Impact of Pandemic on European Well-Being: Visualizing Scenarios from the SHARE Database
Abstract
1. Introduction
2. Data and Methods
2.1. Descriptive Analysis and Design of Indicators
2.1.1. Data
2.1.2. Indicators
Economic Indicator
Health Indicator
2.2. Construction of the Profiles
- Initialisation with random cluster prototypes,
- For each observation do:
- (a)
- Assign observation to its closest prototype according to distance d (.,.)
- (b)
- Update cluster prototypes by cluster-specific means/modes for all variables
- As long as any observations have swapped their cluster assignment in 2 or the maximum number of iterations has not been reached: repeat from 2 ([30], p. 201).
2.3. Simulation of a Pandemic Shock
3. Results
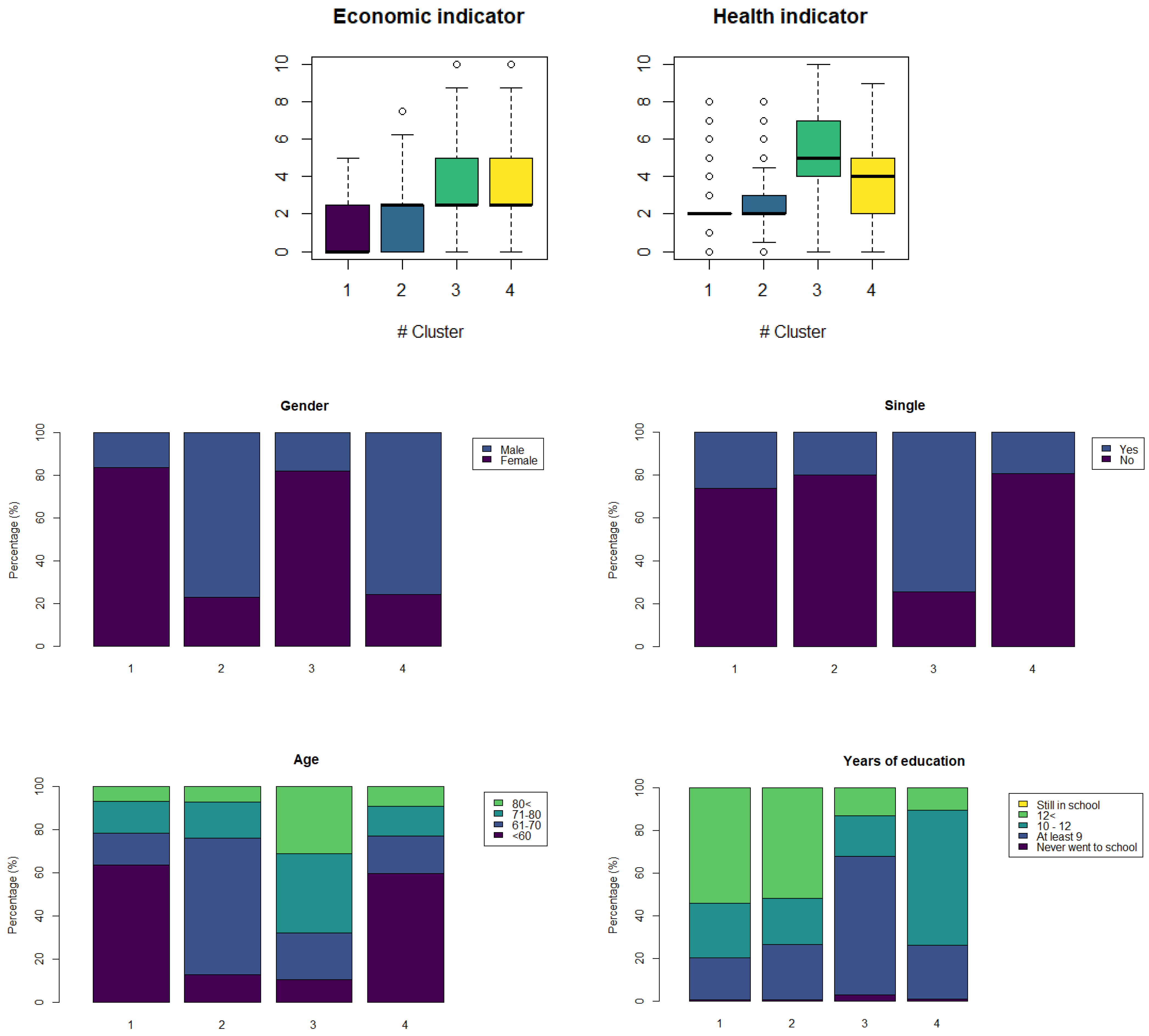
3.1. Visualising the Vulnerability Indicators
3.2. Visualising the Vulnerability Profiles
3.3. Visualising the Pandemic Shock
4. Discussion
5. Limitations
Author Contributions
Funding
Institutional Review Board Statement
Informed Consent Statement
Data Availability Statement
Conflicts of Interest
Appendix A Dataset and R Code
- SHARE_W7.zip: File with the Dataset used to the TFM
References
- Eurostat. Population by Age Group. Available online: https://ec.europa.eu/eurostat/databrowser/view/TPS00010/default/table (accessed on 1 June 2020).
- World Health Organization. World Report on Ageing and Health; World Health Organizations: Geneva, Switzerland, 2015. [Google Scholar]
- Johns Hopkins Medicine. Health 2020. Available online: https://www.hopkinsmedicine.org/health/conditions-and-diseases/coronavirus/coronavirus-caregiving-for-the-elderly (accessed on 1 June 2020).
- Centers for Disease Control and Prevention. Your Health. Available online: https://www.cdc.gov/coronavirus/2019-ncov/need-extra-precautions/older-adults.html#:~:text=Among%20adults%2C%20the%20risk%20for,or%20they%20may%20even%20die (accessed on 16 August 2020).
- Mueller, A.L.; McNamara, M.S.; Sinclair, D.A. Why does COVID-19 disproportionately affect older people? Aging 2020, 12, 9959–9981. [Google Scholar] [CrossRef] [PubMed]
- World Health Organization. Coronavirus Disease 2019 (COVID-19). Situation Report; WHO: Geneva, Switzerland, 2020. [Google Scholar]
- Richardson, S.J.; Carroll, C.B.; Close, J.; Gordon, A.L.; O’Brien, J.; Quinn, T.J.; Rochester, L.; Sayer, A.; Shenkin, S.D.; Van der Velde, N.; et al. Research with older people in a world with COVID-19: Identification of current and future priorities, challenges and opportunities. Age Ageing 2020, 49, 901–906. [Google Scholar] [CrossRef] [PubMed]
- Onder, G.; Rezza, G.; Brusaferro, S. Case-fatality rate and characteristics of patients dying in relation to COVID-19 in Italy. JAMA 2020, 323, 1775–1776. [Google Scholar] [CrossRef] [PubMed]
- World Health Organisation. World Health Organisation COVID-19 Strategy Update; World Health Organisation: Geneva, Switzerland, 2020; Available online: https://www.who.int/publications-detail/covid-19 (accessed on 26 March 2021).
- Centers for Disease Control and Prevention. Severe Outcomes among Patients with Coronavirus Disease 2019 (COVID-19); Morbidity and Mortality Weekly Report; Centers for Disease Control and Prevention: Atlanta, GA, USA, 2020; Volume 69, pp. 343–346. [Google Scholar]
- Van Dorn, A.; Cooney, R.E.; Sabin, M.L. COVID-19 exacerbating inequalities in the US. Lancet 2020, 395, 1243–1244. [Google Scholar] [CrossRef]
- Li, Y.; Mutchler, J.E. Older Adults and the Economic Impact of the COVID-19 Pandemic. J. Aging Soc. Policy 2020, 32, 477–487. [Google Scholar] [CrossRef] [PubMed]
- Wyper, G.M.A.; Assunção, R.; Cuschieri, S.; Devleesschauwer, B.; Fletcher, E.; Haagsma, J.A.; Hilderink, H.B.M.; Idavain, J.; Lesnik, T.; Von Der Lippe, E.; et al. Population vulnerability to COVID-19 in Europe: A burden of disease analysis. Arch. Public Health 2020, 78, 1–8. [Google Scholar] [CrossRef] [PubMed]
- Bueno-Notivol, J.; Gracia-García, P.; Olaya, B.; Lasheras, I.; López-Antón, R.; Santabárbara, J. Prevalence of depression during the COVID-19 outbreak: A meta-analysis of community-based studies. Int. J. Clin. Health. Psychol. 2021, 21, 100196. [Google Scholar] [CrossRef] [PubMed]
- Li, L.Z.; Wang, S. Prevalence and predictors of general psychiatric disorders and loneliness during COVID-19 in the United Kingdom. Psychiatry Res. 2020, 291, 113267. [Google Scholar] [CrossRef] [PubMed]
- Qiu, J.; Shen, B.; Zhao, M.; Wang, Z.; Xie, B.; Xu, Y. A nationwide survey of psychological distress among Chinese people in the COVID-19 epidemic: Implications and policy recommendations. Gen. Psychiatry 2020, 33, e100213. [Google Scholar] [CrossRef] [PubMed]
- Huang, Y.; Zhao, N. Generalized anxiety disorder, depressive symptoms and sleep quality during COVID-19 outbreak in China: A web-based cross-sectional survey. Psychiatry Res. 2020, 288, 112954. [Google Scholar] [CrossRef]
- Huremović, D. Social distancing, quarantine, and isolation. In Psychiatry of Pandemics; Springer: Berlin/Heidelberg, Germany, 2019; pp. 85–94. [Google Scholar]
- Pfefferbaum, B.; North, C.S. Mental Health and the Covid-19 Pandemic. N. Engl. J. Med. 2020, 383, 510–512. [Google Scholar] [CrossRef]
- SHARE. Release Guide 7.1.0; MEA: Beirut, Lebanon, 2020. [Google Scholar]
- Lumey, T. Analysis of Complex Survey Samples (survey) Version 4.0.; The Comprehensive R Archive Network (CRAN). 2020. Available online: http://r-survey.r-forge.r-project.org/survey/ (accessed on 1 June 2020).
- Grané, A.; Albarrán, I.; Lumley, R. Visualizing inequality in health and socioeconomic wellbeing in the EU: Findings from the share survey. Int. J. Environ. Res. Public Health 2020, 17, 7747. [Google Scholar] [CrossRef] [PubMed]
- Hagenaars, A.J.M.; De Vos, K.; Zaidi, M.A. Poverty Statistics in the Late 1980s: Research Based on Micro-Data; Office for Official Publications of the European Communities: Luxembourg, 1994. [Google Scholar]
- Pettinicchi, Y.; Börsch-Supan, A. The economic situation of fomerly self-employed workers. In Health and Socieconomic Status over the Life Course: First Results From SHARE Waves 6 and 7; De Gruyter: Berlin, Germany, 2019; pp. 120–127. [Google Scholar]
- Costa-Font, J.; Jimenez-Martin, S.; Vilaplana, C. Does Long-Term Care Subsidisation Reduce Unnecessary Hospitalisations; CESifo Working Paper Series; CESifo: Munich, Germany, 2017. [Google Scholar]
- Eurostat. Health Care Expenditure by Provider. Available online: https://ec.europa.eu/eurostat/statistics-explained/index.php/Healthcare_expenditure_statistics#Healthcare_expenditure_by_provider (accessed on 1 September 2020).
- Singh, A.; Yadav, A.; Rana, A. K-means with three different distance metrics. Int. J. Comput. Appl. 2013, 67, 13–17. [Google Scholar] [CrossRef]
- Izenman, A.J. Modern Multivariate Statistical Techniques; Springer Science and Business Media LLC.: Berlin/Heidelberg, Germany, 2008. [Google Scholar]
- Huang, Z. Extensions to the k-Means algorithm for clustering large data sets with categorical values. Data Min. Knowl. Discov. 1998, 2, 283–304. [Google Scholar] [CrossRef]
- Szepannek, G. Clustmixtype: User-friendly clustering of mixed-type data in R. R J. 2019, 10, 200. [Google Scholar] [CrossRef]
- Centers for Disease Control and Prevention. Your Health. Available online: https://www.cdc.gov/coronavirus/2019-ncov/need-extra-precautions/people-at-increased-risk.html (accessed on 25 June 2020).
- WHO. Information Note on COVID-19 and NCDs; WHO: Geneva, Switzerland, 2020. [Google Scholar]
- Jones, L.; Palumbo, D.; Brown, D. BBC. Available online: https://www.bbc.com/news/business-51706225 (accessed on 30 June 2020).
- Pieh, C.; Budimir, S.; Probst, T. The effect of age, gender, income, work, and physical activity on mental health during coronavirus disease (COVID-19) lockdown in Austria. J. Psychosom. Res. 2020, 136, 110186. [Google Scholar] [CrossRef]
- Javed, B.; Sarwer, A.; Soto, E.; Mashwani, Z.-U.-R. Impact of SARS-CoV-2 (Coronavirus) Pandemic on Public Mental Health. Front. Public Ment. Health 2020, 8, 1–4. [Google Scholar] [CrossRef]
- Schoroeder, M. Jobless Now, Sick Later? Investigating the Long-term Consequences of Involunatary Job Loss on Health. Adv. Life Course Res. 2013, 18, 5–15. [Google Scholar] [CrossRef] [PubMed]
- European Commission. Equal Pay? Time to Close the Gap; European Commission: Brussels, Belgium, 2019. [Google Scholar]
- Van Oyen, H.; Nusselder, W.; Jagger, C.; Kolip, P.; Cambois, E. Gender differences in healthy life years within the EU: An exploration of the health-survival paradox. Int. J. Public Health 2013, 58, 143–155. [Google Scholar] [CrossRef]
- Holt-Lunstad, J.; Smith, T.B.; Baker, M.; Harris, T.; Stephenson, D. Loneliness and social isolation as risk factors for mortality: A meta-analytic review. Perspect. Psychol. Sci. 2015, 10, 227–237. [Google Scholar] [CrossRef] [PubMed]
- Núñez, I.; Livanos, I. Higher education and unemployment in Europe: An analysis of the academic subject and national effects. High. Educ. 2009, 59, 475–487. [Google Scholar] [CrossRef]
- Rodríguez-Pose, A.; Tselios, V. Education and income inequality in the regions of the european union. J. Reg. Sci. 2009, 49, 411–437. [Google Scholar] [CrossRef]
- Zimmerman, E.; Woolf, S.H. Virginia commonwealth university understanding the relationship between education and health. NAM Perspect. 2014, 4. [Google Scholar] [CrossRef]
- Killgore, W.D.; Cloonan, S.A.; Taylor, E.C.; Dailey, N.S. Loneliness: A signature mental health concern in the era of COVID-19. Psychiatry Res. 2020, 290, 113117. [Google Scholar] [CrossRef]
- Steptoe, A.; Shankar, A.; Demakakos, P.; Wardle, J. Social isolation, loneliness, and all-cause mortality in older men and women. Proc. Natl. Acad. Sci. USA 2013, 110, 5797–5801. [Google Scholar] [CrossRef]
- Marti, L.; Puertas, R. European Countries’ Vulnerability to COVID-19: Multicriteria Decision-Making Techniques. Econ. Res. Ekon. Istraživanja 2021. [Google Scholar] [CrossRef]



















| Region | Unemployed Subindicator | Poverty Subindicator | Weekly Consumption Subindicator | Financial Distress Subindicator | Economic Indicator |
| Southern European | 0.04 (0) | 0.22 (0) | 0.01 (0) | 0.83 (1) | 2.73 (2.5) |
| Eastern European | 0.04 (0) | 0.29 (0) | 0.00 (0) | 0.91 (1) | 3.07 (2.5) |
| Northern European | 0.03 (0) | 0.16 (0) | 0.01 (0) | 0.56 (1) | 1.86 (2.5) |
| Scandinavian and Switzerland | 0.01 (0) | 0.16 (0) | 0.01 (0) | 0.37 (0) | 1.37 (2.5) |
| Region | General Health Subindicator | Mental Health Subindicator | Health Care Subindicator | Physical Health Subindicator | Health Indicator |
| Southern European | 0.65 (1) | 1.26 (1) | 0.25 (0) | 1.68 (2) | 3.13 (3) |
| Eastern European | 0.85 (1) | 1.57 (2) | 0.33 (0) | 2.06 (2) | 3.95 (4) |
| Northern European | 0.67 (1) | 1.15 (1) | 0.23 (0) | 1.87 (2) | 3.22 (3) |
| Scandinavian and Switzerland | 0.46 (0) | 0.89 (1) | 0.26 (0) | 1.49 (1) | 2.56 (2) |
Publisher’s Note: MDPI stays neutral with regard to jurisdictional claims in published maps and institutional affiliations. |
© 2021 by the authors. Licensee MDPI, Basel, Switzerland. This article is an open access article distributed under the terms and conditions of the Creative Commons Attribution (CC BY) license (https://creativecommons.org/licenses/by/4.0/).
Share and Cite
Grané, A.; Albarrán, I.; Merchán, D.E. Impact of Pandemic on European Well-Being: Visualizing Scenarios from the SHARE Database. Int. J. Environ. Res. Public Health 2021, 18, 4620. https://doi.org/10.3390/ijerph18094620
Grané A, Albarrán I, Merchán DE. Impact of Pandemic on European Well-Being: Visualizing Scenarios from the SHARE Database. International Journal of Environmental Research and Public Health. 2021; 18(9):4620. https://doi.org/10.3390/ijerph18094620
Chicago/Turabian StyleGrané, Aurea, Irene Albarrán, and David E. Merchán. 2021. "Impact of Pandemic on European Well-Being: Visualizing Scenarios from the SHARE Database" International Journal of Environmental Research and Public Health 18, no. 9: 4620. https://doi.org/10.3390/ijerph18094620
APA StyleGrané, A., Albarrán, I., & Merchán, D. E. (2021). Impact of Pandemic on European Well-Being: Visualizing Scenarios from the SHARE Database. International Journal of Environmental Research and Public Health, 18(9), 4620. https://doi.org/10.3390/ijerph18094620

