Evaluation of Expressive Arts Therapy on the Resilience of University Students in COVID-19: A Network Analysis Approach
Abstract
:1. Introduction
1.1. Resilience of University Students
1.2. Intervention in Resilience during the COVID-19 Pandemic
1.3. Rationale for Intervention of Expressive Arts Therapy in Resilience
1.4. The Present Study
2. Methods
2.1. Participants
2.2. Measures
Resiliency Scale for University Students (RSUS)
2.3. Procedures
2.3.1. Session 1
2.3.2. Session 2
2.3.3. Session 3
2.3.4. Session 4
2.4. Statistical Analysis
3. Results
3.1. Descriptive Statistics
3.2. Network Estimation
3.3. Network Accuracy and Stability
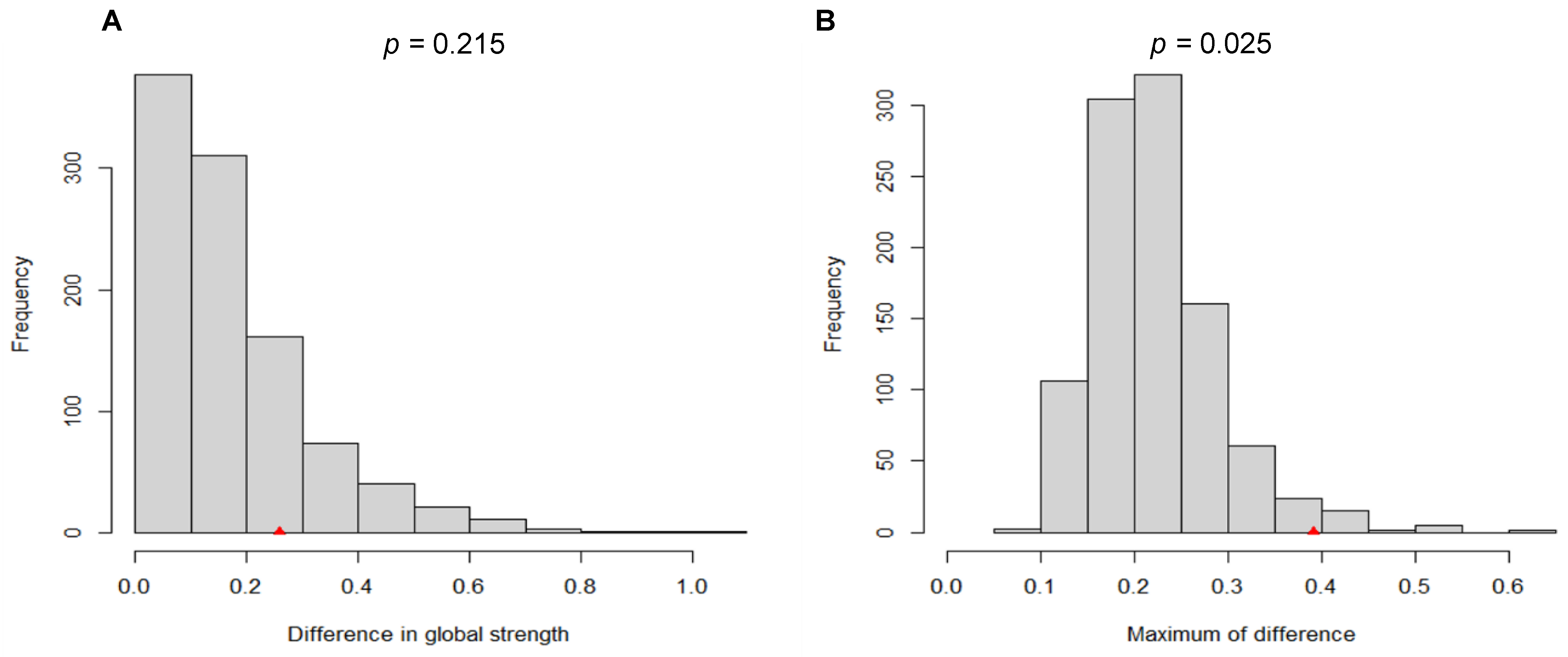
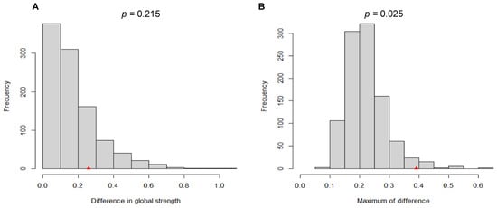
3.4. Network Comparison across Two Waves
4. Discussion
4.1. Facets of Self-Efficacy and Self-Acceptance
4.2. Facets of Problem Solving, Support from Friends, and Support from Family
4.3. Facet of Emotional Stability
5. Conclusions
Supplementary Materials
Author Contributions
Funding
Institutional Review Board Statement
Informed Consent Statement
Data Availability Statement
Conflicts of Interest
References
- Richardson, G.E. The metatheory of resilience and resiliency. J. Clin. Psychol. 2002, 58, 307–321. [Google Scholar] [CrossRef] [PubMed]
- Hanes, G.; Sung, L.; Mutch, R.; Hanes, G.; Cherian, S. Adversity and resilience amongst resettling Western Australian paediatric refugees. J. Paediatr. Child Health 2017, 53, 882–888. [Google Scholar] [CrossRef] [PubMed]
- McEwen, B.S. In pursuit of resilience: Stress, epigenetics, and brain plasticity. In Special Issue: Advances in Meditation Research; Sequeira, S., Ed.; Blackwell Science Publishing: Oxford, UK, 2016; pp. 56–64. [Google Scholar]
- Eleonora, G.; Martina, M.; Marco, S.; Debora, M.; Carla, G.; Camilla, V.; Chiara, A.; Concetta, M.; Gianfranco, C.; Silvia, B.; et al. Resilience, trauma, and hopelessness: Protective or triggering factor for the development of psychopathology among migrants? BMC Psychiatry 2020, 20, 1–15. [Google Scholar]
- Kuhn, T.A.; Vander Horst, A.; Gibson, G.C.; Cleveland, K.A.; Wawrosch, C.; Hunt, C.; Woolverton, C.J.; Hughes, J.W. Distress and Prevention Behaviors During the COVID-19 Pandemic Among College Students: The Moderating Role of Resilience. Int. J. Behav. Med. 2021, 6, 1–16. [Google Scholar] [CrossRef]
- Dzhambov, A.M.; Lercher, P.; Stoyanov, D.; Petrova, N.; Novakov, S.; Dimitrova, D.D. University Students’ Self-Rated Health in Relation to Perceived Acoustic Environment during the COVID-19 Home Quarantine. Int. J. Environ. Res. Public Health 2021, 18, 2538. [Google Scholar] [CrossRef]
- Li, D.D.; Zou, L.; Zhang, Z.Y.; Zhang, P.; Zhang, J.; Fu, W.N.; Mao, J.; Cao, S.Y. The Psychological Effect of COVID-19 on Home-Quarantined Nursing Students in China. Front. Psychiatry 2021, 12, 652296. [Google Scholar] [CrossRef]
- Jones, H.E.; Manze, M.; Ngo, V.; Lamberson, P.; Freudenberg, N. The Impact of the COVID-19 Pandemic on College Students’ Health and Financial Stability in New York City: Findings from a Population-Based Sample of City University of New York (CUNY) Students. J. Urban Health-Bull. N. Y. Acad. Med. 2021, 98, 187–196. [Google Scholar] [CrossRef]
- Zhan, H.L.; Zheng, C.M.; Zhang, X.Q.; Yang, M.; Zhang, L.; Jia, X. Chinese College Students’ Stress and Anxiety Levels Under COVID-19. Front. Psychiatry 2021, 12, 615390. [Google Scholar] [CrossRef]
- Wang, Z.H.; Yang, H.L.; Yang, Y.Q.; Liu, D.; Li, Z.H.; Zhang, X.R.; Zhang, Y.J.; Shen, D.; Chen, P.L.; Song, W.Q.; et al. Prevalence of anxiety and depression symptom, and the demands for psychological knowledge and interventions in college students during COVID-19 epidemic: A large cross-sectional study. J. Affect. Disord. 2020, 275, 188–193. [Google Scholar] [CrossRef]
- Wang, X.; Chen, H.G.; Liu, L.; Liu, Y.; Zhang, N.; Sun, Z.H.; Lou, Q.; Ge, W.C.; Hu, B.; Li, M.Q.; et al. Anxiety and Sleep Problems of College Students During the Outbreak of COVID-19. Front. Psychiatry 2020, 11, 588693. [Google Scholar] [CrossRef]
- Liu, C.H.; Zhang, E.; Wong, G.T.F.; Hyun, S.; Hahm, H.C. Factors associated with depression, anxiety, and PTSD symptomatology during the COVID-19 pandemic: Clinical implications for US young adult mental health. Psychiatry Res. 2020, 290, 113172. [Google Scholar] [CrossRef] [PubMed]
- Tan, Y.F.; Huang, C.C.; T Geng, Y.; Cheung, S.P.; Zhang, S.Y. Psychological Well-Being in Chinese College Students During the COVID-19 Pandemic: Roles of Resilience and Environmental Stress. Front. Psychol. 2021, 12, 671553. [Google Scholar] [CrossRef] [PubMed]
- Lozano-Diaz, A.; Canosa, V.F.; Fernandez-Prados, J.S.; Martinez, A.M.M. Impacts of COVID-19 Confinement among College Students: Life Satisfaction, Resilience and Social Capital Online. Int. J. Sociol. Educ. 2020, 9, 79–104. [Google Scholar] [CrossRef]
- Chi, X.L.; Becker, B.; Yu, Q.; Willeit, P.; Jiao, C.; Huang, L.Y.; Hossain, M.M.; Grabovac, I.; Yeung, A.; Lin, J.Y.; et al. Prevalence and Psychosocial Correlates of Mental Health Outcomes Among Chinese College Students During the Coronavirus Disease (COVID-19) Pandemic. Front. Psychiatry 2020, 11, 803. [Google Scholar] [CrossRef]
- Morales-Rodríguez, F.M. Fear, Stress, Resilience and Coping Strategies during COVID-19 in Spanish University Students. Sustainability 2021, 13, 5824. [Google Scholar] [CrossRef]
- Sun, M.; Wang, D.F.; Jing, L.; Zhou, L. Changes in psychotic-like experiences and related influential factors in technical secondary school and college students during COVID-19. Schizophr. Res. 2021, 231, 3–9. [Google Scholar] [CrossRef]
- Hinduan, Z.R.; Wedyaswari, M.; Reswara, I.P.; Setyowibowo, H. A Counseling Application as an Alternative Tool in Increasing Coping Self-Efficacy Among University Students With Academic Distress During Coronavirus Disease 2019 Pandemic in Indonesia: A Study Protocol for a Randomized Controlled Non-Inferiority Trial. Front. Psychol. 2021, 12, 712806. [Google Scholar] [CrossRef]
- Savarese, G.; Curcio, L.; D’Elia, D.; Fasano, O.; Pecoraro, N. Online University Counselling Services and Psychological Problems among Italian Students in Lockdown Due to COVID-19. Healthcare 2020, 8, 440. [Google Scholar] [CrossRef]
- Li, Y.; Peng, J.; Tao, Y.Q. Relationship between social support, coping strategy against COVID-19, and anxiety among home-quarantined Chinese university students: A path analysis modeling approach. Curr. Psychol. 2021, 10, 1–16. [Google Scholar] [CrossRef]
- Zuniga, D.; Torres-Sahli, M.; Nitsche, P.; Echeverria, G.; Pedrals, N.; Grassi, B.; Cisternas, M.; Rigotti, A.; Bitran, M. Reduced burnout and higher mindfulness in medical students after a self-care program during the COVID-19 pandemic. Rev. Med. Chile 2021, 149, 846–855. [Google Scholar] [CrossRef]
- Yuan, Y. Mindfulness training on the resilience of adolescents under the COVID-19 epidemic: A latent growth curve analysis. Pers. Individ. Dif. 2021, 172, 110560. [Google Scholar] [CrossRef] [PubMed]
- McCarty, S.; Pacque, K.; Gatto, A.J.; Hill, K.; Charak, R. Youth-Led Resilience Promotion During Disaster Recovery: A Proposed Framework, Innovative Program, and Lessons Learned. Psychol. Trauma Theory Res. Pract. Policy 2022, 14, S32–S40. [Google Scholar] [CrossRef] [PubMed]
- Masika, G.M.; Yu, D.S.F.; Li, P.W.C. Visual art therapy as a treatment option for cognitive decline among older adults. A systematic review and meta-analysis. J. Adv. Nurs. 2020, 76, 1892–1910. [Google Scholar] [CrossRef] [PubMed]
- Abrams, B. Evidence-Based Music Therapy Practice: An Integral Understanding. J. Music. Ther. 2010, 47, 351–379. [Google Scholar] [CrossRef]
- Meekums, B.; Karkou, V.; Nelson, E.A. Dance movement therapy for depression. Cochrane Database Syst. Rev. 2015, 2, CD009895. [Google Scholar] [CrossRef] [Green Version]
- Thanasilp, S.; Voraakhom, K.; Pisolayabutra, P.; Panriansaen, R.; Tantitrakul, W.; Akkaayagorn, L. The Effect of a Dharma Creative Art Therapy Program Among Cancer Patients Receiving Palliative Care. J. Pain Symptom Manag. 2018, 56, E22–E23. [Google Scholar] [CrossRef] [Green Version]
- Kim, H.; Kim, S.; Choe, K.; Kim, J.S. Effects of Mandala Art Therapy on Subjective Well-being, Resilience, and Hope in Psychiatric Inpatients. Arch. Psychiatr. Nurs. 2018, 32, 167–173. [Google Scholar] [CrossRef]
- Pylvanainen, P.M.; Muotka, J.S.; Lappalainen, R. A dance movement therapy group for depressed adult patients in a psychiatric outpatient clinic: Effects of the treatment. Front. Psychol. 2015, 6, 980. [Google Scholar] [CrossRef] [Green Version]
- Regev, D.; Green-Orlovich, A.; Snir, S. Art therapy in schools—The therapist’s perspective. Arts Psychother. 2015, 45, 47–55. [Google Scholar] [CrossRef]
- Price, W.E.; Swan, A.M. Connecting, Coping, and Creating: An Expressive Arts Group for First Year College Students. J. Creat. Ment. Health 2019, 15, 378–392. [Google Scholar] [CrossRef]
- Sonnone, A.; Rochford, J.S. Wellness at Universities: A Group Art Therapy Approach. J. Coll. Couns. 2020, 23, 168–179. [Google Scholar] [CrossRef]
- Lith, V.T.; Beerse, M.; Smalley, Q. A qualitative inquiry comparing mindfulness-based art therapy versus neutral clay tasks as a proactive mental health solution for college students. J. Am. Coll. Health 2022, 11, 1–9. [Google Scholar]
- Rutter, M. Psychosocial Resilience and Protective Mechanisms. Am. J. Orthopsychiatry 1987, 57, 316–331. [Google Scholar] [CrossRef] [PubMed]
- Joyce, S.; Shand, F.; Tighe, J.; Laurent, S.J.; Bryant, R.A.; Harvey, S.B. Road to resilience: A systematic review and meta-analysis of resilience training programmes and interventions. BMJ Open 2018, 8, e017858. [Google Scholar] [CrossRef] [Green Version]
- Siegel, J.; Iida, H.; Rachlin, K.; Yount, G. Expressive Arts Therapy with Hospitalized Children: A Pilot Study of Co-Creating Healing Sock Creatures(c). J. Pediatr. Nurs. 2016, 31, 92–98. [Google Scholar] [CrossRef]
- Rosen, M. Art in Action: Expressive Arts Therapy and Social Action. Arts Psychother. 2011, 38, 363–364. [Google Scholar] [CrossRef]
- Luthar, S.S.; Cicchetti, D.; Becker, B. The construct of resilience: A critical evaluation and guidelines for future work. Child Dev. 2000, 71, 543–562. [Google Scholar] [CrossRef]
- Ge, L. A Hermeneutic Phenomenological Inquiry at a Canadian University. J. Int. Stud. 2021, 11, 586–607. [Google Scholar] [CrossRef]
- Scharp, K.M.; Wang, T.R.; Wolfe, B.H. Communicative Resilience of First-Generation College Students During the COVID-19 Pandemic. Hum. Commun. Res. 2022, 48, 1–30. [Google Scholar] [CrossRef]
- Chan, M.L.E.; Cheung, W.T.N.; Yeung, N.Y.D.; Kwok, F.P.A.; Wong, H.Y.R. An Evaluation Study of the “RESTART” Program—Short-Term Residential Treatment for Addiction. Int. J. Ment. Health Addict. 2018, 16, 1357–1372. [Google Scholar] [CrossRef]
- Hanevik, H.; Hestad, K.A.; Lien, L.; Teglbjaerg, H.S.; Danbolt, L.J. Expressive Art Therapy for Psychosis: A multiple Case Study. Arts Psychother. 2013, 40, 312–321. [Google Scholar] [CrossRef] [Green Version]
- Kim, J.-H. Effects of Integrated Art therapy Program on College students’ Emotions. Souteast Korea Danc. Soc. 2017, 5, 23–44. [Google Scholar]
- Kirsch, D.J.; Pinder-Amaker, S.L.; Morse, C.; Ellison, M.L.; Doerfler, L.A.; Riba, M.B. Population-Based Initiatives in College Mental Health: Students Helping Students to Overcome Obstacles. Curr. Psychiatry Rep. 2014, 16, 525. [Google Scholar] [CrossRef] [PubMed]
- Chilton, G.; Vaudreuil, R.; Freeman, E.K.; McLaughlan, N.; Herman, J.; Cozza, S.J. Creative Forces programming with military families: Art therapy, dance/movement therapy, and music therapy brief vignettes. J. Mil. Veteran Fam. Health 2021, 7, 104–113. [Google Scholar] [CrossRef]
- Gallo, L.M.H.; Giampietro, V.; Zunszain, P.A.; Tan, K.S. COVID-19 and Mental Health: Could Visual Art Exposure Help? Front. Psychol. 2021, 12, 650314. [Google Scholar] [CrossRef] [PubMed]
- Lee, S.; O’Neill, D.; Moss, H. Dementia-inclusive group-singing online during COVID-19: A qualitative exploration. Nord. J. Music. Ther. 2021, 10, 1–19. [Google Scholar] [CrossRef]
- Shao, S. Intervention Effect of Dance Therapy Based on the Satir Model on the mental health of Adolescents During the COVID-19 Epidemic. Psychiatr. Danub. 2021, 33, 411–417. [Google Scholar] [CrossRef]
- Tam, P.-C. Response to COVID-19 ‘Now I send you the rays of the sun’: A drama project to rebuild post-COVID-19 resilience for teachers and children in Hong Kong. Res. Drama Educ. J. Appl. Theatre Perform. 2020, 25, 631–637. [Google Scholar] [CrossRef]
- Betts, D.J. Art therapy assessments and rating instruments: Do they measure up? Arts Psychother. 2006, 33, 422–434. [Google Scholar] [CrossRef]
- Borsboom, D.; Cramer, A.O.J. Network Analysis: An Integrative Approach to the Structure of Psychopathology. In Annual Review of Clinical Psychology; NolenHoeksema, S., Ed.; Annual Reviews: Palo Alto, CA, USA, 2013; Volume 9, pp. 91–121. [Google Scholar]
- Van den Berg, J.W.; Smid, W.; Kossakowski, J.J.; van Beek, D.; Borsboom, D.; Janssen, E.; Gijs, L. The Application of Network Analysis to Dynamic Risk Factors in Adult Male Sex Offenders. Clin. Psychol. Sci. 2020, 8, 539–554. [Google Scholar] [CrossRef]
- Dalege, J.; Borsboom, D.; van Harreveld, F.; van den Berg, H.; Conner, M. Toward a Formalized Account of Attitudes: The Causal Attitude Network (CAN) Model. Psychol. Rev. 2016, 123, 2–22. [Google Scholar] [CrossRef] [PubMed]
- Yang, Y.; Huang, F.; Jiang, N. Development of the Resiliency Scale of University Students. Chin. J. Clin. Psychol. 2009, 17, 337–338. [Google Scholar]
- Wang, C.Y.; Pan, R.Y.; Wan, X.Y.; Tan, Y.L.; Xu, L.K.; McIntyre, R.S.; Choo, F.N.; Tran, B.; Ho, R.; Sharma, V.K.; et al. A longitudinal study on the mental health of general population during the COVID-19 epidemic in China. Brain Behav. Immun. 2020, 87, 40–48. [Google Scholar] [CrossRef] [PubMed]
- Zhang, K.T.; Lin, Z.T.; Peng, Y.X.; Li, L.P. A longitudinal study on psychological burden of medical students during COVID-19 outbreak and remission period in China. Eur. J. Psychiatry 2021, 35, 234–241. [Google Scholar] [CrossRef]
- Snow, S.; Bernardi, N.F.; Sabet-Kassouf, N.; Moran, D.; Lehmann, A. Exploring the Experience and Effects of Vocal Toning. J. Music. Ther. 2018, 55, 221–250. [Google Scholar] [CrossRef]
- Shim, M.; Johnson, R.B.; Gasson, S.; Goodill, S.; Jermyn, R.; Bradt, J. A model of dance/movement therapy for resilience-building in people living with chronic pain. Eur. J. Integr. Med. 2017, 9, 27–40. [Google Scholar] [CrossRef]
- Schmais, C. Healing-Processes in Group Dance Therapy. Am. J. Dance Ther. 1985, 8, 17–36. [Google Scholar] [CrossRef]
- Opsahl, T.; Agneessens, F.; Skvoretz, J. Node centrality in weighted networks: Generalizing degree and shortest paths. Soc. Netw. 2010, 32, 245–251. [Google Scholar] [CrossRef]
- Valente, T.W. Network Interventions. Science 2012, 337, 49–53. [Google Scholar] [CrossRef]
- Bringmann, L.F.; Elmer, T.; Epskamp, S.; Krause, R.W.; Schoch, D.; Wichers, M.; Wigman, J.T.W.; Snippe, E. What Do Centrality Measures Measure in Psychological Networks? J. Abnorm. Psychol. 2019, 128, 892–903. [Google Scholar] [CrossRef] [Green Version]
- Foygel, R.; Drton, M. Extended Bayesian Information Criteria for Gaussian Graphical Models. Adv. Neural Inf. Process. Syst. 2010, 23, 2020–2028. [Google Scholar]
- Epskamp, S.; Cramer, A.O.J.; Waldorp, L.J.; Schmittmann, V.D.; Borsboom, D. Qgraph: Network Visualizations of Relationships in Psychometric Data. J. Stat. Softw. 2012, 48, 1–18. [Google Scholar] [CrossRef] [Green Version]
- Jones, P.J.; Ma, R.F.; McNally, R.J. Bridge Centrality: A Network Approach to Understanding Comorbidity. Multivariate Behav. Res. 2021, 56, 353–367. [Google Scholar] [CrossRef] [PubMed]
- Costenbader, E.; Valente, T.W. The stability of centrality measures when networks are sampled. Soc. Netw. 2003, 25, 283–307. [Google Scholar] [CrossRef]
- Epskamp, S.; Borsboom, D.; Fried, E.I. Estimating psychological networks and their accuracy: A tutorial paper. Behav. Res. Methods 2018, 50, 195–212. [Google Scholar] [CrossRef] [Green Version]
- Wang, Y.Y.; Hu, Z.S.; Feng, Y.; Wilson, A.; Chen, R.S. Changes in network centrality of psychopathology symptoms between the COVID-19 outbreak and after peak. Mol. Psychiatry 2020, 25, 3140–3149. [Google Scholar] [CrossRef]
- Van Borkulo, C.D.; Van Bork, R.; Boschloo, L.; Kossakowski, J.J.; Tio, P.; Schoevers, R.A.; Borsboom, D.; Waldorp, L.J. Comparing network structures on three aspects: A permutation test. Psychol. Methods 2022. advance online publication. [Google Scholar] [CrossRef]
- Serlin, I.A. Dance/Movement Therapy: A Whole Person Approach to Working with Trauma and Building Resilience. Am. J. Danc. Ther. 2020, 42, 176–193. [Google Scholar] [CrossRef]
- Bandura, A. Self-efficacy-toward a unifying theory of behavioral change. Psychol. Rev. 1977, 84, 191–215. [Google Scholar] [CrossRef]
- Koch, S.C.; Mergheim, K.; Raeke, J.; Machado, C.B.; Riegner, E.; Nolden, J.; Diermayr, G.; von Moreau, D.; Hillecke, T.K. The Embodied Self in Parkinson’s Disease: Feasibility of a Single Tango Intervention for Assessing Changes in Psychological Health Outcomes and Aesthetic Experience. Front. Neurosci. 2016, 10, 287. [Google Scholar] [CrossRef] [Green Version]
- Testoni, I.; Cecchini, C.; Zulian, M.; Guglielmin, M.S.; Ronconi, L.; Kirk, K.; Berto, F.; Guardigli, C.; Cruz, A.S. Psychodrama in therapeutic communities for drug addiction: A study of four cases investigated using idiographic change process analysis. Arts Psychother. 2018, 61, 10–20. [Google Scholar] [CrossRef]
- Deygout, F.; Auburtin, G. Art therapy for elderly women diagnosed with Alzheimers: A positive person-centred approach increases ease in the care process. Ann. Med. Psychol. 2020, 178, 961–969. [Google Scholar] [CrossRef]
- Keisari, S.; Palgi, Y. Life-crossroads on stage: Integrating life review and drama therapy for older adults. Aging Ment. Health 2017, 21, 1079–1089. [Google Scholar] [CrossRef] [PubMed]
- Plexico, L.W.; Erath, S.; Shores, H.; Burrus, E. Self-acceptance, resilience, coping and satisfaction of life in people who stutter. J. Fluen. Disord. 2019, 59, 52–63. [Google Scholar] [CrossRef] [PubMed]
- Taylor, C.; Combs, A.W. Self-acceptance and Adjustment. J. Consult. Psychol. 1952, 16, 89–91. [Google Scholar] [CrossRef] [PubMed]
- Durlak, J.A.; Weissberg, R.P.; Dymnicki, A.B.; Taylor, R.D.; Schellinger, K.B. The Impact of Enhancing Students’ Social and Emotional Learning: A Meta-Analysis of School-Based Universal Interventions. Child Dev. 2011, 82, 405–432. [Google Scholar] [CrossRef]
- Jackson, N.A.; Gardstrom, S.C. Undergraduate Music Therapy Students’ Experiences as Clients in Short-Term Group Music Therapy. Music. Ther. Perspect. 2012, 30, 65–82. [Google Scholar] [CrossRef]
- Kim, J.N.; Grunig, J.E. Problem Solving and Communicative Action: A Situational Theory of Problem Solving. J. Commun. 2011, 61, 120–149. [Google Scholar] [CrossRef]
- Kleiboer, A.; Donker, T.; Seekles, W.; van Straten, A.; Riper, H.; Cuijpers, P. A randomized controlled trial on the role of support in Internet-based problem solving therapy for depression and anxiety. Behav. Res. Ther. 2015, 72, 63–71. [Google Scholar] [CrossRef]
- Senyurt, M.; Demiralp, M.; Ozmenler, N.; Acikel, C. The effect of psychoeducation on anger management and problem solving skills of the patients with post-traumatic stress disorder. Eur. Psychiatry 2016, 33, S216. [Google Scholar] [CrossRef]
- Morales-Rodriguez, F.M.; Perez-Marmol, J.M. The Role of Anxiety, Coping Strategies, and Emotional Intelligence on General Perceived Self-Efficacy in University Students. Front. Psychol. 2019, 10, 1689. [Google Scholar] [CrossRef] [PubMed] [Green Version]
- Park, S.-M. Effects of Art Therapy Group Counseling using Cartoons and Animations on Anxiety and Depression of High School Students. J. Arts Psychothreapy 2017, 13, 225–249. [Google Scholar]
- Jung-Sook, L. A Case Study of Integrative Psychotherapy for Children with Developmental Disorders using Expressive Art and Play. Korean J. Child Psychother. 2010, 5, 51–71. [Google Scholar]
- Roberts, B.W.; Luo, J.; Briley, D.A.; Chow, P.I.; Su, R.; Hill, P.L. A Systematic Review of Personality Trait Change Through Intervention. Psychol. Bull. 2017, 143, 117–141. [Google Scholar] [CrossRef] [PubMed]
- Digman, J.M. Higher-order factors of the big five. J. Personal. Soc. Psychol. 1997, 73, 1246–1256. [Google Scholar] [CrossRef]






| Variable | Wave 1 (Mean ± SD) | Wave 2 (Mean ± SD) | p | Cohen’d |
|---|---|---|---|---|
| SE | 3.72 (0.71) | 3.96 (0.71) | <0.001 | 0.34 |
| SA | 3.60 (0.87) | 3.94 (0.77) | <0.001 | 0.42 |
| ES | 3.18 (0.89) | 3.12 (0.86) | 0.431 | 0.07 |
| PS | 3.83 (0.70) | 4.02 (0.70) | 0.002 | 0.28 |
| SFRI | 4.04 (0.64) | 4.11 (0.68) | 0.24 | 0.10 |
| SFAM | 3.99 (0.81) | 4.08 (0.78) | 0.207 | 0.11 |
Publisher’s Note: MDPI stays neutral with regard to jurisdictional claims in published maps and institutional affiliations. |
© 2022 by the authors. Licensee MDPI, Basel, Switzerland. This article is an open access article distributed under the terms and conditions of the Creative Commons Attribution (CC BY) license (https://creativecommons.org/licenses/by/4.0/).
Share and Cite
Li, Y.; Peng, J. Evaluation of Expressive Arts Therapy on the Resilience of University Students in COVID-19: A Network Analysis Approach. Int. J. Environ. Res. Public Health 2022, 19, 7658. https://doi.org/10.3390/ijerph19137658
Li Y, Peng J. Evaluation of Expressive Arts Therapy on the Resilience of University Students in COVID-19: A Network Analysis Approach. International Journal of Environmental Research and Public Health. 2022; 19(13):7658. https://doi.org/10.3390/ijerph19137658
Chicago/Turabian StyleLi, Yue, and Jun Peng. 2022. "Evaluation of Expressive Arts Therapy on the Resilience of University Students in COVID-19: A Network Analysis Approach" International Journal of Environmental Research and Public Health 19, no. 13: 7658. https://doi.org/10.3390/ijerph19137658
APA StyleLi, Y., & Peng, J. (2022). Evaluation of Expressive Arts Therapy on the Resilience of University Students in COVID-19: A Network Analysis Approach. International Journal of Environmental Research and Public Health, 19(13), 7658. https://doi.org/10.3390/ijerph19137658

