Acute Stress in Health Workers during Two Consecutive Epidemic Waves of COVID-19
Abstract
:1. Introduction
2. Materials and Methods
2.1. Participants
- Group I: A total of 109 frontline health workers (33.6 ± 7.9 years old, 60 women and 49 men), among 204 candidates who had previously completed psychological evaluations during the first epidemic wave in order to assess posttraumatic stress disorder [32] and kept their position in the same hospital.
- Group II: A total of 29 frontline health workers (34.0 ± 8.7 years old, 22 women and 7 men), who accepted to participate in the study during the second epidemic wave, but were not invited to participate in the previous study (in the first wave). They also kept their position in the same hospital during the two epidemic waves.
2.2. Procedures
- While the clinical departments were reconfigured for COVID-19 and working teams were reorganized (7 to 16 April 2020);
- During the peak of inpatient admissions of the first epidemic wave (30 April to 24 May 2020);
- Before clinical departments were re-opened for patients with diseases other than COVID-19 (17 to 30 July 2020);
- During the peak of inpatient admissions of the second epidemic wave (7 to 28 December 2020);
- Before clinical departments were re-opened for patients with diseases other than COVID-19, and during COVID-19 vaccination for health workers (26 January to 19 February 2021).
- During the peak of inpatient admissions of the second epidemic wave (7 to 28 December 2020) (evaluation 4 in Group I);
- Before clinical departments were re-opened for patients with diseases other than COVID-19, and during COVID-19 vaccination for health workers (26 January to 19 February 2021) (evaluation 5 in Group I).
2.3. Analysis
3. Results
3.1. Characteristics of the Participants
- Group I: This group was composed of 62 (56.8%) clinical workers, 13 (11.9%) technical and laboratory workers, and 12 (11%) support workers. A total of 14 (12.8%) reported smoking tobacco and 71 (65.1%) reported alcohol use; a total of 15 (13.7%) reported morbidities, including thyroid disorders (n = 6, 5.5%), high blood pressure (n = 4, 3.6%), and asthma (n = 3, 2.7%), and none of the participants reported psychiatric disorders.
- Group II: This group was composed of 24 (82.7%) clinical workers, 4 (13.7%) technical and laboratory workers, and 1 (3.4%) support worker. A total of 2 (6.8%) reported smoking tobacco and 21 (72.4%) reported alcohol use; two (8.8%) reported morbidities, which were thyroid disease (n = 1, 4.4%) and anxiety disorder (n = 1, 4.4%).
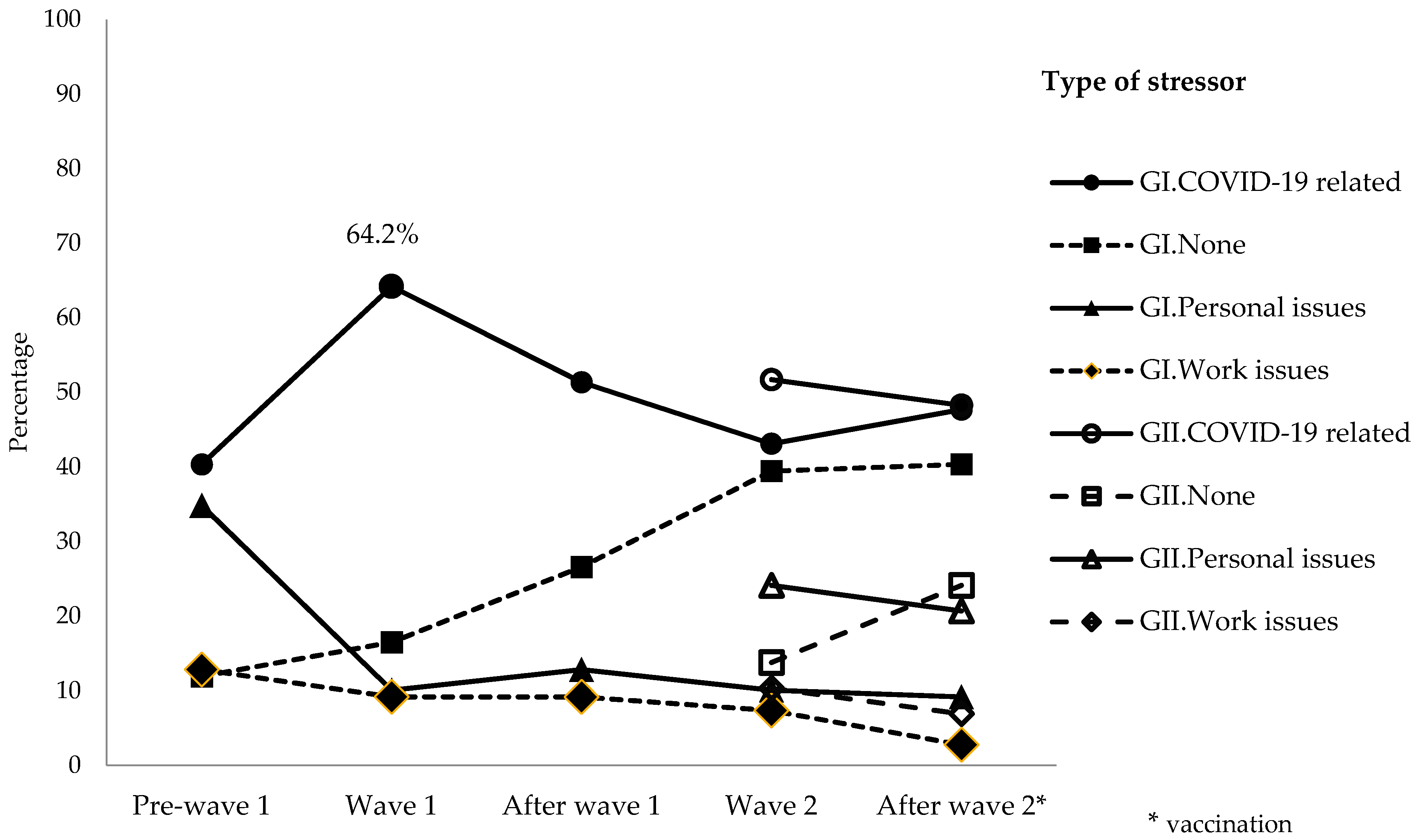
3.2. Comparisons According to the Time of Inclusion in the Study (Group I vs. Group II)
3.3. Frequency of Infections by SARS-CoV-2 and Comparisons According to Infection
3.4. Simple Correlations among Inventory Scores
3.5. Changes through Time in Each Inventory Score
- Burnout Measure: The lowest score was observed after the first epidemic wave and the highest at the peak of the second epidemic wave (Friedman’s ANOVA, X2 = 13.54, p = 0.008).
- Depersonalization/Derealization Inventory: The lowest score was observed after the first epidemic wave and the highest at the peak of the second epidemic wave (Friedman’s ANOVA, X2 = 14.89, p = 0.004).
- Pittsburgh Sleep Quality Index: The lowest score was observed after the second wave and the highest at the peak of the first epidemic wave (Friedman’s ANOVA, X2 = 21.22, p < 0.0003).
- STAIsv: The lowest score was observed before the peak of the first epidemic wave and the highest at the peak of the first epidemic wave (Friedman’s ANOVA, X2 = 26.91, p < 0.00002).
- Stanford Acute Stress Questionnaire: The lowest score was observed after the second wave and the highest at the peak of the first epidemic wave (Friedman’s ANOVA, X2 = 25.14, p < 0.00005).
3.6. Acute Stress at Each Time Point of Evaluation
- In evaluation 1, before the peak of the first epidemic wave, the score on the Stanford Acute Stress Questionnaire was related to age (i.e., younger participants had higher scores than older participants), and to the scores on the Pittsburgh Sleep Quality Index, the Depersonalization/Derealization Inventory, and the Burnout Measure (Table 4) (Intercept Estimate 2.67 ± Standard Error 0.39, Wald Statistic 47.06, p < 0.0001).
- In evaluation 2, at the peak of the first epidemic wave, the Stanford Acute Stress Questionnaire was related to the scores on the Depersonalization/Derealization Inventory and the Burnout Measure (Table 4) (Intercept Estimate 1.42 ± 0.47, Wald Statistic 9.23, p = 0.002).
- In evaluation 3, after the first epidemic wave, the Stanford Acute Stress Questionnaire was related to the scores on the Pittsburgh Sleep Quality Index and the Depersonalization/Derealization Inventory (Table 4) (Intercept Estimate 2.07 ± 0.43, Wald Statistic 22.74, p < 0.0001).
- In evaluation 4, at the second epidemic wave, the Stanford Acute Stress Questionnaire was related to occupation, with an interaction between SARS-CoV-2 infections and occupation, and to the scores on the Pittsburgh Sleep Quality Index, the Depersonalization/Derealization Inventory, the STAIsv, and the Burnout Measure (Table 4) (Intercept Estimate 2.00 ± 0.44, Wald Statistic 19.93, p < 0.0001).
- In evaluation 5, after the second epidemic wave, the Stanford Acute Stress Questionnaire was related to age, the cumulative cases of SARS-CoV-2 infections, and occupation, with an interaction between SARS-CoV-2 infections and occupation, and to the scores on the Pittsburgh Sleep Quality Index, the Depersonalization/Derealization Inventory, and the Burnout Measure (Table 4) (Intercept Estimate 2.41 ± 0.47, Wald Statistic 26.36, p < 0.0001).
4. Discussion
5. Conclusions
Author Contributions
Funding
Institutional Review Board Statement
Informed Consent Statement
Data Availability Statement
Conflicts of Interest
Appendix A

Appendix B
Appendix B.1. Inventories Administered at the Time of Inclusion in the Study
Appendix B.2. Inventories Administered during All Follow-Ups
References
- Mora, F.; Segovia, G.; Del Arco, A.; De Blas, M.; Garrido, P. Stress, neurotransmitters, corticosterone and body-brain integration. Brain Res. 2012, 1476, 71–85. [Google Scholar] [CrossRef] [PubMed]
- Selye, H. A Syndrome Produced by Diverse Nocuous Agents. J. Neuropsychiatry Clin. Neurosci. 1998, 10, 230a–231. [Google Scholar] [CrossRef] [PubMed] [Green Version]
- McEwen, B.S. Physiology and Neurobiology of Stress and Adaptation: Central Role of the Brain. Physiol. Rev. 2007, 87, 873–904. [Google Scholar] [CrossRef] [PubMed] [Green Version]
- Fiksdala, A.; Hanlina, L.; Kurasa, Y.; Gianferantea, D.; Chena, X.; Thomab, M.V.; Rohleder, N. Associations between symptoms of depression and anxiety and cortisol responses to and recovery from acute stress. Psychoneuroendocrinology 2019, 102, 44–52. [Google Scholar] [CrossRef]
- McEwen, B.S.; Gray, J.D.; Nasca, C. Recognizing resilience: Learning from the effects of stress on the brain. Neurobiol. Stress 2015, 1, 1–11. [Google Scholar] [CrossRef] [Green Version]
- Koopman, C.; Classen, C.; Cardeña, E.; Spiegel, D. When disaster strikes, acute stress disorder may follow. J. Trauma. Stress 1995, 8, 29–46. [Google Scholar] [CrossRef]
- Regehr, C.; Leblanc, V.R. PTSD, Acute Stress, Performance and Decision-Making in Emergency Service Workers. J. Am. Acad. Psychiatry Law 2017, 45, 184–192. [Google Scholar]
- Starcke, K.; Wolf, O.T.; Markowitsch, H.J.; Brand, M. Anticipatory stress influences decision making under explicit risk conditions. Behav. Neurosci. 2008, 122, 1352–1360. [Google Scholar] [CrossRef] [Green Version]
- Raio, C.M.; Konova, A.B.; Otto, A.R. Trait impulsivity and acute stress interact to influence choice and decision speed during multi-stage decision-making. Sci. Rep. 2020, 10, 7754. [Google Scholar] [CrossRef]
- González-Cabrera, J.M.; Fernández-Prada, M.; Iribar, C.; Molina-Ruano, R.; Salinero-Bachiller, M.; Peinado, J.M. Acute Stress and Anxiety in Medical Residents on the Emergency Department Duty. Int. J. Environ. Res. Public Health 2018, 15, 506. [Google Scholar] [CrossRef] [Green Version]
- De Berker, A.O.; Rutledge, R.; Mathys, C.; Marshall, L.; Cross, G.F.; Dolan, R.J.; Bestmann, S. Computations of uncertainty mediate acute stress responses in humans. Nat. Commun. 2016, 7, 10996. [Google Scholar] [CrossRef] [Green Version]
- Sanghera, J.; Pattani, N.; Hashmi, Y.; Varley, K.F.; Cheruvu, M.S.; Bradley, A.; Burke, J.R. The impact of SARS-CoV-2 on the mental health of healthcare workers in a hospital setting-A Systematic Review. J Occup. Health 2020, 62, e12175. [Google Scholar] [CrossRef]
- Murata, S.; Rezeppa, T.; Thoma, B.; Marengo, L.; Krancevich, K.; Chiyka, E.; Hayes, B.; Goodfriend, E.; Deal, M.; Zhong, Y.; et al. The psychiatric sequelae of the COVID-19 pandemic in adolescents, adults, and health care workers. Depress. Anxiety 2021, 38, 233–246. [Google Scholar] [CrossRef] [PubMed]
- Ghebreyesus, T.A. Addressing mental health needs: An integral part of COVID-19 response. World Psychiatry 2020, 19, 129–130. [Google Scholar] [CrossRef]
- Giorgi, G.; Lecca, L.I.; Alessio, F.; Finstad, G.L.; Bondanini, G.; Lulli, L.G.; Arcangeli, G.; Mucci, N. COVID-19-Related Mental Health Effects in the Workplace: A Narrative Review. Int. J. Environ. Res. Public Health 2020, 17, 7857. [Google Scholar] [CrossRef]
- Pappa, S.; Ntella, V.; Giannakas, T.; Giannakoulis, V.G.; Papoutsi, E.; Katsaounou, P. Prevalence of depression, anxiety, and insomnia among healthcare workers during the COVID-19 pandemic: A systematic review and meta-analysis. Brain Behav. Immun. 2020, 88, 901–907. [Google Scholar] [CrossRef]
- Vanhaecht, K.; Seys, D.; Bruyneel, L.; Cox, B.; Kaesemans, G.; Cloet, M.; Broeck, K.V.D.; Cools, O.; De Witte, A.; Lowet, K.; et al. COVID-19 is having a destructive impact on health-care workers’ mental well-being. Int. J. Qual. Health Care 2021, 33, mzaa158. [Google Scholar] [CrossRef]
- Marvaldi, M.; Mallet, J.; Dubertret, C.; Moro, M.R.; Guessoum, S.B. Anxiety, depression, trauma-related, and sleep disorders among healthcare workers during the COVID-19 pandemic: A systematic review and meta-analysis. Neurosci. Biobehav. Rev. 2021, 126, 252–264. [Google Scholar] [CrossRef] [PubMed]
- Young, K.P.; Kolcz, D.L.; O’Sullivan, D.M.; Ferrand, J.; Fried, J.; Robinson, K. Health Care Workers’ Mental Health and Quality of Life During COVID-19: Results From a Mid-Pandemic, National Survey. Psychiatr. Serv. 2021, 72, 122–128. [Google Scholar] [CrossRef]
- Serrano-Ripoll, M.J.; Meneses-Echavez, J.F.; Ricci-Cabello, I.; Fraile-Navarro, D.; Fiol-deRoque, M.A.; Pastor-Moreno, G.; Castro, A.; Ruiz-Pérez, I.; Zamanillo Campos, R.; Gonçalves-Bradley, D.C. Impact of viral epidemic outbreaks on mental health of healthcare workers: A rapid systematic review and meta-analysis. J. Affect. Disord. 2020, 277, 347–357. [Google Scholar] [CrossRef] [PubMed]
- Ibar, C.; Fortuna, F.; Gonzalez, D.; Jamardo, J.; Jacobsen, D.; Pugliese, L.; Giraudo, L.; Ceres, V.; Mendoza, C.; Repetto, E.M.; et al. Evaluation of stress, burnout and hair cortisol levels in health workers at a University Hospital during COVID-19 pandemic. Psychoneuroendocrinology 2021, 128, 105213. [Google Scholar] [CrossRef] [PubMed]
- Harrison, K.L.; Dzeng, E.; Ritchie, C.S.; Shanafelt, T.D.; Kamal, A.H.; Bull, J.H.; Tilburt, J.C.; Swetz, K.M. Addressing Palliative Care Clinician Burnout in Organizations: A Workforce Necessity, an Ethical Imperative. J. Pain Symptom Manag. 2017, 53, 1091–1096. [Google Scholar] [CrossRef] [PubMed] [Green Version]
- Krystal, J.H. Responding to the hidden pandemic for healthcare workers: Stress. Nat. Med. 2020, 26, 639. [Google Scholar] [CrossRef]
- Barello, S.; Palamenghi, L.; Graffigna, G. Stressors and Resources for Healthcare Professionals During the COVID-19 Pandemic: Lesson Learned From Italy. Front. Psychol. 2020, 11, 2179. [Google Scholar] [CrossRef]
- Adams, J.G.; Walls, R.M. Supporting the Health Care Workforce During the COVID-19 Global Epidemic. JAMA 2020, 323, 1439. [Google Scholar] [CrossRef] [Green Version]
- El-Hage, W.; Hingray, C.; Lemogne, C.; Yrondi, A.; Brunault, P.; Bienvenu, T.; Etain, B.; Paquet, C.; Gohier, B.; Bennabi, D.; et al. Health professionals facing the coronavirus disease 2019 (COVID-19) pandemic: What are the mental health risks? Encephale 2020, 46, S73–S80. [Google Scholar] [CrossRef] [PubMed]
- Evanoff, B.A.; Strickland, J.R.; Dale, A.M.; Hayibor, L.; Page, E.; Duncan, J.G.; Kannampallil, T.; Gray, D.L. Work-Related and Personal Factors Associated With Mental Well-Being During the COVID-19 Response: Survey of Health Care and Other Workers. J. Med. Internet Res. 2020, 22, e21366. [Google Scholar] [CrossRef]
- Shanafelt, T.; Ripp, J.; Trockel, M. Understanding and Addressing Sources of Anxiety Among Health Care Professionals During the COVID-19 Pandemic. JAMA 2020, 323, 2133. [Google Scholar] [CrossRef]
- Dhabhar, F.S. The short-term stress response—Mother nature’s mechanism for enhancing protection and performance under conditions of threat, challenge, and opportunity. Front. Neuroendocr. 2018, 49, 175–192. [Google Scholar] [CrossRef]
- Fiest, K.M.; Leigh, J.P.; Krewulak, K.D.; Plotnikoff, K.M.; Kemp, L.G.; Ng-Kamstra, J.; Stelfox, H.T. Experiences and management of physician psychological symptoms during infectious disease outbreaks: A rapid review. BMC Psychiatry 2021, 21, 91. [Google Scholar] [CrossRef]
- Phiri, P.; Ramakrishnan, R.; Rathod, S.; Elliot, K.; Thayanandan, T.; Sandle, N.; Haque, N.; Chau, S.W.; Wong, O.W.; Chan, S.S.; et al. An evaluation of the mental health impact of SARS-CoV-2 on patients, general public and healthcare professionals: A systematic review and meta-analysis. EClinicalMedicine 2021, 34, 100806. [Google Scholar] [CrossRef]
- Miguel-Puga, J.A.; Cooper-Bribiesca, D.; Avelar-Garnica, F.J.; Sanchez-Hurtado, L.A.; Colin-Martínez, T.; Espinosa-Poblano, E.; Anda-Garay, J.C.; González-Díaz, J.I.; Segura-Santos, O.B.; Vital-Arriaga, L.C.; et al. Burnout, depersonalization, and anxiety contribute to post-traumatic stress in frontline health workers at COVID-19 patient care, a follow-up study. Brain Behav. 2020, 11, e02007. [Google Scholar] [CrossRef] [PubMed]
- Zigmond, A.S.; Snaith, R.P. The Hospital Anxiety and Depression Scale. Acta Psychiatr. Scand. 1983, 67, 361–370. [Google Scholar] [CrossRef] [PubMed] [Green Version]
- Bernstein, E.M.; Putnam, F.W. Development, Reliability, and Validity of a Dissociation Scale. J. Nerv. Ment. Dis. 1986, 174, 727–735. [Google Scholar] [CrossRef] [PubMed]
- Connor, K.M.; Davidson, J.R.T.; Lee, L.-C. Spirituality, resilience, and anger in survivors of violent trauma: A community survey. J. Trauma. Stress 2003, 16, 487–494. [Google Scholar] [CrossRef] [PubMed]
- Malach-Pines, A. The Burnout Measure, Short Version. Int. J. Stress Manag. 2005, 12, 78–88. [Google Scholar] [CrossRef]
- Cox, B.J.; Swinson, R.P. Instrument to assess depersonalization-derealization in panic disorder. Depress. Anxiety 2002, 15, 172–175. [Google Scholar] [CrossRef]
- Buysse, D.J.; Reynolds, C.F., III; Monk, T.H.; Berman, S.R.; Kupfer, D.J. The Pittsburgh sleep quality index: A new instrument for psychiatric practice and research. Psychiatry Res. 1989, 28, 193–213. [Google Scholar] [CrossRef]
- Marteau, T.M.; Bekker, H. The development of a six-item short-form of the state scale of the Spielberger State—Trait Anxiety Inventory (STAI). Br. J. Clin. Psychol. 1992, 31, 301–306. [Google Scholar] [CrossRef]
- Cardeña, E.; Koopman, C.; Classen, C.; Waelde, L.; Spiegel, D. Psychometric properties of the Stanford Acute Stress Reaction Questionnaire (SASRQ): A valid and reliable measure of acute stress. J. Trauma. Stress 2000, 13, 719–734. [Google Scholar] [CrossRef]
- Magnavita, N.; Soave, P.M.; Antonelli, M. A One-Year Prospective Study of Work-Related Mental Health in the Intensivists of a COVID-19 Hub Hospital. Int. J. Environ. Res. Public Health 2021, 18, 9888. [Google Scholar] [CrossRef] [PubMed]
- Cag, Y.; Erdem, H.; Gormez, A.; Ankarali, H.; Hargreaves, S.; Ferreira-Coimbra, J.; Rubulotta, F.; Belliato, M.; Berger-Estilita, J.; Pelosi, P.; et al. Anxiety among front-line health-care workers supporting patients with COVID-19: A global survey. Gen. Hosp. Psychiatry 2021, 68, 90–96. [Google Scholar] [CrossRef]
- Perez-Arce, F.; Angrisani, M.; Bennett, D.; Darling, J.; Kapteyn, A.; Thomas, K. COVID-19 vaccines and mental distress. PLoS ONE 2021, 16, e0256406. [Google Scholar] [CrossRef]
- Endler, N.S.; Kocovski, N.L. State and trait anxiety revisited. J. Anxiety Disord. 2001, 15, 231–245. [Google Scholar] [CrossRef]
- Spielberger, C.D. Anxiety, cognition and affect: A state-trait perspective. In Anxiety and the Anxiety Disorders; Tuma, A.H., Maser, J.D., Eds.; Lawrence Erlbaum Associates, Inc.: Hillsdale, NJ, USA, 1985. [Google Scholar]
- Grillon, C.; Duncko, R.; Covington, M.F.; Kopperman, L.; Kling, M. Acute Stress Potentiates Anxiety in Humans. Biol. Psychiatry 2007, 62, 1183–1186. [Google Scholar] [CrossRef] [Green Version]
- Daviu, N.; Bruchas, M.R.; Moghaddam, B.; Sandi, C.; Beyeler, A. Neurobiological links between stress and anxiety. Neurobiol. Stress 2019, 11, 100191. [Google Scholar] [CrossRef] [PubMed]
- Chen, Y.; Fenoglio, K.A.; Dubé, C.M.; Grigoriadis, D.E.; Baram, T.Z. Cellular and molecular mechanisms of hippocampal activation by acute stress are age-dependent. Mol. Psychiatry 2006, 11, 992–1002. [Google Scholar] [CrossRef] [PubMed] [Green Version]
- Hansen, M.C.; Ghafoori, B. Correlates of psychological distress among urban trauma-exposed adults: Influence of age and coping preferences. Psychol. Trauma Theory Res. Pract. Policy 2017, 9, 85–92. [Google Scholar] [CrossRef]
- Shahrour, G.; Dardas, L.A. Acute stress disorder, coping self-efficacy and subsequent psychological distress among nurses amid COVID-19. J. Nurs. Manag. 2020, 28, 1686–1695. [Google Scholar] [CrossRef]
- Carles Serdà, B.; Aymerich, M.; Patiño-Masó, J.; Cunill, M. Mental Health Screening of Healthcare Professionals Who Are Candidates for Psychological Assistance during the COVID-19 Pandemic. Int. J. Environ. Res. Public Health 2021, 18, 11167. [Google Scholar] [CrossRef]
- Mira, J.J.; Carrillo, I.; Guilabert, M.; Mula, A.; Martin-Delgado, J.; Pérez-Jover, M.V.; Vicente, M.A.; Fernández, C. Acute stress of the healthcare workforce during the COVID-19 pandemic evolution: A cross-sectional study in Spain. BMJ Open 2020, 10, e042555. [Google Scholar] [CrossRef] [PubMed]
- Chew, N.W.S.; Lee, G.K.H.; Tan, B.Y.Q.; Jing, M.; Goh, Y.; Ngiam, N.J.H.; Yeo, L.L.L.; Ahmad, A.; Ahmed Khan, F.; Napolean Shanmugam, G.N.; et al. A multinational, multicentre study on the psychological outcomes and associated physical symptoms amongst healthcare workers during COVID-19 outbreak. Brain Behav. Immun. 2020, 88, 559–565. [Google Scholar] [CrossRef]
- Koolhaas, J.; Bartolomucci, A.; Buwalda, B.; de Boer, S.; Flügge, G.; Korte, S.M.; Meerlo, P.; Murison, R.; Olivier, B.; Palanza, P.; et al. Stress revisited: A critical evaluation of the stress concept. Neurosci. Biobehav. Rev. 2011, 35, 1291–1301. [Google Scholar] [CrossRef] [PubMed]
- Cameron, H.A.; Schoenfeld, T.J. Behavioral and structural adaptations to stress. Front. Neuroendocr. 2018, 49, 106–113. [Google Scholar] [CrossRef]
- Giesbrecht, T.; Smeets, T.; Merckelbach, H.; Jelicic, M. Depersonalization Experiences in Undergraduates Are Related to Heightened Stress Cortisol Responses. J. Nerv. Ment. Dis. 2007, 195, 282–287. [Google Scholar] [CrossRef] [PubMed]
- Spiegel, D. Trauma, dissociation, and memory. Ann. N. Y. Acad. Sci. 1997, 821, 225–237. [Google Scholar] [CrossRef]
- Wilson, M.E.; Beesley, S.; Grow, A.; Rubin, E.; Hopkins, R.O.; Hajizadeh, N.; Brown, S.M. Humanizing the intensive care unit. Crit. Care 2019, 23, 32. [Google Scholar] [CrossRef] [Green Version]
- Cohen, S.; Murphy, M.L.; Prather, A.A. Ten Surprising Facts About Stressful Life Events and Disease Risk. Annu. Rev. Psychol. 2019, 70, 577–597. [Google Scholar] [CrossRef]
- Nordberg, H.; Kroll, J.L.; Rosenfield, D.; Chmielewski, M.; Ritz, T. Chronic stress experience, sleep, and physical activity: Relations with change in negative affect and acute stress response to a naturalistic stressor. Br. J. Health Psychol. 2021. [Google Scholar] [CrossRef]
- Jahrami, H.; BaHammam, A.S.; AlGahtani, H.; Ebrahim, A.; Faris, M.; AlEid, K.; Saif, Z.; Haji, E.; Dhahi, A.; Marzooq, H.; et al. The examination of sleep quality for frontline healthcare workers during the outbreak of COVID-19. Sleep Breath. 2021, 25, 503–511. [Google Scholar] [CrossRef]
- Bassett, S.; Lupis, S.B.; Gianferante, D.; Rohleder, N.; Wolf, J.M. Sleep quality but not sleep quantity effects on cortisol responses to acute psychosocial stress. Stress 2015, 18, 638–644. [Google Scholar] [CrossRef] [Green Version]
- Buckley, T.M.; Schatzberg, A.F. On the Interactions of the Hypothalamic-Pituitary-Adrenal (HPA) Axis and Sleep: Normal HPA Axis Activity and Circadian Rhythm, Exemplary Sleep Disorders. J. Clin. Endocrinol. Metab. 2005, 90, 3106–3114. [Google Scholar] [CrossRef] [Green Version]
- Černis, E.; Evans, R.; Ehlers, A.; Freeman, D. Dissociation in relation to other mental health conditions: An exploration using network analysis. J. Psychiatr. Res. 2021, 136, 460–467. [Google Scholar] [CrossRef] [PubMed]
- Cardeña, E.; Gušić, S.; Cervin, M. A Network Analysis to Identify Associations between PTSD and Dissociation among Teenagers. J. Trauma Dissociation 2021. [Google Scholar] [CrossRef] [PubMed]
- Stewart, D.E.; Appelbaum, P.S. COVID-19 and psychiatrists' responsibilities: A WPA position paper. World Psychiatry 2020, 19, 406–407. [Google Scholar] [CrossRef] [PubMed]
- Cousijn, H.; Rijpkema, M.; Qin, S.; van Marle, H.J.F.; Franke, B.; Hermans, E.J.; van Wingen, G.; Fernández, G. Acute stress modulates genotype effects on amygdala processing in humans. Proc. Natl. Acad. Sci. USA 2010, 107, 9867–9872. [Google Scholar] [CrossRef] [PubMed] [Green Version]
- Robles Garcia, R.; Garibay Rico, S.E.; Paez Agraz, F. Evaluación de trastornos disociativos en población psiquiátrica mexicana: Prevalencia, comorbilidad y características psicométricas de la Escala de Experiencias Disociativas. Salud Ment. 2006, 29, 38–43. [Google Scholar]
- Olssøn, I.; Mykletun, A.; Dahl, A.A. The hospital anxiety and depression rating scale: A cross-sectional study of psychometrics and case finding abilities in general practice. BMC Psychiatry 2005, 5, 46. [Google Scholar] [CrossRef] [Green Version]
- Bjelland, I.; Dahlb, A.A.; Tangen Haug, T.; Neckelmann, D. The validity of the Hospital Anxiety and Depression Scale: An updated literature review. J. Psychosom. Res. 2002, 52, 69–77. [Google Scholar] [CrossRef]
- Quintana, J.M.; Padierna, A.; Esteban, C.; Arostegui, I.; Bilbao, A.; Ruiz, I. Evaluation of the psychometric characteristics of the Spanish version of the Hospital Anxiety and Depression Scale. Acta Psychiatr. Scand. 2003, 107, 216–221. [Google Scholar] [CrossRef]
- Windle, G.; Bennett, K.M.; Noyes, J. A methodological review of resilience measurement scales. Health Qual. Life Outcomes 2011, 9, 8. [Google Scholar] [CrossRef] [Green Version]
- Leon, M.A.G.; González-Gomez, A.; Robles-Ortega, H.; Padilla, J.L.; Peralta-Ramirez, I. Propiedades psicométricas de la Escala de Resiliencia de Connor y Davidson (CD-RISC) en población española. An. Psicol. 2019, 35, 33–40. [Google Scholar] [CrossRef]
- Jáuregui-Renaud, K.; Ramos-Toledo, V.; Aguilar-Bolaños, M.; Montaño-Velázquez, B.; Pliego-Maldonado, A. Symptoms of detachment from the self or from the environment in patients with an acquired deficiency of the special senses. J. Vestib. Res. 2008, 18, 129–137. [Google Scholar] [CrossRef]
- Mollayeva, T.; Thurairajah, P.; Burton, K.; Mollayeva, S.; Shapiro, C.M.; Colantonio, A. The Pittsburgh sleep quality index as a screening tool for sleep dysfunction in clinical and non-clinical samples: A systematic review and meta-analysis. Sleep Med. Rev. 2016, 25, 52–73. [Google Scholar] [CrossRef]
- Hita-Contreras, F.; Martínez-López, E.; Latorre-Román, P.A.; Garrido, F.; Santos, M.A.; Martínez-Amat, A. Reliability and validity of the Spanish version of the Pittsburgh Sleep Quality Index (PSQI) in patients with fibromyalgia. Rheumatol. Int. 2014, 34, 929–936. [Google Scholar] [CrossRef] [PubMed]
- Pérez, S.; Galdón, M.J.; Andreu, Y.; Ibáñez, E.; Durá, E.; Conchado, A.; Cardeña, E. Posttraumatic Stress Symptoms in Breast Cancer Patients: Temporal Evolution, Predictors, and Mediation. J. Trauma. Stress 2014, 27, 224–231. [Google Scholar] [CrossRef]
- Bayrampour, H.; McDonald, S.; Fung, T.; Tough, S. Reliability and validity of three shortened versions of the State Anxiety Inventory scale during the perinatal period. J. Psychosom. Obstet. Gynecol. 2014, 35, 101–107. [Google Scholar] [CrossRef] [PubMed]





| Inventories | Group I Evaluation 1 (n = 109) | Group II Evaluation 4 (n = 29) | p < 0.05 |
|---|---|---|---|
| Resilience Scale | median (Q1–Q3) | median (Q1–Q3) | |
| Pre-wave 1 | 80 (69–85) | ||
| Wave 2 | 78 (66–86) | 81 (67–86) | - |
| Hospital Anxiety and Depression Scale | |||
| Depression score | 2 (1–5) | 4 (2–6) | 0.042 |
| Anxiety score | 6 (3–10) | 6 (4–11) | - |
| Total score | 8 (4–16) | 11 (5–16) | - |
| Dissociative Experiences Scale | 5.7 (3.2–11.7) | 6 (2.5–10) | - |
| Pre-Wave 1 | Wave 1 | After Wave 1 | Wave 2 | After Wave 2 | ||||||||
|---|---|---|---|---|---|---|---|---|---|---|---|---|
| Group I (n = 109) | II | Group I (n = 109) | II | Group I (n = 109) | II | Group I (n = 109) | Group II (n = 29) | p < 0.05 | Group I (n = 109) | Group II (n = 29) | p < 0.05 | |
| SARS-CoV-2 infection | ||||||||||||
| Frequency of Infection (n) | 0.09% (1) | - | 8.2% (9) | - | 16.5% (18) | - | 41.2% (45) | 41.3% (12) | - | 44.0% (48) | 48.2%(14) | - |
| Inventories (median, Q1–Q3) | ||||||||||||
| Depersonalization/Derealization | 5 (1–12) | - | 3 (1–10) | - | 4 (0–12) | - | 5 (13) | 9 (3–16) | - | 3 (0–8) | 5 (2–11) | - |
| Pittsburgh Sleep Quality Index | 8 (5–10) | - | 8 (5–11) | - | 8 (5–10) | - | 5 (2–8) | 8 (6–11) | 0.038 | 6 (4–9) | 8 (5–10) | - |
| Stanford Acute Stress Questionnaire | 17 (4–37) | - | 10 (1–40) | - | 10 (0–34) | - | 4 (0–32) | 17 (12–44) | 0.009 | 3 (0–21) | 17 (2–29) | - |
| State-Trait Anxiety Inventory (s.v.) | 5 (3–7) | - | 6 (3–9) | - | 5 (2–7) | - | 5 (2–8) | 6 (4–8) | - | 5 (3–8) | 5 (1–7) | - |
| Burnout Measure (short-form) | 2.2 (1.5–2.7) | - | 2 (1.5–3.2) | - | 2 (1.4–2.9) | - | 2.2 (1.6–3) | 2.5 (1.8–3.1) | - | 1.9 (1.4–2.7) | 2.3 (1.7–3.1) | - |
| Wave 2 | After Wave 2 | |||||
|---|---|---|---|---|---|---|
| Inventories | Infection (n = 57) | No Infection (n = 81) | p < 0.05 | Infection (n = 62) | No Infection (n = 76) | p < 0.05 |
| Median (Q1–Q3) | Median (Q1–Q3) | Median (Q1–Q3) | Median (Q1–Q3) | |||
| Depersonalization/Derealization | 7 (2–21) | 3 (0–12) | 0.022 | 5 (1–12) | 2 (0–7) | 0.036 |
| Pittsburgh Sleep Quality Index | 9 (6.5–12) | 6 (4–10) | 0.019 | 8 (5–10) | 5 (4–8.5) | 0.045 |
| Stanford Acute Stress Questionnaire | 16 (0–44) | 3 (0–28) | 0.037 | 6 (3–9) | 5 (3–7) | - |
| State-Trait Anxiety Inventory (s.v.) | 5 (3–9) | 6 (2–8) | - | 6 (3–9) | 5 (3–7) | - |
| Burnout Measure (short-form) | 2.7 (1.7–3.6) | 2 (1.6–2.9) | 0.042 | 2.3 (1.6–3.1) | 1.8 (1.3–2.7) | 0.020 |
| Pre-Wave 1 Estimate ± S.E. | Wave 1 Estimate ± S.E. | After Wave 1 Estimate ± S.E. | Wave 2 Estimate ± S.E. | After Wave 2 Estimate ± S.E. | |
|---|---|---|---|---|---|
| Inventories | |||||
| Pittsburgh Sleep Quality Index | 0.090 ± 0.019 | 0.038 ± 0.024 | 0.118 ± 0.029 | 0.050 ± 0.022 | 0.048 ± 0.019 |
| X2 (p value) | 19.37 (<0.0001) | 2.23 (0.134) | 14.46 (0.0001) | 4.60 (0.031) | 7.23 (0.007) |
| State-Trait Anxiety Inventory (s.v.) | 0.006 ± 0.017 | 0.021 ± 0.017 | 0.034 ± 0.022 | 0.087 ± 0.021 | 0.080 ± 0.031 |
| X2 (p value) | 0.09 (0.764) | 1.19 (0.274) | 1.73 (0.187) | 18.96 (<0.0001) | 8.73 (0.003) |
| Depersonalization/Derealization | 0.011 ± 0.004 | 0.025 ± 0.006 | 0.022 ± 0.006 | 0.013 ± 0.004 | 0.011 ± 0.005 |
| X2 (p value) | 4.65 (0.030) | 18.71 (<0.0001) | 9.66 (0.001) | 17.42 (<0.0001) | 4.42 (0.035) |
| Burnout Measure | 0.248 ± 0.069 | 0.026 ± 0.010 | −0.007 ± 0.009 | 0.135 ± 0.059 | 0.253 ± 0.090 |
| X2 (p value) | 9.69 (0.001) | 5.37 (0.020) | 0.64 (0.423) | 4.76 (0.029) | 9.21 (0.002) |
| Cofactors | |||||
| Age | −0.029 ± 0.010 | 0.014 ± 0.011 | −0.005 ± 0.012 | −0.013 ± 0.011 | −0.039 ± 0.010 |
| X2 (p value) | 8.70 (0.003) | 1.16 (0.280) | 0.15 (0.691) | 1.21 (0.270) | 16.01 (0.0001) |
| Occupation (clinical vs. technical) | −0.186 ±0.098 | −0.129 ±0.148 | 0.136 ± 0.877 | 0.109 ± 4.329 | −0.765 ± 0.128 |
| X2 (p value) | 3.42 (0.180) | 3.17 (0.205) | 1.34 (0.510) | 4.86 (0.087) | 33.97 (<0.0001) |
| SARS-CoV-2 infection | - | −0.370 ± 0.138 | −0.143 ± 0.095 | −0.012 ± 0.076 | 0.174 ± 0.077 |
| X2 (p value) | - | 1.65 (0.198) | 1.61 (0.203) | 0.02 (0.864) | 5.38 (0.020) |
| Occupation * SARS-CoV-2 infection | −0.129 ± 0.148 | −0.039 ± 0.116 | −0.142 ± 0.089 | −0.329 ± 0.093 | |
| X2 (p value) | 3.17 (0.205) | 0.51 (0.773) | 7.20 (0.027) | 16.0 (0.0003) |
Publisher’s Note: MDPI stays neutral with regard to jurisdictional claims in published maps and institutional affiliations. |
© 2021 by the authors. Licensee MDPI, Basel, Switzerland. This article is an open access article distributed under the terms and conditions of the Creative Commons Attribution (CC BY) license (https://creativecommons.org/licenses/by/4.0/).
Share and Cite
Jáuregui Renaud, K.; Cooper-Bribiesca, D.; Martínez-Pichardo, E.; Miguel Puga, J.A.; Rascón-Martínez, D.M.; Sánchez Hurtado, L.A.; Colin Martínez, T.; Espinosa-Poblano, E.; Anda-Garay, J.C.; González Diaz, J.I.; et al. Acute Stress in Health Workers during Two Consecutive Epidemic Waves of COVID-19. Int. J. Environ. Res. Public Health 2022, 19, 206. https://doi.org/10.3390/ijerph19010206
Jáuregui Renaud K, Cooper-Bribiesca D, Martínez-Pichardo E, Miguel Puga JA, Rascón-Martínez DM, Sánchez Hurtado LA, Colin Martínez T, Espinosa-Poblano E, Anda-Garay JC, González Diaz JI, et al. Acute Stress in Health Workers during Two Consecutive Epidemic Waves of COVID-19. International Journal of Environmental Research and Public Health. 2022; 19(1):206. https://doi.org/10.3390/ijerph19010206
Chicago/Turabian StyleJáuregui Renaud, Kathrine, Davis Cooper-Bribiesca, Elizabet Martínez-Pichardo, José A. Miguel Puga, Dulce M. Rascón-Martínez, Luis A. Sánchez Hurtado, Tania Colin Martínez, Eliseo Espinosa-Poblano, Juan Carlos Anda-Garay, Jorge I. González Diaz, and et al. 2022. "Acute Stress in Health Workers during Two Consecutive Epidemic Waves of COVID-19" International Journal of Environmental Research and Public Health 19, no. 1: 206. https://doi.org/10.3390/ijerph19010206
APA StyleJáuregui Renaud, K., Cooper-Bribiesca, D., Martínez-Pichardo, E., Miguel Puga, J. A., Rascón-Martínez, D. M., Sánchez Hurtado, L. A., Colin Martínez, T., Espinosa-Poblano, E., Anda-Garay, J. C., González Diaz, J. I., Cardeña, E., & Avelar Garnica, F. (2022). Acute Stress in Health Workers during Two Consecutive Epidemic Waves of COVID-19. International Journal of Environmental Research and Public Health, 19(1), 206. https://doi.org/10.3390/ijerph19010206

