Effects of Theacrine as a Pre-Workout Supplement
Abstract
1. Introduction
2. Materials and Methods
2.1. Participants
2.2. Protocol
2.3. Statistical Treatment
3. Results
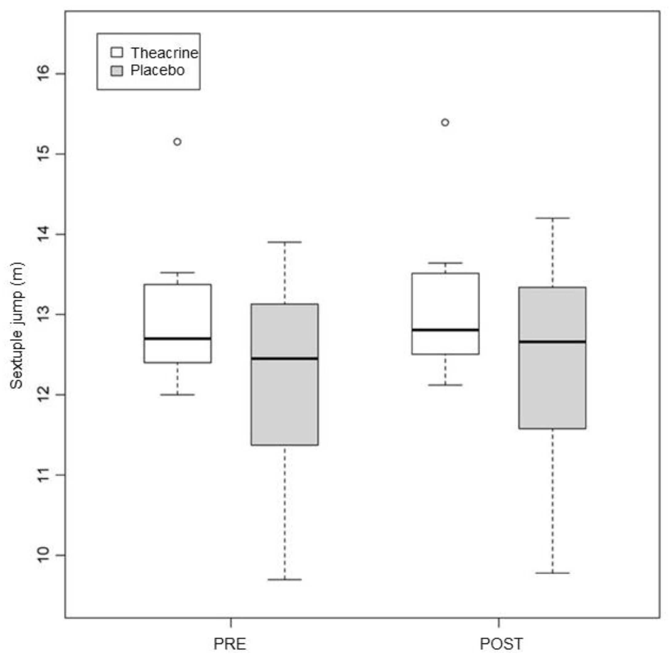
3.1. Sextuple Jump
3.2. Agility T Test
3.3. 30 Meter Sprint
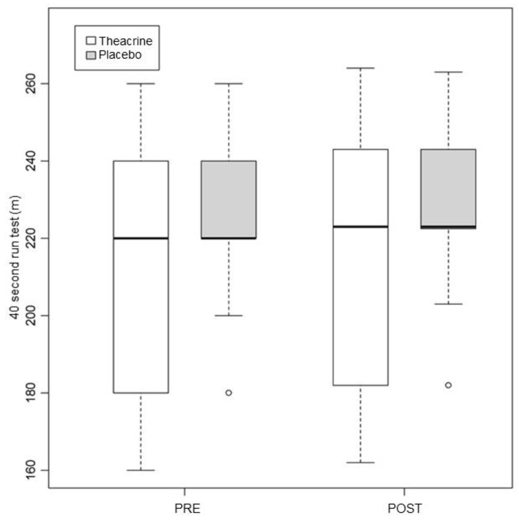
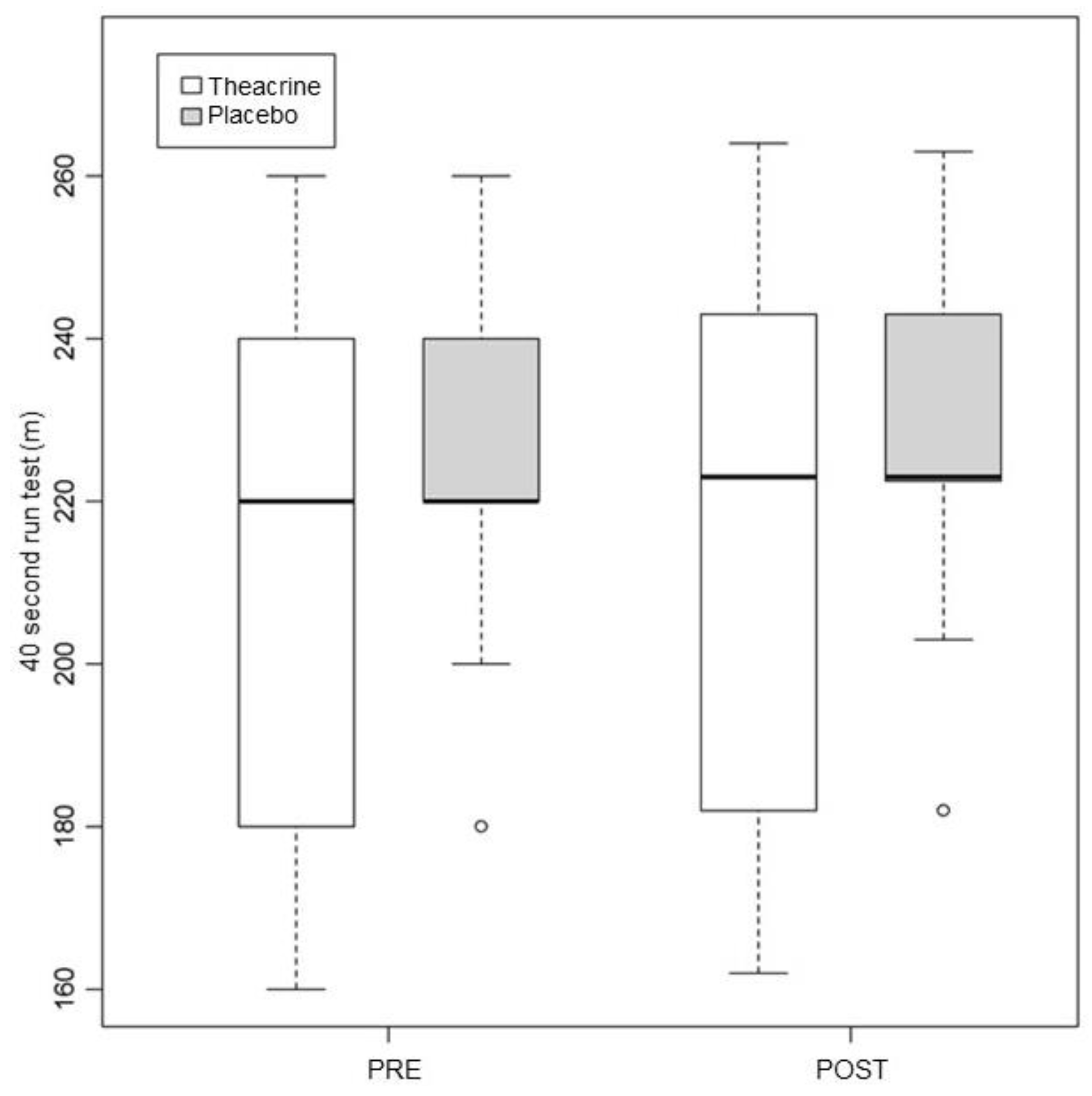
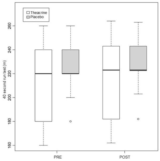
3.4. 40 Second Run
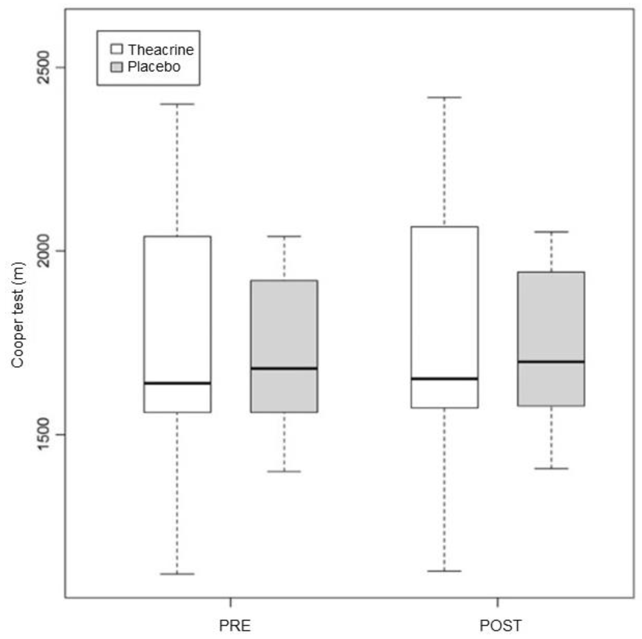
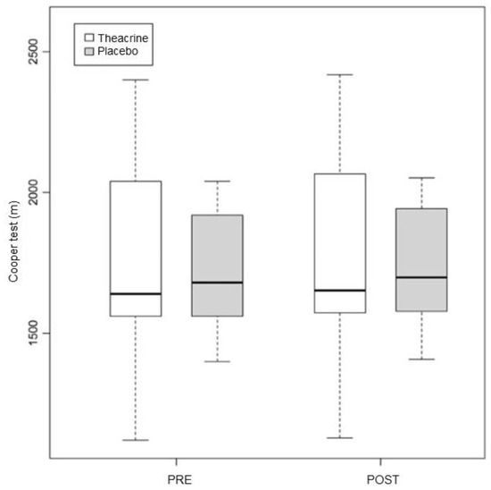
3.5. Cooper Test
4. Discussion
5. Conclusions
Author Contributions
Funding
Institutional Review Board Statement
Informed Consent Statement
Data Availability Statement
Acknowledgments
Conflicts of Interest
References
- Garthe, I.; Maughan, R.J. Athletes and Supplements: Prevalence and Perspectives. Int. J. Sport Nutr. Exerc. Metab. 2018, 28, 126. [Google Scholar] [CrossRef] [PubMed]
- Harty, P.S.; Zabriskie, H.A.; Erickson, J.L.; Molling, P.E.; Kerksick, C.M.; Jagim, A.R. Multi-ingredient pre-workout supplements, safety implications, and performance outcomes: A brief review. J. Int. Soc. Sport. Nutr. 2018, 15, 41. [Google Scholar] [CrossRef] [PubMed]
- Martin, J.S.; Mumford, P.W.; Haun, C.T.; Luera, M.J.; Muddle, T.W.D.; Colquhoun, R.J.; Feeney, M.P.; Mackey, C.S.; Roberson, P.A.; Young, K.C.; et al. Effects of a pre-workout supplement on hyperemia following leg extension resistance exercise to failure with different resistance loads. J. Int. Soc. Sport. Nutr. 2017, 14, 38. [Google Scholar] [CrossRef] [PubMed]
- Guest, N.S.; VanDusseldorp, T.A.; Nelson, M.T.; Grgic, J.; Schoenfeld, B.J.; Jenkins, N.D.M.; Arent, S.M.; Antonio, J.; Stout, J.R.; Trexler, E.T.; et al. International society of sports nutrition position stand: Caffeine and exercise performance. J. Int. Soc. Sport. Nutr. 2021, 18, 1. [Google Scholar] [CrossRef]
- Evans, J.; Richards, J.R.; Battisti, A.S. Caffeine. StatPearls Publishing Copyright© 2020. In StatPearls; StatPearls Publishing LLC.: Treasure, Island, 2020. [Google Scholar]
- WADA. The Prohibited List; World Anti-Doping Agency: Montreal, QC, Canada, 2021. [Google Scholar]
- Rodda, S.; Booth, N.; McKean, J.; Chung, A.; Park, J.J.; Ware, P. Mechanisms for the reduction of caffeine consumption: What, how and why. Drug Alcohol Depend. 2020, 212, 108024. [Google Scholar] [CrossRef] [PubMed]
- Qiao, H.; Ye, X.; Bai, X.; He, J.; Li, T.; Zhang, J.; Zhang, W.; Xu, J. Theacrine: A purine alkaloid from Camellia assamica var. kucha with a hypnotic property via the adenosine system. Neurosci. Lett. 2017, 659, 48–53. [Google Scholar] [CrossRef] [PubMed]
- Sheng, Y.Y.; Xiang, J.; Wang, Z.S.; Jin, J.; Wang, Y.Q.; Li, Q.S.; Li, D.; Fang, Z.T.; Lu, J.L.; Ye, J.H.; et al. Theacrine From Camellia kucha and Its Health Beneficial Effects. Front. Nutr. 2020, 7, 596823. [Google Scholar] [CrossRef]
- Habowski, S.M.; Sandrock, J.E.; Kedia, A.W.; Ziegenfuss, T.N. The effects of Teacrine(TM), a nature-identical purine alkaloid, on subjective measures of cognitive function, psychometric and hemodynamic indices in healthy humans: A randomized, double-blinded crossover pilot trial. J. Int. Soc. Sport. Nutr. 2014, 11, P49. [Google Scholar] [CrossRef]
- Clewell, A.; Hirka, G.; Glavits, R.; Palmer, P.A.; Endres, J.R.; Murbach, T.S.; Marx, T.; Pasics Szakonyine, I. A 90-Day Oral Toxicological Evaluation of the Methylurate Purine Alkaloid Theacrine. J. Toxicol. 2016, 2016, 6206859. [Google Scholar] [CrossRef] [PubMed]
- Feduccia, A.A.; Wang, Y.; Simms, J.A.; Yi, H.Y.; Li, R.; Bjeldanes, L.; Ye, C.; Bartlett, S.E. Locomotor activation by theacrine, a purine alkaloid structurally similar to caffeine: Involvement of adenosine and dopamine receptors. Pharmacol. Biochem. Behav. 2012, 102, 241–248. [Google Scholar] [CrossRef] [PubMed]
- Bello, M.L.; Walker, A.J.; McFadden, B.A.; Sanders, D.J.; Arent, S.M. The effects of TeaCrine(R) and caffeine on endurance and cognitive performance during a simulated match in high-level soccer players. J. Int. Soc. Sport. Nutr. 2019, 16, 20. [Google Scholar] [CrossRef] [PubMed]
- Cesareo, K.R.; Mason, J.R.; Saracino, P.G.; Morrissey, M.C.; Ormsbee, M.J. The effects of a caffeine-like supplement, TeaCrine(R), on muscular strength, endurance and power performance in resistance-trained men. J. Int. Soc. Sport. Nutr. 2019, 16, 47. [Google Scholar] [CrossRef] [PubMed]
- Cerqueira, H.S.C.; Filho, H.T.; Corrêa, M., Jr.; Martinelli, C.E., Jr. Theacrine does not enhance physical performance or training status over 8 weeks. Comp. Exerc. Physiol. 2022, 18, 171–177. [Google Scholar] [CrossRef]
- Navalta, J.W.; Stone, W.J.; Lyons, T.S. Ethical issues relating to scientific discovery in exercise science. Int. J. Exerc. Sci. 2019, 12, 1. [Google Scholar] [PubMed]
- Souza, J.d.; Gomes, A.C.; Leme, L.; Silva, S.G.d. Changes in metabolic and motor performance variables induced by training in handball players. Rev. Bras. Med. Esporte 2006, 12, 129–134. [Google Scholar] [CrossRef][Green Version]
- Lockie, R. Testing, Assessment, and Monitoring Agility and Quickness. In Developing Agility and Quickness, 2nd ed.; Daves, J., Association, N.S.C., Eds.; Human Kinetics: Champaign, IL, USA, 2019. [Google Scholar]
- Alemdaroğlu, U. The relationship between muscle strength, anaerobic performance, agility, sprint ability and vertical jump performance in professional basketball players. J. Hum. Kinet. 2012, 31, 149–158. [Google Scholar] [CrossRef] [PubMed]
- Matsudo, V.K.R. Anaerobic power evaluation: 40 second run test. Braz. J. Sport. Sci. 1979, 1, 8–16. [Google Scholar]
- Cooper, K.H. A Means of Assessing Maximal Oxygen Intake: Correlation Between Field and Treadmill Testing. JAMA 1968, 203, 201–204. [Google Scholar] [CrossRef] [PubMed]
- Saghaei, M. Random allocation software for parallel group randomized trials. BMC Med. Res. Methodol. 2004, 4, 26. [Google Scholar] [CrossRef] [PubMed]
- Taylor, L.; Mumford, P.; Roberts, M.; Hayward, S.; Mullins, J.; Urbina, S.; Wilborn, C. Safety of TeaCrine®, a non-habituating, naturally-occurring purine alkaloid over eight weeks of continuous use. J. Int. Soc. Sport. Nutr. 2016, 13, 2. [Google Scholar] [CrossRef]
- Ziegenfuss, T.N.; Habowski, S.M.; Sandrock, J.E.; Kedia, A.W.; Kerksick, C.M.; Lopez, H.L. A Two-Part Approach to Examine the Effects of Theacrine (TeaCrine®) Supplementation on Oxygen Consumption, Hemodynamic Responses, and Subjective Measures of Cognitive and Psychometric Parameters. J. Diet. Suppl. 2017, 14, 9–24. [Google Scholar] [CrossRef] [PubMed]






| Variable | Mean ± SD | ||
|---|---|---|---|
| Theacrine (n = 11) | Placebo (n = 11) | Total (n = 22) | |
| Age (years) | 19.64 ± 1.43 | 20.45 ± 2.11 | 20.05 ± 1.81 |
| Height (cm) | 178 ± 5.78 | 179 ± 8.5 | 178.27 ± 7.10 |
| Body mass (kg) | 76 ± 14.25 | 79.18 ± 16.37 | 78.57 ± 14.70 |
| Lean mass (kg) | 61.98 ± 9.89 | 63.58 ± 10.88 | 63.43 ± 9.96 |
| Fat mass (%) | 14.02 ± 4.97 | 15.60 ± 5.83 | 18.74 ± 3.88 |
| Variable | Theacrine (n = 11) | Placebo (n = 11) | ||||
|---|---|---|---|---|---|---|
| Battery 1 | Battery 2 | Δ | Battery 1 | Battery 2 | Δ | |
| Sextuple jump (m) | 12.96 (±0.89) | 13.09 * (±0.92) | 0.13 | 12.18 (±1.31) | 13.36 ** (±1.37) | 0.18 |
| Agility T test (s) | 9.96 (±0.86) | 9.91 (±0.85) | −0.05 | 9.94 (±0.73) | 9.87 (±0.73) | −0.07 |
| 30 m sprint (s) | 4.69 (±0.44) | 4.66 * (±0.44) | −0.03 | 4.69 (±0.36) | 4.65 ** (±0.35) | −0.04 |
| 40 s run test (m) | 212.73 (±34.95) | 215.36 * (±35.85) | 2.63 | 225.45 (±22.07) | 228.27 ** (±22.31) | 2.82 |
| Cooper test (m) | 1745.45 (±391.21) | 1761.09 * (±395.63) | 15.64 | 1734.55 (±221.47) | 1749.82 * (±223.51) | 15.27 |
Publisher’s Note: MDPI stays neutral with regard to jurisdictional claims in published maps and institutional affiliations. |
© 2022 by the authors. Licensee MDPI, Basel, Switzerland. This article is an open access article distributed under the terms and conditions of the Creative Commons Attribution (CC BY) license (https://creativecommons.org/licenses/by/4.0/).
Share and Cite
Cerqueira, H.S.C.; Filho, H.T.; Corrêa Junior, M.; Martinelli Junior, C.E. Effects of Theacrine as a Pre-Workout Supplement. Int. J. Environ. Res. Public Health 2022, 19, 14037. https://doi.org/10.3390/ijerph192114037
Cerqueira HSC, Filho HT, Corrêa Junior M, Martinelli Junior CE. Effects of Theacrine as a Pre-Workout Supplement. International Journal of Environmental Research and Public Health. 2022; 19(21):14037. https://doi.org/10.3390/ijerph192114037
Chicago/Turabian StyleCerqueira, Henrique Santa Capita, Hugo Tourinho Filho, Marcos Corrêa Junior, and Carlos Eduardo Martinelli Junior. 2022. "Effects of Theacrine as a Pre-Workout Supplement" International Journal of Environmental Research and Public Health 19, no. 21: 14037. https://doi.org/10.3390/ijerph192114037
APA StyleCerqueira, H. S. C., Filho, H. T., Corrêa Junior, M., & Martinelli Junior, C. E. (2022). Effects of Theacrine as a Pre-Workout Supplement. International Journal of Environmental Research and Public Health, 19(21), 14037. https://doi.org/10.3390/ijerph192114037

