The Impact of Payment Scheme Changes on Medication Adherence and Persistence of Patients Diagnosed with Depression in Korea
Abstract
:1. Introduction
2. Materials and Methods
2.1. Data Source
2.2. Study Population
2.3. Outcomes and Variables
2.4. Statistical Analysis
2.5. Sensitivity Analysis
3. Results
4. Discussion
5. Conclusions
Author Contributions
Funding
Institutional Review Board Statement
Informed Consent Statement
Data Availability Statement
Conflicts of Interest
Appendix A
| Pre-Policy | Post-Policy | |||
|---|---|---|---|---|
| Time/Session | RBRVS | Time/Session | RBRVS | |
| Short | <15 min (NN011) | 154.87 | <10 min (NN001) | 145.52 |
| Intermediate | 15 ≤ IP < 45 min (NN013) | 292.19 | 10 ≤ IP < 20 min (NN002) | 290.82 |
| 20 ≤ IP < 30 min (NN003) | 475.38 | |||
| 30 ≤ IP < 40 min (NN004) | 675.53 | |||
| Long | ≥45 min (NN012) | 454.83 | ≥40 min (NN005) | 895.83 |
| Class | Generic Name | WHO-ATC Classification Code |
|---|---|---|
| TCA (Tricyclic antidepressant) | Amitriptyline | N06AA09 |
| Amoxapine | N06AA17 | |
| Clomipramine | N06AA04 | |
| Imipramine | N06AA02 | |
| Nortriptyline | N06AA10 | |
| SSRI (Selective serotonin reuptake inhibitor) | Fluoxetine | N06AB03 |
| Fluvoxamine | N06AB08 | |
| Paroxetine | N06AB05 | |
| Sertraline | N06AB06 | |
| Citalopram | N06AB04 | |
| Escitalopram | N06AB10 | |
| Vortioxetine | N06AX26 | |
| SNRI (Serotonin and norepinephrine reuptake inhibitor) | Venlafaxine | N06AX16 |
| Milnacipran | N06AX17 | |
| Duloxetine | N06AX21 | |
| Desvenlafaxine | N06AX23 | |
| Other 1 | Hyperici herba | N06AX25 |
| Mirtazapine | N06AX11 | |
| Trazodone | N06AX05 | |
| Ademetionine | A16AA02 | |
| Bupropion | N06AX12 | |
| Agomelatine | N06AX22 | |
| Moclobemide | N06AG02 | |
| Tianeptine | N06AX14 |
References
- OECD. Health at a Glance 2021. 2021. Available online: https://www.oecd-ilibrary.org/social-issues-migration-health/health-at-a-glance-2021_ae3016b9-en (accessed on 2 September 2022).
- Van Leeuwen, E.; van Driel, M.L.; Horowitz, M.A.; Kendrick, T.; Donald, M.; De Sutter, A.I.; Robertson, L.; Christiaens, T. Approaches for discontinuation versus continuation of long-term antidepressant use for depressive and anxiety disorders in adults. Cochrane Database Syst. Rev. 2021, 2021, CD013495. [Google Scholar] [CrossRef]
- Olfson, M.; Marcus, S.C.; Tedeschi, M.; Wan, G.J. Continuity of Antidepressant Treatment for Adults with Depression in the United States. Am. J. Psychiatry 2006, 163, 101–108. [Google Scholar] [CrossRef] [PubMed]
- Grenard, J.L.; Munjas, B.A.; Adams, J.L.; Suttorp, M.; Maglione, M.; McGlynn, E.A.; Gellad, W.F. Depression and Medication Adherence in the Treatment of Chronic Diseases in the United States: A Meta-Analysis. J. Gen. Intern. Med. 2011, 26, 1175–1182. [Google Scholar] [CrossRef] [PubMed]
- Osterberg, L.; Blaschke, T. Adherence to Medication. N. Engl. J. Med. 2005, 353, 487–497. [Google Scholar] [CrossRef]
- Kupfer, D.J.; Frank, E.; Perel, J.M.; Cornes, C.; Mallinger, A.G.; Thase, M.E.; McEachran, A.B.; Grochocinski, V.J. Five-Year Outcome for Maintenance Therapies in Recurrent Depression. Arch. Gen. Psychiatry 1992, 49, 769–773. [Google Scholar] [CrossRef] [PubMed]
- Gaspar, F.W.; Zaidel, C.S.; Dewa, C. Rates and Determinants of Use of Pharmacotherapy and Psychotherapy by Patients with Major Depressive Disorder. Psychiatr. Serv. 2019, 70, 262–270. [Google Scholar] [CrossRef] [PubMed]
- Horne, R.; Clatworthy, J. Adherence to Advice and Treatment; BPS Blackwell: West Sussex, UK, 2010; pp. 175–188. [Google Scholar]
- Chapman, S.C.E.; Horne, R. Medication nonadherence and psychiatry. Curr. Opin. Psychiatry 2013, 26, 446–452. [Google Scholar] [CrossRef]
- Andrade, L.H.; Alonso, J.; Mneimneh, Z.; Wells, J.E.; Al-Hamzawi, A.; Borges, G.; Bromet, E.; Bruffaerts, R.; de Girolamo, G.; de Graaf, R.; et al. Barriers to mental health treatment: Results from the WHO World Mental Health surveys. Psychol. Med. 2014, 44, 1303–1317. [Google Scholar] [CrossRef]
- Sirey, J.A.; Banerjee, S.; Marino, P.; Bruce, M.L.; Halkett, A.; Turnwald, M.; Chiang, C.; Liles, B.; Artis, A.; Blow, F.; et al. Adherence to Depression Treatment in Primary Care: A Randomized Clinical Trial. JAMA Psychiatry 2017, 74, 1129–1135. [Google Scholar] [CrossRef]
- Thompson, L.; McCabe, R. The effect of clinician-patient alliance and communication on treatment adherence in mental health care: A systematic review. BMC Psychiatry 2012, 12, 87. [Google Scholar] [CrossRef] [Green Version]
- DiMatteo, M.R.; Haskard-Zolnierek, K.B.; Martin, L.R. Improving patient adherence: A three-factor model to guide practice. Health Psychol. Rev. 2012, 6, 74–91. [Google Scholar] [CrossRef]
- Haskard Zolnierek, K.B.; DiMatteo, M.R. Physician Communication and Patient Adherence to Treatment: A Meta-Analysis. Med. Care 2009, 47, 826–834. [Google Scholar] [CrossRef]
- Tudor, K. Value for money?: Issues of fees in counselling and psychotherapy. Br. J. Guid. Couns. 1998, 26, 477–493. [Google Scholar] [CrossRef]
- Aljunid, S.M.; Srithamrongsawat, S.; Chen, W.; Bae, S.J.; Pwu, R.-F.; Ikeda, S.; Xu, L. Health-Care Data Collecting, Sharing, and Using in Thailand, China Mainland, South Korea, Taiwan, Japan, and Malaysia. Value Health 2012, 15, S132–S138. [Google Scholar] [CrossRef] [PubMed]
- Cheol Seong, S.; Kim, Y.-Y.; Khang, Y.-H.; Heon Park, J.; Kang, H.-J.; Lee, H.; Do, C.-H.; Song, J.-S.; Hyon Bang, J.; Ha, S.; et al. Data Resource Profile: The National Health Information Database of the National Health Insurance Service in South Korea. Int. J. Epidemiol. 2016, 46, 799–800. [Google Scholar] [CrossRef] [PubMed]
- Korean Academy of Anxiety and Mood. Treatment Guidelines for Generalized Anxiety Disorder; Korean Academy of Medical Sciences: Seoul, Korea, 2009. [Google Scholar]
- Korean College of Neuropsychopharmacology; Korean Society for Affective Disorders. Korean Medication Algorithm Project for Depressive Disorder; Korean Academy of Medical Sciences: Seoul, Korea, 2017. [Google Scholar]
- Cantrell, C.R.; Eaddy, M.T.; Shah, M.B.; Regan, T.S.; Sokol, M.C. Methods for Evaluating Patient Adherence to Antidepressant Therapy: A Real-World Comparison of Adherence and Economic Outcomes. Med. Care 2006, 44, 300–303. [Google Scholar] [CrossRef] [PubMed]
- Hess, L.M.; Raebel, M.A.; Conner, D.A.; Malone, D.C. Measurement of Adherence in Pharmacy Administrative Databases: A Proposal for Standard Definitions and Preferred Measures. Ann. Pharmacother. 2006, 40, 1280–1288. [Google Scholar] [CrossRef]
- Kim-Romo, D.N.; Rascati, K.L.; Richards, K.M.; Ford, K.C.; Wilson, J.P.; Beretvas, S.N. Medication Adherence and Persistence in Patients with Severe Major Depressive Disorder with Psychotic Features: Antidepressant and Second-Generation Antipsychotic Therapy versus Antidepressant Monotherapy. J. Manag. Care Spec. Pharm. 2016, 22, 588–596. [Google Scholar] [CrossRef]
- Liu, X.; Gelwicks, S.; Faries, D.E.; Able, S.L. Initial duloxetine prescription dose and treatment adherence and persistence in patients with major depressive disorder. Int. Clin. Psychopharmacol. 2010, 25, 315–322. [Google Scholar] [CrossRef]
- Vega, C.; Becker, R.V.; Mucha, L.; Lorenz, B.H.; Eaddy, M.T.; Ogbonnaya, A.O. Impact of adherence to antidepressants on healthcare outcomes and costs among patients with type 2 diabetes and comorbid major depressive disorder. Curr. Med. Res. Opin. 2017, 33, 1879–1889. [Google Scholar] [CrossRef]
- Cramer, J.A.; Roy, A.; Burrell, A.; Fairchild, C.J.; Fuldeore, M.J.; Ollendorf, D.A.; Wong, P.K. Medication Compliance and Persistence: Terminology and Definitions. Value Health 2008, 11, 44–47. [Google Scholar] [CrossRef] [PubMed]
- McNutt, L.-A.; Wu, C.; Xue, X.; Hafner, J.P. Estimating the relative risk in cohort studies and clinical trials of common outcomes. Am. J. Epidemiol. 2003, 157, 940–943. [Google Scholar] [CrossRef] [PubMed]
- Hoogendoorn, C.J.; Shapira, A.; Roy, J.F.; Walker, E.A.; Cohen, H.W.; Gonzalez, J.S. Depressive symptom dimensions and medication non-adherence in suboptimally controlled type 2 diabetes. J. Diabetes Its Complicat. 2019, 33, 217–222. [Google Scholar] [CrossRef] [PubMed]
- Lage, M.J.; Hassan, M.K. The relationship between antipsychotic medication adherence and patient outcomes among individuals diagnosed with bipolar disorder: A retrospective study. Ann. Gen. Psychiatry 2009, 8, 1–9. [Google Scholar] [CrossRef]
- Friedman, M.A.; Detweiler-Bedell, J.B.; Leventhal, H.E.; Horne, R.; Keitner, G.I.; Miller, I.W. Combined Psychotherapy and Pharmacotherapy for the Treatment of Major Depressive Disorder. Clin. Psychol. Sci. Pract. 2004, 11, 47. [Google Scholar] [CrossRef]
- Inwanna, S.; Duangchan, C.; Matthews, A.K. Effectiveness of Interventions to Promote Medication Adherence in Schizophrenic Populations in Thailand: A Systematic Review. Int. J. Environ. Res. Public Health 2022, 19, 2887. [Google Scholar] [CrossRef]
- Donohue, J.M.; Zhang, Y.; Perera, S.; Lave, J.R.; Hanlon, J.T.; Men, A.; Reynolds III, C.F. Impact of Medicare Part D on antidepressant treatment, medication choice, and adherence among older adults with depression. Am. J. Geriatr. Psychiatry 2011, 19, 989–997. [Google Scholar] [CrossRef]
- Zivin, K.; Madden, J.M.; Zhang, F.; Soumerai, S.B.; Graves, A.J. Cost-related medication nonadherence among beneficiaries with depression following Medicare Part D. Am. J. Geriatr. Psychiatry 2009, 17, 1068–1076. [Google Scholar] [CrossRef]
- Heidari, P.; Cross, W.; Crawford, K. Do out-of-pocket costs affect medication adherence in adults with rheumatoid arthritis? A systematic review. In Seminars in Arthritis and Rheumatism; WB Saunders: Philadelphia, PA, USA, 2018; pp. 12–21. [Google Scholar]
- Sedjo, R.L.; Devine, S. Predictors of non-adherence to aromatase inhibitors among commercially insured women with breast cancer. Breast Cancer Res. Treat. 2011, 125, 191–200. [Google Scholar] [CrossRef]
- Aarnio, E.J.; Martikainen, J.A.; Helin-Salmivaara, A.; Huupponen, R.K.; Hartikainen, J.E.; Peura, P.K.; Korhonen, M.J. Register-based predictors of adherence among new statin users in Finland. J. Clin. Lipidol. 2014, 8, 117–125. [Google Scholar] [CrossRef] [Green Version]
- Thase, M.E.; Friedman, E.S.; Howland, R.H. Management of treatment-resistant depression: Psychotherapeutic perspectives. J. Clin. Psychiatry 2001, 62, 18–24. [Google Scholar] [PubMed]
- Cho, M.J.; Chang, S.M.; Hahm, B.J.; Chung, I.W.; Bae, A.; Lee, Y.M.; Lee, H.W. Prevalence and Correlates of Major Mental Disorders among Korean Adults: A 2006 National Epidemiologic Survey. J. Korean Neuropsychiatr. Assoc. 2009, 144–152. [Google Scholar]
- Roh, S.; Lee, S.-U.; Soh, M.; Ryu, V.; Kim, H.; Jang, J.W.; Lim, H.Y.; Jeon, M.; Park, J.-I.; Choi, S. Mental health services and R&D in South Korea. Int. J. Ment. Health Syst. 2016, 10, 1–10. [Google Scholar]
- Choi Kyung-Wha, N.K.J. How can we make patients more trust their doctors? A look into expertise, responsiveness, and patient-centeredness. Soc. Welf. Policy Pract. 2020, 6, 5–53. [Google Scholar] [CrossRef]
- Lee, C.H.; Lim, H.; Kim, Y.; Park, A.H.; Park, E.-C.; Kang, J.-G. Analysis of Appropriate Outpatient Consultation Time for Clinical Departments. Health Policy Manag. 2014, 24, 254–260. [Google Scholar] [CrossRef]
- Yoo, H.H.; Kim, H.M.; Bae, M.H.; Kim, M.J.; Woo, J.I.; Lee, E.Y. Improvement of customer satisfaction with. Qual. Improv. Health Care 2009, 15, 79–87. [Google Scholar]
- Bultman, D.C.; Svarstad, B.L. Effects of physician communication style on client medication beliefs and adherence with antidepressant treatment. Patient Educ. Couns. 2000, 40, 173–185. [Google Scholar] [CrossRef]
- Santana, L.; Fontenelle, L.F. A review of studies concerning treatment adherence of patients with anxiety disorders. Patient Prefer. Adherence 2011, 5, 427. [Google Scholar]
- Akincigil, A.; Bowblis, J.R.; Levin, C.; Walkup, J.T.; Jan, S.; Crystal, S. Adherence to antidepressant treatment among privately insured patients diagnosed with depression. Med. Care 2007, 45, 363. [Google Scholar] [CrossRef]
- Rolnick, S.J.; Pawloski, P.A.; Hedblom, B.D.; Asche, S.E.; Bruzek, R.J. Patient characteristics associated with medication adherence. Clin. Med. Res. 2013, 11, 54–65. [Google Scholar] [CrossRef]
- Klimkiewicz, A.; Jasionowska, J.; Schmalenberg, A.; Klimkiewicz, J.; Jasińska, A.; Silczuk, A. COVID-19 pandemic-related depression and insomnia among psychiatric patients and the general population. J. Clin. Med. 2021, 10, 3425. [Google Scholar] [CrossRef] [PubMed]
- Keyloun, K.R.; Hansen, R.N.; Hepp, Z.; Gillard, P.; Thase, M.E.; Devine, E.B. Adherence and persistence across antidepressant therapeutic classes: A retrospective claims analysis among insured US patients with major depressive disorder (MDD). CNS Drugs 2017, 31, 421–432. [Google Scholar] [CrossRef] [PubMed]
- Wu, C.-S.; Shau, W.-Y.; Chan, H.-Y.; Lai, M.-S. Persistence of antidepressant treatment for depressive disorder in Taiwan. Gen. Hosp. Psychiatry 2013, 35, 279–285. [Google Scholar] [CrossRef] [PubMed]



| Variable | Pre-Policy (n = 85,251) | Post-Policy (n = 91,494) | p-Value a | |
|---|---|---|---|---|
| Gender n (%) | Male | 29,205 (34.3) | 32,082 (35.1) | 0.0004 |
| Female | 56,046 (65.7) | 59,412 (64.9) | ||
| Age 1 n (%) | 19–34 | 27,405 (32.2) | 31,765 (34.7) | <0.0001 |
| 35–49 | 22,506 (26.4) | 23,822 (26.1) | ||
| 50–64 | 19,433 (22.8) | 20,237 (22.1) | ||
| Over 65 | 15,907 (18.6) | 15,670 (17.1) | ||
| Type of index medication 2 n (%) | SSRI | 51,867 (60.8) | 56,720 (62.0) | <0.0001 |
| TCA | 5454 (6.4) | 4494 (4.9) | ||
| SNRI | 3091 (3.6) | 3760 (4.1) | ||
| Poly | 14,739 (17.3) | 15,820 (17.3) | ||
| Other 3 | 10,100 (11.8) | 10,700 (11.7) | ||
| Variable | Pre-Policy (n = 85,251) | Post-Policy (n = 91,494) | p-Value | |
|---|---|---|---|---|
| Number of psychotherapy sessions 1 mean (SD) | Short | 2.34 (3.11) | 2.18 (3.42) | <0.0001 a |
| Intermediate | 1.31 (2.01) | 3.89 (5.50) | <0.0001 a | |
| Long | 0.15 (0.68) | 0.77 (1.15) | <0.0001 a | |
| Total | 3.80 (3.85) | 6.84 (7.72) | <0.0001 a | |
| Proportion of intermediate and long IP, mean (SD) | 0.53 (0.45) | 0.63 (0.41) | <0.0001 a | |
| Continuation psychotherapy, n (%) | Early drop 2 | 66,009 (77.4) | 55,641 (60.8) | <0.0001 b |
| Continue | 19,242 (22.6) | 35,853 (39.2) | ||
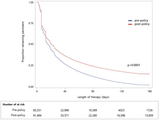
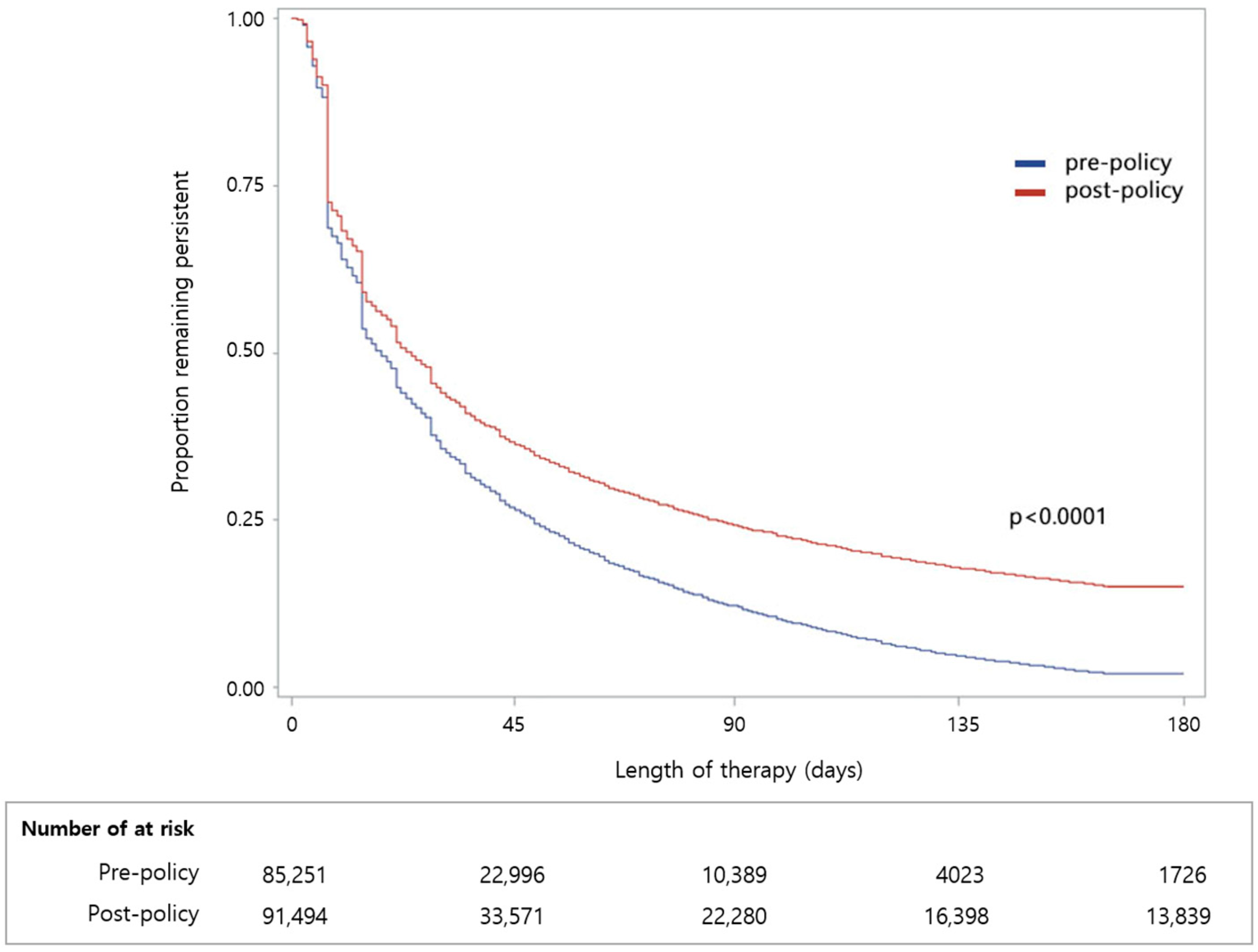
| MPR 3, mean (SD) | 0.20 (0.22) | 0.33 (0.33) | <0.0001 a | |
| LOT 4, mean (SD) | 36.1 (41.31) | 55.6 (62.60) | <0.0001 a | |
| Variable | MPR 4, Mean (SD) | LOT 5, Mean (SD) | |||||
|---|---|---|---|---|---|---|---|
| Pre-Policy | Post-Policy | p-Value a | Pre-Policy | Post-Policy | p-Value a | ||
| n | 85,251 | 91,494 | 85,251 | 91,494 | |||
| Gender | Male | 0.19 (0.21) | 0.32 (0.33) | <0.0001 | 35.44 (40.34) | 54.93 (61.91) | <0.0001 |
| Female | 0.20 (0.22) | 0.33 (0.33) | <0.0001 | 36.51 (41.81) | 56.03 (62.97) | <0.0001 | |
| Age 1 | 19–34 | 0.21 (0.22) | 0.34 (0.33) | <0.0001 | 37.54 (42.43) | 58.20 (63.22) | <0.0001 |
| 35–49 | 0.20 (0.22) | 0.34 (0.34) | <0.0001 | 36.30 (41.34) | 58.30 (64.08) | <0.0001 | |
| 50–64 | 0.20 (0.22) | 0.31 (0.33) | <0.0001 | 35.29 (40.75) | 53.21 (61.87) | <0.0001 | |
| Over 65 | 0.20 (0.21) | 0.30 (0.32) | <0.0001 | 34.56 (39.90) | 49.57 (59.40) | <0.0001 | |
| Type of index medication 2 | SSRI | 0.20 (0.22) | 0.33 (0.33) | <0.0001 | 36.75 (41.52) | 57.26 (63.12) | <0.0001 |
| TCA | 0.17 (0.19) | 0.25 (0.29) | <0.0001 | 29.87 (37.14) | 41.46 (55.07) | <0.0001 | |
| SNRI | 0.20 (0.22) | 0.33 (0.34) | <0.0001 | 36.70 (41.75) | 57.46 (64.76) | <0.0001 | |
| Poly | 0.21 (0.23) | 0.34 (0.34) | <0.0001 | 38.21 (42.63) | 59.22 (64.29) | <0.0001 | |
| Other 3 | 0.19 (0.21) | 0.28 (0.31) | <0.0001 | 33.23 (39.81) | 47.09 (57.82) | <0.0001 | |
| Total | 0.20 (0.22) | 0.33 (0.33) | <0.0001 | 36.1 (41.31) | 55.6 (62.60) | <0.0001 | |
| Variable | Adherence 4 | Persistence 5 | ||
|---|---|---|---|---|
| RR (95% CI) | aRR (95% CI) | HR (95% CI) | aHR (95% CI) | |
| Policy | ||||
| Pre-policy | REF | REF | REF | REF |
| Post-policy | 5.48 ** (5.26–5.71) | 4.06 ** (3.89–4.24) | 0.68 ** (0.67–0.68) | 0.85 ** (0.84–0.85) |
| Gender | ||||
| Female | REF | REF | REF | REF |
| Male | 0.93 ** (0.91–0.96) | 0.96 * (0.93–0.99) | 1.01 * (1.00–1.02) | 0.95 ** (0.93–0.99) |
| Age 1 | ||||
| 19~34 | REF | REF | REF | REF |
| 35–49 | 0.90 ** (0.87–0.93) | 1.09 ** (1.04–1.13) | 1.02 ** (1.01–1.03) | 0.92 ** (0.91–0.93) |
| 50–64 | 0.81 ** (0.78–0.85) | 1.15 ** (1.10–1.21) | 1.08 ** (1.06–1.09) | 0.84 ** (0.83–0.85) |
| ≥65 | 1.00 (0.98–1.05) | 0.86 ** (0.83–0.89) | 1.12 ** (1.11–1.14) | 0.77 ** (0.75–0.77) |
| Type of index medication 2 | ||||
| SSRI | REF | REF | REF | REF |
| TCA | 0.50 ** (0.46–0.57) | 0.65 ** (0.58–0.72) | 1.29 ** (1.27–1.32) | 1.10 ** (1.08–1.13) |
| SNRI | 0.69 ** (0.64–0.76) | 0.83 ** (0.76–0.90) | 0.99 (0.96–1.02) | 1.03 * (1.00–1.06) |
| Other 3 | 0.91 ** (0.85–0.98) | 0.95 ** (0.89–1.03) | 1.15 ** (1.13–1.16) | 1.04 ** (1.03–1.06) |
| Poly | 0.96 (0.89–1.04) | 1.01 (0.93–1.09) | 0.97 ** (0.96–0.99) | 0.97 ** (0.96–0.98) |
Publisher’s Note: MDPI stays neutral with regard to jurisdictional claims in published maps and institutional affiliations. |
© 2022 by the authors. Licensee MDPI, Basel, Switzerland. This article is an open access article distributed under the terms and conditions of the Creative Commons Attribution (CC BY) license (https://creativecommons.org/licenses/by/4.0/).
Share and Cite
Shin, G.; Jang, B.; Bae, G.; Jeon, H.-L.; Bae, S. The Impact of Payment Scheme Changes on Medication Adherence and Persistence of Patients Diagnosed with Depression in Korea. Int. J. Environ. Res. Public Health 2022, 19, 11100. https://doi.org/10.3390/ijerph191711100
Shin G, Jang B, Bae G, Jeon H-L, Bae S. The Impact of Payment Scheme Changes on Medication Adherence and Persistence of Patients Diagnosed with Depression in Korea. International Journal of Environmental Research and Public Health. 2022; 19(17):11100. https://doi.org/10.3390/ijerph191711100
Chicago/Turabian StyleShin, Gyeongseon, Bohwa Jang, Green Bae, Ha-Lim Jeon, and SeungJin Bae. 2022. "The Impact of Payment Scheme Changes on Medication Adherence and Persistence of Patients Diagnosed with Depression in Korea" International Journal of Environmental Research and Public Health 19, no. 17: 11100. https://doi.org/10.3390/ijerph191711100
APA StyleShin, G., Jang, B., Bae, G., Jeon, H.-L., & Bae, S. (2022). The Impact of Payment Scheme Changes on Medication Adherence and Persistence of Patients Diagnosed with Depression in Korea. International Journal of Environmental Research and Public Health, 19(17), 11100. https://doi.org/10.3390/ijerph191711100

