The Influence of Abdominal Adiposity and Physical Fitness on Obesity Status of Portuguese Adolescents
Abstract
:1. Introduction
2. Materials and Methods
2.1. Study Subjects
2.2. Ethical Aspects
2.3. Data Collection
2.4. BMI
2.5. Abdominal Adiposity
2.6. Horizontal Jump
2.7. 40 m Maximal Velocity
2.8. Aerobic Fitness
2.9. Statistical Analysis
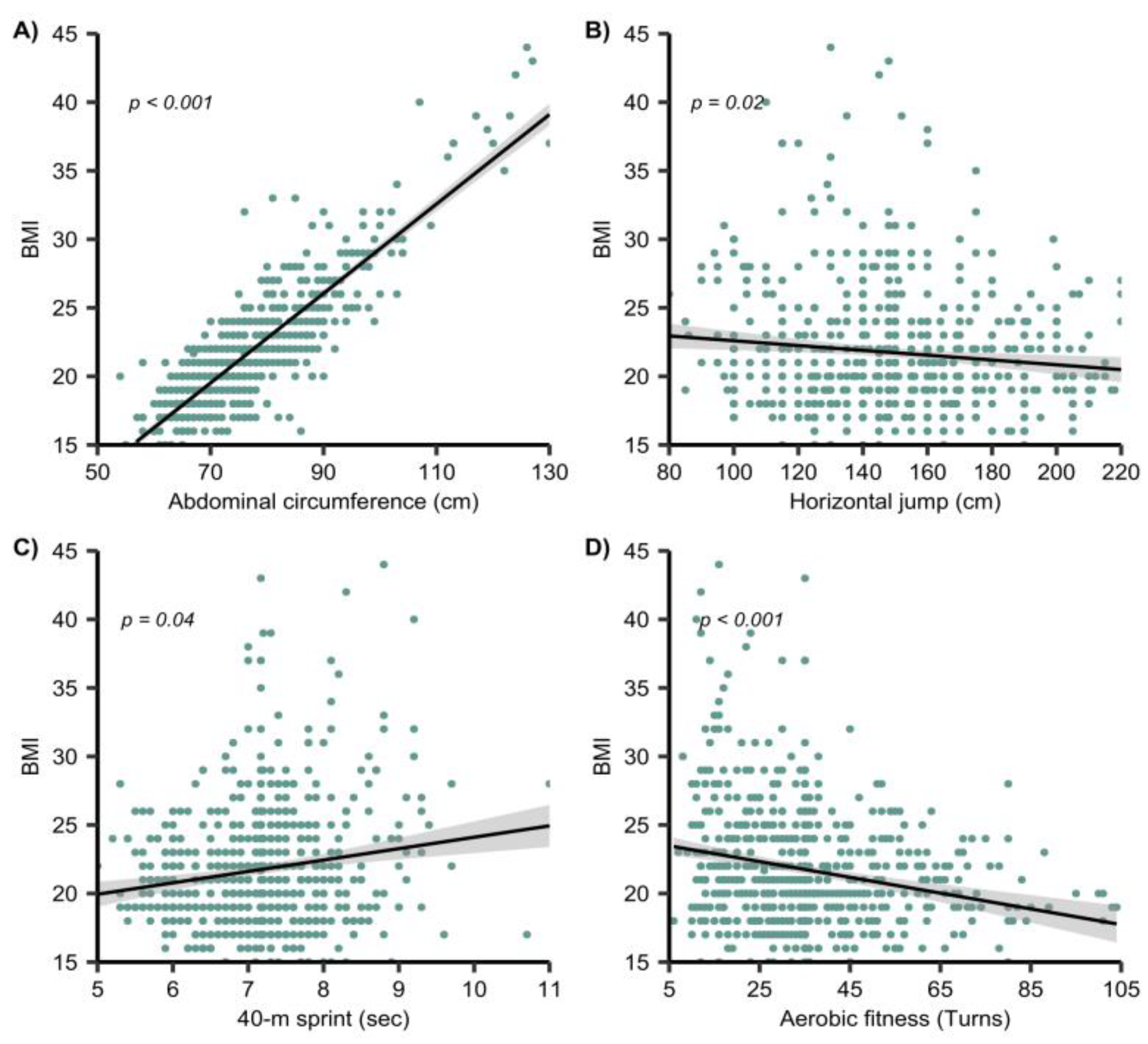
3. Results
4. Discussion
5. Study Strengths, Limitations, and Future Perspectives
6. Conclusions
Author Contributions
Funding
Institutional Review Board Statement
Informed Consent Statement
Data Availability Statement
Conflicts of Interest
References
- Li, Z.; Zhao, H.; Wang, J. Metabolism and Chronic Inflammation: The Links Between Chronic Heart Failure and Comorbidities. Front. Cardiovasc. Med. 2021, 8, 650278. [Google Scholar] [CrossRef] [PubMed]
- WHO. Health for the World’s Adolescents: A Second Chance in the Second Decade: Summary. Available online: https://www.who.int/publications-detail-redirect/WHO-FWC-MCA-14.05 (accessed on 10 June 2022).
- Oliveira, A.; Araújo, J.; Severo, M.; Correia, D.; Ramos, E.; Torres, D.; Lopes, C. Prevalence of General and Abdominal Obesity in Portugal: Comprehensive Results from the National Food, Nutrition and Physical Activity Survey 2015–2016. BMC Public Health 2018, 18, 614. [Google Scholar] [CrossRef] [PubMed]
- Chadda, K.R.; Cheng, T.S.; Ong, K.K. GLP-1 Agonists for Obesity and Type 2 Diabetes in Children: Systematic Review and Meta-Analysis. Obes. Rev. 2021, 22, e13177. [Google Scholar] [CrossRef]
- Yau, M.; Maclaren, N.K.; Sperling, M.A. Etiology and Pathogenesis of Diabetes Mellitus in Children and Adolescents. In Endotext; Feingold, K.R., Anawalt, B., Boyce, A., Chrousos, G., de Herder, W.W., Dhatariya, K., Dungan, K., Hershman, J.M., Hofland, J., Kalra, S., et al., Eds.; MDText.com, Inc.: South Dartmouth, MA, USA, 2000. [Google Scholar]
- Cota, B.C.; Priore, S.E.; Ribeiro, S.A.V.; Juvanhol, L.L.; de Faria, E.R.; de Faria, F.R.; Pereira, P.F. Cardiometabolic risk in adolescents with normal weight obesity. Eur. J. Clin. Nutr. 2022, 76, 863–870. [Google Scholar] [CrossRef]
- Işık, Ü; Bağcı, B.; Kılıç, F.; Aktepe, E.; Pirgon, M. Investigation of quality of life in obese adolescents: The effect of psychiatric symptoms of obese adolescent and/or mother on quality of life. J. Pediatr. Endocrinol. Metab. 2021, 34, 1593–1603. [Google Scholar] [CrossRef]
- Powell-Wiley, T.M.; Poirier, P.; Burke, L.E.; Després, J.-P.; Gordon-Larsen, P.; Lavie, C.J.; Lear, S.A.; Ndumele, C.E.; Neeland, I.J.; Sanders, P.; et al. Obesity and Cardiovascular Disease: A Scientific Statement From the American Heart Association. Circulation 2021, 143, e984–e1010. [Google Scholar] [CrossRef]
- Lewitt, M.S.; Baker, J.S. Relationship between abdominal adiposity, cardiovascular fitness, and biomarkers of cardiovascular risk in British adolescents. J. Sport Health Sci. 2020, 9, 634–644. [Google Scholar] [CrossRef] [PubMed]
- Diaz-Canestro, C.; Xu, A. Impact of Different Adipose Depots on Cardiovascular Disease. J. Cardiovasc. Pharmacol. 2021, 78, S30–S39. [Google Scholar] [CrossRef]
- Ahmad, M.I.; Shapiro, M.D. Preventing Diabetes and Atherosclerosis in the Cardiometabolic Syndrome. Curr. Atheroscler. Rep. 2021, 23, 16. [Google Scholar] [CrossRef]
- Umano, G.R.; Pistone, C.; Tondina, E.; Moiraghi, A.; Lauretta, D.; Miraglia Del Giudice, E.; Brambilla, I. Pediatric Obesity and the Immune System. Front. Pediatr. 2019, 7, 487. [Google Scholar] [CrossRef] [PubMed] [Green Version]
- Forte, P.; Branquinho, L.; Ferraz, R. The Relationships between Physical Activity, Exercise, and Sport on the Immune System. Int. J. Environ. Res. Public Health 2022, 19, 6777. [Google Scholar] [CrossRef] [PubMed]
- Shalitin, S.; Giannini, C. Obesity, Metabolic Syndrome, and Nutrition. World Rev. Nutr. Diet. 2022, 125, 41–63. [Google Scholar] [CrossRef]
- An, S.-Y.; Kim, S.Y.; Oh, D.J.; Min, C.; Sim, S.; Choi, H.G. Obesity is positively related and tobacco smoking and alcohol consumption are negatively related to an increased risk of thyroid cancer. Sci. Rep. 2020, 10, 19279. [Google Scholar] [CrossRef] [PubMed]
- Gong, Q.-H.; Li, S.-X.; Li, H.; Cui, J.; Xu, G.-Z. Insufficient Sleep Duration and Overweight/Obesity among Adolescents in a Chinese Population. Int. J. Environ. Res. Public Health 2018, 15, 997. [Google Scholar] [CrossRef] [PubMed]
- Comeras-Chueca, C.; Marin-Puyalto, J.; Matute-Llorente, A.; Vicente-Rodriguez, G.; Casajus, J.A.; Gonzalez-Aguero, A. Effects of Active Video Games on Health-Related Physical Fitness and Motor Competence in Children and Adolescents With Overweight or Obesity: Systematic Review and Meta-Analysis. JMIR Serious Games 2021, 9, e29981. [Google Scholar] [CrossRef]
- Chen, X.; Cui, J.; Zhang, Y.; Peng, W. The association between BMI and health-related physical fitness among Chinese college students: A cross-sectional study. BMC Public Health 2020, 20, 444. [Google Scholar] [CrossRef]
- Ruedl, G.; Greier, N.; Niedermeier, M.; Posch, M.; Prünster, V.; Faulhaber, M.; Burtscher, M. Factors Associated with Physical Fitness among Overweight and Non-Overweight Austrian Secondary School Students. Int. J. Environ. Res. Public Health 2019, 16, 4117. [Google Scholar] [CrossRef] [PubMed]
- Velásquez-Rodríguez, C.-M.; Velásquez-Villa, M.; Gómez-Ocampo, L.; Bermúdez-Cardona, J. Abdominal obesity and low physical activity are associated with insulin resistance in overweight adolescents: A cross-sectional study. BMC Pediatr. 2014, 14, 258. [Google Scholar] [CrossRef] [PubMed]
- Sultana, S.; Rahman, M.; Sigel, B.; Hashizume, M. Associations of lifestyle risk factors with overweight or obesity among adolescents: A multicountry analysis. Am. J. Clin. Nutr. 2021, 113, 742–750. [Google Scholar] [CrossRef]
- Rezali, F.W.; Chin, Y.S.; Mohd Yusof, B.N. Obesity-Related Behaviors of Malaysian Adolescents: A Sample from Kajang District of Selangor State. Nutr. Res. Pract. 2012, 6, 458–465. [Google Scholar] [CrossRef] [PubMed] [Green Version]
- Woon, F.C.; Chin, Y.S.; Mohd Nasir, M.T. Association between Behavioural Factors and BMI-for-Age among Early Adolescents in Hulu Langat District, Selangor, Malaysia. Obes. Res. Clin. Pract. 2015, 9, 346–356. [Google Scholar] [CrossRef]
- Brug, J.; van Stralen, M.M.; ChinAPaw, M.J.M.; De Bourdeaudhuij, I.; Lien, N.; Bere, E.; Singh, A.S.; Maes, L.; Moreno, L.; Jan, N.; et al. Differences in weight status and energy-balance related behaviours according to ethnic background among adolescents in seven countries in Europe: The ENERGY-project. Pediatr. Obes. 2012, 7, 399–411. [Google Scholar] [CrossRef]
- Van Stralen, M.M.; te Velde, S.J.; van Nassau, F.; Brug, J.; Grammatikaki, E.; Maes, L.; De Bourdeaudhuij, I.; Verbestel, V.; Galcheva, S.; Iotova, V.; et al. Weight Status of European Preschool Children and Associations with Family Demographics and Energy Balance-Related Behaviours: A Pooled Analysis of Six European Studies. Obes. Rev. 2012, 13 (Suppl. S1), 29–41. [Google Scholar] [CrossRef] [PubMed]
- Catley, M.J.; Tomkinson, G.R. Normative Health-Related Fitness Values for Children: Analysis of 85347 Test Results on 9–17-Year-Old Australians since 1985. Br. J. Sports Med. 2013, 47, 98–108. [Google Scholar] [CrossRef]
- Kemper, H.C.G.; Mechelen, W.V. Physical Fitness Testing of Children: A European Perspective. Pediatr. Exerc. Sci. 1996, 8, 201–214. [Google Scholar] [CrossRef]
- Plowman, S.A.; Sterling, C.L.; Corbin, C.B.; Meredith, M.D.; Welk, G.J.; Morrow, J.R. The History of FITNESSGRAM®. J. Phys. Act. Health 2006, 3, S5–S20. [Google Scholar] [CrossRef]
- Kolimechkov, S.; Petrov, L.; Alexandrova, A. Alpha-Fit Test Battery Norms for Children and Adolescents from 5 to 18 Years of Age Obtained by A Linear Interpolation of Existing European Physical Fitness References. Eur. J. Phys. Educ. Sport Sci. 2019, 5. [Google Scholar] [CrossRef]
- FITescola. FITescola. Available online: https://fitescola.dge.mec.pt/home.aspx (accessed on 16 June 2022).
- Buoncristiano, M.; Spinelli, A.; Williams, J.; Nardone, P.; Rito, A.I.; García-Solano, M.; Grøholt, E.K.; Gutiérrez-González, E.; Klepp, K.I.; Starc, G.; et al. Childhood overweight and obesity in Europe: Changes from 2007 to 2017. Obes. Rev. 2021, 22, e13226. [Google Scholar] [CrossRef] [PubMed]
- Ortega, F.B.; Ruiz, J.R.; Castillo, M.J. Physical Activity, Physical Fitness, and Overweight in Children and Adolescents: Evidence from Epidemiologic Studies. Endocrinol. Nutr. 2013, 60, 458–469. [Google Scholar] [CrossRef] [PubMed]
- WHO. Adolescent Health. Available online: https://www.who.int/health-topics/adolescent-health (accessed on 12 August 2022).
- WHO. Growth Reference 5–19 Years—BMI-for-Age (5–19 Years). Available online: https://www.who.int/tools/growth-reference-data-for-5to19-years/indicators/bmi-for-age (accessed on 10 June 2022).
- Henriques-Neto, D.; Minderico, C.; Peralta, M.; Marques, A.; Sardinha, L.B. Test–retest reliability of physical fitness tests among young athletes: The FITescola ® battery. Clin. Physiol. Funct. Imaging 2020, 40, 173–182. [Google Scholar] [CrossRef] [PubMed]
- Mendes, R.; Nunes Silva, M.; Santos Silva, C.; Marques, A.; Godinho, C.; Tomás, R.; Agostinho, M.; Madeira, S.; Rebelo-Marques, A.; Martins, H.; et al. Physical Activity Promotion Tools in the Portuguese Primary Health Care: An Implementation Research. Int. J. Environ. Res. Public Health 2020, 17, 815. [Google Scholar] [CrossRef]
- Jolliffe, C.J.; Janssen, I. Development of Age-Specific Adolescent Metabolic Syndrome Criteria That Are Linked to the Adult Treatment Panel III and International Diabetes Federation Criteria. J. Am. Coll. Cardiol. 2007, 49, 891–898. [Google Scholar] [CrossRef]
- Ortega, F.B.; Artero, E.G.; Ruiz, J.R.; Espana-Romero, V.; Jimenez-Pavon, D.; Vicente-Rodriguez, G.; Moreno, L.A.; Manios, Y.; Beghin, L.; Ottevaere, C.; et al. Physical fitness levels among European adolescents: The HELENA study. Br. J. Sports Med. 2011, 45, 20–29. [Google Scholar] [CrossRef]
- Castro-Piñero, J.; González-Montesinos, J.L.; Keating, X.D.; Mora, J.; Sjöström, M.; Ruiz, J.R. Percentile Values for Running Sprint Field Tests in Children Ages 6–17 Years: Influence of Weight Status. Res. Q. Exerc. Sport 2010, 81, 143–151. [Google Scholar] [CrossRef]
- Welk, G.J.; Laurson, K.R.; Eisenmann, J.C.; Cureton, K.J. Development of Youth Aerobic-Capacity Standards Using Receiver Operating Characteristic Curves. Am. J. Prev. Med. 2011, 41, S111–S116. [Google Scholar] [CrossRef] [PubMed]
- Kim, H.-Y. Statistical notes for clinical researchers: Chi-squared test and Fisher’s exact test. Restor. Dent. Endod. 2017, 42, 152–155. [Google Scholar] [CrossRef]
- Field, A.; Miles, J.; Field, Z. Discovering Statistics Using R; Sage Publications: New York, NY, USA, 2012. [Google Scholar]
- Shevlin, M.; Miles, J. Applying Regression and Correlation: A Guide for Students and Researchers. In Applying Regression and Correlation; Sage Publications: New York, NY, USA, 2000; pp. 1–272. [Google Scholar]
- Chicco, D.; Warrens, M.J.; Jurman, G. The coefficient of determination R-squared is more informative than SMAPE, MAE, MAPE, MSE and RMSE in regression analysis evaluation. PeerJ Comput. Sci. 2021, 7, e623. [Google Scholar] [CrossRef]
- Battaglia, G.; Giustino, V.; Tabacchi, G.; Lanza, M.; Schena, F.; Biino, V.; Giuriato, M.; Gallotta, M.C.; Guidetti, L.; Baldari, C.; et al. Interrelationship Between Age, Gender, and Weight Status on Motor Coordination in Italian Children and Early Adolescents Aged 6–13 Years Old. Front. Pediatr. 2021, 9, 965. [Google Scholar] [CrossRef] [PubMed]
- Long, J.M.; Mareno, N.; Shabo, R.; Wilson, A.H. Overweight and obesity among White, Black, and Mexican American children: Implications for when to intervene. J. Spec. Pediatr. Nurs. JSPN 2012, 17, 41–50. [Google Scholar] [CrossRef] [PubMed]
- Li, X.; Xiang, S.-T.; Dong, J.; Zhong, Y.; Zhao, S.; Xiao, Z.; Li, L. Association between Physical Activity and Age among Children with Overweight and Obesity: Evidence from the 2016-2017 National Survey of Children’s Health. BioMed Res. Int. 2020, 2020, 9259742. [Google Scholar] [CrossRef] [PubMed]
- Ma, Z.; Wang, J.; Li, J.; Jia, Y. The association between obesity and problematic smartphone use among school-age children and adolescents: A cross-sectional study in Shanghai. BMC Public Health 2021, 21, 2067. [Google Scholar] [CrossRef] [PubMed]
- Grace, G.A.; Edward, S.; Gopalakrishnan, S. Dietary habits and obesity among adolescent school children: A case control study in an urban area of kancheepuram district. Indian J. Community Med. 2021, 46, 637–640. [Google Scholar] [CrossRef] [PubMed]
- Moradi, M.; Mozaffari, H.; Askari, M.; Azadbakht, L. Association between overweight/obesity with depression, anxiety, low self-esteem, and body dissatisfaction in children and adolescents: A systematic review and meta-analysis of observational studies. Crit. Rev. Food Sci. Nutr. 2022, 62, 555–570. [Google Scholar] [CrossRef]
- Ranasinghe, P.; Jayawardena, R.; Gamage, N.; Pujitha Wickramasinghe, V.; Hills, A.P. The Range of Non-Traditional Anthropometric Parameters to Define Obesity and Obesity-Related Disease in Children: A Systematic Review. Eur. J. Clin. Nutr. 2021, 75, 373–384. [Google Scholar] [CrossRef]
- Tishukaj, F.; Shalaj, I.; Gjaka, M.; Ademi, B.; Ahmetxhekaj, R.; Bachl, N.; Tschan, H.; Wessner, B. Physical Fitness and Anthropometric Characteristics among Adolescents Living in Urban or Rural Areas of Kosovo. BMC Public Health 2017, 17, 711. [Google Scholar] [CrossRef]
- Fraser, B.J.; Rollo, S.; Sampson, M.; Magnussen, C.G.; Lang, J.J.; Tremblay, M.S.; Tomkinson, G.R. Health-Related Criterion-Referenced Cut-Points for Musculoskeletal Fitness Among Youth: A Systematic Review. Sports Med. 2021, 51, 2629–2646. [Google Scholar] [CrossRef]
- De Almeida-Neto, P.F.; Oliveira, V.M.M.; de Matos, D.G.; dos Santos, K.; Baxter-Jones, A.; Pinto, V.C.M.; Cesário, T.D.M.; Aidar, F.J.; Dantas, P.M.S.; Cabral, B.G.D.A.T. Factors related to lower limb performance in children and adolescents aged 7 to 17 years: A systematic review with meta-analysis. PLoS ONE 2021, 16, e0258144. [Google Scholar] [CrossRef] [PubMed]
- Cristi-Montero, C.; Courel-Ibáñez, J.; Ortega, F.B.; Castro-Piñero, J.; Santaliestra-Pasias, A.; Polito, A.; Vanhelst, J.; Marcos, A.; Moreno, L.M.; Ruiz, J.R. Mediation role of cardiorespiratory fitness on the association between fatness and cardiometabolic risk in European adolescents: The HELENA study. J. Sport Health Sci. 2021, 10, 360–367. [Google Scholar] [CrossRef] [PubMed]
- Cao, Y.; Zhu, L.; Liu, J. Effects of aerobic exercise on obese children with metabolic syndrome: A systematic review and meta-analysis. J. Pediatr. Endocrinol. Metab. 2021, 34, 1069–1079. [Google Scholar] [CrossRef]
- Hsu, C.-S.; Chang, S.-T.; Nfor, O.N.; Lee, K.-J.; Ho, C.-C.; Liu, C.-C.; Lee, S.-S.; Liaw, Y.-P. Association of Metabolic Syndrome with Aerobic Exercise and LPL Rs3779788 Polymorphism in Taiwan Biobank Individuals. Diabetes Metab. Syndr. Obes. 2021, 14, 3997–4004. [Google Scholar] [CrossRef] [PubMed]
- Apor, P. Stroke és a cardiorespiratoricus fittség. Orv. Hetil. 2021, 162, 1567–1572. [Google Scholar] [CrossRef] [PubMed]
- Bai, X.; Soh, K.G.; Dev, R.D.O.; Talib, O.; Xiao, W.; Ong, S.L.; Zhao, C.; Galeru, O.; Casaru, C. Aerobic Exercise Combination Intervention to Improve Physical Performance Among the Elderly: A Systematic Review. Front. Physiol. 2022, 12, 2311. [Google Scholar] [CrossRef] [PubMed]
- De Lima, T.R.; Martins, P.C.; Moreno, Y.M.F.; Chaput, J.-P.; Tremblay, M.S.; Sui, X.; Silva, D.A.S. Muscular Fitness and Cardiometabolic Variables in Children and Adolescents: A Systematic Review. Sports Med. 2022, 52, 1555–1575. [Google Scholar] [CrossRef] [PubMed]
- Izquierdo, M.; Merchant, R.A.; Morley, J.E.; Anker, S.D.; Aprahamian, I.; Arai, H.; Aubertin-Leheudre, M.; Bernabei, R.; Cadore, E.L.; Cesari, M.; et al. International Exercise Recommendations in Older Adults (ICFSR): Expert Consensus Guidelines. J. Nutr. Health Aging 2021, 25, 824–853. [Google Scholar] [CrossRef] [PubMed]
- Zhao, M.; Veeranki, S.P.; Magnussen, C.G.; Xi, B. Recommended physical activity and all cause and cause specific mortality in US adults: Prospective cohort study. BMJ 2020, 370, m2031. [Google Scholar] [CrossRef]

| Characteristics of the Sample (N = 654) | |||
|---|---|---|---|
| Male, N = 334 (51%) | 14.6 ± 2.2 y/o | 167.4 ± 79.9 cm | 58.4 ± 15.5 kg |
| Female, N = 320 (49%) | 13.01 ± 2.06 y/o | 158.3 ± 11.6 cm | 54.38 ± 15.7 kg |
| Variables | N (654) | Normal Weight | Overweight | Obesity | X2 | p-Value |
|---|---|---|---|---|---|---|
| Gender | ||||||
| Male | N = 334 (51%) | 242 (71%) | 55 (18%) * | 37 (11%) | 34.66 | p < 0.001 |
| Female | N = 320 (49%) | 219 (68%) | 65 (20%) * | 36 (12%) | 36.67 | p < 0.001 |
| BMI by Age (15.7 ± 1.21) | ||||||
| 10 y/o | 64 (10%) | 45 (70%) | 8 (13%) | 11 (17%) * | 46.81 37.05 | Ow11, 12, 13, 15, and 18 y/o > 10, 14, 16, 17 y/o p < 0.001 Obes10, 11, 13, and 14 y/o > 12,15, 16, 17, and 18 y/o p < 0.001 |
| 11 y/o | 81 (12%) | 50 (62%) | 20 (25%) * | 11 (14%) * | ||
| 12 y/o | 53 (9%) | 37 (70%) | 11 (21%) * | 5 (9%) | ||
| 13 y/o | 85 (13%) | 51 (60%) | 22 (26%) * | 12 (14%) * | ||
| 14 y/o | 77 (12%) | 57 (74%) | 11 (14%) | 9 (12%) * | ||
| 15 y/o | 117 (18%) | 83 (71%) | 24 (21%) * | 10 (9%) | ||
| 16 y/o | 94 (14%) | 77 (82%) | 11 (11%) | 7 (7%) | ||
| 17 y/o | 60 (9%) | 47 (80%) | 8 (12%) | 5 (8%) | ||
| 18+ y/o | 23 (3%) | 15 (68%) | 6 (23%) | 2 (9%) | ||
| Abd. Circumf. by Age | No Risk | Risk | ||||
| Male | N = 334 (51%) | 284 (84%) | 45 (16%) | 88.311 | p < 0.001 | |
| Female | N = 320 (49%) | 151(47%) | 164 (53%) * | |||
| 10 y/o | 62 (10%) | 45 (7%) | 19 (3%) | 86.406 | 11 y/o, 15 y/o, p < 0.001 | |
| 11 y/o | 82 (13%) | 39 (6%) | 43 (7%) * | |||
| 12 y/o | 54 (8%) | 24 (4%) | 30 (5%) | |||
| 13 y/o | 84 (13%) | 61 (9%) | 23 (4%) | |||
| 14 y/o | 77 (12%) | 67 (10%) | 10 (2%) | |||
| 15 y/o | 116 (18%) | 52 (8%) | 64 (10%) * | |||
| 16 y/o | 94 (14%) | 79 (11%) | 15 (3%) | |||
| 17 y/o | 58 (9%) | 50 (8%) | 8 (1%) | |||
| 18+ y/o | 22 (3%) | 18 (2%) | 6 (1%) |
| Predictor Variables (n = 654) | Model 1 | Model 2 |
|---|---|---|
| Age (years) | 0.255 ** | 0.268 ** |
| Gender | −0.207 | |
| Abdominal adiposity (cm) | 0.313 ** | 0.313 ** |
| Horizontal jump (cm) | −0.100 * | −0.900 * |
| 40 m velocity (Sec) | 0.274 * | 0.264 |
| Aerobic fitness (turns) | −0.250 ** | −0.250 ** |
| R2 | 0.75 | 0.75 |
| Adjusted R2 | 0.74.6 | 0.74.6 |
| F | 382.2 ** | 320.2 ** |
| R2 varianceRSS | 3202.8 | 3196.7 |
Publisher’s Note: MDPI stays neutral with regard to jurisdictional claims in published maps and institutional affiliations. |
© 2022 by the authors. Licensee MDPI, Basel, Switzerland. This article is an open access article distributed under the terms and conditions of the Creative Commons Attribution (CC BY) license (https://creativecommons.org/licenses/by/4.0/).
Share and Cite
Encarnação, S.G.A.d.; Flores, P.; Magalhães, D.; Afonso, G.; Pereira, A.; Fonseca, R.B.; Ribeiro, J.; Silva-Santos, S.; Teixeira, J.E.; Monteiro, A.M.; et al. The Influence of Abdominal Adiposity and Physical Fitness on Obesity Status of Portuguese Adolescents. Int. J. Environ. Res. Public Health 2022, 19, 11213. https://doi.org/10.3390/ijerph191811213
Encarnação SGAd, Flores P, Magalhães D, Afonso G, Pereira A, Fonseca RB, Ribeiro J, Silva-Santos S, Teixeira JE, Monteiro AM, et al. The Influence of Abdominal Adiposity and Physical Fitness on Obesity Status of Portuguese Adolescents. International Journal of Environmental Research and Public Health. 2022; 19(18):11213. https://doi.org/10.3390/ijerph191811213
Chicago/Turabian StyleEncarnação, Samuel Gonçalves Almeida da, Pedro Flores, David Magalhães, Gil Afonso, Albino Pereira, Rui Brito Fonseca, Joana Ribeiro, Sandra Silva-Santos, José Eduardo Teixeira, António Miguel Monteiro, and et al. 2022. "The Influence of Abdominal Adiposity and Physical Fitness on Obesity Status of Portuguese Adolescents" International Journal of Environmental Research and Public Health 19, no. 18: 11213. https://doi.org/10.3390/ijerph191811213
APA StyleEncarnação, S. G. A. d., Flores, P., Magalhães, D., Afonso, G., Pereira, A., Fonseca, R. B., Ribeiro, J., Silva-Santos, S., Teixeira, J. E., Monteiro, A. M., Ferraz, R., Branquinho, L., & Forte, P. (2022). The Influence of Abdominal Adiposity and Physical Fitness on Obesity Status of Portuguese Adolescents. International Journal of Environmental Research and Public Health, 19(18), 11213. https://doi.org/10.3390/ijerph191811213

