Spatial Distribution Characteristics and Influencing Factors of Traditional Villages on the Tibetan Plateau in China
Abstract
1. Introduction
2. Materials and Methods
2.1. Location
2.2. Data Sources
2.3. Methods
3. Results
3.1. Spatial Distribution Characteristics of Villages
3.1.1. Distribution on the Whole Region
Distribution Type
Distribution Trends and Main Areas: Cluster Area and High-Density Areas of Villages
- (1)
- Cluster area: Hehuang Valley area
- (2)
- High-density areas: western Sichuan Plateau, Three Parallel Rivers, YZN, Yushu, and Gannan areas
3.1.2. Distribution at the Provincial Level
3.1.3. Distribution at the City Level
3.1.4. Ethnic Distribution
3.2. Factors Influencing the Spatial Distribution of Traditional Villages
3.2.1. Environmental Factors
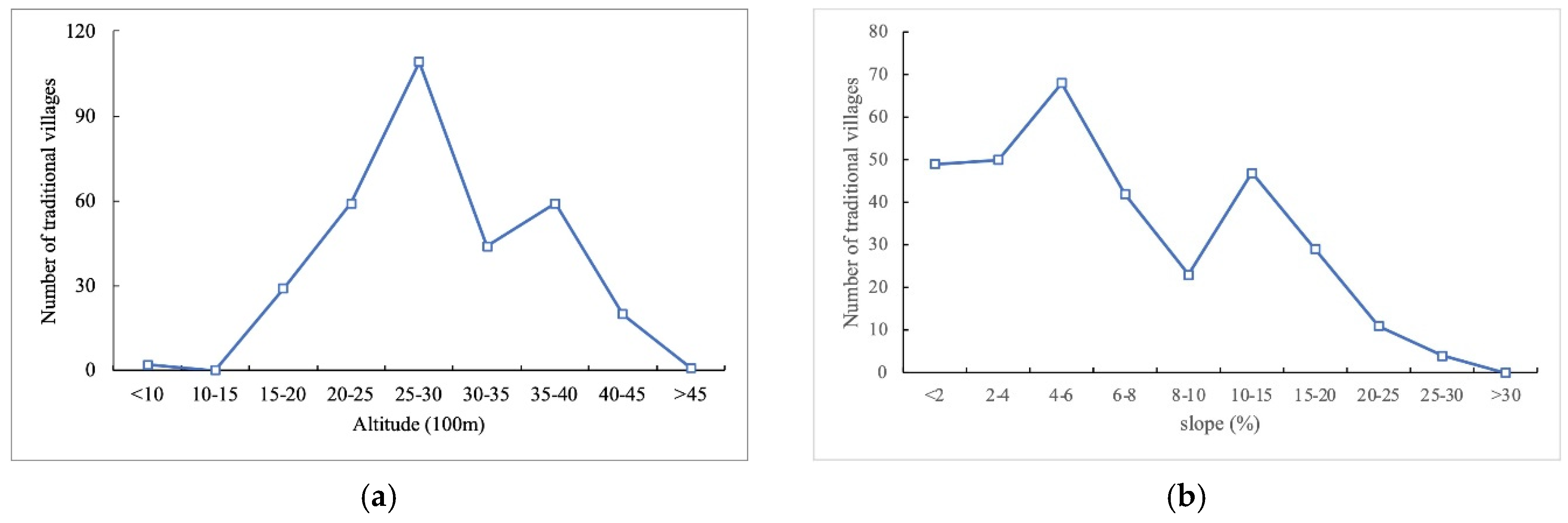
Topography and Altitude
Temperature and Precipitation
River Systems
3.2.2. Socioeconomic Factors
Transportation
Regional Gross Domestic Product
3.2.3. Historical Factors
3.2.4. The Associations and Distinctiveness among Multiple Factors
4. Discussion
4.1. How to Protect the Traditional Villages on the Tibetan Plateau Due to the Distribution Characteristics
- (1)
- Improve the coordinated regional development and promoting a balance in the number of selected traditional villages in different regions. China’s traditional villages, which are a context selected by the government, are closely linked to the regional economy, transportation, and tourism. Original traditional villages are easier to discover and protect in areas with convenient transportation and a good regional economy, whereas they are weaker in remote areas with poor transportation accessibility. To avoid the occurrence, the government should assume a major role in promoting more balanced and coordinated development. In China, some policies have been centered on this suggestion, but implementation has mainly taken place at the county level, where the concentrated conservation in patches is one important policy. This policy seeks to identify counties with a high concentration of traditional villages and exceptional local cultures. Following their selection, the counties will receive a fixed subsidy from the central government of China in the range of 30 to 50 million yuan. In March 2022, the Xunhua County of Qinghai province, which is part of the core cluster area of the Huanghuang Valley, was chosen for the first batch of the list. We recommend strengthening regional coordination by concentrating on the six distribution areas. A clustering effect and spillover effect should be unleashed in the main high-density distribution area—the Huanghuang Valley—to improve the quality of village conservation and encourage the development of the surrounding areas. In areas where the terrain is challenging and the number of villages is smaller, such as the western Sichuan Plateau and the Three Rivers, attention should be made to the rediscovery of traditional villages, as well as the creation of transportation and tourism infrastructure.
- (2)
- Strengthen the differentiated protection approach in accordance with the regional approach. The Tibetan Plateau’s most distinguishing features are its ethnic diversity and geographical complexity, where different ethnic groups have formed their settlement areas and, in a broad sense, cultural subdivisions through continuous adaptation to the environment over a long period. The expansion of international tourism is changing the relationship between ethnic groups and states around the globe [37], which is happening on the Tibetan Plateau. In this case, the identifiability of traditional villages dwindles, necessitating regional and typological village protection. We emphasize the employment of a zonal differentiated conservation strategy based on six high-density distribution zones, which emphasizes the preservation of the diverse regional cultures’ uniqueness.
- (3)
- Establish a system for the identification and preservation of ethnic villages on the Tibetan Plateau. The plateau has significant ethnic diversity, which is reflected in its traditional villages, and this study has described single-ethnicity settlements dominated by Tibetans, as well as mixed multi-ethnic villages. Given that China’s policy calls for the creation of a distinct ethnic reserve on the Tibetan Plateau, these distributional characteristics strongly promote the creation of an ethnic settlement identification system. The creation of this system can be approached from two angles. The first step is to distinguish between the various ethnic settlements. This can be determined by analyzing and generalizing the village’s plan, morphology, traditional architecture, and other elements. Second, specific conservation and development strategies and suggestions are put forth for various ethnic settlements based on the identification of ethnic settlement types in the earlier stage. These two methods can be used to preserve traditional settlements on the Tibetan Plateau in their entirety. These two actions will allow for the general protection of traditional Tibetan plateau villages.
4.2. Limitations of This Study
5. Conclusions
- (1)
- The early comprehensive study of the overall Tibetan Plateau area is the key advance of this study since it expands the study field of traditional villages at the regional level. In comparison to other countries, China has several traditional villages—6819 of them are listed on the assessment list. The trend is to investigate the macro-geospatial distribution of villages as village data collection progresses. With the advancement of government-guided village data collection, a macro-level geographic study of Chinese villages has emerged as a major trend. There have been limited studies focusing on villages in the entire Tibetan Plateau area, and the study results related to the plateau only cover some parts of it, such as Qinghai Province and Sichuan Province. Furthermore, we investigated the ethnic distribution characteristics of villages, which are rarely covered in previous research but are an essential feature of the Tibetan Plateau. Consequently, we focused on the Tibetan Plateau area, applying geographical analysis to investigate the spatial distribution characteristics of traditional villages and their influencing factors and propose suggestions for the development of traditional villages in the region, in the hope of drawing more attention to it.
- (2)
- Our findings indicate that traditional villages are distributed unevenly across the Tibetan Plateau, being sparse in the northwest and abundant in the southeast, and the type of distribution is agglomeration (nearest neighbor index R = 0.33). The provincial and municipal distribution is uneven, with a large step difference. Tibetans make up the majority of the interethnic population in the villages, with other ethnic groups being mixed in marginal areas. The distribution follows a “big scattered, small gather” pattern, i.e., it is generally distributed with localized areas characterized by aggregation (Global Moran’s I Index value = 0.236, z value = 2.84). We identified one cluster (i.e., the Hehuang Valley area of Qinghai Province) and five high-density areas (i.e., the western Sichuan Plateau, the Three Parallel Rivers area of Yunnan Province, the YZN area of Tibet Province, the Yushu area of Qinghai Province, and the Gannan area).
- (3)
- The natural environment has the greatest influence on the distribution of traditional villages, followed by human history, especially concerning the distribution of single and multi-ethnic villages, and socioeconomic factors have multiple influences. The natural setting of the formation and growth of villages includes altitude, slope, temperature, and precipitation. Human history is the major determinant of the pattern of village distribution, and the core cluster area is historically a site of agricultural development. Multi-ethnic cultural mingling has influenced the distribution of villages and has also produced distinctive regional characteristics. Socioeconomic factors, including the level of economic development and the construction of road infrastructure, have influenced the layout of traditional villages. In summary, the long-term interaction of these factors has led to the present-day spatial distribution of traditional villages on the Tibetan Plateau. We have investigated the distribution of traditional villages on the sparsely populated Tibetan Plateau and the factors that control the distribution. We aim to focus on the conversion and development of traditional villages in future work.
Author Contributions
Funding
Institutional Review Board Statement
Informed Consent Statement
Data Availability Statement
Conflicts of Interest
References
- Wolfe, R.I.; Doxiadis, C.A. Ekistics: An Introduction to the Science of Human Settlements; Oxford University Press: New York, NY, USA, 1968. [Google Scholar]
- Ministry of Housing and Urban-Rural Development of the People’s Republic of China; Ministry of Culture of the People’s Republic of China; State Administration of Cultural Heritage. Notice on the Recommendation of the Fifth Batch of Chinese Traditional Villages Survey. 28 July 2017. Available online: https://www.mohurd.gov.cn/gongkai/fdzdgknr/tzgg/201708/20170801_232807.html (accessed on 6 March 2022).
- Xie, G.; Lu, C.; Leng, Y.; Zheng, D.; Li, S. Valuation of ecological assets on the Qinghai-Tibet Plateau. J. Nat. Resour. 2003, 18, 189–196. [Google Scholar] [CrossRef]
- Zheng, C.M. Study on the Spatial Morphology Mapping of Traditional Villages in West Sichuan; Hunan University: Changsha, China, 2020. [Google Scholar]
- Xiang, Y. Research on Genetic Variation Mechanism of Traditional Rural Settlement Landscape and Its Restoration in Shaanxi; Northwestern University: Evanston, IL, USA, 2020. [Google Scholar]
- Xu, J.; Liu, S.; Mao, Z.; Hou, Q. Spatial distribution characteristics of Chinese traditional villages and conservation system scheme. J. Hunan Univ. (Soc. Sci. Ed.) 2021, 35, 152–160. [Google Scholar] [CrossRef]
- Li, B.; Yin, S.; Liu, P.; Dou, Y. Analysis of spatial distribution characteristics and influencing factors of traditional villages in Hunan Provinces. Econ. Geogr. 2015, 35, 189–194. [Google Scholar] [CrossRef]
- Sun, J.; Niu, J.; Zhang, K.; Shao, X. Study on the spatial distribution pattern of traditional villages in Shanxi Province and the influencing factors. Hum. Geogr. 2017, 32, 102–107. [Google Scholar] [CrossRef]
- Feng, Y.; Yu, W.; Lei, R. Study on the spatial distribution characteristics and influencing factors of traditional villages in Guangdong Province. Geoscience 2017, 37, 236–243. [Google Scholar] [CrossRef]
- Tong, Y. GIS-based study on spatial differentiation of traditional Chinese villages. Hum. Geogr. 2014, 29, 44–51. [Google Scholar]
- Liu, D.; Hu, J.; Chen, J.; Xu, X. Study on the spatial distribution pattern of traditional villages in China. China Popul.-Resour. Environ. 2014, 24, 157–162. [Google Scholar] [CrossRef]
- Li, J.; Wang, X.; Li, X. Analysis of spatial distribution characteristics and influencing factors of traditional villages in China. Econ. Geogr. 2020, 40, 143–153. [Google Scholar] [CrossRef]
- Cao, Y.; Zhang, Y. The Selection and Distribution of ‘Chinese Traditional Villages’. J. Archit. 2013, 12, 44–49. [Google Scholar]
- Zhang, Y.; Li, B.; Zheng, D. On the extent and area of the Tibetan Plateau. Geogr. Stud. 2002, 21, 1–8. [Google Scholar] [CrossRef]
- Shi, B.; Sun, P. Research methods and applications of spatial characteristics of traditional villages. In Proceedings of the 2021 China Urban Planning Annual Conference (09 Urban Cultural Heritage Protection), Chengdu, China, 25 September 2021; pp. 729–737. [Google Scholar] [CrossRef]
- Xu, Y.; Yang, X.; Feng, X.; Yan, P.; Shen, Y.; Li, X. Spatial distribution and site selection adaptation mechanism of traditional villages along the Yellow River in Shanxi and Shaanxi. River Res. Appl. 2022, 1–13. [Google Scholar] [CrossRef]
- Bian, J.; Chen, W.; Zeng, J. Spatial Distribution Characteristics and Influencing Factors of Traditional Villages in China. Int. J. Environ. Res. Public Health 2022, 19, 4627. [Google Scholar] [CrossRef] [PubMed]
- Wu, C.; Chen, M.; Zhou, L.; Liang, X.; Wang, W. Identifying the spatiotemporal patterns of traditional villages in China: A multiscale perspective. Land 2020, 9, 449. [Google Scholar] [CrossRef]
- Wang, P.; Zhang, J.; Sun, F.; Cao, S.; Kan, Y.; Wang, C.; Xu, D. Spatial Distribution Characteristics and Influence Mechanisms of Traditional Villages in Southwest China. Econ. Geogr. 2021, 41, 204–213. [Google Scholar] [CrossRef]
- Li, M.; Rui, Y.; Wang, C.; Ji, Y.; Li, Y. Research on the Spatial Distribution and Influencing Factors of Traditional Villages-Taking Wuyue Cultural Area as an Example. Resour. Environ. Yangtze River Basin 2018, 27, 1693–1702. [Google Scholar]
- Guan, Z.; Wang, T.; Zhi, X. The spatial and temporal pattern of the distribution of traditional villages in the Central Plains Economic Zone and its causes. Econ. Geogr. 2017, 37, 225–232. [Google Scholar] [CrossRef]
- Kang, J.; Zhang, J.; Hu, H.; Zhou, J.; Xiong, J. Analysis of Spatial Distribution Characteristics of Chinese Traditional Villages. Adv. Geogr. Sci. 2016, 35, 839–850. [Google Scholar]
- Tian, H. Spatial distributive characteristics and its influencing factors of traditional villages in Beijing-Tianjin-Hebei Region. Econ. Geogr. 2020, 40, 143–149. [Google Scholar] [CrossRef]
- Xu, J.; Yang, M.; Hou, G.; Lu, Z.; Liu, D. Distribution of rural tourism development in geographical space: A case study of 323 traditional villages in Shaanxi, China. Eur. J. Remote Sens. 2021, 54, 318–333. [Google Scholar] [CrossRef]
- Chen, J.; Liu, D.; Zhou, Y.; Zhu, A.; Xiao, P. Spatial distribution and causes of traditional villages in the Jialing River Basin. Econ. Geogr. 2018, 38, 148–153. [Google Scholar] [CrossRef]
- Xue, M.; Wang, C.; Dou, W.; Wang, Z. Study on the Spatial Distribution Characteristics and Influencing Factors of Traditional Villages in the Yellow River Basin. Resour. Environ. Arid. Areas 2020, 34, 94–99. [Google Scholar] [CrossRef]
- Ju, X.; Yang, C.; Zhao, M.; Xu, Y.; Zhou, D.; Zhang, Y. Spatial distribution characteristics and influencing factors of traditional villages in Zhejiang, Anhui, Shaanxi and Yunnan provinces. Econ. Geogr. 2022, 42, 222–230. [Google Scholar] [CrossRef]
- Zheng, X.; Wu, J.; Deng, H. Spatial distribution and land use of traditional villages in southwest China. Sustainability 2021, 13, 6326. [Google Scholar] [CrossRef]
- Silverman, B.W. Density Estimation for Statistics and Data Analysis; Chapman and Hall: London, UK, 1986. [Google Scholar]
- Ge, C.; Wang, Y.; Zhou, D. Research on the spatial distribution characteristics and its influencing factors of traditional villages inYunnn province. J. Guizhou Univ. (Nat. Sci.) 2022, 39, 98. [Google Scholar] [CrossRef]
- Qi, J.; Lu, Y.; Han, F.; Ma, X.; Yang, Z. Spatial Distribution Characteristics of the Rural Tourism Villages in the Qinghai-Tibetan Plateau and Its Influencing Factors. Int. J. Environ. Res. Public Health 2022, 19, 9330. [Google Scholar] [CrossRef] [PubMed]
- Zhang, X.L.; Ha, B.B.; Wang, S.J.; Chen, Z.J.; Ge, J.Y.; Long, H.; He, W.; Da, W.; Nian, X.M.; Yi, M.J.; et al. The earliest human occupation of the high-altitude Tibetan Plateau 40 thousand to 30 thousand years ago. Science 2018, 362, 1049–1051. [Google Scholar] [CrossRef] [PubMed]
- Zhang, X.Y. Research of the History Relationship of Naxi and Tibet; Sichuan University: Chengdu, China, 2003. [Google Scholar]
- Chen, Y. Chinese Tibetan Architecture; China Construction Industry Press: Beijing, China, 2007. [Google Scholar]
- Wang, J. Northwest Folk Houses; China Construction Industry Press: Beijing, China, 2009. [Google Scholar]
- Li, X. Research on Settlements and Tibetan Dwellings along the Sichuan-Tibet Tea Horse Road; Chongqing University: Chongqing, China, 2015. [Google Scholar]
- Oakes, T. Ethnic tourism in rural Guizhou: Sense of place and the commerce of authenticity. In Tourism, Ethnicity, and the State in Asian and Pacific Societies; University of Hawaii Press: Honolulu, HI, USA, 1997; pp. 35–70. [Google Scholar]














| Project | Area | Number | Sources |
|---|---|---|---|
| Geographical data | Tibetan Plateau | n/a | Tibetan Plateau National Data Center of China: http://www.tpdc.ac.cn/zh-hans/ (accessed on 12 May 2022); |
| Socio-economic data | Tibetan Plateau | n/a | Tibetan Plateau National Data Center of China: http://www.tpdc.ac.cn/zh-hans/ (accessed on 5 March 2022); China National Bureau of Statistics: http://www.stats.gov.cn/ (accessed on 16 March 2022) |
| Maps | World and China | n/a | The Ministry of Natural Resources of the P.R.C.: http://bzdt.ch.mnr.gov.cn/ (accessed on 29 July 2022) |
| Traditional villages | Point data | 312 | Traditional Chinese villages digital museum: http://www.dmctv.cn/ (accessed on 5 March 2022); Ministry of Housing and Urban-Rural Development of the P.R.C.: http://www.mohurd.gov.cn/ (accessed on 8 March 2022) |
| No. | Index | Model | Model Definition | Geographical Interpretation |
|---|---|---|---|---|
| 1 | Nearest neighbor index | R is the nearest neighbor index; is the actual nearest neighbor distance; is the theoretical nearest neighbor distance. | Reflects the spatial distribution type of point elements. When R > 1, it is uniformly distributed; when R = 1, it is randomly distributed; when R < 1, it is a clustered distribution. | |
| 2 | Kernel density | represents the kernel density estimation of the kernel density function; represents the number of points in the neighborhood; represents the bandwidth; represents the kernel function. | Reflects the discrete degree of point features; the larger the value, the denser the distribution of point features. | |
| 3 | Imbalance index | is the number of study areas (provinces); is the cumulative proportion of the th rank after the proportion of point elements in each region is ranked from large to small | Reflects the imbalanced degree of point elements in the area; 0 < S < 1 indicates uneven distribution, S = 1 indicates uniform distribution, and S = 0 indicates highly concentrated distribution. | |
| 4 | Geographic concentration index | represents the geographic concentration index; is the number of point elements in the th city area; T is the total number of point elements; is the total number of cities | Reflects the concentration of point elements in a certain area; the value of G is between 0 and 100. The larger the value of G, the more concentrated the distribution of point elements. | |
| 5 | Global Moran’s I | Moran’s I | and are the number of villages in No.i county and No.j county, is the average number of villages; is the spatial adjacent weight matrix of the counties, is the total number of counties. | The values of Moran’s I range from −1 to +1, the value of +1 meaning strong positive spatial autocorrelation, to 0 meaning a random pattern, and to −1 indicating strong negative spatial autocorrelation. |
| 6 | Pearson’s correlation analysis | represents the Pearson’s correlation coefficient; X and Y refers to two variables; t quantifies the statistical significance | Reflects the correlation strength between two variables and its value varies from −1 to 1; the closer the value is to −1 or 1, the stronger the correlation might be; the closer to 0, the less significant of the correlation. |
| Rank | Province | Total Number of Villages | Proportion | Cumulative- Proportion | Average Number of Villages (Per 10,000 km2) |
|---|---|---|---|---|---|
| 1 | Qinghai Province | 121 | 39.78% | 39.78% | 1.66 |
| 2 | Sichuan Province | 120 | 38.46% | 77.24% | 4.76 |
| 3 | Tibet Autonomous Region | 34 | 10.90% | 88.14% | 0.28 |
| 4 | Yunnan Province | 33 | 10.58% | 95.51% | 8.55 |
| 5 | Gansu Province | 14 | 4.49% | 100% | 3.63 |
| 6 | Xinjiang Uygur Autonomous Region | 0 | 0 | 100% | 0 |
| Rank | Province/Region | City/Prefecture | Coverage of the Tibetan Plateau | Number of Villages | Proportion | Geographic Concentration Index |
|---|---|---|---|---|---|---|
| 1 | Sichuan | Ganzi Autonomous Prefecture | Almost whole | 71 | 23.36% | 34.81 |
| 2 | Qinghai | Haidong | whole | 57 | 18.75% | 26.35 |
| 3 | Sichuan | Aba Tibetan and Qiang Autonomous Prefecture | Almost whole | 38 | 9.87% | 18.98 |
| 4 | Qinghai | Huangnan Autonomous Prefecture | whole | 30 | 9.87% | 14.56 |
| 5 | Qinghai | Yushu Autonomous Prefecture | whole | 17 | 5.59% | 10.94 |
| 6 | Yunnan | Diqing Autonomous Prefecture | part | 15 | 4.93% | 9.48 |
| 7 | Gansu | Gannan Autonomous Prefecture | whole | 14 | 4.61% | 8.17 |
| 8 | Tibet Autonomous Region | Shannan | whole | 11 | 3.62% | 6.83 |
| 9 | Qinghai | Xining | part | 9 | 2.96% | 5.85 |
| 10 | Tibet Autonomous Region | Rikaze | whole | 8 | 2.63% | 5.09 |
| 11 | Sichuan | Liangshan Yi Autonomous Prefecture | part | 7 | 2.30% | 4.39 |
| 12 | Yunnan | Lijiang | whole | 6 | 1.97% | 3.78 |
| 13 | Tibet Autonomous Region | Linzhi | part | 5 | 1.64% | 3.25 |
| 14 | Tibet Autonomous Region | Changdu | whole | 4 | 1.32% | 2.83 |
| 15 | Tibet Autonomous Region | Lasa | whole | 4 | 1.32% | 2.52 |
| 16 | Qinghai | Guoluo Autonomous Prefecture | whole | 4 | 1.32% | 2.17 |
| 17 | Qinghai | Hainan Autonomous Prefecture | whole | 4 | 1.32% | 1.76 |
| 18 | Yunnan | Nujiang Lisu Autonomous Prefecture | part | 2 | 0.66% | 1.20 |
| 19 | Sichuan | Mianyang | part | 2 | 0.66% | 1.01 |
| 20 | Sichuan | Yaan | part | 2 | 0.66% | 0.79 |
| 21 | Tibet Autonomous Region | Ngari | whole | 1 | 0.33% | 0.45 |
| 22 | Tibet Autonomous Region | Naqu | whole | 1 | 0.33% | 0.32 |
| Rank | Ethnic Group | Number of Villages | Proportion of Total |
|---|---|---|---|
| 1 | Tibetan | 220 | 70.51% |
| 2 | Multi-ethnic mix | 27 | 8.65% |
| 3 | Sala | 17 | 5.45% |
| 4 | Han | 12 | 3.85% |
| 5 | Qiang | 11 | 3.53% |
| 6 | Tu | 11 | 3.53% |
| 7 | Nakhi | 6 | 1.92% |
| 8 | Lisu | 3 | 0.96% |
| 9 | Hui | 2 | 0.64% |
| 10 | Yi | 1 | 0.32% |
| 11 | Nu | 1 | 0.32% |
| 12 | Mosuo | 1 | 0.32% |
| Total | n/a | 312 | 100% |
Publisher’s Note: MDPI stays neutral with regard to jurisdictional claims in published maps and institutional affiliations. |
© 2022 by the authors. Licensee MDPI, Basel, Switzerland. This article is an open access article distributed under the terms and conditions of the Creative Commons Attribution (CC BY) license (https://creativecommons.org/licenses/by/4.0/).
Share and Cite
Jin, L.; Wang, Z.; Chen, X. Spatial Distribution Characteristics and Influencing Factors of Traditional Villages on the Tibetan Plateau in China. Int. J. Environ. Res. Public Health 2022, 19, 13170. https://doi.org/10.3390/ijerph192013170
Jin L, Wang Z, Chen X. Spatial Distribution Characteristics and Influencing Factors of Traditional Villages on the Tibetan Plateau in China. International Journal of Environmental Research and Public Health. 2022; 19(20):13170. https://doi.org/10.3390/ijerph192013170
Chicago/Turabian StyleJin, Liu, Zongqi Wang, and Xiaohong Chen. 2022. "Spatial Distribution Characteristics and Influencing Factors of Traditional Villages on the Tibetan Plateau in China" International Journal of Environmental Research and Public Health 19, no. 20: 13170. https://doi.org/10.3390/ijerph192013170
APA StyleJin, L., Wang, Z., & Chen, X. (2022). Spatial Distribution Characteristics and Influencing Factors of Traditional Villages on the Tibetan Plateau in China. International Journal of Environmental Research and Public Health, 19(20), 13170. https://doi.org/10.3390/ijerph192013170

