Effects of Residential Environmental Screening and Perception Surveys on Superfund Environmental Health Risk Perceptions
Abstract
1. Introduction
1.1. The Role of the Community in Superfund Decision-Making
1.2. Community Environmental Health Perceptions
- Overcoming their disengagement from the community’s care for environmental health;
- Enhancing their ability to minimize their exposure to site contaminants; and
- Empowering them to participate meaningfully in influencing Superfund decision-making and its attendant implications for their personal health.
- Ensure that residents have the knowledge required to understand health risks;
- Listen to residents’ pre-existing concerns about health risks and factor those into any interactions with them; and
- Treat residents’ “environment” as personal and local: where each of them lives.
1.3. Study Objectives
2. Methodology
2.1. Study Area
2.2. Instrument Development
2.2.1. Pre-Survey Instrument
2.2.2. Residential Environmental Screening Results Format
2.2.3. Post-Survey Instrument
2.3. Community Sampling and Subject Recruitment Approach
2.3.1. Preliminary Perceptions Survey and Drinking Water and Yard Soil Sample Collection
2.3.2. Air Sample Collection
2.3.3. Post-Perception Data Report and Analysis
2.4. Laboratory Analysis
2.5. Statistical Data Analysis
2.5.1. Change in Participant Perceptions
2.5.2. Odds Ratio Analysis
3. Results
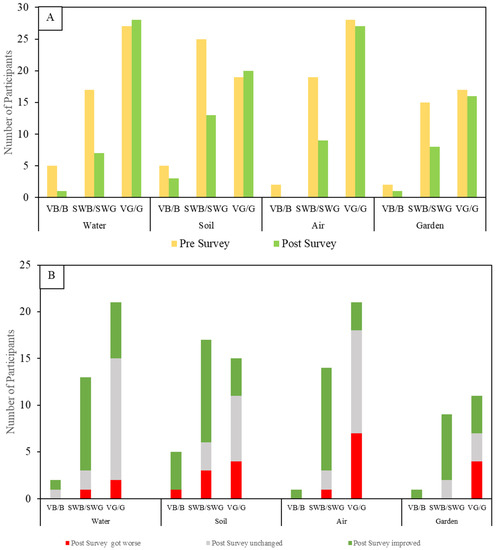
3.1. Co-Located Residential Environmental Quality and Health Perceptions
3.1.1. Water
3.1.2. Air
3.1.3. Soil
3.2. Effects of Residential Environmental Quality Data Material Sharing
3.2.1. Water
3.2.2. Air
3.2.3. Soil
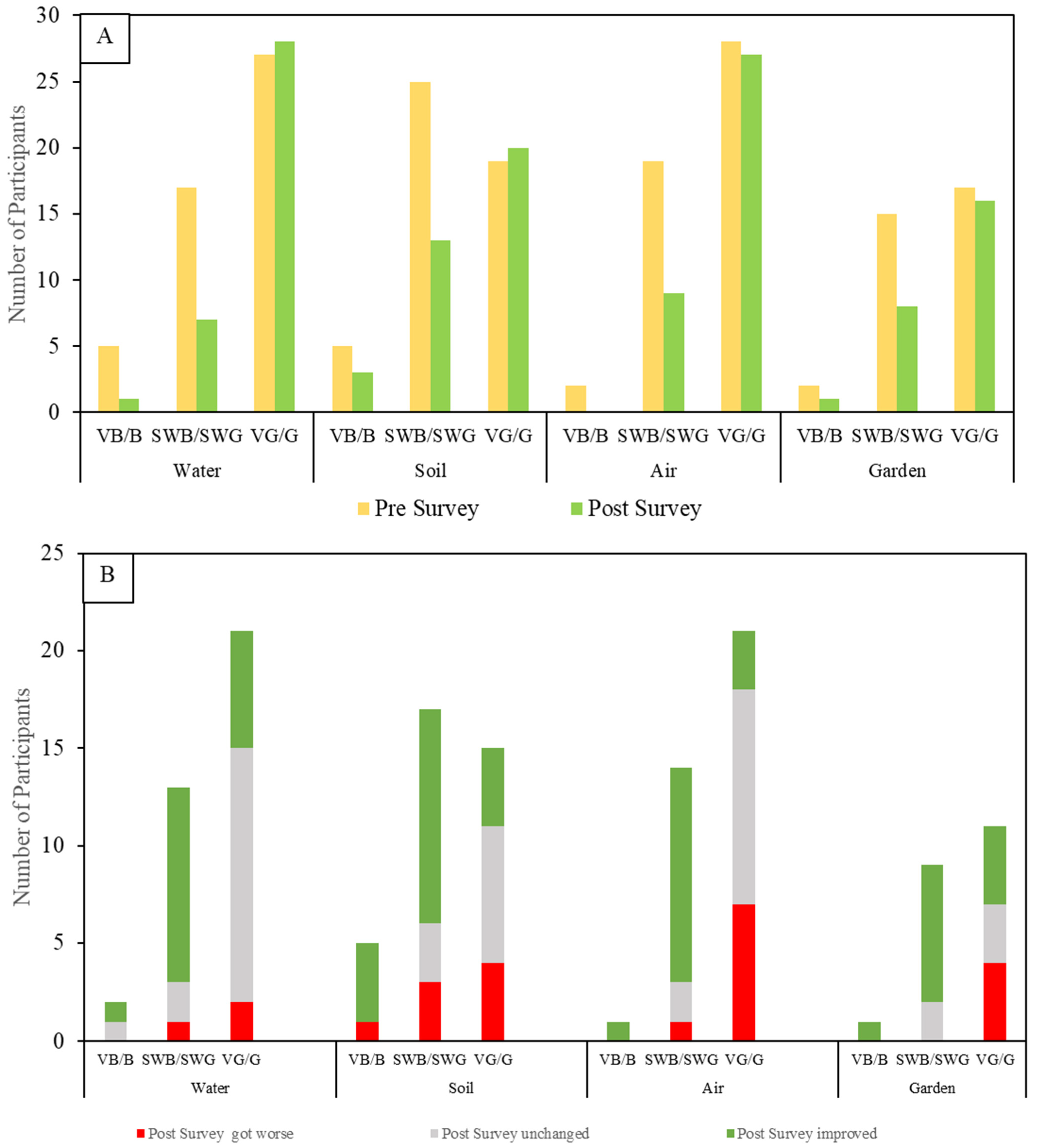
3.2.4. Three-Way Instead of Binary Distribution of Perception Changes
3.3. Odds Ratio Analysis Results: Correlation between Perception Changes and Screening Results
3.4. Categorizing Participant Comments
4. Discussion
4.1. Complex Effects of Informing Community Members about the Presence of COCs in and around Their Homes
4.2. Balancing Insights from Binary and Three-Way Scalar Analyses
4.3. Extrapolating Insights to Other Superfund Sites
4.4. Limitations
5. Conclusions
Author Contributions
Funding
Institutional Review Board Statement
Informed Consent Statement
Data Availability Statement
Acknowledgments
Conflicts of Interest
Appendix A. Pre-Survey Questionnaire


Appendix B. Sample Residential Screening Results


Appendix C. Post-Survey Questionnaire

References
- USEPA. 2021. Available online: https://www.epa.gov/laws-regulations/summary-comprehensive-environmental-response-compensation-and-liability-act (accessed on 30 June 2022).
- USEPA. The Origins of EPA. 2021. Available online: https://www.epa.gov/history/origins-epa (accessed on 30 June 2022).
- USEPA. Hazardous Ranking Systems. 2021. Available online: https://www.epa.gov/superfund/hazard-ranking-system-hrs (accessed on 30 June 2022).
- USEPA. Superfund National Priority List Sites. 2021. Available online: https://www.epa.gov/superfund/national-priorities-list-npl-sites-state (accessed on 30 June 2022).
- Nagisetty, R.M.; Autenrieth, D.A.; Storey, S.R.; Macgregor, W.B.; Brooks, L.C. Environmental Health Perceptions in a Superfund community. J. Environ. Manag. 2020, 261, 110151. [Google Scholar] [CrossRef]
- Catalan-Vazquez, M.; Schilmann, A.; Riojas-Rodriguez, H. Perceived Health Risks of Manganese in the Molango Mining District, Mexico. Risk Anal. 2010, 30, 619–634. [Google Scholar] [CrossRef] [PubMed]
- Charnley, S.; Engelbert, B. Evaluating public participation in environmental decision-making: EPA’s superfund community involvement program. J. Environ. Manag. 2005, 77, 165–182. [Google Scholar] [CrossRef]
- Harclerode, M.A.; Lal, P.; Vedwan, N.; Wolde, B.; Miller, M.E. Evaluation of the role of risk perception in stakeholder engagement to prevent lead exposure in an urban setting. J. Environ. Manag. 2016, 184, 132–142. [Google Scholar] [CrossRef] [PubMed]
- Janmaimool, P.; Watanabe, T. Evaluating Determinants of Environmental Risk Perception for Risk Management in Contaminated Sites. Int. J. Environ. Res. Public Health 2014, 11, 6291–6313. [Google Scholar] [CrossRef] [PubMed]
- Elliott, M. Risk Perception Frames in Environmental Decision Making. Environ. Pract. 2003, 5, 214–222. [Google Scholar] [CrossRef]
- White, B.M.; Hall, E.S. Perceptions of environmental health risks among residents in the “Toxic Doughnut”: Opportunities for risk screening and community mobilization. BMC Public Health 2015, 15, 1230. [Google Scholar] [CrossRef][Green Version]
- Cappuyns, V. Inclusion of social indicators in decision support tools for the selection of sustainable site remediation options. J. Environ. Manag. 2016, 184, 45–56. [Google Scholar] [CrossRef]
- Byrd, T.L.; Vanderslice, J.; Peterson, S.K. Attitudes and beliefs about environmental hazards in three diverse communities in Texas on the border with Mexico. Rev. Panam. Salud Pública 2001, 9, 154–160. [Google Scholar] [CrossRef]
- Cundy, A.B.; Bardos, R.P.; Church, A.; Puschenreiter, M.; Friesl-Hanl, W.; Muller, I.; Neu, S.; Mench, M.; Witters, N.; Vangronsveld, J. Developing principles of sustainability and stakeholder engagement for “gentle” remediation approaches: The European context. J. Environ. Manag. 2013, 129, 283–291. [Google Scholar] [CrossRef]
- Bonham, V.L.; Nathan, V.R. Environmental public health research: Engaging communities. Int. J. Hyg. Environ. Health 2002, 205, 11–18. [Google Scholar] [CrossRef] [PubMed]
- Ramirez-Andreotta, M.D.; Brusseau, M.L.; Artiola, J.F.; Maier, R.; Gandolfi, A.J. Environmental Research Translation: Enhancing interactions with communities at contaminated sites. Sci. Total Environ. 2014, 497–498, 651–664. [Google Scholar] [CrossRef] [PubMed]
- Fitzpatrick-Lewis, D.; Yost, J.; Ciliska, D.; Krishnaratne, S. Communication about environmental health risks: A systematic review. Environ. Health 2010, 9, 67. [Google Scholar] [CrossRef]
- U.S. Census Bureau. QuickFacts Butte-Silver Bow, Montana. 2021. Available online: https://www.census.gov/quickfacts/buttesilverbowbalancemontana (accessed on 30 June 2022).
- USEPA. Silver Bow Creek/Butte Area Butte, Mt. 2021. Available online: https://cumulis.epa.gov/supercpad/SiteProfiles/index.cfm?fuseaction=second.cleanup&id=0800416 (accessed on 30 June 2022).
- Pit Watch. 2019. Available online: http://www.pitwatch.org/2010-berkeley-pit-posters/ (accessed on 30 June 2022).
- Leech, B.J. The City That Ate Itself: Butte, Montana and Its Expanding Berkley Pit, 1st ed.; University of Nevada Press: Reno, NV, USA, 2018. [Google Scholar]
- Butte-Silver Bow Department of Public Works. 2015 Annual Drinking Water Quality Report. 2015. Available online: http://awsmontana.com/wp-content/uploads/City-of-Butte-Silver-Bow-Water-Quality-Report-2015.pdf (accessed on 30 June 2022).
- Butte-Silver Bow Health Department. Butte Drinking Water Is Safe! 2012. Available online: https://www.co.silverbow.mt.us/DocumentCenter/View/46/Fact-Sheet-3 (accessed on 30 June 2022).
- MT Dept. Environmental Quality. 2003. Available online: https://deq.mt.gov/files/Air/AirQuality/Documents/ARMPermits/1749-12.pdf (accessed on 30 June 2022).
- USEPA. Record of Decision: Butte Priority Soils Operable Unit, Silver Bow Creek/Butte Area NPL site. 2006. Available online: https://semspub.epa.gov/work/08/1098577.pdf (accessed on 30 June 2022).
- USEPA. Exhibit 1 Residential Solid Media Remedial Action SOW. 2020. Available online: https://semspub.epa.gov/work/08/100008563.pdf (accessed on 30 June 2022).
- Bison Engineering Inc. Ambient Air Quality Data Summary Report Greeley School Monitoring Station Butte, MT. Retrieved from Silver Bow County. 2021. Available online: https://www.co.silverbow.mt.us/DocumentCenter/View/20729/Air-Quality---Greeley-Ambient-Summary-Report---April-2021 (accessed on 30 June 2022).
- Butte Silver Bow Department of Public Works, Water Quality Division. Annual Drinking Water Quality Report. 2020. Available online: https://www.co.silverbow.mt.us/DocumentCenter/View/18877/2020-Butte-Silver-Bow-Annual-Drinking-Water-Consumer-Quality-Report (accessed on 30 June 2022).
- Ramboll US Corporation (Arlington, VA, USA). Second Butte RMAP Medical Monitoring Study Report. 2020. Available online: https://semspub.epa.gov/work/08/100008059.pdf (accessed on 30 June 2022).
- ENVIRON International Corporation (Washington, DC, USA). Butte Priority Soils Operable Unit Public Health Study Phase 1. 2013. Available online: https://semspub.epa.gov/work/08/100005605.pdf (accessed on 30 June 2022).
- MT Chronic Disease Prevention and Health Promotion Bureau. Cancer incidence in Silver Bow County, Montana and the United States. 2012. Available online: https://www.epa.gov/sites/production/files/documents/cancerincidenceinsilverbowcounty_may2012.pdf (accessed on 30 June 2022).
- The Montana Standard. FAQ: Does Butte have a higher cancer rate? 2015. Available online: https://mtstandard.com/news/local/faq-does-butte-have-higher-cancer-rate/article_70c3b6f1-2cfa-5b91-88ae-6c7f81b46ed6.html (accessed on 30 June 2022).
- Hailer, M.K.; Peck, C.P.; Calhoun, M.W.; West, R.F.; James, K.J.; Siciliano, S.D. Assessing human metal accumulations in an urban superfund site. Environ. Toxicol. Pharmacol. 2017, 54, 112–119. [Google Scholar] [CrossRef]
- Davis, B.; McDermott, S.; McCarter, M.; Ortaglia, A. Population-based mortality data suggests remediation is modestly effective in two Montana Superfund counties. Environ. Geochem. Health 2019, 41, 803–816. [Google Scholar] [CrossRef] [PubMed]
- Curran, M.E. The Contested Terrain of Butte Montana: Social Landscapes of Risk and Resiliency. Master’s Thesis, University of Montana, Missoula, MT, USA, 1996. Available online: https://scholarworks.umt.edu/cgi/viewcontent.cgi?article=10266&context=etd (accessed on 30 June 2022).
- USEPA. Fourth Five-Year Review Report for Silver Bow Creek/Butte Area Superfund Site; USEPA, Region 8: Denver, CO, USA, 2016.
- HELPS Lab (Montana State University). 2019. Available online: http://helpslab.montana.edu/ (accessed on 30 June 2022).
- Ward, T.J. Butte, Montana PM2.5 Source Apportionment Research Study. 2014. Available online: https://www.co.silverbow.mt.us/DocumentCenter/View/3499/Health-Study-Butte-Montana-PM25-Source-Apportionment-Research-Study-Jan-2014 (accessed on 30 June 2022).
- McKenzie, R.; Bright, D.; Fletcher, R.; Hodgeson, J. Development of a personal exposure monitor for two sizes of inhalable particulates. Environ. Int. 1982, 8, 229–233. [Google Scholar] [CrossRef]
- Richardson, G.M.; Bright, D.A.; Dodd, M. Do Current Standards of Practice in Canada Measure What is Relevant to Human Exposure at Contaminated Sites? II: Oral Bioaccessibility of Contaminants in Soil. Hum. Ecol. Risk Assess. Int. J. 2006, 12, 606–616. [Google Scholar] [CrossRef]
- Kenny, L.; Chung, K.; Dilworth, M.; Hammond, C.; Jones, J.; Shreeve, Z.; Winton, J. Applications of Low-cost Dual-fraction Dust Sampler. Ann. Occup. Hyg. 2001, 45, 35–42. [Google Scholar] [CrossRef]
- USEPA. National Primary Drinking Water Regulations; 2022. Available online: https://www.epa.gov/ground-water-and-drinking-water/national-primary-drinking-water-regulations#one (accessed on 30 June 2022).
- USEPA. NAAQS Table. 2022. Available online: https://www.epa.gov/criteria-air-pollutants/naaqs-table (accessed on 30 June 2022).
- Butte Silver Bow Superfund Division. RMAP Construction Completion Report; Butte Silver Bow Superfund Division: Butte, MT, USA, 2017. [Google Scholar]
- Agency for Toxic Substances and Disease Registry. What are U.S. standards for Lead Levels? Retrieved from Environmental Health and Medicine Education; 2021. Available online: https://www.atsdr.cdc.gov/csem/leadtoxicity/safety_standards.html (accessed on 30 June 2022).
- Hydrometric, Inc. (Helena, MT, USA). Background concentrations of inorganic constituents in Montana surface soils. Prepared for Montana Department of Environmental Quality. 2013. Available online: https://deq.mt.gov/Files/Land/StateSuperFund/Documents/InorganicBackground/BkgdInorganicsReport.pdf (accessed on 30 June 2022).
- Atlantic Richfield Company. Anaconda Smelter NPL Site Community Soil Operable Unit. Final Residential Soils/Dust Remedial Action Work Plan/Final Design Report (RAWP/FDR). 2015. Available online: https://semspub.epa.gov/work/08/1549208.pdf (accessed on 30 June 2022).
- Davis, A.; Ruby, M.V.; Bergstrom, P.D. Bioavailability of arsenic and lead in soils from the Butte, Montana, mining district. Environ. Sci. Technol. 1992, 26, 461–468. [Google Scholar] [CrossRef]
- Aston, S.; Negen, J.; Nardini, M.; Beierholm, U. Central tendency biases must be accounted for to consistently capture Bayesian cue combination in continuous response data. Behav. Res. Methods 2022, 54, 508–521. [Google Scholar] [CrossRef]
- Hofflinger, A.; Boso, À.; Oltra, C. The Home Halo Effect: How Air Quality Perception is Influenced by Place Attachment. Hum. Ecol. 2019, 47, 589–600. [Google Scholar] [CrossRef]









| Walkerville (A) | Excelsior (B) | Colorado St. (C) | Greeley (D) | Greeley Duplicate (D) | Earth Ln. (E) | |
|---|---|---|---|---|---|---|
| Lead | ND | ND | ND | ND | ND | ND |
| Molybdenum | ND | ND | 3.5 (33%) | 4.5 (17%) | 14.4 (33%) | 0.0 |
| Copper | ND | ND | 10.0 (17%) | 34.7 (33%) | 48.1 (50%) | 9.6 (17%) |
| Manganese | ND | ND | ND | ND | ND | ND |
| Zinc | ND | ND | 50.2 (33%) | 33.0 (17%) | ND | ND |
| Arsenic | ND | ND | ND | ND | ND | ND |
| Water | Soil | Air | |
|---|---|---|---|
| a. Location in town: uptown/flats; proximity to active mine/historic mining wastes | 10 | 18 | 8 |
| c. Familiarity with/trust for remedial programs, policies, & science | 16 | 12 | 8 |
| e. Appearance, taste, smell, texture (e.g., soil type) | 10 | 24 | 9 |
| f. Prior experience/information (including misinformation) | 11 | 8 | 13 |
| g. Uncertainties/worries about contaminants; how affected by screening | 7 | 7 | 7 |
| h. Screening results validate original/existing perceptions | 20 | 18 | 19 |
Publisher’s Note: MDPI stays neutral with regard to jurisdictional claims in published maps and institutional affiliations. |
© 2022 by the authors. Licensee MDPI, Basel, Switzerland. This article is an open access article distributed under the terms and conditions of the Creative Commons Attribution (CC BY) license (https://creativecommons.org/licenses/by/4.0/).
Share and Cite
Nagisetty, R.M.; Macgregor, W.B.; Hutchins, D.; Autenrieth, D.A.; Plant, A.M. Effects of Residential Environmental Screening and Perception Surveys on Superfund Environmental Health Risk Perceptions. Int. J. Environ. Res. Public Health 2022, 19, 8146. https://doi.org/10.3390/ijerph19138146
Nagisetty RM, Macgregor WB, Hutchins D, Autenrieth DA, Plant AM. Effects of Residential Environmental Screening and Perception Surveys on Superfund Environmental Health Risk Perceptions. International Journal of Environmental Research and Public Health. 2022; 19(13):8146. https://doi.org/10.3390/ijerph19138146
Chicago/Turabian StyleNagisetty, Raja M., William B. Macgregor, David Hutchins, Daniel A. Autenrieth, and Alyssa M. Plant. 2022. "Effects of Residential Environmental Screening and Perception Surveys on Superfund Environmental Health Risk Perceptions" International Journal of Environmental Research and Public Health 19, no. 13: 8146. https://doi.org/10.3390/ijerph19138146
APA StyleNagisetty, R. M., Macgregor, W. B., Hutchins, D., Autenrieth, D. A., & Plant, A. M. (2022). Effects of Residential Environmental Screening and Perception Surveys on Superfund Environmental Health Risk Perceptions. International Journal of Environmental Research and Public Health, 19(13), 8146. https://doi.org/10.3390/ijerph19138146

