Evolution Model and Simulation Study of the Public Risk Perception of COVID-19
Abstract
:1. Introduction
- In the face of a sudden epidemic of infectious diseases with a strong uncertainty and high risk, how do people understand and deal with the epidemic?
- In each stage of an epidemic evolution, what changes will occur in the composition and quantity of the different types of epidemic information, and the corresponding changes in the level of risk perception?
- Whether or not the way different people experience the same information acceptance process will produce different evolution processes of risk perception.
2. Theoretical Basis
2.1. Limited Memory Theory and the Individual Memory Model
2.2. Crisis Life Cycle and the Management Model
3. Methods
3.1. Construction of a Public Risk Perception Model of COVID-19
3.1.1. Scenario Introduction
3.1.2. Research Assumptions
- Epidemic information release assumption
- 2.
- Memory storage assumption
3.2. Simulation of the Public Risk Perception Model of COVID-19
3.2.1. Simulation Software
3.2.2. Simulation Method and Process
- Variable generation: According to the research assumption, six variables are determined. The independent variables are the time period, T, the memory rate parameter, ρ, the association rate parameter, k, the information receiving amount for each period, N and the amount of the stimulation of the single information for each period, S while the dependent variable is the level of the risk perception, y. In this case, the time period is a natural number from 1 to t, that is, a single row matrix; the size of t depends on the length of the time period studied. The variable assignment code is as follows:
- 2.
- Formula input: Following the generation of the variables, the first term and the recursive formula of the model are input into the command line window of the MATLAB software, and the variables that have been assigned are used for one operation. When inputting the summation part of the recursive formula of this model, this paper adopts an intermediate variable cycle to circle summation. The model formula code is as follows:
- 3.
- Function generation and extraction: To facilitate the subsequent parameter assignment, the formula is saved as a function in script form, as shown in Figure 1.
- 4.
- Image generation: Using the visualization function of MATLAB, the results are generated.
4. Results
4.1. Risk Perception Analysis of the Model Parameters
4.1.1. Impact of the Memory Parameters on the Risk Perception
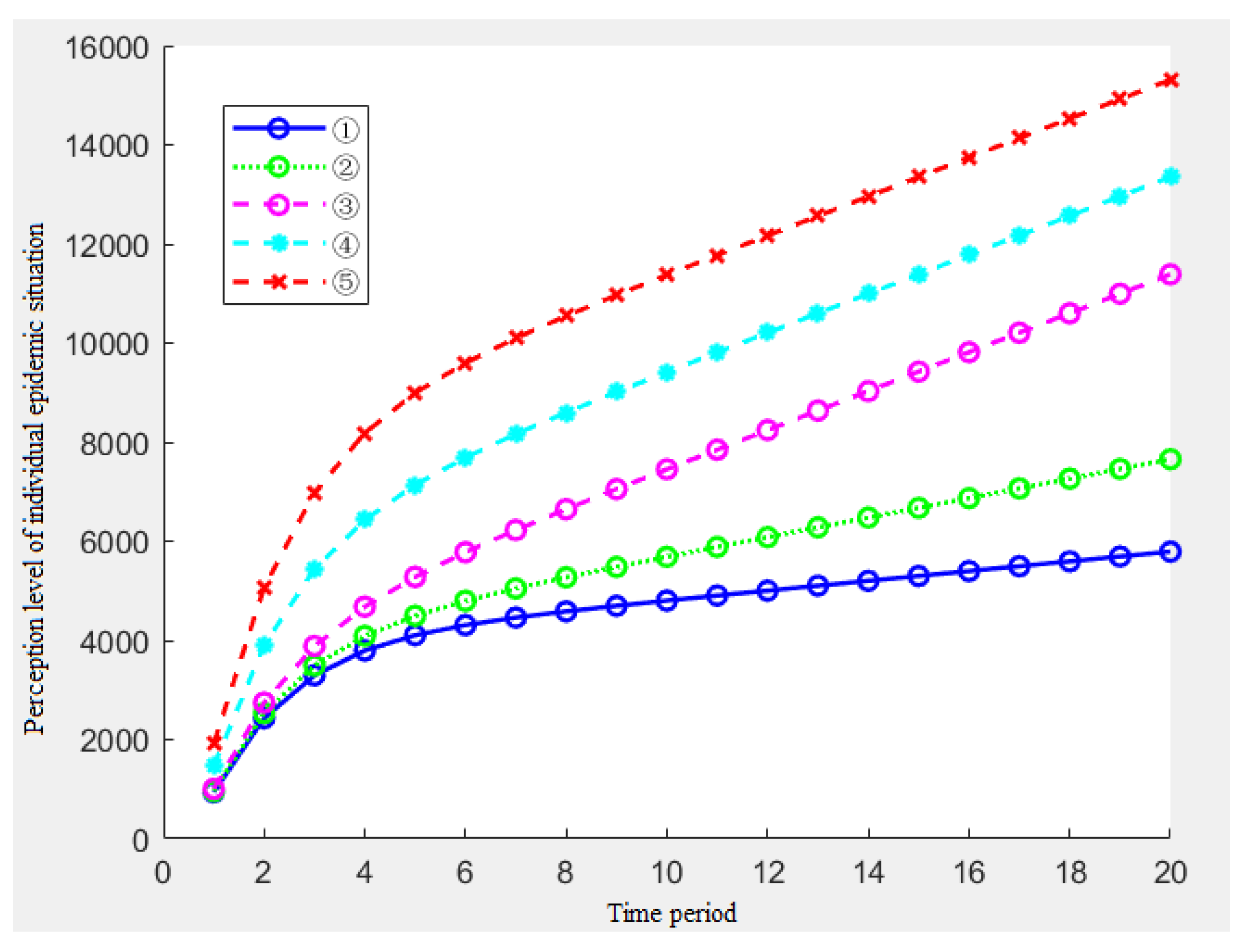
- From the overall situation of the five results, when the amount of information received by the individuals in each period and the amount of the single information stimulus remain unchanged, the individual’s perception level presents a reverse ‘L’ type, which shows that the individual’s perception level increases rapidly at the beginning of the epidemic, then the growth rate of the perception becomes slow and finally remains unchanged at a certain level;
- By analyzing the results of ①③⑤, namely, under the condition of the constant memory rate ρ, with the increase of k, the individual’s perception level will also be significantly improved. Similarly, with the passage of time, this gap will increase in size;
- By analyzing the results of ②③④, namely, when the association rate k = 0.5 and the memory rate ρ increases, the individual’s perception level has also improved significantly. Furthermore, as time goes on, the gap in this perception level will increase in size;
- By analyzing the results of ①② and ④⑤, we find that the changes in the association rate have a significantly greater impact on the risk perception than the changes in the memory rate.
4.1.2. Impact of the Changes in the Individual Information Reception on the Epidemic Perception
- Impact of the changes on the total amount of information received
- A.
- The total amount of epidemic information increases monotonously over time.
- B.
- The total amount of the epidemic information decreases monotonously over time.
- C.
- The total amount of the epidemic information increased first and then decreased over time.
- D.
- The total amount of the epidemic information fluctuated over time.
- 2.
- Effects of the changes in the single information stimulus parameters
- A.
- The amount of the information stimulation increases monotonically over time.
- From the overall situation, when the amount of the information stimulation shows a monotonous increasing trend, the individual’s epidemic perception level will show an increasing trend, but the growth rate will gradually decline in the previous cycles and will stop falling at a certain node, which is consistent with the growth trend of the information stimulation and it becomes a linear growth;
- By analyzing the results of ①②③, when the starting point d of the information stimulus is constant, the growth rate c determines the growth rate of the second half of the perception of epidemic in the middle and late stages of the epidemic event;
- By analyzing the results of ③④⑤, when the change rate of the information stimulation c is constant, the greater the initial information stimulation d, the greater the initial growth rate of the level of the epidemic perception in the previous several cycles, and the overall level will be higher in the middle and later periods, which is in line with reality.
- B.
- The amount of the information stimulation decreases monotonically over time.
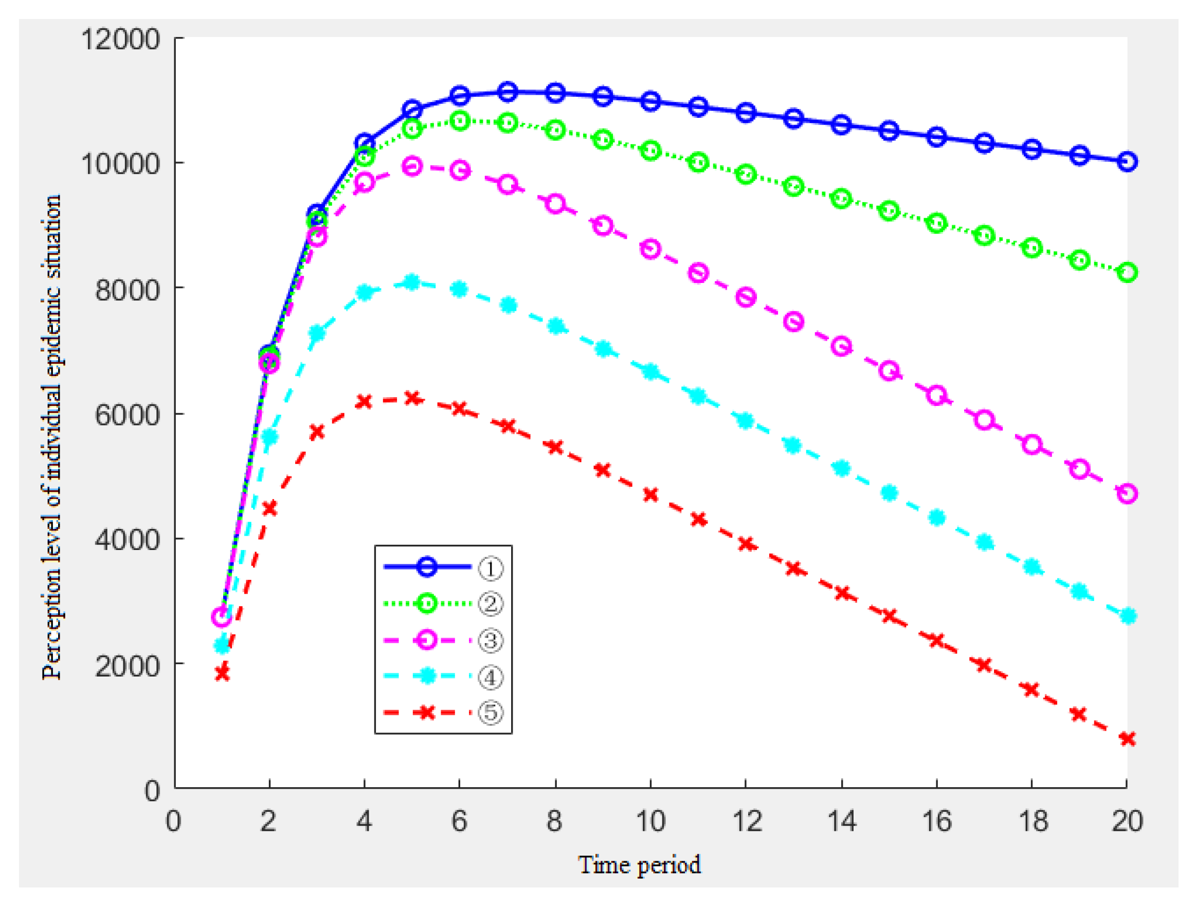
- In the general situation, when the amount of the information stimulation shows a monotonic decreasing trend, the individual epidemic perception level will first increase to the peak and then the perception level will begin to decline;
- By analyzing the results of ①②③, when the starting point d of the information stimulus is constant, we can also get the result that the change speed of the single information stimulus c determines the change speed of the latter half of the epidemic perception in the middle and late stages of the epidemic event;
- By analyzing the results of ③④⑤, we found that the starting point of the information stimulus d determines the peak of the individual epidemic perception level and the growth rate of the early epidemic level;
- By analyzing the overall downward trend, we can find that the perception level of the epidemic may decline to 0 or even become negative in a few cycles, and this situation will not occur in the real epidemic situation because for ①, for the types of epidemic information, although there will be information that will reduce the perception of the epidemic, the amount of such information is quite different from that that can improve the perception level of the epidemic; for ②, when the perception drops to a certain extent, the role of the message that can be the perception of the epidemic will change.
- C.
- The amount of the information stimulation increased firstly and then decreased over time.
- By analyzing the results of ①②⑤⑥, we find that when the overall value of the amount of the information stimulus changes from large to small, the curve of the whole perception level gradually changes from the normal curve to the general perception law curve, that is, the curve that rises first and then remains flat is close. In other words, the larger the amount of the information stimulus, the change law of the public perception level will be more consistent with the change law of the amount of the information stimulus;
- By analyzing the results of ②③④, we found that when the peak time of the information stimulus changed, the magnitude of the epidemic perception peak did not change.
4.2. Simulation Analysis of the Epidemic Risk Perception Process Trend
4.2.1. Identification of the Life Cycle and the Management Cycle Time Nodes for COVID-19
- Standard for the life cycle classification of the COVID-19 epidemic
- 2.
- Standard for the classification of the management cycle of the COVID-19 epidemic
- 3.
- Summary of nodes
4.2.2. Analysis of the Information Characteristics for the Different Periods
- Latent period and the Recognition period (27–30 December 2019)
- 2.
- Symptom period and the Defense period (31 December 2019 to 4 February 2020)
- 3.
- Stalemate (Development) period and the Response period (4 February to 21 February 2020)
- 4.
- Decline period and the Depletion period (21 February to 27 March 2020)
- 5.
- Extinction period and the Rethinking Warning period (27 March 2020 to now)
4.2.3. Parameter Assignment
- Period ‘T’
- 2.
- Information stimulus ‘S’ and information reception ‘N’
- A.
- In the short period T1, set S1 and N1, as in Table 10.
- Similarly, in the long period, T2, S2, and N2 were established according to the analysis of the increase and decrease of the number of new corona pneumonia patients in different epidemic periods and the severity change of the related reports, as shown in Table 11.
- 3
- Memory rate ‘ρ’ and association rate ‘k’
4.2.4. Analysis of the Simulation Results
- Simulation Analysis of the Short Period T1
- The peaks of ①③ appear at the same time and the peaks of ②④ appear at the same time, and the results of ①③ lag behind the results of ②④, but the peak height is far higher than that of the combination of ②④, indicating that individuals with a high memory rate will not only delay the peak of individuals, but will also increase the peak of the risk perception. The higher the peak, the higher the level of the risk perception. That is, individuals with high memory rates have a slower but more sensitive process of awareness of the epidemic during the epidemic;
- The change of the risk perception in ①② was more tortuous than that in ③④, but the overall perception was still higher than that in ③④, indicating that people with higher association rates would have more obvious perception changes during the outbreak of the epidemic;
- The lag phenomenon of the information parameters on the perception is still obvious. We can see that the peak of the amount of information received appears in the 14th cycle. The peak of the amount of the information stimulus appears in the 12th cycle. The peak value of ②④ with a low memory rate also appears in the 14th cycle, and the peak value of ①③ with a high memory rate appears in the 16th cycle, indicating that the memory rate of individuals has a greater contribution to the lag effect. We can conclude that the impact of the information reception on the risk perception is higher than that of the information stimulation, because the peak value of the risk perception is closer to the peak value of the information reception.
- 2.
- Simulation Analysis of the Long Period T2
- The evolution process of the risk perception level obtained by the individual perception evolution model is generally consistent with the change process of the user search frequency;
- Similarly, the effects of the different memory rate parameters and the association rate parameters in the long period are basically the same as those in the short period. The peak time of ①③ is the same, the peak time of ②④ results is the same, and the results of ①③ lag behind the results of ②④, but the peak height is much higher than the combination of ②④; compared with ③④, the changes of the risk perception of ①② are more tortuous, but the overall perception is still higher than that of ③④.
5. Discussion
5.1. Guidance Strategy for the Public Epidemic Risk Perception Based on the Simulation Results
5.1.1. Targeted Dissemination of the Epidemic Information
5.1.2. More Reasonable Information Release Process
- Latent period and the Recognition period
- 2.
- Symptom period and the Defense period
- 3.
- Stalemate (Development) period and the Response period
- 4.
- Decline period and the Depletion period/Extinction period and the Rethinking Warning period
5.2. Research Significance
5.3. Limitations and Future Research Perspectives
- In terms of the model assumptions, this study assumes the public as a complete information audience, that is, the public passively receives all of the information. In fact, the public’s information needs are biased, and the public will change with the evolution of crisis events, which will directly affect the effectiveness of the information release mode. In addition, the truthfulness of the information may also influence the reception of the information by individuals through other dimensions, such as emotions, and thus affect the level of the individual risk perception. In the future, appropriate psychological scales or modeling should be used to explore the mechanisms of the influence of the information truthfulness on the level of the risk perception from that perspective. Meanwhile, this paper lacks consideration for the retelling effect of memory when re-variables are proposed;
- In terms of a real epidemic simulation, the method of assigning parameters based on the life cycle and the management cycle model of the epidemic is subjective, which will also affect the effectiveness of the simulation results. In terms of verification, although the method using the Baidu search index for the model verification can be used as a reference, more scientific methods are needed to determine the fitting degree of simulation results and indexes;
- Finally, regarding access to information, this study abbreviated the changes in daily life during the pandemic (e.g., masking, quarantining, social distancing, etc.). This pandemic information cannot be simply obtained from the media as a medium, so there is a need for future in-depth information on this aspect.
6. Conclusions
- In the model, we assume that in each time period after the outbreak begins to spread, so has the release of the epidemic-related information, and the amount of information received by the public at each time period is different, and each information received by the public will have different effects on their risk perception. According to the proximity effect, the association effect and the retelling effect, the memory rate parameter and the association rate parameter are set, and the evolution model of the public epidemic risk perception is summarized by a recursive algorithm. The model includes four parameters, namely, memory rate ρ, association rate k, information reception N and information stimulation S, in a single period of time;
- The influence of the different parameters on the risk perception. When the amount of information received N and the information stimulus S remain unchanged, the public’s risk perception is a monotonic upward trend but has an upper limit function, and the upper limit is determined by the memory rate ρ and the association rate k, and the influence of the association rate is greater than that of the memory rate. When the amount of information received N and the amount of information stimulus S change, the risk perception will also change, and there is a lag effect, which is determined by the memory rate ρ. The impact of the information acceptance on the risk perception is greater than that of the information stimulus.
Author Contributions
Funding
Institutional Review Board Statement
Informed Consent Statement
Data Availability Statement
Conflicts of Interest
References
- Vordos, N.; Gkika, D.A.; Maliaris, G.; Tilkeridis, K.E.; Antoniou, A.; Bandekas, D.V.; Mitropoulos, A.C. How 3D printing and social media tackles the PPE shortage during COVID-19 pandemic. Saf. Sci. 2020, 130, 104870. [Google Scholar] [CrossRef] [PubMed]
- Wang, Z.Y.; Liang, J.; Liu, X.D. A Review of Risk Perception of the Public in Emergencies. J. Intell. 2018, 37, 161–166. (In Chinese) [Google Scholar]
- Slovic, P. Perception of risk. Science 1987, 236, 280–285. [Google Scholar] [CrossRef]
- Slovic, P.; Fischhoff, B.; Lichtenstein, S. Why Study Risk Perception? Risk Anal. 1982, 2, 83–93. [Google Scholar] [CrossRef]
- Mileti, D.S.; Peek, L. The social psychology of public response to warnings of a nuclear power plant accident. J. Hazard. Mater. 2000, 75, 181–194. [Google Scholar] [CrossRef]
- Lindell, M.K.; Perry, R.W. The protective action decision model: Theoretical modifications and additional evidence. Risk Anal. Int. J. 2012, 32, 616–632. [Google Scholar] [CrossRef]
- Chung, I.J. Social amplification of risk in the Internet environment. Risk Anal. 2011, 31, 1883–1896. [Google Scholar] [CrossRef]
- Shi, K.; Fan, H.; Jia, J.; Li, W.; Song, Z. Chinese people’s risk perception and psychological behavior of SARS information. Acta Psychol. Sin. 2003, 4, 546–554. (In Chinese) [Google Scholar]
- Klemm, C.; Hartmann, T.; Das, E. Fear-Mongering or Fact-Driven? Illuminating the Interplay of Objective Risk and Emotion-Evoking Form in the Response to Epidemic News. Health Commun. 2019, 34, 74–83. [Google Scholar] [CrossRef] [PubMed]
- Wei, J.; Wang, F.; Zhao, D. A risk perception model: Simulating public response to news reports in China. Inf. Res. 2012, 17, 17–22. [Google Scholar]
- Haghani, M.; Bliemer, M.C.; Goerlandt, F.; Li, J. The scientific literature on Coronaviruses, COVID-19 and its associated safety-related research dimensions: A scientometric analysis and scoping review. Saf. Sci. 2020, 129, 104806. [Google Scholar] [CrossRef] [PubMed]
- Shiffrin, R.M.; Atkinson, R.C. Storage and retrieval processes in long-term memory. Psychol. Rev. 1969, 76, 179. [Google Scholar] [CrossRef]
- Mullainathan, S. A Memory-Based Model of Bounded Rationality. Q. J. Econ. 2002, 117, 735–774. [Google Scholar] [CrossRef] [Green Version]
- Sarafidis, Y. What Have You Done for Me Lately? Release of Information and Strategic Manipulation of Memories. Econ. J. 2007, 117, 307–326. [Google Scholar] [CrossRef]
- Xiao, Q.; Liu, H. Life-cycle Model of COVID-19 Outbreak and the Emergency Management by Instalments. Urban Gov. Stud. 2020, 5, 12–26. (In Chinese) [Google Scholar]
- Guo, J.; Yang, L.; Sun, Z. Analysis of Mental Health of College Students and Analysis of Influencing Factors during Epidemic of COVID-19—Take Some Universities in Beijing as an Example. China Soft Sci. 2020, A1, 196–202. (In Chinese) [Google Scholar]
- Kuperjanov, M. Early days of the novel coronavirus: Public response in social media during the first month of the outbreak. Folk. -Electron. J. Folk. 2021, 82, 159–182. [Google Scholar] [CrossRef]
- Clark, J.M.; Paivio, A. Dual Coding Theory and Education. Educ. Psychol. Rev. 1991, 3, 149–210. [Google Scholar] [CrossRef]
- Peng, C. The Evolutionary Process of Public Perception Exposure to Smog Information and Determinants of Protective Behavioral Choice. Ph.D. Thesis, University of Science and Technology of China, Hefei, China, 2017. [Google Scholar]
- Vieira, K.M.; Potrich, A.C.G.; Bressan, A.A.; Klein, L.L.; Pereira, B.A.D.; Pinto, N.G.M. A Pandemic Risk Perception Scale. Risk Anal. 2021, 42, 69–84. [Google Scholar] [CrossRef]
- Combs, B.; Slovic, P. Newspaper Coverage of Causes of Death. J. Mass Commun. Q. 1979, 56, 837–849. [Google Scholar] [CrossRef]













| Life Cycle | Condition Index | Trend Index | |
|---|---|---|---|
| Latent Period | Beginning | First case of the virus infection | - |
| End | First spatial associated group infection | - | |
| Explosive Period | Beginning | First spatial associated group infection | - |
| End | Number of newly diagnosed cases on the same day < than on the previous day | The growth trend in the number of newly diagnosed cases has been converted into ups and downs or a slow decline | |
| Stalemate Period | Beginning | Number of newly diagnosed cases on the same day < than on the previous day | The growth trend in the number of newly diagnosed cases has been converted into ups and downs or a slow decline |
| End | Number of newly diagnosed cases on the same day < Number of new cases cured that day | The number of newly diagnosed cases decreased and the number of newly cured cases increased | |
| Solution Period | Beginning | Number of newly diagnosed cases on the same day < Number of new cases cured that day | The number of newly diagnosed cases decreased and the number of newly cured cases increased |
| End | Number of newly diagnosed cases → 0 and Number of new suspected cases → 0 | Maintained state (incidental zero report should not be used as a criterion) | |
| Convalescent Period | Beginning | Number of newly diagnosed cases → 0 and Number of new suspected cases → 0 | Maintained state (incidental zero report should not be used as a criterion) |
| End | The last patient was cured and discharged | - | |
| Life Cycle | Different Divide Conditions | Characteristics | |
|---|---|---|---|
| Latent Period | Beginning | No obvious node | Hidden, asymptomatic, latent crisis exists in the invisible state |
| End | Symbolic event occurs | ||
| Symptom Period | Beginning | Symbolic event occurs | Awareness, potential crises triggered by triggers and marked events |
| End | A series of joint and several reactions to uncontrolled situations | ||
| Development period | Beginning | A series of joint and several reactions to uncontrolled situations | Highly dominant, continuous deterioration, may be accompanied by other or similar invisible crises. Crisis events spread rapidly and have a wide influence. |
| End | Negative growth in the number of affected groups and turning points in the hazard trends | ||
| Decline Period | Beginning | Negative growth in the number of affected groups and turning points in the hazard trends | Significant reductions in the hazard levels, but potential threats remain |
| End | No obvious node | ||
| Extinction Period | Beginning | No obvious node | Crisis events were almost completely controlled, social order was basically restored and public life returned to normal |
| End | No obvious node | ||
| k | High Association Rate (0.4) | General Association Rate (0.3) | Low Association Rate (0.2) | |
|---|---|---|---|---|
| ρ | ||||
| High memory rate (0.6) | (0.6, 0.4) | ② (0.6, 0.3) | (0.6, 0.2) | |
| Medium memory rate (0.5) | ① (0.5, 0.4) | ③ (0.5, 0.3) | ⑤ (0.5, 0.2) | |
| General memory rate (0.4) | — | ④ (0.4, 0.3) | (0.4, 0.2) | |
| Low memory rate (0.3) | — | — | (0.3, 0.2) | |
| Number | c | d | S1 | S20 |
|---|---|---|---|---|
| ① | 0.05 | 2 | 2.05 | 3 |
| ② | 0.1 | 2 | 2.1 | 4 |
| ③ | 0.2 | 2 | 2.2 | 6 |
| ④ | 0.2 | 3 | 3.2 | 7 |
| Number | c | d | S1 | S20 |
|---|---|---|---|---|
| ① | −0.05 | 6 | 5.95 | 5 |
| ② | −0.1 | 6 | 5.9 | 4 |
| ③ | −0.2 | 6 | 5.8 | 2 |
| ④ | −0.2 | 5 | 4.8 | 1 |
| Number | C (Overall Size) | μ (Peak Coordinates) | σ (Rate of Divergence) |
|---|---|---|---|
| ① | 80 | 10 | 5 |
| ② | 60 | 10 | 5 |
| ③ | 60 | 5 | 5 |
| ④ | 60 | 15 | 5 |
| ⑤ | 80 | 10 | 10 |
| ⑥ | 40 | 10 | 5 |
| Life Cycle | Condition Index | Trend Index | |
|---|---|---|---|
| Latent Period | Beginning | First case of the virus infection | - |
| End | First spatial associated group infection | - | |
| Symptom Period | Beginning | First spatial associated group infection | - |
| End | Number of newly diagnosed cases on the same day < than on the previous day | The growth trend in the number of newly diagnosed cases has been converted into ups and downs or a slow decline. | |
| Stalemate (Development) Period | Beginning | Number of newly diagnosed cases on the same day < than on the previous day | The growth trend in the number of newly diagnosed cases has been converted into ups and downs or a slow decline. |
| End | Number of newly diagnosed cases on the same day < Number of new cases cured that day | The number of newly diagnosed cases decreased and the number of newly cured cases increased. | |
| Decline period | Beginning | Number of newly diagnosed cases on the same day < Number of new cases cured that day | The number of newly diagnosed cases decreased and the number of newly cured cases increased. |
| End | Number of newly diagnosed local cases → 0 and Number of new suspected local cases → 0 | Increasing proportion of the imported cases | |
| Extinction period | Beginning | Number of newly diagnosed local cases → 0 and Number of new suspected local cases → 0 | Increasing proportion of the imported cases |
| End | End of the global epidemic | - | |
| Life Cycle | Corresponding Management Cycle | Task and Characteristics |
|---|---|---|
| Latent Period | Recognition Period | Timely and accurate identification of the potential risks requires an early intervention, taking coping strategies to eliminate the hidden dangers of the crisis and to avoid emergencies |
| Symptom Period | Defense Period | Recognizing the crisis, preventing the large-scale outbreak of the crisis, controlling the crisis to a certain extent possible and avoiding contagion |
| Stalemate (Development) Period | Response Period | Stabilize the situation, try to control the worsening situation of the crisis, and try to stop the worsening trend |
| Decline Period | Depletion Period | Need to continue to take measures to prevent and control, but also to give the public spiritual comfort, to eliminate negative effects |
| Extinction Period | Rethinking Warning Period | Summary of the epidemic management |
| Date | Related Events | Judgment Basis | Representative Node |
|---|---|---|---|
| 12 p.m. 8 December 2019 | On 11 January 2020, the Wuhan Health Commission issued the ‘Expert Interpretation of the Unexplained Viral Pneumonia Update’, stating that ‘this case of unexplained viral pneumonia in Wuhan occurred between 8 December 2019 and 2 January 2020’. | First case of the virus infection | Latent period began |
| 12 p.m. 25 December 2019 | In December, many cases of unexplained pneumonia with an exposure history to the South China Seafood market were found, and on 26 and 30 December, there were two cases of a group diagnosis of unexplained pneumonia. | First Spatially Associated Group Infection | Latent period ended Symptom period began |
| 27 December 2019 | Cases of unexplained pneumonia reported by the Hubei Hospital of Integrated Traditional Chinese and Western Medicine to the Wuhan Jianghan district CDC. | Initial confirmation of unexplained pneumonia | Recognition period began |
| 30–31 December 2019 | Dr. Wenliang Li explained the information about the unidentified pneumonia. The Wuhan Health Commission issued a ‘briefing on the current situation of pneumonia in our city’ and found 27 cases, prompting the public to take protective measures. | Recognition period ended Defense period began | |
| 14–19 January 2020 | The national teleconference was held to confirm the characteristics of ‘human transmission’. The epidemic may spread further and the epidemic began to break out. | ||
| 23 January 2020 | Wuhan channel closed. | ||
| 12 p.m. 4 February 2020 | There has been an inflection point in the number of new cases of the national epidemic, and an overall downward trend since. | Number of newly diagnosed cases on the same day < Number of newly diagnosed cases on the previous day | Symptom period ended Stalemate (Development) period began |
| 3–5 February 2020 | The Central Steering Group has mobilized 22 national emergency medical rescue teams to build shelter hospitals in Wuhan. | Integrated mobilization of national resources | Defense period ended Response period began |
| 12 February 2020 | The large increase in the number of new cases on 12 and 13 February was the date of the detection results of the new coronavirus in Wuhan. The number of new cases before and after showed a downward trend, so this node cannot be regarded as the epidemic node. | — | Data showing abnormal nodes |
| 12 p.m. 19 February 2020 | From the analysis of the epidemic data, the number of cured cases has significantly exceeded the number of new cases since 19 February, and the confirmed cases have been decreasing since then. | Number of newly diagnosed cases on the day < Number of newly cured cases on the day | Stalemate (Development) period ended Decline period began |
| 21 February 2020 | Since the 21st, the provinces have gradually lowered their response levels to the major public health emergencies and gradually lifted the restrictions regarding movement. | Starting to restore social order | Response period ended Depletion period began |
| 12 p.m. 23 March 2020 | From the analysis of the epidemic data, the imported cases have become the main newly diagnosed and suspected cases since 24 March, and the locally diagnosed and suspected cases show a floating trend to 0. | Increasing proportion of imported cases | Decline period ended Extinction period began |
| 27 March 2020 | Emphasizing the focus on ‘external input, internal rebound’ | Depletion period ended Rethinking warning period began | |
| 29 April 2020 | Imported cases abroad are basically controlled and national epidemic prevention and control are normalized. |
| Date 1 | Period T1 | Stimulus S1 | Amount of Information N1 |
|---|---|---|---|
| 27 December 2019~30 December 2019 | 1 | 1 | 2 |
| 31 December 2019~3 January 2020 | 2 | 1.1 | 3 |
| 4 January 2020~7 January 2020 | 3 | 1.2 | 4 |
| 8 January 2020~11 January 2020 | 4 | 1.3 | 5 |
| 12 January 2020~15 January 2020 | 5 | 1.4 | 6 |
| 16 January 2020~19 January 2020 | 6 | 1.5 | 7 |
| 20 January 2020~23 January 2020 | 7 | 1.6 | 8 |
| 24 January 2020~27 January 2020 | 8 | 2 | 18 |
| 28 January 2020~31 January 2020 | 9 | 3 | 28 |
| 1 February 2020~4 February 2020 | 10 | 4 | 38 |
| 5 February 2020~8 February 2020 | 11 | 5 | 48 |
| 9 February 2020~12 February 2020 | 12 | 4.8 | 46 |
| 13 February 2020~16 February 2020 | 13 | 4.6 | 47 |
| 17 February 2020~20 February 2020 | 14 | 4.4 | 49 |
| 21 February 2020~24 February 2020 | 15 | 4.2 | 45 |
| 25 February 2020~28 February 2020 | 16 | 3.9 | 43 |
| 29 February 2020~3 March 2020 | 17 | 3.6 | 41 |
| 4 March 2020~7 March 2020 | 18 | 3.3 | 39 |
| 8 March 2020~11 March 2020 | 19 | 3 | 37 |
| 12 March 2020~15 March 2020 | 20 | 2.7 | 35 |
| 16 March 2020~19 March 2020 | 21 | 2.4 | 33 |
| 20 March 2020~23 March 2020 | 22 | 2.1 | 31 |
| 24 March 2020~27 March 2020 | 23 | 1.8 | 29 |
| 28 March 2020~31 March 2020 | 24 | 1.5 | 27 |
| 1 April 2020~4 April 2020 | 25 | 1.495 | 25 |
| 5 April 2020~8 April 2020 | 26 | 1.48 | 22 |
| 9 April 2020~12 April 2020 | 27 | 1.465 | 26 |
| 13 April 2020~16 April 2020 | 28 | 1.46 | 24 |
| 17 April 2020~20 April 2020 | 29 | 1.455 | 27 |
| 21 April 2020~24 April 2020 | 30 | 1.44 | 22 |
| 25 April 2020~28 April 2020 | 31 | 1.425 | 24 |
| 29 April 2020~2 May 2020 | 32 | 1.42 | 28 |
| Date 1 | Period T1 | Stimulus S1 | Amount of Information N1 |
|---|---|---|---|
| 27 December 2019~3 January 2020 | 1 | 1.05 | 3 |
| 4 January 2020~11 January 2020 | 2 | 1.25 | 5 |
| 12 January 2020~19 January 2020 | 3 | 1.45 | 7 |
| 20 January 2020~27 January 2020 | 4 | 1.8 | 13 |
| 28 January 2020~4 February 2020 | 5 | 3.5 | 33 |
| 5 February 2020~12 February 2020 | 6 | 4.9 | 47 |
| 13 February 2020~20 February 2020 | 7 | 4.5 | 48 |
| 21 February 2020~28 February 2020 | 8 | 4.05 | 44 |
| 29 February 2020~7 March 2020 | 9 | 3.45 | 40 |
| 8 March 2020~15 March 2020 | 10 | 2.85 | 36 |
| 16 March 2020~23 March 2020 | 11 | 2.25 | 32 |
| 24 March 2020~30 March 2020 | 12 | 1.65 | 28 |
| 1 April 2020~8 April 2020 | 13 | 1.4875 | 23.5 |
| 9 April 2020~16 April 2020 | 14 | 1.4625 | 25 |
| 17 April 2020~24 April 2020 | 15 | 1.4475 | 24.5 |
| 25 April 2020~2 May 2020 | 16 | 1.4225 | 26 |
| 3 May 2020~10 May 2020 | 17 | 1.4025 | 24 |
| 11 May 2020~18 May 2020 | 18 | 1.3815 | 24 |
| 19 May 2020~26 May 2020 | 19 | 1.3605 | 23 |
| 27 May 2020~3 June 2020 | 20 | 1.3395 | 23 |
| 4 June 2020~11 June 2020 | 21 | 1.3185 | 24 |
| 12 June 2020~19 June 2020 | 22 | 1.2975 | 21 |
| 20 June 2020~27 June 2020 | 23 | 1.2765 | 22 |
| 28 June 2020~5 July 2020 | 24 | 1.2555 | 22 |
| 6 July 2020~13 July 2020 | 25 | 1.2345 | 23 |
| 14 July 2020~21 July 2020 | 26 | 1.2135 | 21 |
| 22 July 2020~29 July 2020 | 27 | 1.1925 | 21 |
| 30 July 2020~6 August 2020 | 28 | 1.1715 | 20 |
| 7 August 2020~14 August 2020 | 29 | 1.1505 | 20 |
| 15 August 2020~22 August 2020 | 30 | 1.1295 | 21 |
| 23 August 2020~30 August 2020 | 31 | 1.1085 | 20 |
| 31 August 2020~7 September 2020 | 32 | 1.0875 | 20 |
| 8 September 2020~15 September 2020 | 33 | 1.0665 | 19 |
| 16 September 2020~23 September 2020 | 34 | 1.0455 | 19 |
| 24 September 2020~1 October 2020 | 35 | 1.0245 | 20 |
| 2 October 2020~9 October 2020 | 36 | 1.0035 | 18 |
| 10 October 2020~17 October 2020 | 37 | 0.9825 | 18 |
| 18 October 2020~25 October 2020 | 38 | 0.9615 | 16 |
| 26 October 2020~2 November 2020 | 39 | 0.9405 | 17 |
| 3 November 2020~10 November 2020 | 40 | 0.9195 | 17 |
| 11 November 2020~18 November 2020 | 41 | 0.8985 | 17 |
| 19 November 2020~26 November 2020 | 42 | 0.8775 | 17 |
| 27 November 2020~4 December 2020 | 43 | 0.8565 | 16 |
| 5 December 2020~12 December 2020 | 44 | 0.8355 | 18 |
| 13 December 2020~20 December 2020 | 45 | 0.8145 | 16 |
| 21 December 2020~28 December 2020 | 46 | 0.7935 | 15 |
| 29 December 2020~5 January 2021 | 47 | 0.7725 | 14 |
| 6 January 2021~13 January 2021 | 48 | 0.7515 | 15 |
| 14 January 2021~21 January 2021 | 49 | 0.7305 | 14 |
| 22 January 2021~29 January 2021 | 50 | 0.7095 | 13 |
| 30 January 2021~6 February 2021 | 51 | 0.6885 | 14 |
| 7 February 2021~14 February 2021 | 52 | 0.6675 | 14 |
| 15 February 2021~22 February 2021 | 53 | 0.6465 | 13 |
| 23 February 2021~2 March 2021 | 54 | 0.6255 | 16 |
| 3 March 2021~10 March 2021 | 55 | 0.6045 | 13 |
| 11 March 2021~18 March 2021 | 56 | 0.5835 | 12 |
| 19 March 2021~26 March 2021 | 57 | 0.5625 | 10 |
| 27 March 2021~3 April 2021 | 58 | 0.5415 | 12 |
| 4 April 2021~11 April 2021 | 59 | 0.5205 | 11 |
| 12 April 2020~20 April 2020 | 60 | 0.4995 | 10 |
| k | High Association Rate (0.4) | Low Association Rate (0.2) | |
|---|---|---|---|
| ρ | |||
| High memory rate (0.8) | ① (0.8, 0.4) | ③ (0.8, 0.2) | |
| Low memory rate (0.5) | ② (0.5, 0.4) | ④ (0.5, 0.2) | |
Publisher’s Note: MDPI stays neutral with regard to jurisdictional claims in published maps and institutional affiliations. |
© 2022 by the authors. Licensee MDPI, Basel, Switzerland. This article is an open access article distributed under the terms and conditions of the Creative Commons Attribution (CC BY) license (https://creativecommons.org/licenses/by/4.0/).
Share and Cite
Zhang, A.; Yang, H.; Tian, Z.; Tong, S. Evolution Model and Simulation Study of the Public Risk Perception of COVID-19. Int. J. Environ. Res. Public Health 2022, 19, 11581. https://doi.org/10.3390/ijerph191811581
Zhang A, Yang H, Tian Z, Tong S. Evolution Model and Simulation Study of the Public Risk Perception of COVID-19. International Journal of Environmental Research and Public Health. 2022; 19(18):11581. https://doi.org/10.3390/ijerph191811581
Chicago/Turabian StyleZhang, Ao, Hao Yang, Zhenlei Tian, and Shuning Tong. 2022. "Evolution Model and Simulation Study of the Public Risk Perception of COVID-19" International Journal of Environmental Research and Public Health 19, no. 18: 11581. https://doi.org/10.3390/ijerph191811581
APA StyleZhang, A., Yang, H., Tian, Z., & Tong, S. (2022). Evolution Model and Simulation Study of the Public Risk Perception of COVID-19. International Journal of Environmental Research and Public Health, 19(18), 11581. https://doi.org/10.3390/ijerph191811581
