Mechanism of Dyspnea during Exercise in Children with Corrected Congenital Heart Disease
Abstract
1. Introduction
2. Materials and Methods
2.1. Subjects
- (1)
- Dyspnea with moderate exercises and belongs to class II of the functional categorization system of the New York Heart Association (NYHA);
- (2)
- Absence of other disabling diseases;
- (3)
- Ability to perform an exercise without an adverse cardiovascular disorder, such as arrhythmia. Subjects suffering from angina, aortic stenosis, a history of myocardial infarction, obstructive cardiomyopathy, or hypertension were not included in the study.
2.2. Protocol
2.3. The Cardiopulmonary Exercise Test
2.4. Six Minute Walk Test
2.5. Peripheral Skeletal Muscle Function Assessment
2.6. Dyspnea Measurements
2.7. Data Analysis
2.8. Statistical Analysis
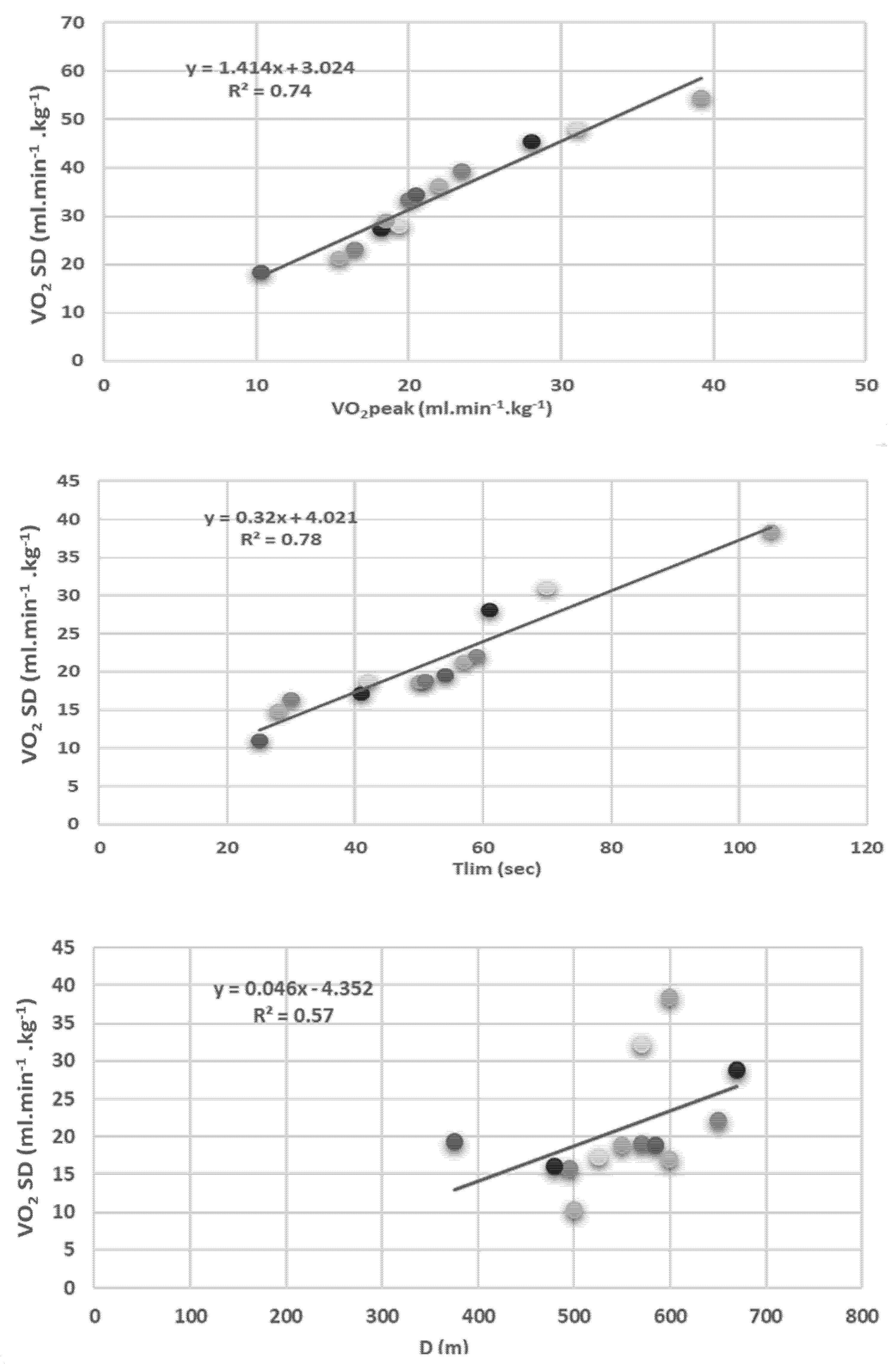
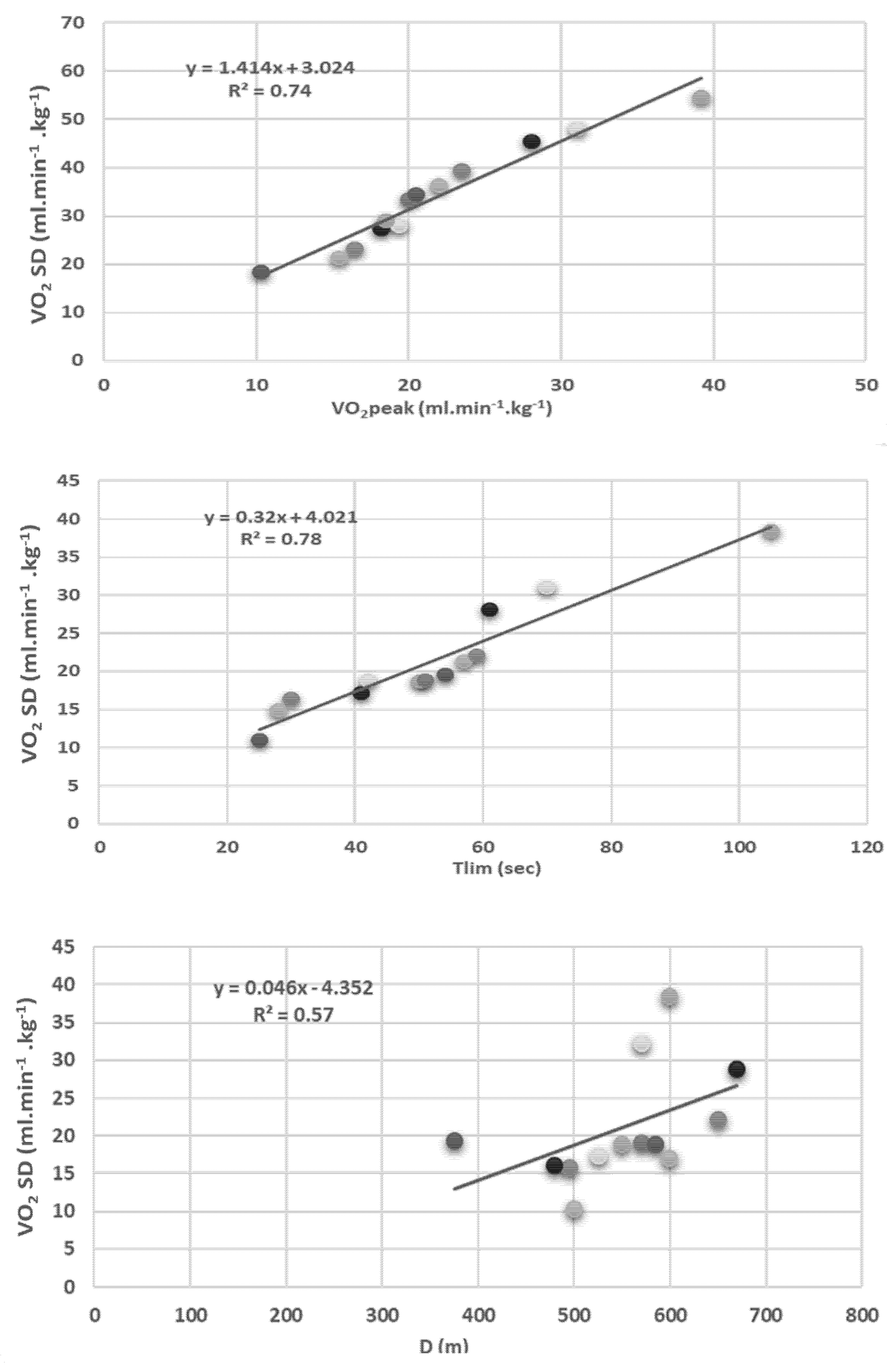
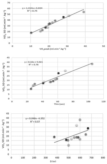
3. Results
4. Discussion
5. Study Limitations
6. Conclusions
Author Contributions
Funding
Institutional Review Board Statement
Informed Consent Statement
Acknowledgments
Conflicts of Interest
References
- Moola, F.; Faulkner, G.E.; Kirsh, J.A.; Kilburn, J. Physical activity and sport participation in youth with congenital heart disease: Perceptions of children and parents. Adapt. Phys. Act. Q. 2008, 25, 49–70. [Google Scholar] [CrossRef] [PubMed]
- Triedman, J.K.; Newburger, J.W. Trends in Congenital Heart Disease. Circulation 2016, 133, 2716–2733. [Google Scholar] [CrossRef] [PubMed]
- Demir, R.; Zeren, M.; Gurses, H.N.; Yigit, Z. Relationship of respiratory muscle strength, pulmonary function, and functional capacity with quality of life in patients with atrial fibrillation. J. Int. Med. Res. 2018, 46, 195–203. [Google Scholar] [CrossRef] [PubMed]
- Denfeld, Q.E.; Winters-Stone, K.; Mudd, J.O.; Hiatt, S.O.; Lee, C.S. Identifying a Relationship Between Physical Frailty and Heart Failure Symptoms. J. Cardiovasc. Nurs. 2018, 33, E1–E7. [Google Scholar] [CrossRef]
- Keller-Ross, M.L.; Larson, M.; Johnson, B.D. Skeletal Muscle Fatigability in Heart Failure. Front. Physiol. 2019, 10, 129. [Google Scholar] [CrossRef]
- Baumgartner, H.; Bonhoeffer, P.; De Groot, N.M.; de Haan, F.; Deanfield, J.E.; Galie, N.; Gatzoulis, M.A.; Gohlke-Baerwolf, C.; Kaemmerer, H.; Kilner, P.; et al. ESC Guidelines for the management of grown-up congenital heart disease (new version 2010). Eur. Heart J. 2010, 31, 2915–2957. [Google Scholar] [CrossRef]
- Del Buono, M.G.; Arena, R.; Borlaug, B.A.; Carbone, S.; Canada, J.M.; Kirkman, D.L.; Garten, R.; Rodriguez-Miguelez, P.; Guazzi, M.; Lavie, C.J.; et al. Exercise Intolerance in Patients With Heart Failure: JACC State-of-the-Art Review. J. Am. Coll. Cardiol. 2019, 73, 2209–2225. [Google Scholar] [CrossRef]
- Mantegazza, V.; Apostolo, A.; Hager, A. Cardiopulmonary Exercise Testing in Adult Congenital Heart Disease. Ann. Am. Thorac. Soc. 2017, 14, S93–S101. [Google Scholar] [CrossRef]
- Rhodes, J.; Ubeda Tikkanen, A.; Jenkins, K.J. Exercise testing and training in children with congenital heart disease. Circulation 2010, 122, 1957–1967. [Google Scholar] [CrossRef] [PubMed]
- Wirta, S.B.; Balas, B.; Proenca, C.C.; Bailey, H.; Phillips, Z.; Jackson, J.; Cotton, S. Perceptions of heart failure symptoms, disease severity, treatment decision-making, and side effects by patients and cardiologists: A multinational survey in a cardiology setting. Ther. Clin. Risk Manag. 2018, 14, 2265–2272. [Google Scholar] [CrossRef]
- Burstein, D.S.; Menachem, J.N.; Opotowsky, A.R. Exercise testing for assessment of heart failure in adults with congenital heart disease. Heart Fail. Rev. 2020, 25, 647–655. [Google Scholar] [CrossRef] [PubMed]
- Poole, D.C.; Richardson, R.S.; Haykowsky, M.J.; Hirai, D.M.; Musch, T.I. Exercise limitations in heart failure with reduced and preserved ejection fraction. J. Appl. Physiol. 2018, 124, 208–224. [Google Scholar] [CrossRef]
- Haykowsky, M.J.; Tomczak, C.R.; Scott, J.M.; Paterson, D.I.; Kitzman, D.W. Determinants of exercise intolerance in patients with heart failure and reduced or preserved ejection fraction. J. Appl. Physiol. 2015, 119, 739–744. [Google Scholar] [CrossRef]
- Sun, R.; Liu, M.; Lu, L.; Zheng, Y.; Zhang, P. Congenital Heart Disease: Causes, Diagnosis, Symptoms, and Treatments. Cell Biochem. Biophys. 2015, 72, 857–860. [Google Scholar] [CrossRef]
- American Thoracic Society. Dyspnea: Mechanisms, assessment, and management: A consensus statement. Am. J. Respir. Crit. Care Med. 1999, 159, 321–340. [Google Scholar] [CrossRef] [PubMed]
- Dubé, B.-P.; Agostoni, P.; Laveneziana, P. Exertional dyspnoea in chronic heart failure: The role of the lung and respiratory mechanical factors. Eur. Respir. Rev. 2016, 25, 317–332. [Google Scholar] [CrossRef] [PubMed]
- Dunlay, S.M.; Manemann, S.M.; Chamberlain, A.M.; Cheville, A.L.; Jiang, R.; Weston, S.A.; Roger, V.L. Activities of daily living and outcomes in heart failure. Circ. Heart Fail. 2015, 8, 261–267. [Google Scholar] [CrossRef] [PubMed]
- Fredriksen, P.M.; Therrien, J.; Veldtman, G.; Warsi, M.A.; Liu, P.; Siu, S.; Williams, W.; Granton, J.; Webb, G. Lung function and aerobic capacity in adult patients following modified Fontan procedure. Heart 2001, 85, 295–299. [Google Scholar] [CrossRef][Green Version]
- Takken, T.; Bongers, B.C.; van Brussel, M.; Haapala, E.A.; Hulzebos, E.H.J. Cardiopulmonary Exercise Testing in Pediatrics. Ann. Am. Thorac. Soc. 2017, 14, S123–S128. [Google Scholar] [CrossRef] [PubMed]
- Reddy, Y.N.V.; Olson, T.P.; Obokata, M.; Melenovsky, V.; Borlaug, B.A. Hemodynamic Correlates and Diagnostic Role of Cardiopulmonary Exercise Testing in Heart Failure With Preserved Ejection Fraction. JACC Heart Fail. 2018, 6, 665–675. [Google Scholar] [CrossRef]
- Dhakal, B.P.; Malhotra, R.; Murphy, R.M.; Pappagianopoulos, P.P.; Baggish, A.L.; Weiner, R.B.; Houstis, N.E.; Eisman, A.S.; Hough, S.S.; Lewis, G.D. Mechanisms of exercise intolerance in heart failure with preserved ejection fraction: The role of abnormal peripheral oxygen extraction. Circ. Heart Fail. 2015, 8, 286–294. [Google Scholar] [CrossRef] [PubMed]
- Kokkinos, P.F.; Choucair, W.; Graves, P.; Papademetriou, V.; Ellahham, S. Chronic heart failure and exercise. Am. Heart J. 2000, 140, 21–28. [Google Scholar] [CrossRef][Green Version]
- Weiss, K.; Schar, M.; Panjrath, G.S.; Zhang, Y.; Sharma, K.; Bottomley, P.A.; Golozar, A.; Steinberg, A.; Gerstenblith, G.; Russell, S.D.; et al. Fatigability, Exercise Intolerance, and Abnormal Skeletal Muscle Energetics in Heart Failure. Circ. Heart Fail. 2017, 10, e004129. [Google Scholar] [CrossRef]
- Clark, A.L.; Poole-Wilson, P.A.; Coats, A.J.S. Exercise limitation in chronic heart failure: Central role of the periphery. J. Am. Coll. Cardiol. 1996, 28, 1092–1102. [Google Scholar] [CrossRef]
- Harrington, D.; Anker, S.D.; Chua, T.P.; Webb-Peploe, K.M.; Ponikowski, P.P.; Poole-Wilson, P.A.; Coats, A.J.S. Skeletal Muscle Function and Its Relation to Exercise Tolerance in Chronic Heart Failure. J. Am. Coll. Cardiol. 1997, 30, 1758–1764. [Google Scholar] [CrossRef]
- Zizola, C.; Schulze, P.C. Metabolic and structural impairment of skeletal muscle in heart failure. Heart Fail. Rev. 2013, 18, 623–630. [Google Scholar] [CrossRef] [PubMed]
- Southern, W.M.; Ryan, T.E.; Kepple, K.; Murrow, J.R.; Nilsson, K.R.; McCully, K.K. Reduced skeletal muscle oxidative capacity and impaired training adaptations in heart failure. Physiol. Rep. 2015, 3, e12353. [Google Scholar] [CrossRef]
- Weavil, J.C.; Thurston, T.S.; Hureau, T.J.; Gifford, J.R.; Kithas, P.A.; Broxterman, R.M.; Bledsoe, A.D.; Nativi, J.N.; Richardson, R.S.; Amann, M. Heart failure with preserved ejection fraction diminishes peripheral hemodynamics and accelerates exercise-induced neuromuscular fatigue. Am. J. Physiol. Heart Circ. Physiol. 2021, 320, H338–H351. [Google Scholar] [CrossRef] [PubMed]
- Wasserman, K.; Hansen, J.; Sue, D.; Whipp, B.; Casaburi, R. Principles of Exercise Testing and Interpretation: Including Pathophysiology and Clinical Applications, 4th ed.; Lippincott Williams & Wilkins: Philadelphia, PA, USA, 2005; p. xvi. 585p. [Google Scholar]
- Armstrong, N.; Van Mechelen, W. (Eds.) Paediatric Exercise Science and Medicine; Oxford University Press: Oxford, UK; New York, NY, USA, 2008. [Google Scholar]
- Reybrouck, T.; Mertens, L.; Brusselle, S.; Weymans, M.; Eyskens, B.; Defoor, J.; Gewillig, M. Oxygen uptake versus exercise intensity: A new concept in assessing cardiovascular exercise function in patients with congenital heart disease. Heart 2000, 84, 46–52. [Google Scholar] [CrossRef][Green Version]
- Wasserman, K.; Stringer, W.W.; Casaburi, R.; Koike, A.; Cooper, C.B. Determination of the anaerobic threshold by gas exchange: Biochemical considerations, methodology and physiological effects. Z. Kardiol. 1994, 83 (Suppl. 3), 1–12. [Google Scholar]
- Hughes, J.; Bardell, D. Determination of reference intervals for equine arterial blood-gas, acid-base and electrolyte analysis. Vet. Anaesth. Analg. 2019, 46, 765–771. [Google Scholar] [CrossRef] [PubMed]
- Beaver, W.L.; Wasserman, K.; Whipp, B.J. A new method for detecting anaerobic threshold by gas exchange. J. Appl. Physiol. 1986, 60, 2020–2027. [Google Scholar] [CrossRef] [PubMed]
- Guyatt, G.H.; Sullivan, M.J.; Thompson, P.J.; Fallen, E.L.; Pugsley, S.O.; Taylor, D.W.; Berman, L.B. The 6-minute walk: A new measure of exercise capacity in patients with chronic heart failure. Can. Med. Assoc. J. 1985, 132, 919–923. [Google Scholar]
- ATS. Guidelines for the six-minute walk test. Am. J. Respir. Crit. Care Med. 2002, 166, 111–117. [Google Scholar] [CrossRef]
- Kellis, E.; Baltzopoulos, V. Isokinetic eccentric exercise. Sports Med. 1995, 19, 202–222. [Google Scholar] [CrossRef] [PubMed]
- Kellis, E.; Baltzopoulos, V. Muscle activation differences between eccentric and concentric isokinetic exercise. Med. Sci. Sports Exerc. 1998, 30, 1616–1623. [Google Scholar] [CrossRef] [PubMed]
- Minotti, J.R.; Pillay, P.; Chang, L.; Wells, L.; Massie, B.M. Neurophysiological assessment of skeletal muscle fatigue in patients with congestive heart failure. Circulation 1992, 86, 903–908. [Google Scholar] [CrossRef]
- Minotti, J.R.; Christoph, I.; Massie, B.M. Skeletal muscle function, morphology, and metabolism in patients with congestive heart failure. Chest 1992, 101, 333S–339S. [Google Scholar] [CrossRef] [PubMed]
- Minotti, J.R.; Pillay, P.; Oka, R.; Wells, L.; Christoph, I.; Massie, B.M. Skeletal muscle size: Relationship to muscle function in heart failure. J. Appl. Physiol. 1993, 75, 373–381. [Google Scholar] [CrossRef]
- Bausewein, C.; Farquhar, M.; Booth, S.; Gysels, M.; Higginson, I.J. Measurement of breathlessness in advanced disease: A systematic review. Respir. Med. 2007, 101, 399–410. [Google Scholar] [CrossRef]
- Faul, F.; Erdfelder, E.; Lang, A.G.; Buchner, A. G*Power 3: A flexible statistical power analysis program for the social, behavioral, and biomedical sciences. Behav. Res. Methods 2007, 39, 175–191. [Google Scholar] [CrossRef] [PubMed]
- Lakens, D. Calculating and reporting effect sizes to facilitate cumulative science: A practical primer for t-tests and ANOVAs. Front. Psychol. 2013, 4, 863. [Google Scholar] [CrossRef] [PubMed]
- ATS/ACCP. Statement on cardiopulmonary exercise testing. Am. J. Respir. Crit. Care Med. 2003, 167, 211–277. [Google Scholar] [CrossRef] [PubMed]
- Glaser, S.; Opitz, C.F.; Bauer, U.; Wensel, R.; Ewert, R.; Lange, P.E.; Kleber, F.X. Assessment of symptoms and exercise capacity in cyanotic patients with congenital heart disease. Chest 2004, 125, 368–376. [Google Scholar] [CrossRef]
- Diller, G.-P.; Dimopoulos, K.; Okonko, D.; Li, W.; Babu-Narayan, S.V.; Broberg, C.S.; Johansson, B.; Bouzas, B.; Mullen, M.J.; Poole-Wilson, P.A.; et al. Exercise Intolerance in Adult Congenital Heart Disease. Circulation 2005, 112, 828–835. [Google Scholar] [CrossRef] [PubMed]
- Diller, G.-P.; Okonko, D.O.; Clague, J.R.; Dimopoulos, K.; Babu-Narayan, S.; Broberg, C.; Sutton, R.; Gatzoulis, M.A. Chronotropic incompetence is prevalent in adult congenital heart disease patients, determines exercise capacity and identifies high risk patients. Heart Rhythm. 2005, 2, S170. [Google Scholar] [CrossRef]
- Laukkanen, J.A.; Kurl, S.; Salonen, J.T.; Lakka, T.A.; Rauramaa, R. Peak oxygen pulse during exercise as a predictor for coronary heart disease and all cause death. Heart 2006, 92, 1219–1224. [Google Scholar] [CrossRef]
- Rosenblum, O.; Katz, U.; Reuveny, R.; Williams, C.A.; Dubnov-Raz, G. Exercise Performance in Children and Young Adults After Complete and Incomplete Repair of Congenital Heart Disease. Pediatr. Cardiol. 2015, 36, 1573–1581. [Google Scholar] [CrossRef]
- Johnson, J.T.; Yetman, A.T. Cardiopulmonary exercise testing in adults with congenital heart disease. Prog. Pediatr. Cardiol. 2012, 34, 47–52. [Google Scholar] [CrossRef]
- Fernandes, S.M.; McElhinney, D.B.; Khairy, P.; Graham, D.A.; Landzberg, M.J.; Rhodes, J. Serial cardiopulmonary exercise testing in patients with previous Fontan surgery. Pediatr. Cardiol. 2010, 31, 175–180. [Google Scholar] [CrossRef]
- Inuzuka, R.; Diller, G.-P.; Borgia, F.; Benson, L.; Tay, E.L.W.; Alonso-Gonzalez, R.; Silva, M.; Charalambides, M.; Swan, L.; Dimopoulos, K.; et al. Comprehensive Use of Cardiopulmonary Exercise Testing Identifies Adults With Congenital Heart Disease at Increased Mortality Risk in the Medium Term. Circulation 2012, 125, 250–259. [Google Scholar] [CrossRef] [PubMed]
- McElroy, P.A.; Janicki, J.S.; Weber, K.T. Cardiopulmonary exercise testing in congestive heart failure. Am. J. Cardiol. 1988, 62, 35a–40a. [Google Scholar] [CrossRef]
- Reybrouck, T.; Rogers, R.; Weymans, M.; Dumoulin, M.; Vanhove, M.; Daenen, W.; Van der Hauwaert, L.; Gewillig, M. Serial cardiorespiratory exercise testing in patients with congenital heart disease. Eur. J. Pediatr. 1995, 154, 801–806. [Google Scholar] [CrossRef] [PubMed]
- Joyner, M.J. Congestive heart failure: More bad news from exercising muscle? Circulation 2004, 110, 2978–2979. [Google Scholar] [CrossRef]
- Pina, I.L.; Apstein, C.S.; Balady, G.J.; Belardinelli, R.; Chaitman, B.R.; Duscha, B.D.; Fletcher, B.J.; Fleg, J.L.; Myers, J.N.; Sullivan, M.J.; et al. Exercise and heart failure: A statement from the American Heart Association Committee on exercise, rehabilitation, and prevention. Circulation 2003, 107, 1210–1225. [Google Scholar] [CrossRef] [PubMed]
- Wilson, J.R. Exercise intolerance in heart failure. Importance of skeletal muscle. Circulation 1995, 91, 559–561. [Google Scholar] [CrossRef]
- Belardinelli, R.; Barstow, T.J.; Nguyen, P.; Wasserman, K. Skeletal Muscle Oxygenation and Oxygen Uptake Kinetics Following Constant Work Rate Exercise in Chronic Congestive Heart Failure. Am. J. Cardiol. 1997, 80, 1319–1324. [Google Scholar] [CrossRef]
- Chati, Z.; Zannad, F.; Jeandel, C.; Lherbier, B.; Escanye, J.-M.; Robert, J.; Aliot, E. Physical deconditioning may be a mechanism for the skeletal muscle energy phosphate metabolism abnormalities in chronic heart failure. Am. Heart J. 1996, 131, 560–566. [Google Scholar] [CrossRef]
- Sinoway, L.I.; Li, J. A perspective on the muscle reflex: Implications for congestive heart failure. J. Appl. Physiol. 2005, 99, 5–22. [Google Scholar] [CrossRef]
- Jondeau, G.; Katz, S.D.; Zohman, L.; Goldberger, M.; McCarthy, M.; Bourdarias, J.P.; LeJemtel, T.H. Active skeletal muscle mass and cardiopulmonary reserve. Failure to attain peak aerobic capacity during maximal bicycle exercise in patients with severe congestive heart failure. Circulation 1992, 86, 1351–1356. [Google Scholar] [CrossRef]
- Duppen, N.; Takken, T.; Hopman, M.T.; ten Harkel, A.D.; Dulfer, K.; Utens, E.M.; Helbing, W.A. Systematic review of the effects of physical exercise training programmes in children and young adults with congenital heart disease. Int. J. Cardiol. 2013, 168, 1779–1787. [Google Scholar] [CrossRef] [PubMed]
- Jones, N.L.; Killian, K.J. Exercise limitation in health and disease. N. Engl. J. Med. 2000, 343, 632–641. [Google Scholar] [CrossRef] [PubMed]
- Rampulla, C.; Baiocchi, S.; Dacosto, E.; Ambrosino, N. Dyspnea on exercise: Pathophysiologic mechanisms. Chest 1992, 101, 248S–252S. [Google Scholar] [CrossRef] [PubMed]

| Patients | Controls | p-Value | |
|---|---|---|---|
| n | 13 | 14 | |
| Anthropometric data | |||
| Age (year) | 14 ± 1 | 13 ± 2 | n. s. |
| Body mass (kg) | 53 ± 11 | 51.2 ± 8.7 | n. s. |
| Height (cm) | 162 ± 8 | 160.1 ± 8.8 | n. s. |
| BMI (kg−2) | 20.3 ± 0.7 | 19.8 ± 1.8 | n. s. |
| Diagnosis | |||
| PVA | 7 | ||
| TGA | 4 | ||
| TA | 2 | ||
| Patients | Controls | T test | |
|---|---|---|---|
| VO2 (mL·kg−1min−1) | 33.8 ± 8.9 | 46.7 ± 6.7 | p < 0.001 |
| HR (beat.min−1) | 174 ± 9 | 201 ± 10 | p < 0.001 |
| VO2/P (mL·min−1w−1) | 11.97 ± 2.37 | 11.2 ± 1.7 | NS |
| Power output (W) | 117 ± 27 | 223 ± 29 | p < 0.001 |
| VE (L·min−1) | 65.68 ± 15.91 | 106.4 ± 24.6 | p < 0.001 |
| VO2/HR (mL·min−1·beat−1) | 11.13 ± 0.59 | 11.32 ± 0.43 | NS |
| Patients | Controls | p-Value | |
|---|---|---|---|
| VO2 (mL·kg−1·min−1) | 19.2 ± 5.2 | 32.36 ± 6 | p < 0.001 |
| HR (beat·min−1) | 116 ± 11 | 164 ± 10 | p < 0.001 |
| P (W) | 48 ± 14 | 72 ± 21 | p < 0.01 |
| VE (mL·min−1) | 25.0 ± 6.2 | 36.4 ± 5 | p < 0.001 |
| VO2/HR (mL·kg−1·beat−1) | 8.9 ± 4.6 | 9.34 ± 5 | NS |
| VO2/P (mL.kg−1·W−1) | 13.52 ± 3.72 | 12,20 ± 3.5 | p < 0.001 |
| Patients | Controls | p-Value | |
|---|---|---|---|
| MVC (N/m) | 120.8 ± 41.9 | 186.26 ± 39.59 | p < 0.001 |
| Tlim (Sec) | 53 ± 21.4 | 67.64 ± 14.77 | p < 0.001 |
Publisher’s Note: MDPI stays neutral with regard to jurisdictional claims in published maps and institutional affiliations. |
© 2021 by the authors. Licensee MDPI, Basel, Switzerland. This article is an open access article distributed under the terms and conditions of the Creative Commons Attribution (CC BY) license (https://creativecommons.org/licenses/by/4.0/).
Share and Cite
Chlif, M.; Ammar, M.M.; Said, N.B.; Sergey, L.; Ahmaidi, S.; Alassery, F.; Hamam, H. Mechanism of Dyspnea during Exercise in Children with Corrected Congenital Heart Disease. Int. J. Environ. Res. Public Health 2022, 19, 99. https://doi.org/10.3390/ijerph19010099
Chlif M, Ammar MM, Said NB, Sergey L, Ahmaidi S, Alassery F, Hamam H. Mechanism of Dyspnea during Exercise in Children with Corrected Congenital Heart Disease. International Journal of Environmental Research and Public Health. 2022; 19(1):99. https://doi.org/10.3390/ijerph19010099
Chicago/Turabian StyleChlif, Mehdi, Mohamed Mustapha Ammar, Noureddine Ben Said, Levushkin Sergey, Said Ahmaidi, Fawaz Alassery, and Habib Hamam. 2022. "Mechanism of Dyspnea during Exercise in Children with Corrected Congenital Heart Disease" International Journal of Environmental Research and Public Health 19, no. 1: 99. https://doi.org/10.3390/ijerph19010099
APA StyleChlif, M., Ammar, M. M., Said, N. B., Sergey, L., Ahmaidi, S., Alassery, F., & Hamam, H. (2022). Mechanism of Dyspnea during Exercise in Children with Corrected Congenital Heart Disease. International Journal of Environmental Research and Public Health, 19(1), 99. https://doi.org/10.3390/ijerph19010099

