Velocity Variability and Performance in Backstroke in Elite and Good-Level Swimmers
Abstract
1. Introduction
2. Materials and Methods
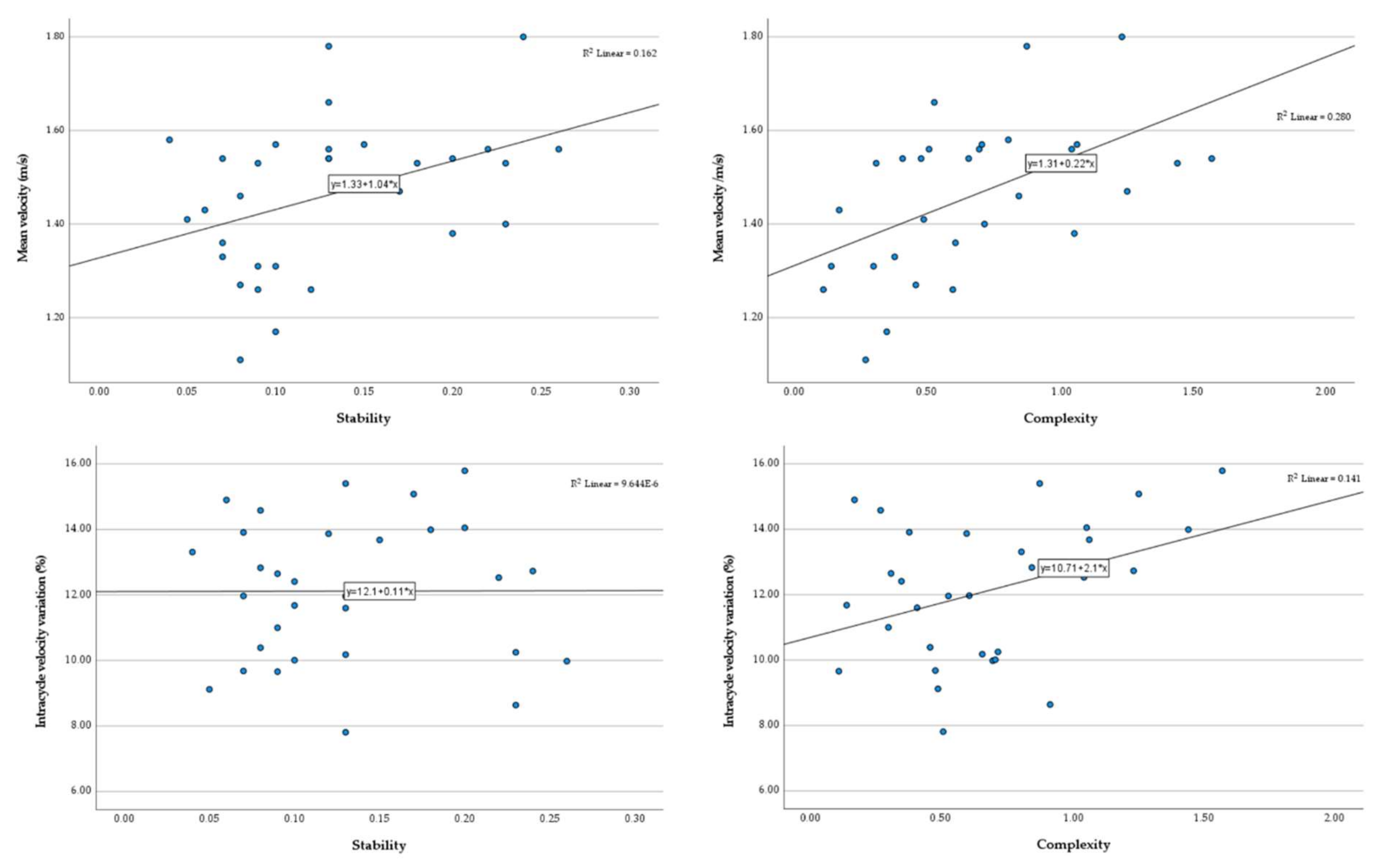
3. Results
4. Discussion
5. Conclusions
Author Contributions
Funding
Institutional Review Board Statement
Informed Consent Statement
Data Availability Statement
Conflicts of Interest
References
- Preatoni, E.; Hamill, J.; Harrison, A.J.; Hayes, K.; Van Emmerik, R.E.; Wilson, C.; Rodano, R. Movement variability and skills monitoring in sports. Sports Biomech. 2013, 12, 69–92. [Google Scholar] [CrossRef] [PubMed]
- Fernandes, A.; Mezencio, B.; Soares, S.; Carvalho, D.; Silva, A.; Vilas-Boas, J.P.; Fernandes, R.J. Intra- and inter-cycle velocity variations in sprint front crawl swimming. Sports Biomec 2022. Accepted for publication. [Google Scholar]
- Vieten, M.M.; Weich, C. The kinematics of cyclic human movement. PLoS ONE 2020, 15, e0225157. [Google Scholar] [CrossRef] [PubMed]
- Slifkin, A.B.; Newell, K.M. Is variability in human performance a reflection of system noise? Curr. Dir. Psychol. Sci. 1998, 7, 170–177. [Google Scholar] [CrossRef]
- Figueiredo, P.; Sanders, R.; Gorski, T.; Vilas-Boas, J.P.; Fernandes, R.J. Kinematic and electromyographic changes during 200 m front crawl at race pace. Int. J. Sports Med. 2013, 34, 49–55. [Google Scholar] [CrossRef] [PubMed]
- Morouço, P.G.; Barbosa, T.M.; Arellano, R.; Vilas-Boas, J.P. Intracyclic variation of force and swimming performance. Int. J. Sports Physiol. Perform. 2018, 13, 897–902. [Google Scholar] [CrossRef]
- Soncin, R.; Mezencio, B.; Ferreira, J.C.; Rodrigues, S.A.; Huebner, R.; Serrao, J.C.; Szmuchrowski, L. Determination of a quantitative parameter to evaluate swimming technique based on the maximal tethered swimming test. Sports Biomech. 2017, 16, 248–257. [Google Scholar] [CrossRef]
- Bideault, G.; Herault, R.; Seifert, L. Data modelling reveals inter-individual variability of front crawl swimming. J. Sci. Med. Sport 2013, 16, 281–285. [Google Scholar] [CrossRef]
- Seifert, L.; Leblanc, H.; Herault, R.; Komar, J.; Button, C.; Chollet, D. Inter-individual variability in the upper-lower limb breaststroke coordination. Hum. Mov. Sci. 2011, 30, 550–565. [Google Scholar] [CrossRef]
- Dadashi, F.; Millet, G.P.; Aminian, K. Front-crawl stroke descriptors variability assessment for skill characterisation. J. Sports Sci. 2016, 34, 1405–1412. [Google Scholar] [CrossRef]
- Martens, J.; Daly, D.; Deschamps, K.; Fernandes, R.J.P.; Staes, F. Intra-individual variability of surface electromyography in front crawl swimming. PLoS ONE. 2015, 10, e0144998. [Google Scholar] [CrossRef] [PubMed]
- Sanders, R.H.; Button, C.; McCabe, C.B. Variability of upper body kinematics in a highly constrained task—Sprint swimming. Eur. J. Sport Sci. 2020, 20, 624–632. [Google Scholar] [CrossRef] [PubMed]
- Gonjo, T.; Fernandes, R.J.; Vilas-Boas, J.P.; Sanders, R. Body roll amplitude and timing in backstroke swimming and their differences from front crawl at the same swimming intensities. Sci. Rep. 2021, 11, 824. [Google Scholar] [CrossRef] [PubMed]
- Barbosa, T.M.; Morouço, P.G.; Jesus, S.; Feitosa, W.G.; Costa, M.J.; Marinho, D.A.; Silva, A.J.; Garrido, N.D. The interaction between intra-cyclic variation of the velocity and mean swimming velocity in young competitive swimmers. Int. J. Sports Med. 2013, 34, 123–130. [Google Scholar] [CrossRef]
- Silva, A.; Figueiredo, P.; Seifert, L.; Soares, S.; Vilas-Boas, J.P.; Fernandes, R.J. Backstroke technical characterization of 11–13 year-old swimmers. J. Sports Sci. Med. 2013, 12, 623–629. [Google Scholar]
- Barbosa, T.M.; Goh, W.X.; Morais, J.E.; Costa, M.J. Variation of linear and nonlinear parameters in the swim strokes according to the level of expertise. Mot. Control 2017, 21, 312–326. [Google Scholar] [CrossRef]
- Lerda, R.; Cardelli, C. Analysis of stroke organization in the backstroke as a function of skill. Res. Q. Exerc. Sport 2003, 74, 215–219. [Google Scholar] [CrossRef]
- Gonjo, T.; Narita, K.; McCabe, C.; Fernandes, R.J.; Vilas-Boas, J.P.; Takagi, H.; Sanders, R. Front crawl is more efficient and has smaller active drag than backstroke swimming: Kinematic and kinetic comparison between the two techniques at the same swimming speeds. Front. Bioeng. Biotechnol. 2020, 8, 1134. [Google Scholar] [CrossRef]
- Mezêncio, B.; Pinho, J.P.; Huebner, R.; Vilas-Boas, J.P.; Amadio, A.C.; Serrão, J.C. Overall indexes of coordination in front crawl swimming. J. Sports Sci. 2020, 38, 910–917. [Google Scholar] [CrossRef]
- Fernandes, R.J.; Ribeiro, J.; Figueiredo, P.; Seifert, L.; Vilas-Boas, J.P. Kinematics of the hip and body center of mass in front crawl. J. Hum. Kinet. 2012, 33, 15–23. [Google Scholar] [CrossRef]
- Weir, J.P. Quantifying test-retest reliability using the intraclass correlation coefficient and the, SEM. J. Strength Cond. Res. 2005, 19, 231–240. [Google Scholar] [PubMed]
- Cortesi, M.; Fantozzi, S.; Gatta, G. Effects of distance specialization on the backstroke swimming kinematics. J. Sports Sci. Med. 2012, 11, 526–532. [Google Scholar]
- Chollet, D.; Seifert, L.M.; Carter, M. Arm coordination in elite backstroke swimmers. J. Sports Sci. 2008, 26, 675–682. [Google Scholar] [CrossRef] [PubMed]
- Figueiredo, P.; Silva, A.; Sampaio, A.; Vilas-Boas, J.P.; Fernandes, R.J. Front crawl sprint performance: A cluster analysis of biomechanics, energetics, coordinative, and anthropometric determinants in young swimmers. Mot. Control 2016, 20, 209–221. [Google Scholar] [CrossRef][Green Version]
- Matsuda, Y.; Yamada, Y.; Ikuta, Y.; Nomura, T.; Oda, S. Intracyclic velocity variation and arm coordination for different skilled swimmers in the front crawl. J. Hum. Kinet. 2014, 44, 67–74. [Google Scholar] [CrossRef] [PubMed][Green Version]
- Schnitzler, C.; Seifert, L.; Alberty, M.; Chollet, D. Hip velocity and arm coordination in front crawl swimming. Int. J. Sports Med. 2010, 31, 875–881. [Google Scholar] [CrossRef]
- Rosenstein, M.T.; Collins, J.J.; De Luca, C.J. A practical method for calculating largest Lyapunov exponents from small data sets. Phys. D Nonlinear Phenom. 1993, 65, 117–134. [Google Scholar] [CrossRef]
- Hegger, R.; Kantz, H.; Schreiber, T. Practical implementation of nonlinear time series methods: The TISEAN package. Chaos Interdiscip. J. Nonlinear Sci. 1999, 9, 413–435. [Google Scholar] [CrossRef]
- Richman, J.S.; Moorman, J.R. Physiological time-series analysis using approximate entropy and sample entropy. Am. J. Physiol. Heart Circ. Physiol. 2000, 278, H2039–H2049. [Google Scholar] [CrossRef]
- Davids, K.; Glazier, P.; Araujo, D.; Bartlett, R. Movement systems as dynamical systems: The functional role of variability and its implications for sports medicine. Sports Med. 2003, 33, 245–260. [Google Scholar] [CrossRef]
- Ribeiro, J.; Jesus, K.; Figueiredo, P.; Toussaint, H.; Guidetti, L.; Alves, F.; Vilas-Boas, J.P.; Fernandes, R.J. Biomechanical determinants of force production in front crawl swimming. J. Sports Med. Phys. Fit. 2013, 53, 30–37. [Google Scholar]
- Chollet, D.; Pelayo, P.; Tourny, C.; Sidney, M. Comparative analysis of 100 m and 200 m events in the four strokes in top level swimmers. J. Hum. Mov. Stu. 1996, 31, 25–37. [Google Scholar]
- Lerda, R.; Cardelli, C.; Coudereau, J.P. Backstroke organization in physical education students as a function of skill and sex. Percept. Mot. Ski. 2005, 100, 779–790. [Google Scholar] [CrossRef] [PubMed]
- Andrews, C.; Bakewell, J.; Scurr, J.C. Comparison of advanced and intermediate 200-m backstroke swimmers' dominant and non-dominant shoulder entry angles across various swimming speeds. J. Sports Sci. 2011, 29, 743–748. [Google Scholar] [CrossRef] [PubMed]
- Komar, J.; Seifert, L.; Thouvarecq, R. What variability tells us about motor expertise: Measurements and perspectives from a complex system approach. Mov. Sport Sci.-Sci. Mot. 2015, 89, 65–77. [Google Scholar] [CrossRef]
- Seifert, L.; Komar, J.; Barbosa, T.; Toussaint, H.; Millet, G.; Davids, K. Coordination pattern variability provides functional adaptations to constraints in swimming performance. Sports Med. 2014, 44, 1333–1345. [Google Scholar] [CrossRef] [PubMed]
- Seifert, L.; Jesus, K.; Komar, J.; Ribeiro, J.; Abraldes, J.A.; Figueiredo, P.; Vilas-Boas, J.P.; Fernandes, R.J. Behavioural variability and motor performance: Effect of practice specialization in front crawl swimming. Hum. Mov. Sci. 2016, 47, 141–150. [Google Scholar] [CrossRef]





| Variables | Elite | Good Level | Pooled Data | ||||||
|---|---|---|---|---|---|---|---|---|---|
| Female | Male | p | Female | Male | p | Elite | Good Level | p | |
| Age (years) | 15.9 ± 1.0 | 17.0 ± 0 | 0.05 | 15.1 ± 1.2 | 16.3 ± 1.3 | 0.11 | 16.2 ± 1.0 | 15.7 ± 1.3 | 0.29 |
| Height (cm) | 167.8 ± 2.7 | 177.5 ± 1.9 | 0.00 | 162.6 ± 6.9 | 177.5 ± 4.8 | 0.00 | 170.3 ± 5.0 | 170.5 ± 9.6 | 0.92 |
| Body mass (kg) | 57.8 ± 4.0 | 65.1 ± 3.8 | 0.00 | 54.7 ± 5.7 | 65.1 ± 10.2 | 0.03 | 59.6 ± 5.0 | 60.3 ± 9.7 | 0.81 |
| FINA points | 713 ± 117 | 709 ± 155 | 0.96 | 360 ± 53 | 353 ± 65 | 0.80 | 712 ± 122 | 356 ± 58 | 0.00 |
| Unstandardized Coefficients | Standardized Coefficients | 95% Confidence Interval | |||||
|---|---|---|---|---|---|---|---|
| B | Std Error | Beta | Lower Bound | Upper Bound | |||
| Mean velocity | (Constant) | 0.245 | 0.161 | −0.077 | 0.567 | ||
| Elite | Stroke rate | 1.490 | 0.191 | 1.002 | 1.108 | 1.872 | |
| 1st down sweep | 0.921 | 0.240 | 0.381 | 1.441 | 1.402 | ||
| Intracycle velocity variation | 0.009 | 0.003 | 0.305 | 0.003 | 0.015 | ||
| 2nd down sweep | −0.881 | 0.300 | −0.367 | −1.480 | −0.281 | ||
| Complexity | (Constant) | 1.854 | 0.828 | 0.197 | 3.511 | ||
| Intracycle velocity variation | 0.095 | 0.021 | 0.791 | 0.054 | 0.136 | ||
| Relative maximum velocity | −1.654 | 0.803 | −0.353 | −3.260 | −0.049 | ||
| Good level | Mean velocity | (Constant) | 0.493 | 0.087 | 0.321 | 0.665 | |
| Stroke rate | 1.132 | 0.115 | 0.720 | 0.904 | 1.361 | ||
| 1st up sweep | 0.368 | 0.105 | 0.256 | 0.159 | 0.578 | ||
| Complexity | (Constant) | 0.575 | 0.174 | 0.229 | 0.921 | ||
| 1st down sweep | −1.304 | 0.323 | −0.379 | −1.947 | −0.662 | ||
| 2nd down sweep | 2.161 | 0.761 | 0.282 | 0.648 | 3.674 | ||
| Recovery | −1.199 | 0.494 | −0.241 | −2.180 | −0.218 | ||
| Stability | (Constant) | 0.062 | 0.008 | 0.046 | 0.079 | ||
| Index of coordination | −0.179 | 0.066 | −0.274 | −0.309 | −0.048 | ||
Publisher’s Note: MDPI stays neutral with regard to jurisdictional claims in published maps and institutional affiliations. |
© 2022 by the authors. Licensee MDPI, Basel, Switzerland. This article is an open access article distributed under the terms and conditions of the Creative Commons Attribution (CC BY) license (https://creativecommons.org/licenses/by/4.0/).
Share and Cite
Fernandes, A.; Goethel, M.; Marinho, D.A.; Mezêncio, B.; Vilas-Boas, J.P.; Fernandes, R.J. Velocity Variability and Performance in Backstroke in Elite and Good-Level Swimmers. Int. J. Environ. Res. Public Health 2022, 19, 6744. https://doi.org/10.3390/ijerph19116744
Fernandes A, Goethel M, Marinho DA, Mezêncio B, Vilas-Boas JP, Fernandes RJ. Velocity Variability and Performance in Backstroke in Elite and Good-Level Swimmers. International Journal of Environmental Research and Public Health. 2022; 19(11):6744. https://doi.org/10.3390/ijerph19116744
Chicago/Turabian StyleFernandes, Aléxia, Márcio Goethel, Daniel A. Marinho, Bruno Mezêncio, João Paulo Vilas-Boas, and Ricardo Jorge Fernandes. 2022. "Velocity Variability and Performance in Backstroke in Elite and Good-Level Swimmers" International Journal of Environmental Research and Public Health 19, no. 11: 6744. https://doi.org/10.3390/ijerph19116744
APA StyleFernandes, A., Goethel, M., Marinho, D. A., Mezêncio, B., Vilas-Boas, J. P., & Fernandes, R. J. (2022). Velocity Variability and Performance in Backstroke in Elite and Good-Level Swimmers. International Journal of Environmental Research and Public Health, 19(11), 6744. https://doi.org/10.3390/ijerph19116744

