Eco-Stoichiometric Characteristics of Rhizosphere and Bulk Soils of Smilax china L. along Vertical Zone Spectrum of Fanjing Mountain
Abstract
:1. Introduction
2. Materials and Methods
2.1. General Situation of the Study Area
2.2. Plot Design
2.3. Soil Sample Collection
2.4. Determination of Nutrient Concentrations in Soil Samples
2.5. Data Processing
3. Results and Analysis
3.1. Effects of Rhizosphere Effect (Rhizosphere/Bulk) and Altitude on Soil Nutrients and Stoichiometric Characteristics
3.2. Distribution Characteristics of Rhizosphere and Bulk Soil Nutrients of Smilax china L. at Different Altitudes
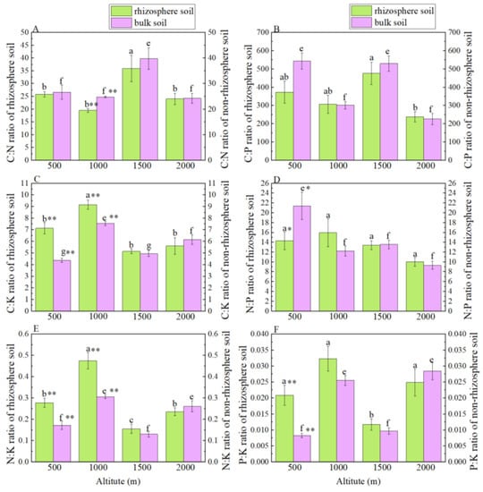
3.3. Stoichiometric Characteristics of Rhizosphere and Bulk Soil Nutrients of Smilax china L. at Different Altitudes
3.4. Rhizosphere Effects of Soil Nutrients and pH of Smilax china L. at Different Altitudes
3.5. Correlation Analysis of Nutrient Characteristics between Rhizosphere or Bulk Soils
3.6. Correlation Analysis of Stoichiometric Characteristics of Nutrients between Rhizosphere or Bulk Soils
3.7. Correlation Analysis of Soil Nutrients and Stoichiometric Characteristics between Rhizosphere and Bulk Soils
4. Discussion
4.1. Effects of Bulk and Rhizosphere Soils on Nutrient Concentrations
4.2. Effects of Bulk and Rhizosphere Soils on C:N:P:K Stoichiometry
4.3. Effects of Bulk and Rhizosphere Soils on Stoichiometry
5. Conclusions
Author Contributions
Funding
Institutional Review Board Statement
Informed Consent Statement
Data Availability Statement
Conflicts of Interest
References
- Zhang, R.; Li, T.; Jin, S.; Yu, S.Y.; Wang, Y.; Li, Y.J.; Qi, J.; Hao, J.F. Effects of different altitude on plant diversity and soil nutrients of Cryptomeria fortunei plantation in Zhougong mountain. J. Cent. South Univ. F T. 2020, 40, 38–46. [Google Scholar]
- Chaudhary, D.R.; Gautam, R.K.; Yousuf, B.; Mishra, A.; Jha, B. Nutrients, microbial community structure and functional gene abundance of rhizosphere and bulk soils of halophytes. Appl. Soil Ecol. 2015, 91, 16–26. [Google Scholar] [CrossRef]
- Yuan, Y.; Dai, X.Q.; Fu, X.L.; Kou, L.; Luo, Y.Q.; Jiang, L.F.; Wang, H.M. Differences in the rhizosphere effects among trees, shrubs and herbs in three subtropical plantations and their seasonal variations. Eur. J. Soil Biol. 2020, 100, 103218. [Google Scholar] [CrossRef]
- Gagnon, V.; Rodrigue-Morin, M.; Tremblay, J.; Wasserscheid, J.; Champagne, J.; Bellenger, J.; Greer, C.W.; Roy, S. Life in mine tailings: Microbial population structure across the bulk soil, rhizosphere, and roots of boreal species colonizing mine tailings in northwestern Quebec. Ann. Microbiol. 2020, 70, 411. [Google Scholar] [CrossRef]
- Li, L.J.; Li, C.X.; Chen, C.H.; Yang, Z.H.; Chen, X.M. Root activities of Re-Vegetated plant species regulate soil nutrients and bacterial diversity in the riparian zone of the three gorges reservoir. Huan Jing Ke Xue 2020, 41, 2898–2907. [Google Scholar] [PubMed]
- Steinauer, K.; Chatzinotas, A.; Eisenhauer, N. Root exudate cocktails: The link between plant diversity and soil microorganisms? Ecol. Evol. 2016, 6, 7387–7396. [Google Scholar] [CrossRef] [Green Version]
- Wang, S.Q.; Yu, G.R. Ecological stoichiometry characteristics of ecosystem carbon, nitrogen and phosphorus elements. Acta Ecol. Sin. 2008, 8, 3937–3947. [Google Scholar]
- de la Paz Jimenez, M.; de la Horra, A.; Pruzzo, L.; Palma, M.R. Soil quality: A new index based on microbiological and biochemical parameters. Biol. Fertil. Soils 2002, 35, 302–306. [Google Scholar] [CrossRef]
- Hessen, D.O. Stoichiometry in food webs: Lotka revisited. Oikos 1997, 79, 195–200. [Google Scholar] [CrossRef]
- Bell, C.; Carrillo, Y.; Boot, C.M.; Rocca, J.D.; Pendall, E.; Wallenstein, M.D. Rhizosphere stoichiometry: Are C:N:P ratios of plants, soils, and enzymes conserved at the plant species-level? New Phytol. 2014, 201, 505–517. [Google Scholar] [CrossRef]
- Liu, Y.Y.; Luo, W.M.; Mu, G.T.; Wu, X.L.; Su, S.C.; Zhang, Z.M. C:N:P stoichiometric characteristics of the soil-vegetation system of three rare tree species growing on Mount Fanjing in Southwest China. Glob. Ecol. Conserv. 2021, 32, e01893. [Google Scholar] [CrossRef]
- Oscar, C.; Felipe, A.; Fernanda, A.M.; Randal, S. Soil type modulates the response of C, N, P stocks and stoichiometry after native forest substitution by exotic plantations. Catena 2021, 197, 104997. [Google Scholar]
- Hu, Q.J.; Sheng, M.; Bai, Y.X.; Jie, Y.; Xiao, H.L. Response of C, N, and P stoichiometry characteristics of Broussonetia papyrifera to altitude gradients and soil nutrients in the karst rocky ecosystem, SW China. Plant Soil. 2020, 475, 123–136. [Google Scholar] [CrossRef]
- Liu, R.S.; Wang, D.M. Soil C, N, P and K stoichiometry affected by vegetation restoration patterns in the alpine region of the Loess Plateau, Northwest China. PLoS ONE 2020, 15, e241859. [Google Scholar] [CrossRef] [PubMed]
- Zhang, Y.J.; Wang, K.Q.; Song, Y.L.; Su, M.B.; Li, X.L.; Li, X.F. C, N and P stoichiometric characteristics of leaf, litter and soil for subalpine forests in central Yunnan, China. Acta Ecol. Sin. 2020, 21, 1–11. [Google Scholar]
- Zhang, Y.; Li, H.T.; Zhang, H.; Huang, B.B.; Liu, C.H.; Jiang, Z.K.; Ma, X.Q. Soil C:N:P stoichiometry and its relationship with the soil physicochemical properties of different aged Chinese fir (Cunninghamia lanceolata) plantations. Acta Ecol. Sin. 2019, 39, 2520–2531. [Google Scholar]
- Zhu, X.M.; Liu, M.; Kou, Y.P.; Liu, D.Y.; Liu, Q.; Zhang, Z.L.; Jiang, Z.; Yin, H.J. Differential effects of N addition on the stoichiometry of microbes and extracellular enzymes in the rhizosphere and bulk soils of an alpine shrubland. Plant Soil. 2020, 449, 285–301. [Google Scholar] [CrossRef]
- Dai, X.Q.; Fu, X.L.; Kou, L.; Wang, H.M.; Shock, C.C. C:N:P stoichiometry of rhizosphere soils differed significantly among overstory trees and understory shrubs in plantations in subtropical China. Can. J. For. Res. 2018, 48, 1398–1405. [Google Scholar] [CrossRef]
- Carrillo, Y.; Bell, C.; Koyama, A.; Canarini, A.; Boot, C.M.; Wallenstein, M.; Pendall, E. Plant traits, stoichiometry and microbes as drivers of decomposition in the rhizosphere in a temperate grassland. J. Ecol. 2017, 105, 1750–1765. [Google Scholar] [CrossRef] [Green Version]
- Št’Ovíček, A.; Azatyan, A.; Soares, M.I.M.; Gillor, O. The impact of hydration and temperature on bacterial diversity in arid soil mesocosms. Front. Microbiol. 2017, 8, 1078. [Google Scholar] [CrossRef] [Green Version]
- Njeru, C.M.; Ekesi, S.; Mohamed, S.A.; Kinyamario, J.I.; Kiboi, S.; Maeda, E.E. Assessing stock and thresholds detection of soil organic carbon and nitrogen along an altitude gradient in an east Africa mountain ecosystem. Geoderma Reg. 2017, 10, 29–38. [Google Scholar] [CrossRef]
- Tan, Q.; Wang, G. Decoupling of nutrient element cycles in soil and plants across an altitude gradient. Sci. Rep. 2016, 6, 34875. [Google Scholar] [CrossRef] [PubMed]
- Hu, L.; Xiang, Z.; Wang, G.; Rafique, R.; Liu, W.; Wang, C. Changes in soil physicochemical and microbial properties along elevation gradients in two forest soils. Scand. J. For. Res. 2016, 31, 242–253. [Google Scholar] [CrossRef]
- Yan Jun, Z.; Yu, Y.C.; Niu, J.J.; Gong, L.L. The elevational patterns of soil organic carbon storage on the northern slope of Taibai Mountain of Qinling. Acta Ecol. Sin. 2020, 40, 629–639. [Google Scholar]
- Li, D.W.; Wang, Z.Q.; Tian, H.X.; He, W.X.; Geng, Z.C. Carbon, Nitrogen and Phosphorus Contents in Soils on Taibai Mountain and their Ecological Stoichiometry relative to Elevation. Acta Pedol. Sin. 2017, 54, 160–170. [Google Scholar]
- Qin, H.L.; Fu, X.X.; Lu, Y.; Wei, X.H.; Li, B.; Jia, C.J.; Jiang, K. Soil C:N:P stoichiometry at different altitudes in Mao’er Mountain, Guangxi, China. Chin. J. Appl. Ecol. 2019, 30, 711–717. [Google Scholar]
- Xia, C.Y.; Wu, X.X.; Fu, L.Z.; Liu, Y.Y.; Liu, M.; Yu, S.X. Species diversity and floristics characteristics of vine in Fanjing Mountain area, Guizhou. Guihaia 2020, 40, 264–271. [Google Scholar]
- Zhou, Z.X. Research on the Fanjing Mountain; Guizhou People’s Publishing House: Guiyang, China, 1990. [Google Scholar]
- Cui, Y.; Bing, H.; Fang, L.; Wu, Y.; Yu, J.; Shen, G.; Jiang, M.; Wang, X.; Zhang, X. Diversity patterns of the rhizosphere and bulk soil microbial communities along an altitudinal gradient in an alpine ecosystem of the eastern Tibetan Plateau. Geoderma 2019, 338, 118–127. [Google Scholar] [CrossRef]
- Wei, H.; Lei, L.; Zhang, S.Z. Adsorption of tetrabromobisphenol a on soils: Contribution of soil components and influence of soil properties. Colloids Surf. A Physicochem. Eng. Asp. 2013, 428, 60–64. [Google Scholar]
- Jing, Z.B.; Cheng, J.M.; Su, J.S.; Bai, Y.; Jin, J.W. Changes in plant community composition and soil properties under 3-decade grazing exclusion in semiarid grassland. Ecol. Eng. 2014, 64, 171–178. [Google Scholar] [CrossRef]
- Tang, L.L.; Wan, K.Y.; Cheng, C.P.; Li, R.H.; Wang, D.Z.; Pan, J.F.; Tao, Y.; Xie, J.; Chen, F. Effect of fertilization patterns on the assemblage of weed communities in an upland winter wheat field. J. Plant Ecol. 2014, 7, 39–50. [Google Scholar] [CrossRef] [Green Version]
- Delong, W.A.; Mackay, D.C.; Steppler, H.A. Coordinated Soil-Plant analysis i. Nutrient cations. Soil Sci. Soc. Am. J. 1953, 17, 262–266. [Google Scholar] [CrossRef]
- Shen, X.P.; Qi, H.; Liu, , X.N.; Ren, , X.W.; Li, , J.S. Implementation of two-factor nonparametric ANOVA in SPSS. Chin. J. Health Stat. 2013, 30, 913–914. [Google Scholar]
- Li, L.J.; Xie, T.T.; Zhang, S.L.; Yuan, Z.X.; Liu, M.H.; Li, C.X. Characteristics of nutrient content and enzyme activity in the rhizosphere and bulk soils of four suitable plant species in the hydro-fluctuation zone of the Three Gorges Reservoir. Acta Ecol. Sin. 2020, 40, 7611–7620. [Google Scholar]
- Liu, J.X.; Li, Y.Y.; Xu, Y.; Liu, S.G.; Huang, W.J.; Fang, X.; Yin, G.C. Phosphorus uptake in four tree species under nitrogen addition in subtropical China. Environ. Sci. Pollut. R. 2017, 24, 20005–20014. [Google Scholar] [CrossRef]
- Finzi, A.C.; Abramoff, R.Z.; Spiller, K.S.; Brzostek, E.R.; Darby, B.A.; Kramer, M.A.; Phillips, R.P. Rhizosphere processes are quantitatively important components of terrestrial carbon and nutrient cycles. Glob. Change Biol. 2015, 21, 2082–2094. [Google Scholar] [CrossRef]
- Merbach, W.; Mirus, E.; Knof, G.; Remus, R.; Ruppel, S.; Russow, R.; Gransee, A.; Schulze, J. Release of carbon and nitrogen compounds by plant roots and their possible ecological importance. J. Plant Nutr. Soil Sc. 1999, 162, 373–383. [Google Scholar] [CrossRef]
- Huo, C.F.; Luo, Y.Q.; Cheng, W.X. Rhizosphere priming effect: A meta-analysis. Soil Biol. Biochem. 2017, 111, 78–84. [Google Scholar] [CrossRef] [Green Version]
- Dijkstra, F.A.; Carrillo, Y.; Pendall, E.; Morgan, J.A. Rhizosphere priming: A nutrient perspective. Front. Microbiol. 2013, 4, 216. [Google Scholar] [CrossRef] [Green Version]
- He, G.; Zhang, Z.; Zhang, J.; Huang, X. Stoichiometric characteristics of nutrients in a soil-vegetation system of the rare plant Davidia involucrata Baill. Glob. Ecol. Conserv. 2020, 24, e1266. [Google Scholar] [CrossRef]
- Liu, J.T.; Gu, Z.J.; Shao, H.B.; Zhou, F.; Peng, S.Y. N-P stoichiometry in soil and leaves of Pinus massoniana forest at different stand ages in the subtropical soil erosion area of China. Environ. Earth Sci. 2016, 75, 1091. [Google Scholar] [CrossRef]
- Li, Y.; Li, Y.; Chang, S.X.; Yang, Y.; Fu, S.; Jiang, P.; Luo, Y.; Yang, M.; Chen, Z.; Hu, S. Biochar reduces soil heterotrophic respiration in a subtropical plantation through increasing soil organic carbon recalcitrancy and decreasing carbon-degrading microbial activity. Soil Biol. Biochem. 2018, 122, 173–185. [Google Scholar] [CrossRef]
- Zhao, W.J.; Liu, X.D.; Jin, M.; Zhang, X.L.; Che, Z.X.; Jing, W.M.; Wang, S.L.; Niu, Y.; Qi, P.; Li, W.J. Ecological stoichiometric characteristics of carbon, nitrogen and phosphorus in leaf-litter-soil system of Picea Crassifolia forest in the Qilian mountains. Acta Pedol. Sin. 2016, 53, 477–489. [Google Scholar]
- Blossfeld, S.; Gansert, D.; Thiele, B.; Kuhn, A.J.; Lösch, R. The dynamics of oxygen concentration, pH value, and organic acids in the rhizosphere of Juncus spp. Soil Biol. Biochem. 2011, 43, 1186–1197. [Google Scholar] [CrossRef]
- Suo, Y.Y.; Yuan, Z.Q.; Lin, F.; Wang, X.G.; Ye, J.; Bai, E.; Hao, Z.Q. Local-Scale determinants of elemental stoichiometry of soil in an old-growth temperate forest. Plant Soil. 2016, 408, 401–414. [Google Scholar] [CrossRef]
- Cheng, H.T.; Kong, T.; Lǚ, G.; Wang, D.L.; Zhang, L.L. Ecological stoichiometric characteristics of rhizosphere and non-rhizosphere soil of Pinus sylvestris var. Mongolica plantations at different ages. J. Zhejiang AF Univ. 2021, 38, 1058–1065. [Google Scholar]
- Lin, G.; Gao, M.; Zeng, D.; Fang, Y. Aboveground conservation acts in synergy with belowground uptake to alleviate phosphorus deficiency caused by nitrogen addition in a larch plantation. For. Ecol. Manag. 2020, 473, 118309. [Google Scholar] [CrossRef]
- Shan, S.; Fisk, M.C.; Fahey, T.J. Contrasting effects of N and P on rhizosphere processes in two northern hardwood species. Soil Biol. Biochem. 2018, 126, 219–227. [Google Scholar] [CrossRef]









| Altitude (m) | 500 | 1000 | 1500 | 2000 |
| AR (mm) | 1100–1400 | 1200–1800 | 1400–2000 | 1400–2000 |
| MAT (°C) | 16.3–16.8 | 13–15 | 8–10 | 8–10 |
| ≥10 °C AAAT (°C) | 5100–5500 | 4000–5000 | 2300–3500 | 2300–3500 |
| Vegetation types | Evergreen broad-leaved mixed forest | Evergreen broad-leaved forest | Evergreen and deciduous broad-leaved mixed forest | Evergreen and deciduous broad-leaved mixed forest |
| pH | 5.15 | 4.81 | 4.78 | 4.77 |
| SOC (g/kg) | 20.64 | 56.46 | 93.04 | 57.12 |
| TN (g/kg) | 2.13 | 3.27 | 6.34 | 4.49 |
| TP (g/kg) | 0.15 | 0.27 | 0.19 | 0.27 |
| C:N | 9.69 | 17.27 | 14.68 | 12.72 |
| C:P | 137.60 | 209.11 | 489.68 | 211.56 |
| N:P | 14.20 | 12.11 | 33.37 | 16.63 |
| Sand% | 26.57 | 19.52 | 38.06 | 32.61 |
| Silt% | 52.56 | 59.98 | 58.78 | 50.88 |
| Clay% | 20.88 | 20.50 | 3.16 | 16.51 |
| Soil texture | silty clay loam | silty clay loam | silty loam | silty clay loam |
| Soil types | Xan Udic Fernalisols | Cab Udi Orthic Entisols | Fec Hydragric Anthrosols | Fec Hydragric Anthrosols |
| Soil Nutrient and Stoichiometric Ratios | Rhizosphere or Bulk Soil | Altitude | Altitude * Soil Type |
|---|---|---|---|
| SOC | 59.65 ** | 40.78 ** | 27.79 ** |
| TN | 54.465 ** | 16.596 ** | 5.94 ** |
| TP | 25.906 ** | 8.089 ** | 6.511 ** |
| TK | 0.797 | 3.577 | 0.679 |
| HN | 30.043 ** | 11.732 ** | 6.904 ** |
| AP | 3.148 * | 1.265 | 3.088 * |
| AK | 1.097 | 25.812 ** | 10.177 ** |
| C:N | 14.78 ** | 3.276 | 1.546 |
| C:P | 20.328 ** | 1.925 | 1.741 |
| C:K | 18.913 ** | 12.196 ** | 8.137 ** |
| N:P | 8.467 ** | 0.01 | 1.56 |
| N:K | 48.976 ** | 14.298 ** | 4.973 ** |
| P:K | 25.143 ** | 7.352 * | 4.914 ** |
| pH | 1.366 | 23.287 ** | 1.292 |
Publisher’s Note: MDPI stays neutral with regard to jurisdictional claims in published maps and institutional affiliations. |
© 2022 by the authors. Licensee MDPI, Basel, Switzerland. This article is an open access article distributed under the terms and conditions of the Creative Commons Attribution (CC BY) license (https://creativecommons.org/licenses/by/4.0/).
Share and Cite
Liu, Y.; Luo, W.; Wen, X.; Mu, G.; Wu, X.; Zhang, Z. Eco-Stoichiometric Characteristics of Rhizosphere and Bulk Soils of Smilax china L. along Vertical Zone Spectrum of Fanjing Mountain. Int. J. Environ. Res. Public Health 2022, 19, 8693. https://doi.org/10.3390/ijerph19148693
Liu Y, Luo W, Wen X, Mu G, Wu X, Zhang Z. Eco-Stoichiometric Characteristics of Rhizosphere and Bulk Soils of Smilax china L. along Vertical Zone Spectrum of Fanjing Mountain. International Journal of Environmental Research and Public Health. 2022; 19(14):8693. https://doi.org/10.3390/ijerph19148693
Chicago/Turabian StyleLiu, Yingying, Wenmin Luo, Ximei Wen, Guiting Mu, Xianliang Wu, and Zhenming Zhang. 2022. "Eco-Stoichiometric Characteristics of Rhizosphere and Bulk Soils of Smilax china L. along Vertical Zone Spectrum of Fanjing Mountain" International Journal of Environmental Research and Public Health 19, no. 14: 8693. https://doi.org/10.3390/ijerph19148693
APA StyleLiu, Y., Luo, W., Wen, X., Mu, G., Wu, X., & Zhang, Z. (2022). Eco-Stoichiometric Characteristics of Rhizosphere and Bulk Soils of Smilax china L. along Vertical Zone Spectrum of Fanjing Mountain. International Journal of Environmental Research and Public Health, 19(14), 8693. https://doi.org/10.3390/ijerph19148693

