Left ventricular hypertrophy in severe obesity: Interactions among blood pressure, nocturnal hypoxemia, and body mass. Hypertension 2007, 49, 34–39. [Google Scholar] [CrossRef]
- Takei, Y.; Di Tullio, M.R.; Homma, S.; Boden-Albala, B.; Rundek, T.; Sacco, R.L.; Berry, G.; Liu, R.; Jin, Z.; Eguchi, K.; et al. Soluble tumor necrosis factor receptor 1 level is associated with left ventricular hypertrophy: The northern Manhattan study. Am. J. Hypertens. 2009, 22, 763–769. [Google Scholar] [CrossRef] [PubMed]
- Mehta, S.K.; Rame, J.E.; Khera, A.; Murphy, S.A.; Canham, R.M.; Peshock, R.M.; de Lemos, J.A.; Drazner, M.H. Left ventricular hypertrophy, subclinical atherosclerosis, and inflammation. Hypertension 2007, 49, 1385–1391. [Google Scholar] [CrossRef] [PubMed]
- Bo, S.; Mandrile, C.; Milanesio, N.; Pagani, A.; Gentile, L.; Gambino, R.; Villois, P.; Ghinamo, L.; Canil, S.; Durazzo, M.; et al. Is left ventricular hypertrophy a low-level inflammatory state? A population-based cohort study. Nutr. Metab. Cardiovasc. Dis. 2012, 22, 668–676. [Google Scholar] [CrossRef] [PubMed][Green Version]
- Kamimura, D.; Loprinzi, P.D.; Wang, W.; Suzuki, T.; Butler, K.R.; Mosley, T.H.; Hall, M.E. Physical Activity Is Associated With Reduced Left Ventricular Mass in Obese and Hypertensive African Americans. Am. J. Hypertens. 2017, 30, 617–623. [Google Scholar] [CrossRef] [PubMed]
- Lecca, L.I.; Portoghese, I.; Mucci, N.; Galletta, M.; Meloni, F.; Pilia, I.; Marcias, G.; Fabbri, D.; Fostinelli, J.; Lucchini, R.G.; et al. Association between Work-Related Stress and QT Prolongation in Male Workers. Int. J. Environ. Res. Public Health. 2019, 16, 4781. [Google Scholar] [CrossRef]
- Zhang, Y.; Post, W.S.; Dalal, D.; Blasco-Colmenares, E.; Tomaselli, G.F.; Guallar, E. Coffee, alcohol, smoking, physical activity and QT interval duration: Results from the Third National Health and Nutrition Examination Survey. PLoS ONE 2011, 6, e17584. [Google Scholar] [CrossRef] [PubMed][Green Version]
- Mehta, S.R.; Thomas, E.L.; Bell, J.D.; Johnston, D.G.; Taylor-Robinson, S.D. Non-invasive means of measuring hepatic fat content. World J. Gastroenterol. 2008, 14, 3476–3483. [Google Scholar] [CrossRef]

| NAFLD | ||||||
|---|---|---|---|---|---|---|
| No NAFLD | Mild | Moderate | Severe | p for Heterogeneity | p for Trend | |
| Number | 1232 | 1175 | 493 | 98 | ||
| Age (years) | 41.1 ± 7.6 | 43.5 ± 7.1 | 43.5 ± 6.7 | 42.6 ± 5.7 | <0.0001 | <0.0001 |
| Diabetes mellitus (n, %) | 339 (27.5) | 467 (39.7) | 229 (46.5) | 47 (48.0) | <0.0001 | <0.0001 |
| Hypertension (n, %) | 294 (23.9) | 451 (38.4) | 274 (55.6) | 63 (64.3) | <0.0001 | <0.0001 |
| Hyperlipidemia (n, %) | 201 (16.3) | 460 (39.2) | 290 (58.8) | 59 (60.2) | <0.0001 | <0.0001 |
| Metabolic syndrome (n, %) | 93 (7.6) | 309 (26.3) | 248 (50.3) | 63 (64.3) | <0.0001 | <0.0001 |
| LVH (n, %) | 25 (2.0) | 31 (2.6) | 20 (4.1) | 7 (7.1) | 0.151 | 0.032 |
| QTc prolongation status (n, %) | ||||||
| Normal | 1100 (89.3) | 981 (83.5) | 364 (73.8) | 62 (63.3) | <0.0001 | <0.0001 |
| Borderline | 112 (9.1) | 152 (12.9) | 96 (19.5) | 30 (30.6) | <0.0001 | <0.0001 |
| Abnormal | 21 (1.7) | 42 (3.6) | 33 (6.7) | 6 (6.1) | <0.0001 | <0.0001 |
| Current smoker (n, %) | 421 (34.2) | 404 (34.4) | 165 (33.5) | 26 (26.5) | 0.460 | 0.341 |
| Physical exercise in the past month (n, %) | ||||||
| Hardly ever | 646 (52.4) | 616 (52.4) | 295 (59.8) | 60 (61.2) | 0.013 | 0.006 |
| Once | 365 (29.6) | 356 (30.3) | 126 (25.6) | 28 (28.6) | 0.276 | 0.252 |
| Twice or more | 222 (18.0) | 203 (17.3) | 73 (14.8) | 9 (9.2) | 0.099 | 0.025 |
| Poor sleep (n, %) | ||||||
| Almost never | 930 (75.5) | 872 (74.2) | 379 (76.9) | 76 (77.6) | 0.666 | 0.654 |
| Sometimes | 201 (16.3) | 217 (18.5) | 80 (16.2) | 14 (14.3) | 0.395 | 0.930 |
| Often or almost always | 101 (8.2) | 86 (7.3) | 35 (7.1) | 8 (8.2) | 0.799 | 0.546 |
| Shift work (n, %) | 485 (39.4) | 525 (44.7) | 223 (45.2) | 41 (41.8) | 0.061 | 0.045 |
| Systolic BP (mmHg) | 119 ± 14 | 125 ± 16 | 131 ± 16 | 134 ± 15 | <0.0001 | <0.0001 |
| Diastolic BP (mmHg) | 75 ± 9 | 80 ± 10 | 84 ± 11 | 87 ± 11 | <0.0001 | <0.0001 |
| Body mass index (kg/m2) | 22.7 ± 2.6 | 25.6 ± 2.8 | 28.2 ± 3.5 | 30.4 ± 3.8 | <0.0001 | <0.0001 |
| Obesity status (n, %) | ||||||
| Underweight | 57 (4.6) | 3 (0.3) | 1 (0.2) | 0 (0.0) | <0.0001 | <0.0001 |
| Normal weight | 606 (49.2) | 193 (16.4) | 18 (3.7) | 1 (1.0) | <0.0001 | <0.0001 |
| Overweight | 243 (19.7) | 368 (31.3) | 86 (17.4) | 4 (4.1) | <0.0001 | <0.0001 |
| Mild obesity | 44 (3.6) | 189 (16.1) | 117 (23.7) | 14 (14.3) | <0.0001 | <0.0001 |
| Moderate obesity | 7 (0.6) | 80 (6.8) | 100 (20.3) | 35 (35.7) | <0.0001 | <0.0001 |
| Severe obesity | 274 (22.2) | 342 (29.1) | 171 (34.7) | 44 (44.9) | <0.0001 | <0.0001 |
| Chronic kidney disease (n, %) | ||||||
| G1 (≥90) | 202 (16.4) | 153 (13.0) | 86 (17.4) | 15 (15.3) | 0.054 | 0.827 |
| G2 (60–89) | 998 (81.0) | 992 (84.4) | 389 (78.9) | 79 (80.6) | 0.033 | 0.708 |
| G3a–G4 (59–15) | 31 (2.5) | 30 (2.6) | 18 (3.7) | 4 (4.1) | 0.468 | 0.175 |
| NAFLD | ||||||
|---|---|---|---|---|---|---|
| No NAFLD | Mild | Moderate | Severe | p for Heterogeneity | p for Trend | |
| Number | 1232 | 1175 | 493 | 98 | ||
| Biochemical characteristics | ||||||
| HbA1c (%) | 5.5 ± 0.5 | 5.7 ± 0.7 | 5.9 ± 0.9 | 6.1 ± 1.1 | <0.0001 | <0.0001 |
| Fasting glucose (mg/dL) | 96.9 ± 15.2 | 101.7 ± 20.0 | 106.1 ± 28.7 | 108.3 ± 30.8 | <0.0001 | <0.0001 |
| Total cholesterol (mg/dL) | 186.3 ± 31.9 | 196.1 ± 32.9 | 204.1 ± 38.0 | 204.7 ± 38.6 | <0.0001 | <0.0001 |
| Triglycerides (mg/dL) | 87.0 (64.0–124.0) | 128.0 (90.0–185.0) | 167.0 (121.0–245.0) | 162.5 (121.3–269.3) | <0.0001 | <0.0001 |
| HDL cholesterol (mg/dL) | 51.0 ± 11.9 | 44.8 ± 8.8 | 42.6 ± 7.9 | 41.9 ± 8.4 | <0.0001 | <0.0001 |
| LDL cholesterol (mg/dL) | 104.7 ± 27.5 | 115.2 ± 28.9 | 121.3 ± 31.2 | 120.8 ± 36.6 | <0.0001 | <0.0001 |
| AST (U/L) | 24.0 (21.0–29.0) | 27.0 (23.0–33.0) | 34.0 (28.0–42.0) | 37.0 (29.0–53.0) | <0.0001 | <0.0001 |
| ALT (U/L) | 25.0 (19.0–34.0) | 35.0 (26.0–48.0) | 51.0 (37.0–73.0) | 60.5 (43.5–93.3) | <0.0001 | <0.0001 |
| Sodium (mEq/L) | 140.2 ± 1.6 | 140.3 ± 1.6 | 140.3 ± 1.6 | 140.0 ± 1.8 | 0.161 | 0.538 |
| Potassium (mEq/L) | 4.02 ± 0.29 | 4.01 ± 0.27 | 4.00 ± 0.30 | 3.95 ± 0.30 | 0.084 | 0.024 |
| Calcium (mg/dL) | 9.56 ± 0.36 | 9.55 ± 0.36 | 9.62 ± 0.34 | 9.60 ± 0.32 | 0.002 | 0.015 |
| Uric acid (mg/dL) | 6.1 ± 1.3 | 6.6 ± 1.3 | 7.1 ± 1.4 | 7.5 ± 1.5 | <0.0001 | <0.0001 |
| eGFR (mL/min/1.73 m2) | 79.0 ± 11.5 | 77.7 ± 10.2 | 78.6 ± 11.1 | 78.9 ± 12.3 | 0.028 | 0.247 |
| Creatinine mg/dL) | 1.17 ± 0.63 | 1.15 ± 0.13 | 1.15 ± 0.14 | 1.15 ± 0.15 | 0.610 | 0.280 |
| ECG parameters | ||||||
| Heart rate (bpm) | 64.9 ± 9.5 | 66.9 ± 9.3 | 69.5 ± 9.5 | 72.2 ± 10.1 | <0.0001 | <0.0001 |
| PR interval (ms) | 157.8 ± 37.4 | 158.3 ± 20.7 | 160.4 ± 19.1 | 158.7 ± 24.8 | 0.463 | 0.199 |
| QRS duration (ms) | 94.9 ± 13.5 | 93.7 ± 10.8 | 94.5 ± 10.6 | 94.3 ± 10.1 | 0.137 | 0.304 |
| QT interval (ms) | 393.7 ± 25.5 | 393.1 ± 24.0 | 392.0 ± 23.8 | 388.8 ± 27.6 | 0.237 | 0.062 |
| QTc interval (ms) | 405.5 ± 23.6 | 412.0 ± 20.4 | 419.0 ± 20.3 | 423.2 ± 20.7 | <0.0001 | <0.0001 |
| Echocardiographic parameters | ||||||
| Aortic root diameter (cm) | 3.02 ± 0.39 | 3.10 ± 0.37 | 3.18 ± 0.37 | 3.15 ± 0.35 | <0.0001 | <0.0001 |
| Left atrial diameter (cm) | 3.35 ± 0.42 | 3.56 ± 0.42 | 3.72 ± 0.43 | 3.79 ± 0.36 | <0.0001 | <0.0001 |
| LVMI (g/m2) | 89.2 ± 18.8 | 92.9 ± 18.1 | 95.4 ± 19.0 | 96.3 ± 19.8 | <0.0001 | <0.0001 |
| IVSd (cm) | 0.96 ± 0.14 | 1.00 ± 0.15 | 1.05 ± 0.15 | 1.10 ± 0.18 | <0.0001 | <0.0001 |
| LVIDd (cm) | 4.89 ± 0.40 | 4.95 ± 0.43 | 5.02 ± 0.41 | 4.90 ± 0.46 | 0.002 | 0.002 |
| LVPWd (cm) | 0.87 ± 0.12 | 0.91 ± 0.12 | 0.95 ± 0.13 | 1.01 ± 0.14 | <0.0001 | <0.0001 |
| End-diastolic volume (mL) | 113.5 ± 22.0 | 116.9 ± 23.2 | 120.4 ± 22.5 | 114.9 ± 24.6 | 0.002 | 0.001 |
| EDVI (mL/m2) | 64.7 ± 10.7 | 62.8 ± 11.1 | 61.5 ± 10.9 | 57.1 ± 12.3 | <0.0001 | <0.0001 |
| End-systolic volume (mL) | 36.0 ± 10.1 | 36.8 ± 11.4 | 37.7 ± 9.9 | 36.4 ± 9.7 | 0.250 | 0.093 |
| ESVI (mL/m2) | 20.5 ± 5.3 | 19.8 ± 5.7 | 19.3 ± 5.0 | 18.1 ± 5.1 | 0.002 | 0.0002 |
| LVIDs (mm) | 3.02 ± 0.34 | 3.04 ± 0.35 | 3.07 ± 0.33 | 3.02 ± 0.34 | 0.252 | 0.100 |
| Stroke volume (mL) | 77.3 ± 14.9 | 80.5 ± 15.9 | 82.7 ± 16.6 | 78.9 ± 17.6 | 0.0003 | 0.0004 |
| SVI (mL/m2) | 44.1 ± 7.6 | 43.8 ± 7.8 | 44.8 ± 24.1 | 39.9 ± 8.6 | 0.147 | 0.514 |
| Fractional shortening (%) | 38.5 ± 4.2 | 38.8 ± 4.5 | 38.8 ± 4.4 | 38.5 ± 3.8 | 0.683 | 0.476 |
| Ejection fraction (%) | 68.4 ± 5.2 | 68.6 ± 6.0 | 68.7 ± 5.5 | 68.4 ± 4.5 | 0.905 | 0.560 |
| IVS/LVPW | 1.10 ± 0.10 | 1.10 ± 0.11 | 1.11 ± 0.09 | 1.09 ± 0.08 | 0.577 | 0.448 |
| Ratio of E to A | 1.42 ± 0.41 | 1.29 ± 0.35 | 1.20 ± 0.32 | 1.14 ± 0.35 | <0.0001 | <0.0001 |
| Peak E-wave velocity (cm/s) | 73.5 ± 16.3 | 71.8 ± 16.1 | 72.1 ± 16.8 | 71.9 ± 15.4 | 0.372 | 0.180 |
| Peak A-wave velocity (cm/s) | 54.0 ± 13.9 | 58.2 ± 14.5 | 62.7 ± 15.4 | 67.3 ± 17.1 | <0.0001 | <0.0001 |
| LA/AO | 1.12 ± 0.17 | 1.16 ± 0.18 | 1.18 ± 0.18 | 1.22 ± 0.16 | <0.0001 | <0.0001 |
| Model 1 | Model 2 | Model 3 | ||||
|---|---|---|---|---|---|---|
| Variables | OR (95%CI) | p-Value | OR (95%CI) | p-Value | OR (95%CI) | p-Value |
| NAFLD status | ||||||
| No NAFLD | Ref | Ref | Ref | |||
| Mild NAFLD | 2.19 (1.24–4.02) | 0.006 | 1.95 (1.10–3.59) | 0.022 | 1.65 (0.89–3.17) | 0.112 |
| Moderate/severe NAFLD | 4.09 (2.30–7.57) | <0.0001 | 3.69 (2.06–6.84) | <0.0001 | 2.54 (1.22–5.39) | 0.013 |
| Model 1 | Model 2 | Model 3 | ||||
|---|---|---|---|---|---|---|
| Variables | OR (95%CI) | p-Value | OR (95%CI) | p-Value | OR (95%CI) | p-Value |
| NAFLD status | ||||||
| No NAFLD | Ref | Ref | Ref | |||
| Mild NAFLD | 1.82 (0.96–3.65) | 0.068 | 1.83 (0.96–3.67) | 0.066 | 1.37 (0.69–2.85) | 0.372 |
| Moderate/severe NAFLD | 3.85 (2.02–7.74) | <0.0001 | 3.78 (1.98–7.60) | <0.0001 | 2.23 (1.02–5.01) | 0.044 |
| Corrected QT Interval | LVMI | |||
|---|---|---|---|---|
| Characteristic | r | p-Value | r | p-Value |
| Age | 0.164 | <0.0001 | 0.195 | <0.0001 |
| Body mass index | 0.223 | <0.0001 | 0.306 | <0.0001 |
| Waist circumference | 0.227 | <0.0001 | 0.300 | <0.0001 |
| Shift work | −0.001 | 0.974 | 0.039 | 0.133 |
| Hardly ever of physical exercise | 0.013 | 0.515 | −0.075 | 0.004 |
| Systolic blood pressure | 0.270 | <0.0001 | 0.292 | <0.0001 |
| Diastolic blood pressure | 0.275 | <0.0001 | 0.269 | <0.0001 |
| Fasting glucose | 0.093 | <0.0001 | 0.082 | 0.001 |
| HbA1c | 0.136 | <0.0001 | 0.073 | 0.004 |
| Total cholesterol | 0.079 | <0.0001 | −0.040 | 0.122 |
| Triglycerides | 0.140 | <0.0001 | 0.062 | 0.016 |
| HDL cholesterol | −0.088 | <0.0001 | −0.148 | <0.0001 |
| LDL cholesterol | 0.050 | 0.007 | −0.016 | 0.527 |
| Creatinine | 0.045 | 0.015 | 0.153 | <0.0001 |
| Estimated GFR | −0.064 | 0.090 | −0.063 | 0.014 |
| Albumin | 0.024 | 0.191 | −0.019 | 0.463 |
| Red blood cell count | 0.018 | 0.331 | 0.048 | 0.060 |
| Platelets | 0.084 | <0.0001 | −0.034 | 0.188 |
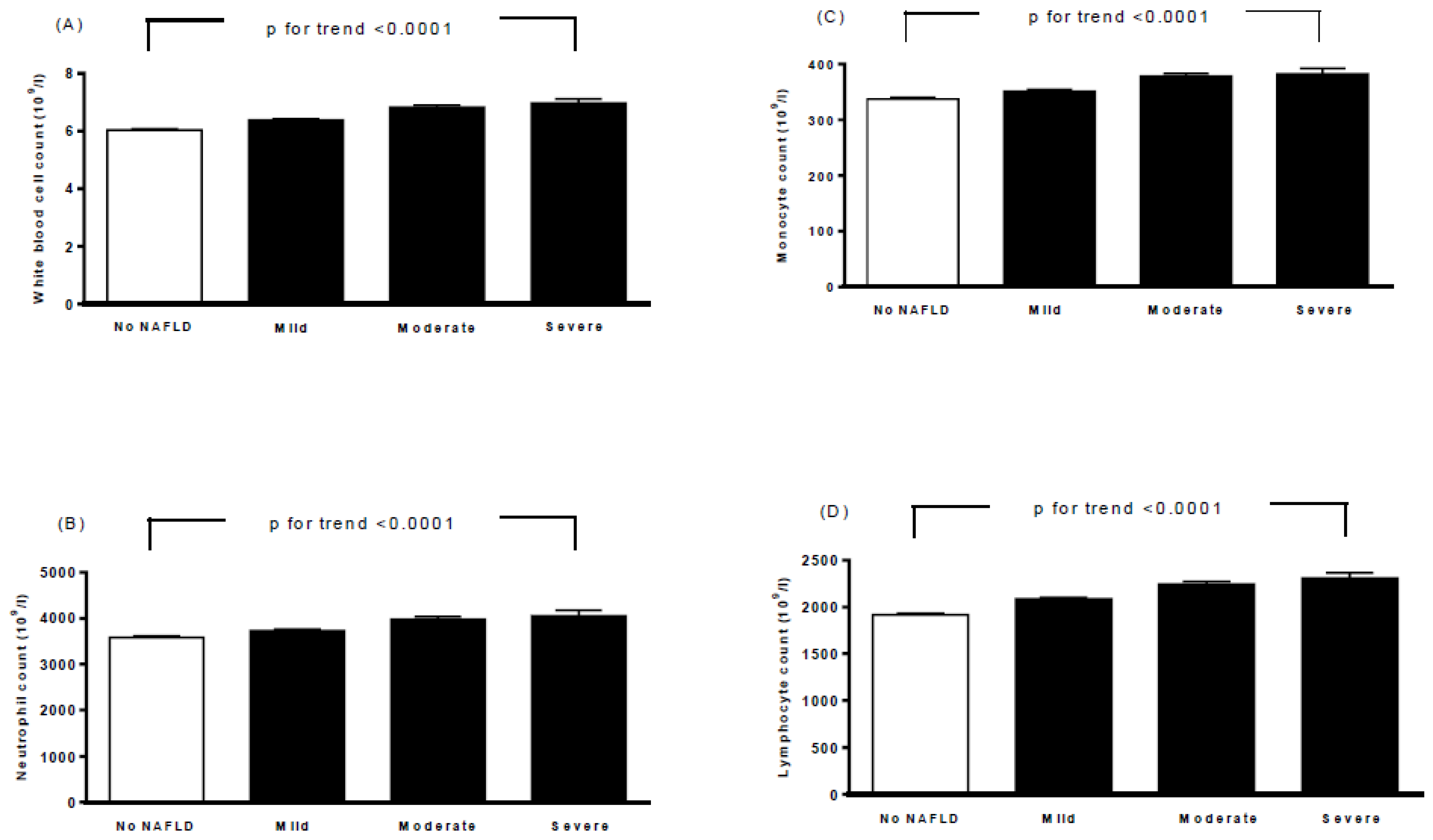
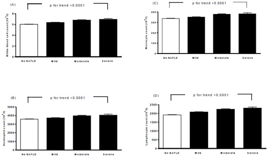
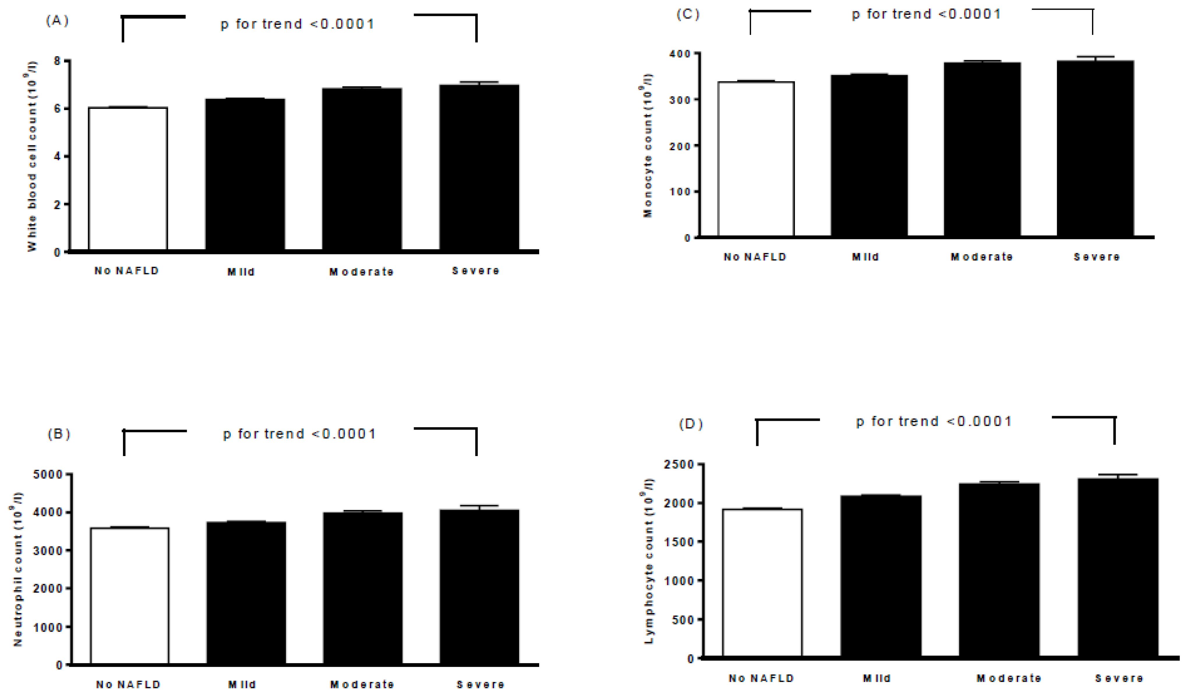
| Total WBC count | 0.126 | <0.0001 | 0.067 | 0.009 |
| Monocyte count | 0.069 | 0.0002 | 0.065 | 0.011 |
| Neutrophil count | 0.118 | <0.0001 | 0.060 | 0.020 |
| Lymphocyte count | 0.099 | <0.0001 | 0.036 | 0.155 |
| NAFLD score | 0.039 | 0.037 | 0.162 | <0.0001 |
| Left ventricular mass index | 0.078 | 0.003 | - | - |
Publisher’s Note: MDPI stays neutral with regard to jurisdictional claims in published maps and institutional affiliations. |
© 2022 by the authors. Licensee MDPI, Basel, Switzerland. This article is an open access article distributed under the terms and conditions of the Creative Commons Attribution (CC BY) license (https://creativecommons.org/licenses/by/4.0/).
Share and Cite
Hung, W.-C.; Yu, T.-H.; Wu, C.-C.; Lee, T.-L.; Tang, W.-H.; Chen, C.-C.; Lu, I.-C.; Chung, F.-M.; Lee, Y.-J.; Hsu, C.-C. Nonalcoholic Fatty Liver Disease Is Related to Abnormal Corrected QT Interval and Left Ventricular Hypertrophy in Chinese Male Steelworkers. Int. J. Environ. Res. Public Health 2022, 19, 14555. https://doi.org/10.3390/ijerph192114555
Hung W-C, Yu T-H, Wu C-C, Lee T-L, Tang W-H, Chen C-C, Lu I-C, Chung F-M, Lee Y-J, Hsu C-C. Nonalcoholic Fatty Liver Disease Is Related to Abnormal Corrected QT Interval and Left Ventricular Hypertrophy in Chinese Male Steelworkers. International Journal of Environmental Research and Public Health. 2022; 19(21):14555. https://doi.org/10.3390/ijerph192114555
Chicago/Turabian StyleHung, Wei-Chin, Teng-Hung Yu, Cheng-Ching Wu, Thung-Lip Lee, Wei-Hua Tang, Chia-Chi Chen, I-Cheng Lu, Fu-Mei Chung, Yau-Jiunn Lee, and Chia-Chang Hsu. 2022. "Nonalcoholic Fatty Liver Disease Is Related to Abnormal Corrected QT Interval and Left Ventricular Hypertrophy in Chinese Male Steelworkers" International Journal of Environmental Research and Public Health 19, no. 21: 14555. https://doi.org/10.3390/ijerph192114555
APA StyleHung, W.-C., Yu, T.-H., Wu, C.-C., Lee, T.-L., Tang, W.-H., Chen, C.-C., Lu, I.-C., Chung, F.-M., Lee, Y.-J., & Hsu, C.-C. (2022). Nonalcoholic Fatty Liver Disease Is Related to Abnormal Corrected QT Interval and Left Ventricular Hypertrophy in Chinese Male Steelworkers. International Journal of Environmental Research and Public Health, 19(21), 14555. https://doi.org/10.3390/ijerph192114555

