Evaluating How Mental Health Changed in Australia through the COVID-19 Pandemic: Findings from the ‘Taking the Pulse of the Nation’ (TTPN) Survey
Abstract
:1. Introduction
1.1. Measuring Mental Health
1.2. Ultra-Short Measures
1.3. Assessing Psychological Distress throughout the COVID-19 Pandemic
2. Materials and Methods
2.1. Participants and Procedure
2.2. Analytical Sample
2.3. Measures
- (a)
- K6 scale
- (b)
- TTPN mental distress measure
2.4. Comparison Sample
2.5. Statistical Analysis
3. Results
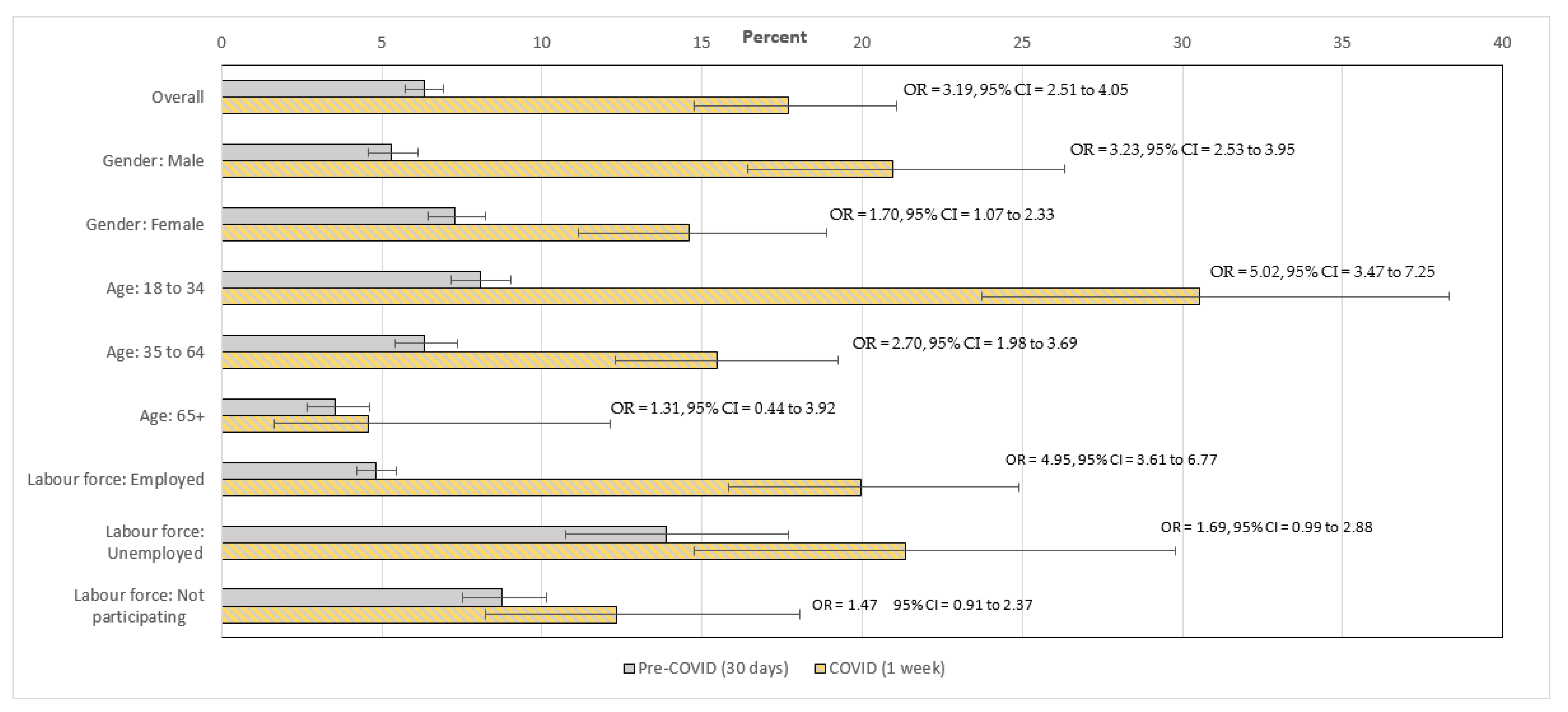
3.1. Estimating the Prevalence of Distress in 2019 and 2020
3.2. Association between Taking the Pulse of the Nation (TTPN) Single Distress Item and the K6
4. Discussion
5. Conclusions
Author Contributions
Funding
Institutional Review Board Statement
Informed Consent Statement
Data Availability Statement
Acknowledgments
Conflicts of Interest
References
- Holmes, E.A.; O’Connor, R.C.; Perry, V.H.; Tracey, I.; Wessely, S.; Arseneault, L.; Ballard, C.; Christensen, H.; Silver, R.C.; Everall, I.; et al. Multidisciplinary research priorities for the COVID-19 pandemic: A call for action for mental health science. Lancet Psychiatry 2020, 7, 547–560. [Google Scholar] [CrossRef]
- Pfefferbaum, B.; North, C.S. Mental Health and the Covid-19 Pandemic. N. Engl. J. Med. 2020, 383, 510–512. [Google Scholar] [CrossRef] [PubMed]
- Taquet, M.; Geddes, J.R.; Husain, M.; Luciano, S.; Harrison, P.J. 6-month neurological and psychiatric outcomes in 236 379 survivors of COVID-19: A retrospective cohort study using electronic health records. Lancet Psychiatry 2021, 8, 416–427. [Google Scholar] [CrossRef]
- Biddle, N.; Edwards, B.; Gray, M.; Sollis, K. Initial Impacts of COVID-19 on Mental Health in Australia; Australian National University: Canberra, ACT, Australia, 2020. [Google Scholar]
- Wooden, M. Responding to the COVID-19 Pandemic in the HILDA Survey; HILDA Project Discussion Paper No 1/20; Melbourne Institute, Applied Economic & Social Research, The University of Melbourne: Melbourne, VIC, Australia, 2020. [Google Scholar]
- Batterham, P.J.; Calear, A.L.; McCallum, S.M.; Morse, A.R.; Banfield, M.; Farrer, L.M.; Gulliver, A.; Cherbuin, N.; Harris, R.M.R.; Shou, Y.; et al. Trajectories of depression and anxiety symptoms during the COVID-19 pandemic in a representative Australian adult cohort. Med. J. Aust. 2021, 214, 462–468. [Google Scholar] [CrossRef]
- Fisher, J.; Tran, T.; Hammarberg, K.; Nguyen, H.; Stocker, R.; Rowe, H.; Sastri, J.; Popplestone, S.; Kirkman, M. Quantifying the mental health burden of the most severe covid-19 restrictions: A natural experiment. J. Affect. Disord. 2021, 293, 406–414. [Google Scholar] [CrossRef]
- Griffiths, D.; Sheehan, L.; van Vreden, C.; Petrie, D.; Grant, G.; Whiteford, P.; Sim, M.R.; Collie, A. The Impact of Work Loss on Mental and Physical Health During the COVID-19 Pandemic: Baseline Findings from a Prospective Cohort Study. J. Occup. Rehabil. 2021, 31, 455–462. [Google Scholar] [CrossRef] [PubMed]
- Broadway, B.; Payne, A.A.; Salamanca, N. Coping with COVID-19: Rethinking Australia; Melbourne Institute, Applied Economic & Social Research: Melbourne, VIC, Australia, 2020. [Google Scholar]
- Kessler, R.C.; Andrews, G.; Colpe, L.J.; Hiripi, E.; Mroczek, D.K.; Normand, S.L.; Walters, E.E.; Zaslavsky, A.M. Short screening scales to monitor population prevalences and trends in non-specific psychological distress. Psychol. Med. 2002, 32, 959–976. [Google Scholar] [CrossRef]
- Kessler, R.C.; Green, J.G.; Gruber, M.J.; Sampson, N.A.; Bromet, E.; Cuitan, M.; Furukawa, T.A.; Gureje, O.; Hinkov, H.; Hu, C.-Y.; et al. Screening for serious mental illness in the general population with the K6 screening scale: Results from the WHO World Mental Health (WMH) survey initiative. Int. J. Methods Psychiatr. Res. 2010, 19 (Suppl. 1), 4–22. [Google Scholar] [CrossRef] [PubMed] [Green Version]
- Sunderland, M.; Mahoney, A.; Andrews, G. Investigating the Factor Structure of the Kessler Psychological Distress Scale in Community and Clinical Samples of the Australian Population. J. Psychopathol. Behav. Assess. 2012, 34, 253–259. [Google Scholar] [CrossRef]
- Kessler, R.C.; Barker, P.R.; Colpe, L.J.; Epstein, J.F.; Gfroerer, J.C.; Hiripi, E.; Howes, M.J.; Normand, S.-L.; Manderscheid, R.W.; Walters, E.E.; et al. Screening for Serious Mental Illness in the General Population. Arch. Gen. Psychiatry 2003, 60, 184–189. [Google Scholar] [CrossRef]
- Slade, T.; Grove, R.; Burgess, P. Kessler Psychological Distress Scale: Normative Data from the 2007 Australian National Survey of Mental Health and Wellbeing. Aust. N. Z. J. Psychiatry 2011, 45, 308–316. [Google Scholar] [CrossRef] [PubMed]
- Australian Bureau of Statistics (ABS). National Health Survey: First Results, 2017–18 (ABS Cat. No. 4364.0.55.001); Australian Bureau of Statistics ABS: Canberra, ACT, Australia, 2018.
- Wooden, M. Use of the Kessler Psychological Distress Scale in the HILDA Survey; HILDA Project Discussion Paper Series No. 2/09; Melbourne Institute, Applied Economic & Social Research: Melbourne, VIC, Australia, 2009. [Google Scholar]
- Butterworth, P.; Watson, N.; Wooden, M. Trends in the Prevalence of Psychological Distress Over Time: Comparing Results From Longitudinal and Repeated Cross-Sectional Surveys. Front. Psychiatry 2020, 11, 595696. [Google Scholar] [CrossRef]
- Hays, R.D.; Schalet, B.D.; Spritzer, K.L.; Cella, D. Two-item PROMIS® global physical and mental health scales. J. Patient-Reported Outcomes 2017, 1, 1–5. [Google Scholar] [CrossRef] [PubMed] [Green Version]
- Carey, M.; Jones, K.; Yoong, S.L.; D’Este, C.; Boyes, A.; Paul, C.; Inder, K.J.; Sanson-Fisher, R. Comparison of a single self-assessment item with the PHQ-9 for detecting depression in general practice. Fam. Pract. 2014, 31, 483–489. [Google Scholar] [CrossRef] [PubMed]
- Mitchell, A.J.; Coyne, J.C. Do ultra-short screening instruments accurately detect depression in primary care? A pooled analysis and meta- analysis of 22 studies. Br. J. Gen. Pract. 2007, 57, 144–151. [Google Scholar] [PubMed]
- Hughes, K.L.; Sargeant, H.; Hawkes, A.L. Acceptability of the Distress Thermometer and Problem List to community-based telephone cancer helpline operators, and to cancer patients and carers. BMC Cancer 2011, 11, 46. [Google Scholar] [CrossRef] [PubMed] [Green Version]
- MacKenzie, L.; Carey, M.; Suzuki, E.; Yoshimura, M.; Toi, M.; D’Este, C.; Sanson-Fisher, R. A cross-sectional study of agreement between the Hospital Anxiety and Depression Scale and patient- and radiation oncologist-reported single-item assessment of depression and anxiety. Psycho-Oncology 2018, 27, 1840–1846. [Google Scholar] [CrossRef] [PubMed]
- Turon, H.; Carey, M.; Boyes, A.; Hobden, B.; Dilworth, S.; Sanson-Fisher, R. Agreement between a single-item measure of anxiety and depression and the Hospital Anxiety and Depression Scale: A cross-sectional study. PLoS ONE 2019, 14, e0210111. [Google Scholar] [CrossRef] [Green Version]
- Keding, A.; Böhnke, J.R.; Croudace, T.J.; Richmond, S.J.; MacPherson, H. Validity of single item responses to short message service texts to monitor depression: An mHealth sub-study of the UK ACUDep trial. BMC Med Res. Methodol. 2015, 15, 56. [Google Scholar] [CrossRef] [Green Version]
- Richmond, S.J.; Keding, A.; Hover, M.; Gabe, R.; Cross, B.; Torgerson, D.; MacPherson, H. Feasibility, acceptability and validity of SMS text messaging for measuring change in depression during a randomised controlled trial. BMC Psychiatry 2015, 15, 1–13. [Google Scholar] [CrossRef] [PubMed] [Green Version]
- Van Rijsbergen, G.D.; Burger, H.; Hollon, S.D.; Elgersma, H.J.; Kok, G.D.; Dekker, J.; de Jong, P.; Bockting, C.L. How do you feel? Detection of recurrent Major Depressive Disorder using a single-item screening tool. Psychiatry Res. 2014, 220, 287–293. [Google Scholar] [CrossRef] [PubMed]
- Donker, T.; van Straten, A.; Marks, I.; Cuijpers, P. Brief self-rated screening for depression on the Internet. J. Affect. Disord. 2010, 122, 253–259. [Google Scholar] [CrossRef] [PubMed]
- Donker, T.; van Straten, A.; Marks, I.; Cuijpers, P. Quick and easy self-rating of Generalized Anxiety Disorder: Validity of the Dutch web-based GAD-7, GAD-2 and GAD-SI. Psychiatry Res. 2011, 188, 58–64. [Google Scholar] [CrossRef] [PubMed]
- Hegel, M.T.; Collins, E.D.; Kearing, S.; Gillock, K.L.; Moore, C.P.; Ahles, T.A. Sensitivity and specificity of the Distress Thermometer for depression in newly diagnosed breast cancer patients. Psycho-Oncology 2007, 17, 556–560. [Google Scholar] [CrossRef] [PubMed]
- Kroenke, K.; Stump, T.E.; Kean, J.; Talib, T.L.; Haggstrom, D.A.; Monahan, P.O. PROMIS 4-item measures and numeric rating scales efficiently assess SPADE symptoms compared with legacy measures. J. Clin. Epidemiol. 2019, 115, 116–124. [Google Scholar] [CrossRef] [PubMed]
- Lefèvre, T.; Singh-Manoux, A.; Stringhini, S.; Dugravot, A.; Lemogne, C.; Consoli, S.M.; Goldberg, M.; Zins, M.; Nabi, H. Usefulness of a single-item measure of depression to predict mortality: The GAZEL prospective cohort study. Eur. J. Public Health 2012, 22, 643–647. [Google Scholar] [CrossRef] [PubMed] [Green Version]
- Mackenzie, L.J.; Carey, M.L.; Sanson-Fisher, R.; D’Este, C.A.; Paul, C.L.; Yoong, S.L. Agreement between HADS classifications and single-item screening questions for anxiety and depression: A cross-sectional survey of cancer patients. Ann. Oncol. 2014, 25, 889–895. [Google Scholar] [CrossRef] [PubMed]
- Skoogh, J.; Ylitalo, N.; Omerov, P.; Hauksdóttir, A.; Nyberg, U.; Wilderäng, U.; Johansson, B.; Gatz, M.; Steineck, G. ‘A no means no’—measuring depression using a single-item question versus Hospital Anxiety and Depression Scale (HADS-D). Ann. Oncol. 2010, 21, 1905–1909. [Google Scholar] [CrossRef]
- Ahmad, F.; Jhajj, A.K.; E Stewart, D.; Burghardt, M.; Bierman, A.S. Single item measures of self-rated mental health: A scoping review. BMC Health Serv. Res. 2014, 14, 1–11. [Google Scholar] [CrossRef] [Green Version]
- Bowling, A. Just one question: If one question works, why ask several? J. Epidemiol. Community Health 2005, 59, 347–348. [Google Scholar] [CrossRef] [Green Version]
- Patel, D.; Sharpe, L.; Thewes, B.; Bell, M.L.; Clarke, S. Using the distress thermometer and hospital anxiety and depression scale to screen for psychosocial morbidity in patients diagnosed with colorectal cancer. J. Affect. Disord. 2011, 131, 412–416. [Google Scholar] [CrossRef] [PubMed]
- Stobart, A.; Duckett, S. Australia’s Response to COVID-19. Health Econ. Policy Law 2021, 1–12. [Google Scholar] [CrossRef]
- National Comorbidity Survey (NBS). K10 and K6 Scales. 2021. Available online: https://www.hcp.med.harvard.edu/ncs/k6_scales.php (accessed on 1 June 2021).
- Batterham, P.J.; Sunderland, M.; Carragher, N.; Calear, A.; Mackinnon, A.J.; Slade, T. The Distress Questionnaire-5: Population screener for psychological distress was more accurate than the K6/K10. J. Clin. Epidemiol. 2016, 71, 35–42. [Google Scholar] [CrossRef]
- Summerfield, M.; Garrard, B.; Hahn, M.; Jin, Y.; Kamath, R.; Macalalad, N.; Watson, N.; Wilkins, R.; Wooden, M. HILDA User Manual—Release 19; Melbourne Institute of Applied Economic and Social Research, The University of Melbourne: Melbourne, VIC, Australia, 2020. [Google Scholar]
- Tomitaka, S.; Kawasaki, Y.; Ide, K.; Akutagawa, M.; Yamada, H.; Ono, Y.; Furukawa, T.A. Characteristic distribution of the total and individual item scores on the Kessler Screening Scale for Psychological Distress (K6) in US adults. BMC Psychiatry 2017, 17, 290. [Google Scholar] [CrossRef] [Green Version]
- Fischer, J.E.; Bachmann, L.M.; Jaeschke, R. A readers’ guide to the interpretation of diagnostic test properties: Clinical example of sepsis. Intensiv. Care Med. 2003, 29, 1043–1051. [Google Scholar] [CrossRef] [Green Version]
- Pierce, M.; Hope, H.; Ford, T.; Hatch, S.; Hotopf, M.; John, A.; Kontopantelis, E.; Webb, R.; Wessely, S.; McManus, S.; et al. Mental health before and during the COVID-19 pandemic: A longitudinal probability sample survey of the UK population. Lancet Psychiatry 2020, 7, 883–892. [Google Scholar] [CrossRef]
- Chandola, T.; Kumari, M.; Booker, C.L.; Benzeval, M.J. The mental health impact of COVID-19 and lockdown-related stressors among adults in the UK. Psychol. Med. 2020, 1–10. [Google Scholar] [CrossRef] [PubMed]
- Twenge, J.M.; Joiner, T.E. Mental distress among U.S. adults during the COVID-19 pandemic. J. Clin. Psychol. 2020, 76, 2170–2182. [Google Scholar] [CrossRef] [PubMed]
- Batterham, P.J.; Sunderland, M.; Carragher, N.; Calear, A. Psychometric Properties of 7- and 30-Day Versions of the PROMIS Emotional Distress Item Banks in an Australian Adult Sample. Assessment 2019, 26, 249–259. [Google Scholar] [CrossRef] [PubMed]



| Pre-COVID | COVID | ||||
|---|---|---|---|---|---|
| HILDA Survey 2019 | TTPN 2020 Wave 13 | ||||
| Characteristic | Number | Percent | Number | Percent | Test of Unweighted Difference |
| Analysis sample | 15,226 | 100 | 1150 | 100 | |
| Gender | |||||
| Men | 7136 | 46.9 | 572 | 49.7 | χ2(1) = 3.54, p = 0.06 |
| Women | 8090 | 53.1 | 578 | 50.2 | |
| Age group | |||||
| 18–24 years | 1721 | 4.3 | 108 | 9.4 | χ2(6) = 39.75, p < 0.001 |
| 25–34 years | 3053 | 20.1 | 191 | 16.6 | |
| 35–44 years | 2360 | 15.5 | 204 | 17.7 | |
| 45–54 years | 2384 | 15.7 | 213 | 18.5 | |
| 55–64 years | 2477 | 16.3 | 200 | 17.4 | |
| 65–74 years | 1910 | 12.5 | 174 | 15.1 | |
| 75 years + | 1321 | 8.7 | 60 | 5.2 | |
| Location | |||||
| Metropolitan | 9630 | 63.7 | 677 | 58.9 | χ2(1) = 10.84, p = 0.001 |
| Rural | 5481 | 36.3 | 473 | 41.1 | |
| Labour force status | |||||
| Employed | 9819 | 64.5 | 631 | 54.9 | χ2(2) = 188.3, p < 0.001 |
| Unemployed | 520 | 3.4 | 139 | 12.1 | |
| Not in the labour force | 4887 | 32.1 | 380 | 33.0 | |
| TTPN Mental distress | |||||
| No | - | 957 | 83.2 | ||
| Yes | 193 | 16.8 | |||
| K6 Mental distress | |||||
| No | 14,368 | 93.7 | 974 | 84.7 | χ2(1) = 125.29, p < 0.001 |
| Yes | 958 | 6.3 | 176 | 15.3 | |
| Cut-Point | Sensitivity | Specificity | Accurately Classified | Positive Predictive Validity | Negative Predictive Validity | |
|---|---|---|---|---|---|---|
| ≥1 | (none of the time) | 100.0 | 0 | 15.2 | 15.4 | 0 |
| – | - | (13.3–17.6) | (13.3–17.6) | - | ||
| ≥2 | (a little of the time) | 99.4 | 37.2 | 46.8 | 22.3 | 99.7 |
| (96.9–99.9) | (34.1–40.4) | (43.9–49.7) | (19.5–25.4) | (98.5–99.9) | ||
| ≥3 | (some of the time) | 95.5 | 68.7 | 72.8 | 35.6 | 98.8 |
| (91.3–98.0) | (65.7–71.6) | (70.1–75.3) | (31.3–40.1) | (97.7–99.5) | ||
| ≥4 | (most of the time) | 71.3 | 93.0 | 89.6 | 64.8 | 94.7 |
| (64.1–77.9) | (91.2–94.5) | (87.7–91.3) | (57.7–71.5) | (93.1–96.0) | ||
| ≥5 | (all of the time) | 27.5 | 99.3 | 88.3 | 87.5 | 88.3 |
| (21.1–34.7) | (98.5–99.7) | (86.3–90.1) | (75.9–94.8) | (86.2–90.1) | ||
| Base Model | Model 1 (Gender Interaction) | Model 2 (Age Interaction) | Model 3 (Area Interaction) | Model 4 (Labour Force Status Interaction) | |
|---|---|---|---|---|---|
| Measure (ref = K6) | 1.32 | 1.78 | 0.77 | 1.23 | 1.06 |
| (0.92–1.87) | (1.06–3.00) | (0.43–1.37) | (0.79–1.93) | (0.67—1.67) | |
| Female (ref = Male) | 2.23 | 3.05 | 2.26 | 2.23 | 2.24 |
| (1.17–4.24) | (1.43–6.49) | (1.18–4.33) | (1.17–4.25) | (1.17–4.27) | |
| Age (ref = 18–34 years) | |||||
| Age 35–64 | 0.20 | 0.20 | 0.14 | 0.20 | 0.20 |
| (0.10–0.42) | (0.10–0.42) | (0.06–0.32) | (0.10–0.42) | (0.10–0.42) | |
| Age 65+ | 0.02 | 0.01 | 0.00 | 0.01 | 0.01 |
| (0.01–0.05) | (0.01–0.05) | (0.00–0.02) | (0.01–0.05) | (0.01–0.05) | |
| Location (ref = metropolitan) | |||||
| Rural | 0.59 | 0.59 | 0.58 | 0.54 | 0.59 |
| (0.31–1.14) | (0.30–1.14) | (0.30–1.14) | (0.25–1.16) | (0.30–1.14) | |
| Labour force status (ref = employed) | |||||
| Unemployed | 2.08 | 2.09 | 2.10 | 2.08 | 1.46 |
| (0.82–5.28) | (0.82–5.35) | (0.81–5.43) | (0.82–5.29) | (0.49–4.36) | |
| NILF | 2.02 | 2.02 | 2.03 | 2.02 | 1.58 |
| (0.86–4.71) | (0.86–4.75) | (0.86–4.81) | (0.86–4.72) | (0.60–4.16) | |
| Female × Measure | 0.56 | ||||
| (0.27–1.14) | |||||
| Age 35–64 × Measure | 2.07 | ||||
| (0.97–4.45) | |||||
| Age 75+ × Measure | 5.67 | ||||
| (1.39–23.12) | |||||
| Location (Rural) × Measure | 1.19 | ||||
| (0.58–2.47) | |||||
| Unemployed × Measure | 1.95 | ||||
| (0.71–5.36) | |||||
| NILF × Measure | 1.59 | ||||
| (0.68–3.72) | |||||
| Log-likelihood | 2.68 | 8.15 | 0.25 | 2.41 | |
| Prob > | 0.10 | 0.02 | 0.62 | 0.30 |
Publisher’s Note: MDPI stays neutral with regard to jurisdictional claims in published maps and institutional affiliations. |
© 2022 by the authors. Licensee MDPI, Basel, Switzerland. This article is an open access article distributed under the terms and conditions of the Creative Commons Attribution (CC BY) license (https://creativecommons.org/licenses/by/4.0/).
Share and Cite
Botha, F.; Butterworth, P.; Wilkins, R. Evaluating How Mental Health Changed in Australia through the COVID-19 Pandemic: Findings from the ‘Taking the Pulse of the Nation’ (TTPN) Survey. Int. J. Environ. Res. Public Health 2022, 19, 558. https://doi.org/10.3390/ijerph19010558
Botha F, Butterworth P, Wilkins R. Evaluating How Mental Health Changed in Australia through the COVID-19 Pandemic: Findings from the ‘Taking the Pulse of the Nation’ (TTPN) Survey. International Journal of Environmental Research and Public Health. 2022; 19(1):558. https://doi.org/10.3390/ijerph19010558
Chicago/Turabian StyleBotha, Ferdi, Peter Butterworth, and Roger Wilkins. 2022. "Evaluating How Mental Health Changed in Australia through the COVID-19 Pandemic: Findings from the ‘Taking the Pulse of the Nation’ (TTPN) Survey" International Journal of Environmental Research and Public Health 19, no. 1: 558. https://doi.org/10.3390/ijerph19010558
APA StyleBotha, F., Butterworth, P., & Wilkins, R. (2022). Evaluating How Mental Health Changed in Australia through the COVID-19 Pandemic: Findings from the ‘Taking the Pulse of the Nation’ (TTPN) Survey. International Journal of Environmental Research and Public Health, 19(1), 558. https://doi.org/10.3390/ijerph19010558

