Towards Cleaner Production Ecosystem: An Analysis of Embodied Industrial Pollution in International Trade of China’s Processing versus Normal Exports
Abstract
:1. Introduction
2. Literature Review
3. Methodology and Data Description
3.1. Embodied Emission in Exports with Disaggregated Processing Exports
3.2. The Balance of Embodied Emission in Trade (BEET)
3.3. The Pollution Terms of Trade (PTT)
3.4. Decomposition of the BEET and PTT
3.5. Data Description
4. Empirical Results and Analysis
4.1. The Embodied Emission in China’s Bilateral Trade
4.1.1. The Embodied Emission in Exports
4.1.2. The Embodied Emission in Imports
4.2. The Revised BEET
4.2.1. Revised BEET
4.2.2. Sector Analysis of the Revised BEET
4.2.3. The Effect Decomposition of Revised BEET
4.3. Revised PTT
4.3.1. Revised PTT in Bilateral Trade
4.3.2. The Effect Decomposition of Revised PTT
5. Conclusions
- The domestic environmental impact of increased normal exports should be prioritized. With the improvement of firms’ learning ability through processing trade after the reform and opening up [61], industries with a high proportion of processing trade, such as textiles, have gradually shifted from processing exports to normal exports while the normal and processing export shares of relatively clean industries, such as machinery and equipment manufacturing, have increased. Normal exports consume more domestic intermediate inputs than processing exports, resulting in a greater impact on domestic pollution. As a result, environmental regulations should be tightened even further to mitigate the negative consequences of increased normal exports on the domestic environment.
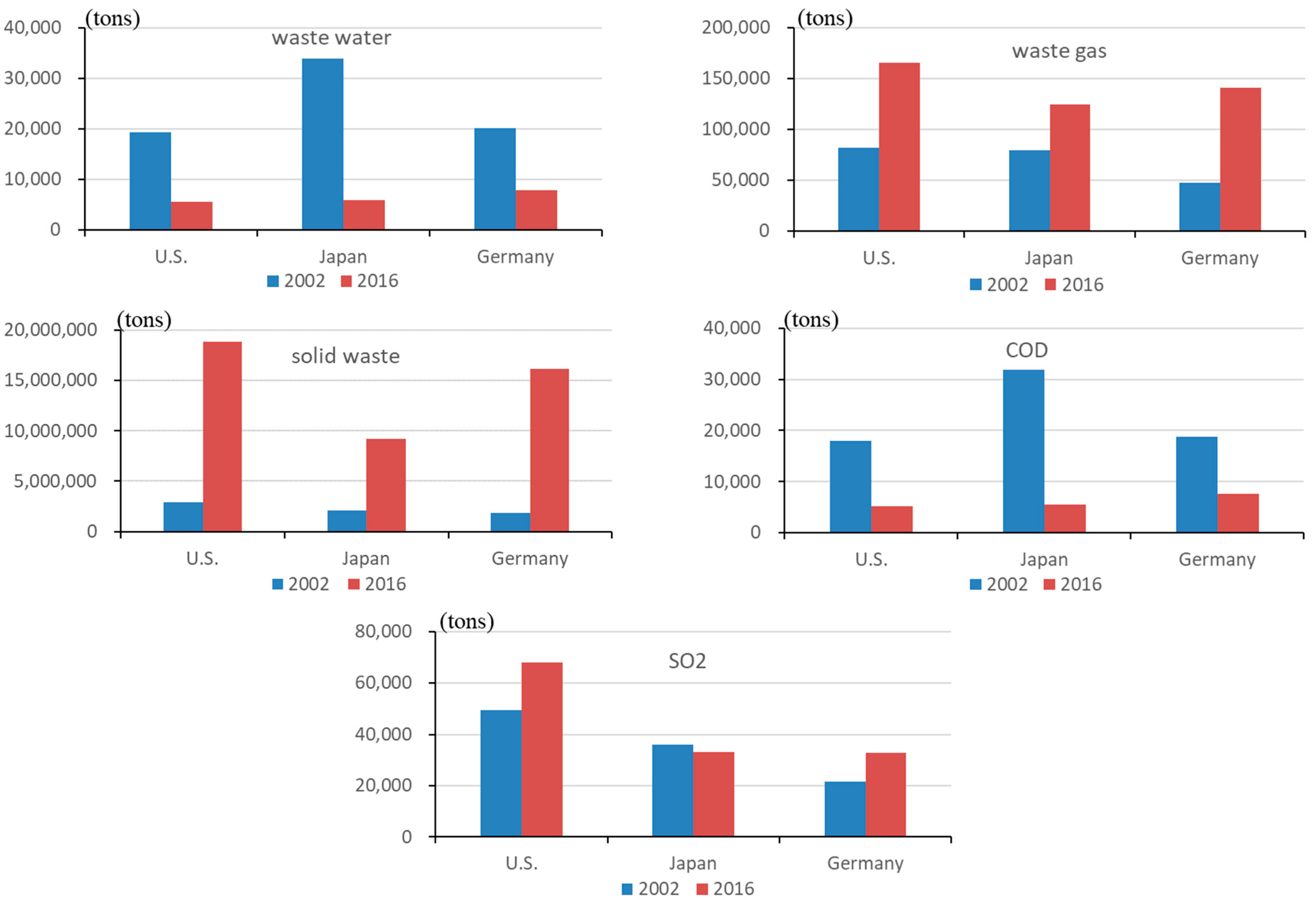
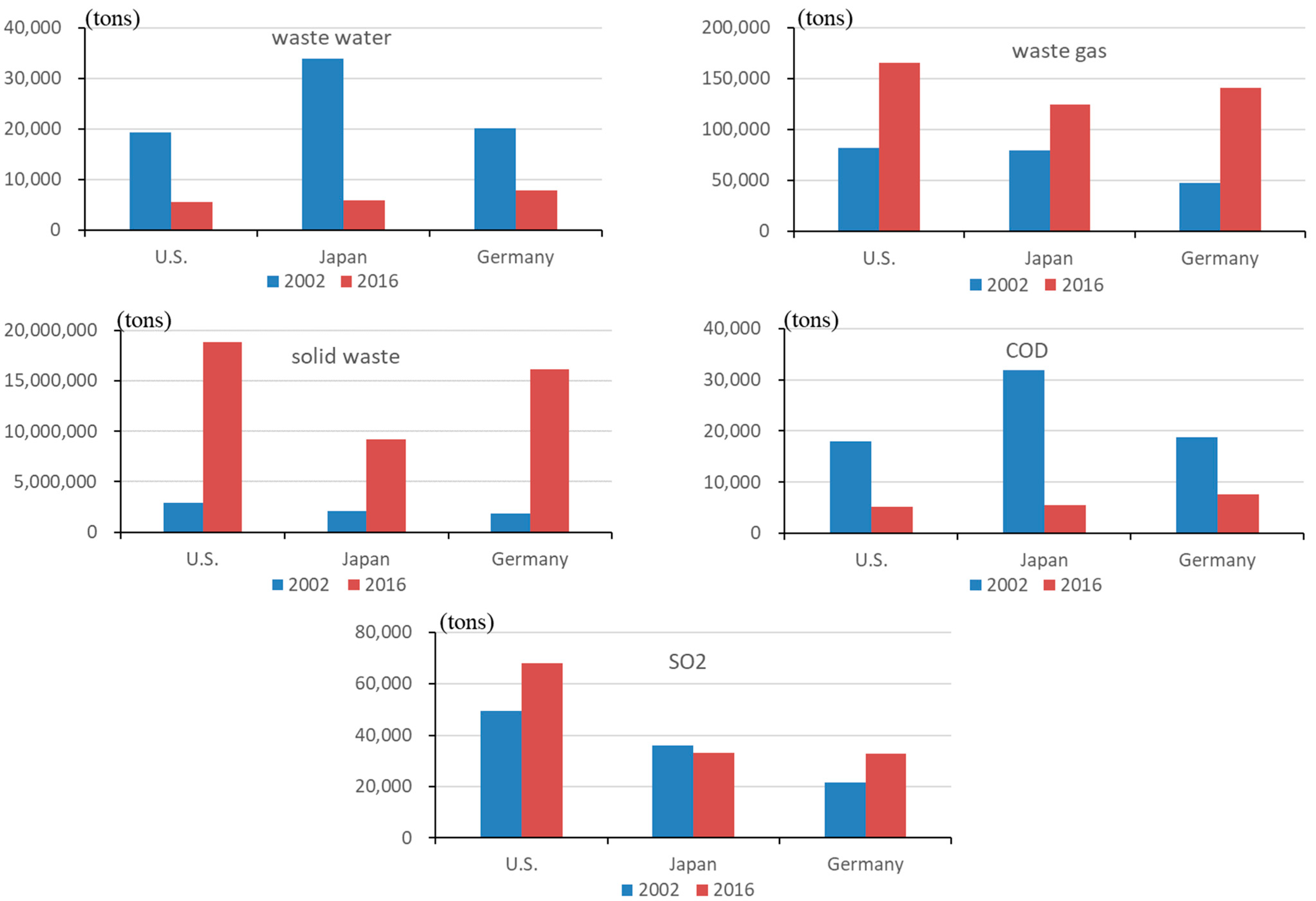
- China should continue to reduce emissions intensity, particularly solid waste emissions, and close the gap with developed countries [64]. China should boost productivity by stimulating innovation and expanding R&D spending, as well as seek to reduce pollution by raising environmental standards and implementing strong environmental laws [37].
Author Contributions
Funding
Institutional Review Board Statement
Informed Consent Statement
Data Availability Statement
Acknowledgments
Conflicts of Interest
Notations
| Notation | Meaning | 
| Final domestic consumption | |
| Final capital formation | |
| Normal exports | |
| Processing exports | |
| Coefficient matrix of domestic intermediate input used for domestic use | |
| Coefficient matrix of domestic intermediate input used for normal exports | |
| Coefficient matrix of domestic intermediate input used for processing exports | |
| Coefficient matrix of imported intermediate input used for domestic use | |
| Coefficient matrix of imported intermediate input used for normal exports | |
| Coefficient matrix of imported intermediate input used for processing exports | |
| Value-added coefficient matrix for domestic use | |
| Value-added coefficient matrix for normal exports | |
| Value-added coefficient matrix for processing exports | |
| X | Total output | 
| M | Total imports | 
| Imported products used for final consumption | |
| Imported products used for capital formation | |
| EM | Imported products used for re-exports | 
| Total import value of a country’s exports per unit | |
| Total domestic value-added coefficient of unit domestic consumption | |
| Total domestic value-added coefficient of unit normal exports | |
| Total domestic value-added coefficient of unit processing exports | |
| Total domestic value of a country’s exports per unit | |
| Embodied domestic emissions in normal and processing exports | |
| Embodied imported emissions from normal and processing exports | |
| Embodied emission in imports | |
| Balance of embodied emission in trade | |
| Pollution terms of trade | 
Appendix A. Sector Classification
| Code | Sector | 
| 1 | Food products, beverages, and tobacco | 
| 2 | Textiles | 
| 3 | Textile products, leather, down, and footwear | 
| 4 | Wood and products of wood and cork, manufacture of furniture | 
| 5 | Pulp, paper, paper products, printing and publishing, stationery manufacturing | 
| 6 | Coke, refined petroleum products, and nuclear fuel | 
| 7 | Chemicals | 
| 8 | Other non-metallic mineral products | 
| 9 | Iron & steel, Non-ferrous metals | 
| 10 | Fabricated metal products, except machinery and equipment | 
| 11 | General and special equipment | 
| 12 | Transportation equipment | 
| 13 | Electrical machine and appliance | 
| 14 | Communications equipment, computers, and other electronic equipment | 
| 15 | Instrumentation and cultural office machinery | 
References
- Lund, S.; Manyika, J.; Woetzel, J.; Bughin, J.; Krishnan, M.; Seong, J.; Muir, M. Globalization in Transition: The Future of Trade and Value Chains; McKinsey Global Institute: Atlanta, GA, USA, 2019; Available online: https://www.mckinsey.com/featured-insights/innovation-and-growth/globalization-in-transition-the-future-of-trade-and-value-chains (accessed on 7 August 2021).
- WHO Fact Sheet on AMBIENT (Outdoor) Air Quality and Health. Available online: http://www.who.int/news-room/fact-sheets/detail/ambient-(outdoor)-air-quality-and-health (accessed on 2 May 2018).
- Kampa, M.; Castanas, E. Human health effects of air pollution. Environ. Pollut. 2008, 151, 362–367. [Google Scholar] [CrossRef] [PubMed]
- Yuzbekov, A.K.; Yuzbekov, M.A. Effects of industrial pollution on respiratory diseases. Mosc. Univ. Biol. Sci. Bull. 2015, 70, 17–22. [Google Scholar] [CrossRef]
- Genc, S.; Zadeoglulari, Z.; Fuss, S.H.; Genc, K. The adverse effects of air pollution on our system. J. Toxicol. 2012, 2012, 782462. [Google Scholar] [CrossRef]
- Lenzi, G.L.; Bonsanto, F. Air Pollution and the Nervous System: Diseases of the Brain Caused by Air Pollutants and Air Pollution. In Clinical Handbook of Air Pollution-Related Diseases; Capello, F., Gaddi, A., Eds.; Springer: Cham, Switzerland, 2018. [Google Scholar] [CrossRef]
- Babadjouni, R.M.; Hodis, D.M.; Radwanski, R.; Durazo, R.; Patel, A.; Liu, Q.; Mack, W.J. Clinical effects of air pollution on the central nervous system; a review. J. Clin. Neurosci. 2017, 43, 16–24. [Google Scholar] [CrossRef] [PubMed]
- Gauderman, W.J.; Avol, E.; Gilliland, F.; Vora, H.; Thomas, D.; Berhane, K.; McConnell, R.; Kuenzli, N.; Lurmann, F.; Rappaport, E.; et al. The effect of air pollution on lung development from 10 to 18 years of age. N. Engl. J. Med. 2004, 351, 1057–1067. [Google Scholar] [CrossRef] [PubMed]
- Seaton, A.; Godden, D.; MacNee, W.; Donaldson, K. Particulate air pollution and acute health effects. Lancet 1995, 345, 176–178. [Google Scholar] [CrossRef]
- Šrám, R.J.; Binková, B.; Dejmek, J.; Bobak, M. Ambient air pollution and pregnancy outcomes: A review of the literature. Environ. Health Perspect. 2005, 113, 375–382. [Google Scholar] [CrossRef]
- Stieb, D.M.; Chen, L.; Eshoul, M.; Judek, S. Ambient air pollution, birth weight and preterm birth: A systematic review and meta-analysis. Environ. Res. 2012, 117, 100–111. [Google Scholar] [CrossRef]
- Brook, R.D.; Rajagopalan, S.; Pope, C.A., III; Brook, J.R.; Bhatnagar, A.; Diez-Roux, A.V.; Holguin, F.; Hong, Y.; Luepker, R.V.; Mittleman, M.A.; et al. Particulate matter air pollution and cardiovascular disease: An update to the scientific statement from the American Heart Association. Circulation 2010, 121, 2331–2378. [Google Scholar] [CrossRef]
- Dominici, F.; Peng, R.D.; Bell, M.L.; Pham, L.; McDermott, A.; Zeger, S.L.; Samet, J.M. Fine particulate air pollution and hospital admission for cardiovascular and respiratory diseases. JAMA 2006, 295, 1127–1134. [Google Scholar] [CrossRef]
- National Bureau of Statistics of China (NBSC). China Statistical Yearbook; China Statistics Press: Beijing, China, 2020. (In Chinese)
- World Trade Organization (WTO). World Trade Statistical Review 2020. 2020. Available online: https://www.wto.org/english/res_e/statis_e/wts2020_e/wts2020chapter02_e.pdf (accessed on 7 August 2021).
- Mohiuddin, M.; Su, Z. Manufacturing small and medium size enterprises offshore outsourcing and competitive advantage: An exploratory study on Canadian offshoring manufacturing SMEs. J. Appl. Bus. Res. 2013, 29, 1111–1130. [Google Scholar] [CrossRef]
- Minx, J.C.; Baiocchi, G.; Peters, G.P.; Weber, C.L.; Guan, D.; Hubacek, K. A “carbonizing dragon”: China’s fast growing CO2 emissions revisited. Environ. Sci. Technol. 2011, 45, 9144–9153. [Google Scholar] [CrossRef] [PubMed]
- Zhang, W.; Wang, F.; Hubacek, K.; Liu, Y.; Wang, J.; Feng, K.; Jiang, L.; Jiang, H.; Zhang, B.; Bi, J. Unequal exchange of air pollution and economic benefits embodied in China’s exports. Environ. Sci. Technol. 2018, 52, 3888–3898. [Google Scholar] [CrossRef]
- Yuan, X.L.; Zhang, M.F.; Wang, Q.S.; Wang, Y.T.; Zuo, J. Evolution analysis of environmental standards: Effectiveness on air pollutant emissions reduction. J. Clean. Prod. 2017, 149, 511–520. [Google Scholar] [CrossRef]
- Mohiuddin, M.; Hosseini, E.; Faradonbeh, S.B.; Sabokro, M. Achieving human resource management sustainability in universities. Int. J. Environ. Res. Public Health 2022, 19, 928. [Google Scholar] [CrossRef]
- Xu, S.-C.; Miao, Y.-M.; Gao, C.; Long, R.-Y.; Chen, H.; Zhao, B.; Wang, S.-X. Regional differences in impacts of economic growth and urbanization on air pollutants in China based on provincial panel estimation. J. Clean. Prod. 2019, 208, 340–352. [Google Scholar] [CrossRef]
- Hoque, A.; Mohiuddin, M.; Su, Z. Effects of Industrial Operations on Socio-Environmental and Public Health Degradation: Evidence from a Least Developing Country (LDC). Sustainability 2018, 10, 3948. [Google Scholar] [CrossRef]
- Jiang, X.J.; Zhang, Q.; Zhao, H.Y.; Geng, G.N.; Peng, L.Q.; Guan, D.B.; Kan, H.D.; Huo, H.; Lin, J.T.; Brauer, M.; et al. Revealing the hidden health costs embodied in Chinese exports. Environ. Sci. Technol. 2015, 49, 4381–4388. [Google Scholar] [CrossRef] [PubMed]
- Xu, M.; Allenby, B.; Chen, W.Q. Energy and air emissions embodied in China-U.S. trade: Eastbound assessment using adjusted bilateral trade data. Environ. Sci. Technol. 2009, 43, 3378–3384. [Google Scholar] [CrossRef]
- Guo, J.; Zou, L.-L.; Wei, Y.-M. Impact of inter-sectoral trade on national and global CO2 emissions: An empirical analysis of China and US. Energy Policy 2010, 38, 1389–1397. [Google Scholar] [CrossRef]
- Du, H.; Guo, J.; Mao, G.; Smith, A.M.; Wang, X.; Wang, Y. CO2 emissions embodied in China-US trade: An input-output analysis based on the energy/dollar ratio. Energy Policy 2011, 39, 5980–5987. [Google Scholar] [CrossRef]
- Zhao, Y.H.; Wang, S.; Zhang, Z.H.; Liu, Y.; Ashfaq, A. Driving factors of carbon emissions embodied in China-US trade: A structural decomposition analysis. J. Clean. Prod. 2016, 131, 678–689. [Google Scholar] [CrossRef]
- Xiong, Y.J.; Wu, S.M. Real economic benefits and environmental costs accounting of China-US trade. J. Environ. Manag. 2021, 279, 111390. [Google Scholar] [CrossRef] [PubMed]
- Xu, S.-C.; Gao, C.; Miao, Y.-M.; Shen, W.-X.; Long, R.-Y.; Chen, H.; Zhao, B.; Wang, S.-X. Calculation and decomposition of China’s embodied air pollutants in Sino-US trade. J. Clean. Prod. 2019, 209, 978–994. [Google Scholar] [CrossRef]
- Koopman, R.; Wang, Z.; Wei, S.-J. Tracing Value-Added and Double Counting in Gross Exports. Am. Econ. Rev. 2014, 104, 459–494. [Google Scholar] [CrossRef]
- Chen, Q.; Chen, X.; Pei, J.; Yang, C.; Zhu, K. Estimating domestic content in China’s exports: Accounting for a dual-trade regime. Econ. Model. 2020, 89, 43–54. [Google Scholar] [CrossRef]
- Dietzenbacher, E.; Pei, J.; Yang, C. Trade, production fragmentation, and China’s carbon dioxide emissions. J. Environ. Econ. Manag. 2012, 64, 88–101. [Google Scholar] [CrossRef]
- Su, B.; Ang, B.W.; Low, M. Input-output analysis of CO2 emissions embodied in trade and the driving forces: Processing and normal exports. Ecol. Econ. 2013, 88, 119–125. [Google Scholar] [CrossRef]
- Weitzel, M.; Ma, T. Emissions embodied in Chinese exports taking into account the special export structure of China. Energy Econ. 2014, 45, 45–52. [Google Scholar] [CrossRef]
- Jiang, X.M.; Chen, Q.R.; Guan, D.B.; Zhu, K.F.; Yang, C.H. Revisiting the global net carbon dioxide emission transfers by international trade: The impact of trade heterogeneity of China. J. Ind. Ecol. 2016, 20, 506–514. [Google Scholar] [CrossRef]
- Yan, B.Q.; Duan, Y.W.; Wang, S.Y. China’s emissions embodied in exports: How regional and trade heterogeneity matter. Energy Econ. 2020, 87, 104497. [Google Scholar] [CrossRef]
- Zhang, B.; Chen, X.L.; Guo, H.X. Does central supervision enhance local environmental enforcement? quasi-experimental evidence from China. J. Public Econ. 2018, 164, 70–90. [Google Scholar] [CrossRef]
- National Bureau of Statistics of China (NBSC). China Statistical Yearbook; China Statistics Press: Beijing, China, 2021. (In Chinese)
- Dean, J.M. Trade and the Environment: A Survey of the Literature. In World Bank Policy Research Working Paper. No. 966; The World Bank: Washington, DC, USA, 1992; Available online: http://documents.worldbank.org/curated/en/871031468764976332/Trade-and-the-environment-a-survey-of-the-literature (accessed on 7 August 2021).
- Copeland, B.R.; Taylor, M.S. Trade and environment: A partial synthesis. Am. J. Agric. Econ. 1995, 77, 765–771. [Google Scholar] [CrossRef]
- Copeland, B.R.; Taylor, M.S. Trade and the Environment: Theory and Evidence; Princeton University Press: Princeton, NJ, USA, 2004. [Google Scholar] [CrossRef]
- Ackerman, F.; Ishikawa, M.; Suga, M. The carbon content of Japan-US trade. Energy Policy 2007, 35, 4455–4462. [Google Scholar] [CrossRef]
- Dietzenbacher, E.; Mukhopadhyay, K. An empirical examination of the pollution haven hypothesis for India: Towards a green Leontief paradox? Environ. Resour. Econ. 2007, 36, 427–449. [Google Scholar] [CrossRef]
- Peters, G.P.; Weber, C.L.; Guan, D.; Hubacek, K. China’s growing CO2 emissions-a race between increasing consumption and efficiency gains. Environ. Sci. Technol. 2007, 41, 5939–5944. [Google Scholar] [CrossRef]
- Chen, Z.; Chen, G. Embodied carbon dioxide emission at supra-national scale: A coalition analysis for G7, BRIC, and the rest of the world. Energy Policy 2011, 39, 2899–2909. [Google Scholar] [CrossRef]
- Zhang, Y. Scale, technique and composition effects in trade-related carbon emissions in China. Environ. Resour. Econ. 2012, 51, 371–389. [Google Scholar] [CrossRef]
- Wang, Z.; Wei, S.-J.; Zhu, K. Quantifying international production sharing at the bilateral and sector levels. In Working Papers 19677; National Bureau of Economic Research: Cambridge, MA, USA, 2013. [Google Scholar] [CrossRef]
- Zhang, Z.K.; Zhu, K.F.; Hewings, G.J.D. A multi-regional input-output analysis of the pollution haven hypothesis from the perspective of global production fragmentation. Energy Econ. 2017, 64, 13–23. [Google Scholar] [CrossRef]
- Duan, Y.; Ji, T.; Yu, T. Reassessing pollution haven effect in global value chains. J. Clean. Prod. 2021, 284, 124705. [Google Scholar] [CrossRef]
- Koopman, R.; Wang, Z.; Wei, S.-J. How much Chinese exports is really made in China-assessing foreign and domestic value-added in gross exports. In NBER Working Paper. 14109; US International Trade Commission: Washington, DC, USA, 2008. [Google Scholar] [CrossRef]
- Jiang, X.M.; Guan, D.B.; Zhang, J.; Zhu, K.F.; Green, C. Firm ownership, China’s export related emissions, and the responsibility issue. Energy Econ. 2015, 51, 466–474. [Google Scholar] [CrossRef]
- Meng, B.; Wang, J.; Andrew, R.; Xiao, H.; Xue, J.; Peters, G.P. Spatial spillover effects in determining China’s regional CO2 emissions growth: 2007–2010. Energy Econ. 2017, 63, 161–173. [Google Scholar] [CrossRef]
- Liu, Q.; Wang, Q. Sources and flows of China’s virtual SO2 emission transfers embodied in interprovincial trade: A multiregional input-output analysis. J. Clean. Prod. 2017, 161, 735–747. [Google Scholar] [CrossRef]
- Su, B.; Ang, B.W. Input-output analysis of CO2 emissions embodied in trade: The effects of spatial aggregation. Ecol. Econ. 2010, 70, 10–18. [Google Scholar] [CrossRef]
- Zhang, Z.K.; Guo, J.; Hewings GJ, D. The effects of direct trade within China on regional and national CO2 emissions. Energy Econ. 2014, 46, 161–175. [Google Scholar] [CrossRef]
- Wang, Y.; Bi, F.; Zhang, Z.; Zuo, J.; Zillante, G.; Du, H.; Liu, H.; Li, J. Spatial production fragmentation and PM2.5 related emissions transfer through three different trade patterns within China. J. Clean. Prod. 2018, 195, 703–720. [Google Scholar] [CrossRef]
- Zhang, Q.; Nakatani, J.; Shan, Y.; Moriguchi, Y. Inter-regional spillover of China’s sulfur dioxide (SO2) pollution across the supply chains. J. Clean. Prod. 2019, 207, 418–431. [Google Scholar] [CrossRef]
- Hettige, H.; Mani, M.; Wheeler, D. Industrial pollution in economic development: The environmental Kuznets curve revisited. J. Dev. Econ. 2000, 62, 445–476. [Google Scholar] [CrossRef]
- Grossman, G.; Krueger, A. Environmental Impact of North American Free Trade Agreement. In NBER Working Paper. No. 3914; National Bureau of Economic Research: Cambridge, MA, USA, 1991. [Google Scholar] [CrossRef]
- Jakob, M.; Marschinski, R. Interpreting trade-related CO2 emission transfers. Nat. Clim. Chang. 2013, 3, 19–23. [Google Scholar] [CrossRef]
- Bai, X.; Hong, S.; Wang, Y. Learning from processing trade: Firm evidence from China. J. Comp. Econ. 2021, 49, 579–602. [Google Scholar] [CrossRef]
- Dong, Y.; Ishikawa, M.; Liu, X.; Wang, C. An analysis of the driving forces of CO2 emissions embodied in the Japan-China trade. Energy Policy 2010, 38, 6784–6792. [Google Scholar] [CrossRef]
- Wu, R.; Geng, Y.; Dong, H.; Fujita, T.; Tian, X. Changes of CO2 emissions embodied in China-Japan trade: Drivers and implications. J. Clean. Prod. 2016, 112, 4151–4158. [Google Scholar] [CrossRef]
- Long, R.; Li, J.; Chen, H.; Zhang, L.; Li, Q. Embodied carbon dioxide flow in international trade: A comparative analysis based on China and Japan. J. Environ. Manag. 2018, 209, 371–381. [Google Scholar] [CrossRef]








| Sector | US | Japan | Germany | ||||||||||||
|---|---|---|---|---|---|---|---|---|---|---|---|---|---|---|---|
| Wastewater | Waste Gas | Solid Waste | COD | SO2 | Wastewater | Waste Gas | Solid Waste | COD | SO2 | Wastewater | Waste Gas | Solid Waste | COD | SO2 | |
| 1 | 4.22 | −0.53 | 1.12 | 4.23 | 0.62 | 66.99 | −10.85 | −11.69 | 66.92 | −13.03 | 49.10 | 5.07 | 4.11 | 49.78 | 7.40 | 
| 2 | 42.43 | 11.82 | −6.58 | 42.61 | −25.76 | 59.71 | −5.82 | −2.49 | 59.97 | −10.07 | −23.69 | −1.23 | −0.11 | −24.15 | −2.67 | 
| 3 | 12.51 | 18.30 | −2.73 | 12.34 | −10.58 | 16.63 | −12.63 | −1.64 | 16.37 | −4.39 | −7.09 | −2.58 | −0.18 | −7.09 | −1.24 | 
| 4 | 5.02 | 41.80 | −21.85 | 5.24 | −31.31 | 4.11 | −17.49 | −7.98 | 4.27 | −8.31 | −0.80 | −2.38 | −0.44 | −0.88 | −1.41 | 
| 5 | 11.76 | 3.79 | −2.80 | 12.02 | −7.39 | 6.88 | −1.03 | −0.69 | 7.04 | −1.41 | −2.83 | −0.21 | 0.01 | −2.93 | −0.41 | 
| 6 | −0.15 | −1.02 | 3.10 | −0.15 | 1.00 | 0.49 | −2.39 | −1.83 | 0.45 | −1.81 | 0.48 | 0.97 | 1.37 | 0.49 | 0.42 | 
| 7 | 14.76 | 22.77 | −43.98 | 13.96 | −37.66 | −2.86 | 5.33 | −10.71 | −3.52 | −0.32 | 21.38 | 12.24 | 13.13 | 21.05 | 13.01 | 
| 8 | 0.92 | 103.47 | −16.65 | 0.94 | −111.64 | −0.75 | −13.75 | −1.31 | −0.74 | −8.88 | 0.42 | −4.88 | 1.63 | 0.40 | −4.56 | 
| 9 | −5.72 | −56.02 | 86.68 | −5.45 | 139.10 | −9.79 | 44.87 | 48.31 | −9.54 | 49.03 | 3.53 | 11.97 | 14.32 | 3.45 | 15.49 | 
| 10 | 4.49 | 16.34 | −1.50 | 4.48 | 9.12 | 0.76 | 0.79 | 4.00 | 0.76 | 4.42 | 3.38 | 6.11 | 5.37 | 3.37 | 5.87 | 
| 11 | −0.58 | −6.99 | 27.75 | −0.48 | 42.49 | −12.30 | 27.29 | 21.81 | −12.19 | 21.87 | 17.16 | 22.92 | 16.01 | 17.25 | 18.78 | 
| 12 | −2.46 | −33.83 | 52.39 | −2.28 | 77.73 | −10.41 | 24.45 | 20.62 | −10.32 | 19.14 | 31.06 | 39.19 | 33.66 | 31.23 | 35.86 | 
| 13 | 3.46 | −3.45 | 9.58 | 3.43 | 14.31 | −6.69 | 22.00 | 19.96 | −6.61 | 21.45 | 5.92 | 7.49 | 6.84 | 5.91 | 7.94 | 
| 14 | 8.47 | −8.16 | 3.25 | 8.19 | 21.67 | −3.87 | 25.37 | 12.83 | −4.06 | 21.18 | −2.63 | 2.42 | 1.51 | −2.51 | 2.76 | 
| 15 | 0.85 | −8.28 | 12.23 | 0.94 | 18.30 | −8.90 | 13.86 | 10.82 | −8.79 | 11.14 | 4.60 | 2.90 | 2.77 | 4.63 | 2.75 | 
| Total | −14,320.94 | −81,799.56 | 6,261,477.50 | −13,764.00 | 16,336.79 | −3589.40 | 40,557.93 | 3,769,664.76 | −3453.54 | 13,419.01 | 4212.15 | 97,065.22 | 13,675,997.63 | 3992.22 | 23,253.55 | 
| Wastewater | Waste Gas | Solid Waste | COD | SO2 | ||
|---|---|---|---|---|---|---|
| US | Scale effect | 432.27 | 551.10 | 1458.24 | 426.77 | 692.41 | 
| Structural effect | −19.56 | −34.02 | −72.39 | −20.21 | −35.05 | |
| Technical effect | −96.57 | −99.79 | −594.53 | −96.41 | −123.57 | |
| Japan | Scale effect | 152.37 | 166.28 | 177.03 | 152.45 | 166.68 | 
| Structural effect | −15.85 | −35.34 | −13.14 | −16.12 | −27.60 | |
| Technical effect | −96.97 | −136.98 | −4458.98 | −97.06 | −112.90 | |
| Germany | Scale effect | −197.60 | 2318.69 | 247.23 | −85.35 | −326.33 | 
| Structural effect | 24.40 | −133.86 | −4.39 | 11.81 | 19.42 | |
| Technical effect | −82.38 | −666.84 | 201.88 | −84.59 | 49.77 | |
| Wastewater | Waste Gas | Solid Waste | COD | SO2 | ||
|---|---|---|---|---|---|---|
| US | Structural effect | −20.88 | −25.98 | −15.04 | −21.55 | −17.76 | 
| Technical effect | −52.18 | −75.08 | −65.07 | −51.12 | −76.40 | |
| Japan | Structural effect | −3.89 | −22.91 | −2.89 | −4.08 | −13.11 | 
| Technical effect | −44.48 | −55.05 | −15.71 | −42.98 | −40.92 | |
| Germany | Structural effect | −8.57 | −12.03 | −8.77 | −7.15 | −7.82 | 
| Technical effect | −28.97 | −76.80 | −63.51 | −26.44 | −70.15 | |
| Publisher’s Note: MDPI stays neutral with regard to jurisdictional claims in published maps and institutional affiliations. | 
© 2022 by the authors. Licensee MDPI, Basel, Switzerland. This article is an open access article distributed under the terms and conditions of the Creative Commons Attribution (CC BY) license (https://creativecommons.org/licenses/by/4.0/).
Share and Cite
Dang, Y.; Song, Y.; Mohiuddin, M.; Sheng, D. Towards Cleaner Production Ecosystem: An Analysis of Embodied Industrial Pollution in International Trade of China’s Processing versus Normal Exports. Int. J. Environ. Res. Public Health 2022, 19, 9900. https://doi.org/10.3390/ijerph19169900
Dang Y, Song Y, Mohiuddin M, Sheng D. Towards Cleaner Production Ecosystem: An Analysis of Embodied Industrial Pollution in International Trade of China’s Processing versus Normal Exports. International Journal of Environmental Research and Public Health. 2022; 19(16):9900. https://doi.org/10.3390/ijerph19169900
Chicago/Turabian StyleDang, Yuting, Yating Song, Muhammad Mohiuddin, and Dan Sheng. 2022. "Towards Cleaner Production Ecosystem: An Analysis of Embodied Industrial Pollution in International Trade of China’s Processing versus Normal Exports" International Journal of Environmental Research and Public Health 19, no. 16: 9900. https://doi.org/10.3390/ijerph19169900
APA StyleDang, Y., Song, Y., Mohiuddin, M., & Sheng, D. (2022). Towards Cleaner Production Ecosystem: An Analysis of Embodied Industrial Pollution in International Trade of China’s Processing versus Normal Exports. International Journal of Environmental Research and Public Health, 19(16), 9900. https://doi.org/10.3390/ijerph19169900
 
         
                                                


 
       