Risk Assessment for Birth Defects in Offspring of Chinese Pregnant Women
Abstract
:1. Introduction
2. Methods
2.1. Study Design and Population
2.2. Definitions of Main Variables
2.3. Ethical Approval
2.4. Statistical Analysis
3. Results
3.1. Participants’ Characteristics
3.2. Nomogram Development
3.3. Nomogram Validation
4. Discussion
5. Conclusions
Supplementary Materials
Author Contributions
Funding
Institutional Review Board Statement
Informed Consent Statement
Data Availability Statement
Acknowledgments
Conflicts of Interest
References
- Corsello, G.; Giuffre, M. Congenital malformations. J. Matern. Fetal Neonatal Med. 2012, 25 (Suppl. S1), 25–29. [Google Scholar] [CrossRef] [PubMed] [Green Version]
- Swanson, J.R.; Sinkin, R.A. Early births and congenital birth defects: A complex interaction. Clin. Perinatol. 2013, 40, 629–644. [Google Scholar] [CrossRef] [PubMed]
- Carmichael, S.L. Birth defects epidemiology. Eur. J. Med. Genet. 2014, 57, 355–358. [Google Scholar] [CrossRef] [PubMed]
- Best, K.E.; Rankin, J. Long-Term Survival of Individuals Born With Congenital Heart Disease: A Systematic Review and Meta-Analysis. J. Am. Heart Assoc. 2016, 5, e002846. [Google Scholar] [CrossRef] [PubMed]
- WHO. Congenital Anomalies Fact Sheet; World Health Organization: Geneva, Switzerland, 2016; Available online: http://www.who.int/news-room/fact-sheets/detail/congenital-anomalies (accessed on 1 May 2022).
- Ministry of Health of the People’s Republic of China. National Stocktaking Report on Birth Defect Prevention (2012) (China); National Health and Family Planning Commission of the People’s Republic of China: Beijing, China, 2012; Available online: http://www.gov.cn/gzdt/att/att/site1/20120912/1c6f6506c7f811bacf9301.pdf (accessed on 1 May 2022).
- Matthews, T.J.; MacDorman, M.F.; Thoma, M.E. Infant Mortality Statistics From the 2013 Period Linked Birth/Infant Death Data Set. Natl. Vital Stat. Rep. 2015, 64, 1–30. [Google Scholar] [PubMed]
- WHO. Controlling Birth Defects: Reducing the Hidden Toll of Dying and Disabled Children in Low-Income Countries; WHO: Geneva, Switzerland, 2008; Available online: https://www.marchofdimes.org/materials/partner-controlling-birth-defects-reducing-hidden-toll-of-dying-children-low-income-countries.pdf (accessed on 1 May 2022).
- Banhidy, F.; Acs, N.; Puho, E.H.; Czeizel, A.E. Congenital abnormalities in the offspring of pregnant women with type 1, type 2 and gestational diabetes mellitus: A population-based case-control study. Congenit. Anom. 2010, 50, 115–121. [Google Scholar] [CrossRef]
- Baldacci, S.; Gorini, F.; Santoro, M.; Pierini, A.; Minichilli, F.; Bianchi, F. Environmental and individual exposure and the risk of congenital anomalies: A review of recent epidemiological evidence. Epidemiol. Prev. 2018, 42, 1–34. [Google Scholar] [CrossRef]
- Toufaily, M.H.; Westgate, M.N.; Lin, A.E.; Holmes, L.B. Causes of Congenital Malformations. Birth Defects Res. 2018, 110, 87–91. [Google Scholar] [CrossRef]
- Parimi, M.; Nitsch, D. A Systematic Review and Meta-Analysis of Diabetes During Pregnancy and Congenital Genitourinary Abnormalities. Kidney Int. Rep. 2020, 5, 678–693. [Google Scholar] [CrossRef] [Green Version]
- Zhao, L.; Chen, L.; Yang, T.; Wang, L.; Wang, T.; Zhang, S.; Chen, L.; Ye, Z.; Zheng, Z.; Qin, J. Parental smoking and the risk of congenital heart defects in offspring: An updated meta-analysis of observational studies. Eur. J. Prev. Cardiol 2020, 27, 1284–1293. [Google Scholar] [CrossRef]
- Popova, S.; Dozet, D.; Shield, K.; Rehm, J.; Burd, L. Alcohol’s Impact on the Fetus. Nutrients 2021, 13, 3452. [Google Scholar] [CrossRef] [PubMed]
- Pei, L.; Kang, Y.; Cheng, Y.; Yan, H. The Association of Maternal Lifestyle with Birth Defects in Shaanxi Province, Northwest China. PLoS ONE 2015, 10, e0139452. [Google Scholar] [CrossRef] [PubMed] [Green Version]
- Pei, L.; Kang, Y.; Zhao, Y.; Yan, H. Prevalence and risk factors of congenital heart defects among live births: A population-based cross-sectional survey in Shaanxi province, Northwestern China. BMC Pediatr. 2017, 17, 18. [Google Scholar] [CrossRef] [PubMed] [Green Version]
- Qu, P.; Li, S.; Liu, D.; Lei, F.; Zeng, L.; Wang, D.; Yan, H.; Shi, W.; Shi, J.; Dang, S. A propensity-matched study of the association between optimal folic acid supplementation and birth defects in Shaanxi province, Northwestern China. Sci. Rep. 2019, 9, 5271. [Google Scholar] [CrossRef] [Green Version]
- Wang, L.; Xiang, X.; Mi, B.; Song, H.; Dong, M.; Zhang, S.; Bi, Y.; Zhao, Y.; Li, Q.; Zhang, Q.; et al. Association between early prenatal exposure to ambient air pollution and birth defects: Evidence from newborns in Xi'an, China. J. Public Health 2019, 41, 494–501. [Google Scholar] [CrossRef]
- Yang, J.; Cheng, Y.; Pei, L.; Jiang, Y.; Lei, F.; Zeng, L.; Wang, Q.; Li, Q.; Kang, Y.; Shen, Y.; et al. Maternal iron intake during pregnancy and birth outcomes: A cross-sectional study in Northwest China. Br. J. Nutr. 2017, 117, 862–871. [Google Scholar] [CrossRef] [Green Version]
- Harris, B.S.; Bishop, K.C.; Kemeny, H.R.; Walker, J.S.; Rhee, E.; Kuller, J.A. Risk Factors for Birth Defects. Obstet Gynecol Surv. 2017, 72, 123–135. [Google Scholar] [CrossRef] [Green Version]
- The Foundation of March of Dimes in American. Global Report on Birth Defects; The Foundation of March of Dimes in American: New York, NY, USA, 2006; Available online: https://www.marchofdimes.org/materials/global-report-on-birth-defects-the-hidden-toll-of-dying-and-disabled-children-full-report.pdf (accessed on 1 May 2022).
- Li, X.; Zhu, J.; Wang, Y.; Mu, D.; Dai, L.; Zhou, G.; Li, Q.; Wang, H.; Li, M.; Liang, J. Geographic and urban-rural disparities in the total prevalence of neural tube defects and their subtypes during 2006-2008 in China: A study using the hospital-based birth defects surveillance system. BMC Public Health 2013, 13, 161. [Google Scholar] [CrossRef] [Green Version]
- ICBDMS. International Clearinghouse for Birth Defects Monitoring Systems—Annual Report; ICBDMS: Rome, Italy, 2007; Available online: http://www.icbdsr.org/resources/annual-report/ (accessed on 1 May 2022).
- Zhang, X.H.; Qiu, L.Q.; Huang, J.P. Risk of birth defects increased in multiple births. Birth Defects Res. A Clin. Mol. Teratol. 2011, 91, 34–38. [Google Scholar] [CrossRef]
- Feng, Y.; Wang, S.; Zhao, L.; Yu, D.; Hu, L.; Mo, X. Maternal reproductive history and the risk of congenital heart defects in offspring: A systematic review and meta-analysis. Pediatr Cardiol. 2015, 36, 253–263. [Google Scholar] [CrossRef]
- Campana, H.; Rittler, M.; Gili, J.A.; Poletta, F.A.; Pawluk, M.S.; Gimenez, L.G.; Cosentino, V.R.; Castilla, E.E.; Camelo, J.S. Association between a Maternal History of Miscarriages and Birth Defects. Birth Defects Res. 2017, 109, 254–261. [Google Scholar] [CrossRef] [PubMed] [Green Version]
- Wen, S.W.; Miao, Q.; Taljaard, M.; Lougheed, J.; Gaudet, L.; Davies, M.; Lanes, A.; Leader, A.; Corsi, D.J.; Sprague, A.E.; et al. Associations of Assisted Reproductive Technology and Twin Pregnancy With Risk of Congenital Heart Defects. JAMA Pediatr. 2020, 174, 446–454. [Google Scholar] [CrossRef] [PubMed]
- Hardin, J.; Carmichael, S.L.; Selvin, S.; Lammer, E.J.; Shaw, G.M. Increased prevalence of cardiovascular defects among 56,709 California twin pairs. Am. J. Med. Genet. A 2009, 149A, 877–886. [Google Scholar] [CrossRef] [PubMed] [Green Version]
- Dawson, A.L.; Tinker, S.C.; Jamieson, D.J.; Hobbs, C.A.; Berry, R.J.; Rasmussen, S.A.; Anderka, M.; Keppler-Noreuil, K.M.; Lin, A.E.; Reefhuis, J.; et al. Twinning and major birth defects, National Birth Defects Prevention Study, 1997–2007. J. Epidemiol. Community Health 2016, 70, 1114–1121. [Google Scholar] [CrossRef] [PubMed]
- Liang, Y.; Li, X.; Hu, X.; Wen, B.; Wang, L.; Wang, C. A predictive model of offspring congenital heart disease based on maternal risk factors during pregnancy: A hospital based case-control study in Nanchong City. Int. J. Med. Sci. 2020, 17, 3091–3097. [Google Scholar] [CrossRef] [PubMed]
- Wang, J.F.; Liu, X.; Liao, Y.L.; Chen, H.Y.; Li, W.X.; Zheng, X.Y. Prediction of neural tube defect using support vector machine. Biomed. Environ. Sci. 2010, 23, 167–172. [Google Scholar] [CrossRef]
- Li, H.; Luo, M.; Zheng, J.; Luo, J.; Zeng, R.; Feng, N.; Du, Q.; Fang, J. An artificial neural network prediction model of congenital heart disease based on risk factors: A hospital-based case-control study. Medicine 2017, 96, e6090. [Google Scholar] [CrossRef]




| Variables | Training Group (n = 15,723) | Validation Group (n = 13,481) | χ2 Value | p Value |
|---|---|---|---|---|
| Household registration, n (%) | 1751.258 | <0.001 | ||
| rural | 8899 (56.60) | 10,738 (79.65) | ||
| urban | 6824 (43.40) | 2743 (20.35) | ||
| Age, n (%) | 108.482 | <0.001 | ||
| <30 years | 11,634 (73.99) | 10,675 (79.19) | ||
| ≥30 years | 4089 (26.01) | 2806 (20.81) | ||
| Years of education, n (%) | 1280.020 | <0.001 | ||
| <9 years | 8233 (52.36) | 9810 (72.77) | ||
| ≥9 years | 7490 (47.64) | 3671 (27.23) | ||
| Gravidity, n (%) | 27.682 | <0.001 | ||
| 1 | 8260 (52.53) | 6666 (49.45) | ||
| ≥2 | 7463 (47.47) | 6815 (50.55) | ||
| History of preterm birth, n (%) | 5.300 | 0.021 | ||
| no | 15,316 (97.41) | 13,072 (96.97) | ||
| yes | 407 (2.59) | 409 (3.03) | ||
| History of miscarriages, n (%) | 135.328 | <0.001 | ||
| no | 13,196 (83.93) | 11,951 (88.65) | ||
| yes | 2527 (16.07) | 1530 (11.35) | ||
| Family history of birth defects, n (%) | 0.679 | 0.410 | ||
| no | 15,645 (99.50) | 13,423 (99.57) | ||
| yes | 78 (0.50) | 58 (0.43) | ||
| Infection, n (%) | 7.721 | 0.005 | ||
| no | 13,586 (86.41) | 11,797 (87.51) | ||
| yes | 2137 (13.59) | 1684 (12.49) | ||
| Taking medicine | 65.867 | <0.001 | ||
| no | 12,859 (81.78) | 11,503 (85.33) | ||
| yes | 2864 (18.22) | 1978 (14.67) | ||
| Alcohol drinking, n (%) | 16.063 | <0.001 | ||
| no | 15,579 (99.08) | 13,290 (98.58) | ||
| yes | 144 (0.92) | 191 (1.42) | ||
| Tobacco exposure, n (%) | 23.359 | <0.001 | ||
| no | 6175 (39.27) | 5670 (42.06) | ||
| yes | 9548 (60.73) | 7811 (57.94) | ||
| Pesticide exposure, n (%) | 49.940 | <0.001 | ||
| no | 15,476 (98.43) | 13,389 (99.32) | ||
| yes | 247 (1.57) | 92 (0.68) | ||
| Industrial exposure, n (%) | 214.208 | <0.001 | ||
| no | 10,991 (69.90) | 10,447 (77.49) | ||
| yes | 4732 (30.10) | 3034 (22.51) | ||
| Folic acid supplementation, n (%) | 313.199 | <0.001 | ||
| no | 9295 (59.12) | 9316 (69.10) | ||
| yes | 6428 (40.88) | 4165 (30.90) | ||
| Single/twin pregnancy, n (%) | 0.351 | 0.555 | ||
| singleton | 15,539 (98.83) | 13,313 (98.75) | ||
| twin | 184 (1.17) | 168 (1.25) |
| Variables | Birth Defects (n = 326) | Normal (n = 15,397) | OR (95 %CI) | p Value |
|---|---|---|---|---|
| Household registration, n (%) | ||||
| rural | 246 (75.46) | 8653 (56.20) | - | |
| urban | 80 (24.54) | 6744 (43.80) | 0.42 (0.32, 0.54) | <0.001 |
| Age, n (%) | ||||
| <30 years | 229 (70.25) | 11,405 (74.07) | - | |
| ≥30 years | 97 (29.75) | 3992 (25.93) | 1.21 (0.95, 1.54) | 0.120 |
| Years of education, n (%) | ||||
| <9 years | 213 (65.34) | 8020 (52.09) | - | |
| ≥9 years | 113 (34.66) | 7377 (47.91) | 0.58 (0.46, 0.73) | <0.001 |
| Gravidity, n (%) | ||||
| 1 | 145 (44.48) | 8115 (52.71) | ||
| ≥2 | 181 (55.52) | 7282 (47.29) | 1.39 (1.12, 1.74) | 0.003 |
| History of preterm birth, n (%) | ||||
| no | 310 (95.09) | 15,006 (97.46) | - | |
| yes | 16 (4.91) | 391 (2.54) | 1.98 (1.19, 3.31) | 0.009 |
| History of miscarriages, n (%) | ||||
| no | 247 (75.77) | 12,949 (84.10) | - | |
| yes | 79 (24.23) | 2448 (15.90) | 1.69 (1.31, 2.19) | <0.001 |
| Family history of birth defects, n (%) | ||||
| no | 320 (98.16) | 15,325 (99.53) | - | |
| yes | 6 (1.84) | 72 (0.47) | 3.99 (1.72, 9.25) | 0.001 |
| Infection, n (%) | ||||
| no | 259 (79.45) | 13,327 (86.56) | - | |
| yes | 67 (20.55) | 2070 (13.44) | 1.67 (1.27, 2.19) | <0.001 |
| Taking medicine | ||||
| no | 225 (69.02) | 12,634 (82.05) | ||
| yes | 101 (30.98) | 2763 (17.95) | 2.05 (1.72, 2.61) | <0.001 |
| Alcohol drinking, n (%) | ||||
| no | 321 (98.47) | 15,258 (99.10) | - | |
| yes | 5 (1.53) | 139 (0.90) | 1.71 (0.70, 4.20) | 0.242 |
| Tobacco exposure, n (%) | ||||
| no | 109 (33.44) | 6066 (39.40) | - | |
| yes | 217 (66.56) | 9331 (60.60) | 1.29 (1.03, 1.29) | 0.030 |
| Pesticide exposure, n (%) | ||||
| no | 306 (93.87) | 15,170 (98.53) | - | |
| yes | 20 (6.13) | 227 (1.47) | 4.37 (2.73, 7.00) | <0.001 |
| Industries exposure, n (%) | ||||
| no | 202 (61.96) | 10,789 (70.07) | - | |
| yes | 124 (38.04) | 4608 (29.93) | 1.44 (1.15, 1.80) | 0.002 |
| Folic acid supplementation, n (%) | ||||
| no | 228 (69.94) | 9067 (58.89%) | - | |
| yes | 98 (30.06) | 6330 (41.11%) | 0.62 (0.49, 0.78) | <0.001 |
| Singleton/twin pregnancy, n (%) | ||||
| singleton | 313 (96.01) | 15,226 (98.89) | - | |
| twin | 13 (3.99) | 171 (1.11) | 3.70 (2.08, 6.57) | <0.001 |
| Variables | B | OR (95% CI) | p Value |
|---|---|---|---|
| Household registration | |||
| rural | - | - | |
| urban | −0.774 | 0.46 (0.36, 0.60) | <0.001 |
| History of miscarriages | |||
| no | - | - | |
| yes | 0.520 | 1.68 (1.30, 2.18) | <0.001 |
| Family history of birth defects | |||
| no | - | - | |
| yes | 1.344 | 3.84 (1.64, 8.96) | 0.002 |
| Infection | |||
| no | - | - | |
| yes | 0.363 | 1.44 (1.08, 1.91) | 0.012 |
| Taking medicine | |||
| no | - | - | |
| yes | 0.532 | 1.70 (1.33, 2.18) | <0.001 |
| Pesticide exposure | |||
| no | - | - | |
| yes | 1.018 | 2.77 (1.71, 4.49) | <0.001 |
| Folic acid supplementation | |||
| no | - | - | |
| yes | −0.339 | 0.71 (0.56, 0.91) | 0.006 |
| Single/twin pregnancy | |||
| singleton | - | - | |
| twin | 1.343 | 3.83 (2.14, 6.87) | <0.001 |
| Variables | Training Group | Validation Group | ||||
|---|---|---|---|---|---|---|
| AUC | 95% CI | p Value | AUC | 95% CI | p Value | |
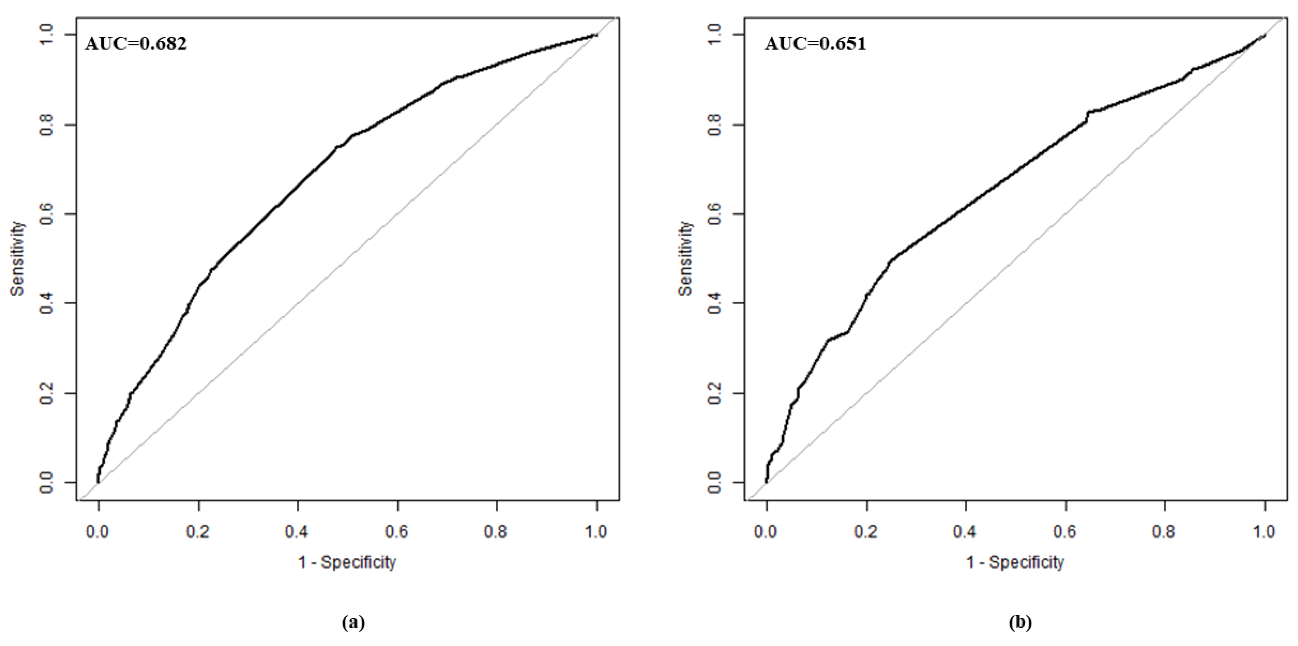
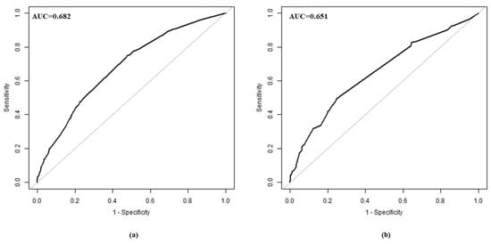
| Nomogram variable | 0.682 | 0.653, 0.710 | <0.001 | 0.651 | 0.614, 0.689 | <0.001 |
| Household registration | 0.596 | 0.567, 0.625 | <0.001 | - | ||
| History of miscarriages | 0.542 | 0.509, 0.575 | 0.010 | - | ||
| Family history of birth defects | 0.507 | 0.475, 0.539 | 0.671 | - | ||
| Infection | 0.536 | 0.503, 0.569 | 0.028 | - | ||
| Taking medicine | 0.565 | 0.532, 0.599 | 0.002 | - | ||
| Pesticide exposure | 0.523 | 0.490, 0.556 | 0.149 | - | ||
| Folic acid supplementation | 0.555 | 0.525, 0.586 | 0.001 | - | ||
| Single/twin pregnancy | 0.514 | 0.482, 0.547 | 0.373 | - | ||
Publisher’s Note: MDPI stays neutral with regard to jurisdictional claims in published maps and institutional affiliations. |
© 2022 by the authors. Licensee MDPI, Basel, Switzerland. This article is an open access article distributed under the terms and conditions of the Creative Commons Attribution (CC BY) license (https://creativecommons.org/licenses/by/4.0/).
Share and Cite
Qu, P.; Zhao, D.; Yan, M.; Liu, D.; Pei, L.; Zeng, L.; Yan, H.; Dang, S. Risk Assessment for Birth Defects in Offspring of Chinese Pregnant Women. Int. J. Environ. Res. Public Health 2022, 19, 8584. https://doi.org/10.3390/ijerph19148584
Qu P, Zhao D, Yan M, Liu D, Pei L, Zeng L, Yan H, Dang S. Risk Assessment for Birth Defects in Offspring of Chinese Pregnant Women. International Journal of Environmental Research and Public Health. 2022; 19(14):8584. https://doi.org/10.3390/ijerph19148584
Chicago/Turabian StyleQu, Pengfei, Doudou Zhao, Mingxin Yan, Danmeng Liu, Leilei Pei, Lingxia Zeng, Hong Yan, and Shaonong Dang. 2022. "Risk Assessment for Birth Defects in Offspring of Chinese Pregnant Women" International Journal of Environmental Research and Public Health 19, no. 14: 8584. https://doi.org/10.3390/ijerph19148584
APA StyleQu, P., Zhao, D., Yan, M., Liu, D., Pei, L., Zeng, L., Yan, H., & Dang, S. (2022). Risk Assessment for Birth Defects in Offspring of Chinese Pregnant Women. International Journal of Environmental Research and Public Health, 19(14), 8584. https://doi.org/10.3390/ijerph19148584

