Is Acceleration a Valid Proxy for Injury Risk in Minimal Damage Traffic Crashes? A Comparative Review of Volunteer, ADL and Real-World Studies
Abstract
1. Introduction
2. Materials and Methods
2.1. Volunteer Crash Test Literature Review
2.2. Activities of Daily Living Literature
2.3. Observational Study of Injuries from Real-World Rear Impact Crashes
3. Results
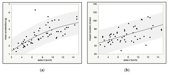
3.1. Volunteer Crash Test Literature Review
3.2. Activities of Daily Living Literature
3.3. Observational Study of Injuries from Real-World Rear Impact Crashes
3.4. Comparison of ADL Accelerations and Injury Risk to Rear Impact Accelerations and Injury Risk
4. Discussion
5. Conclusions
Author Contributions
Funding
Institutional Review Board Statement
Informed Consent Statement
Data Availability Statement
Conflicts of Interest
References
- Freeman, M.D.; Centeno, C.J.; Kohles, S.S. A Systematic Approach to Clinical Determinations of Causation in Symptomatic Spinal Disk Injury Following Motor Vehicle Crash Trauma. PM&R 2009, 1, 951–956. [Google Scholar]
- Hayes, W.C.; Erickson, M.S.; Power, E.D. Forensic injury biomechanics. Annu. Rev. Biomed. Eng. 2007, 9, 55–86. [Google Scholar] [CrossRef] [PubMed]
- Walz, F.H.; Muser, M.H. Biomechanical assessment of soft tissue cervical spine disorders and expert opinion in low speed collisions. Accid. Anal. Prev. 2000, 32, 161–165. [Google Scholar] [CrossRef]
- Ogden, J.S. Forensic Engineering Analysis of Damage and Restitution in Low Velocity Impacts. J. Natl. Acad. Forensic Eng. 1999, 16, 11–34. [Google Scholar]
- Allen, M.E.; Weir-Jones, I.; Motiuk, D.R.; Flewin, K.R.; Goring, R.D.; Kobetitch, R. Acceleration perturbations of daily living a comparison to whiplash. Spine 1994, 19, 1285–1290. [Google Scholar] [CrossRef]
- Funk, J.R.; Cormier, J.M.; Bain, C.E.; Guzman, H.; Bunugi, E. Head and Neck Loading in Everyday and Vigorous Activities. Ann. Biomed. Eng. 2011, 39, 766–776. [Google Scholar] [CrossRef]
- Farmer, C.M.; Wells, J.K.; Werner, J.V. Relationship of head restraint positioning to driver neck injury in rear-end crashes. Accid. Anal. Prev. 1999, 31, 719–728. [Google Scholar] [CrossRef]
- Freeman, M.D.; Leith, W.M. Estimating the number of traffic crash-related cervical spine injuries in the United States; An analysis and comparison of national crash and hospital data. Accid. Anal. Prev. 2020, 142, 105571. [Google Scholar] [CrossRef] [PubMed]
- Elliott, J.M.; Heinrichs, B.E.; Walton, D.M.; Parrish, T.B.; Courtney, D.M.; Smith, A.C. Motor vehicle crash reconstruction: Does it relate to the heterogeneity of whiplash recovery? PLoS ONE 2019, 14, e0225686. [Google Scholar] [CrossRef]
- Centeno, C.J.; Freeman, M.D. A review of the literature refuting the concept of minor impact soft tissue injury. Pain Res. Manag. 2005, 10, 71–74. [Google Scholar] [CrossRef][Green Version]
- Luukinen, H.; Herala, M.; Koski, K.; Honkanen, R.; Laippala, P.; Kivelä, S.-L. Fracture Risk Associated with a Fall According to Type of Fall Among the Elderly. Osteoporos. Int. 2000, 11, 631–634. [Google Scholar] [CrossRef]
- Center for Injury Prevention and Control. Our Approach Injury Center Centers for Disease Control, Our Approach. 2020. Available online: https://www.cdc.gov/injury/about/approach.html (accessed on 10 January 2021).
- Miller, L.E.; Urban, J.E.; Whelan, V.M.; Baxter, W.W.; Tatter, S.B.; Stitzel, J.D. An envelope of linear and rotational head motion during everyday activities. Biomech. Model. Mechanobiol. 2020, 19, 1003–1014. [Google Scholar] [CrossRef]
- Croft, A.C.; Haneline, M.T.; Freeman, M.D. Low speed frontal crashes and low speed rear crashes: Is there a differential risk for injury? Annu. Proc. Assoc. Adv. Automot. Med. 2002, 46, 79–91. [Google Scholar] [PubMed]
- Nordhoff, L.; Freeman, M.D.; Siegmund, G.P. Human Subject Crash Testing: Innovations and Advances; Society of Automotive Engineers: Wallendale, PA, USA, 2007. [Google Scholar]
- Croft, A.C.; Herring, P.; Freeman, M.D.; Haneline, M.T. The neck injury criterion: Future considerations. Accid. Anal. Prev. 2002, 34, 247–255. [Google Scholar] [CrossRef]
- Bartlett, W.; Wright, M.; Masory, O.; Brach, R.; Baxter, A.; Schmidt, B.; Navin, F. Evaluating the Uncertainty in Various Measurement Tasks Common to Accident Reconstruction. SAE Int. 2002, 111, 657–668. [Google Scholar]
- West, D.H.; Gough, J.P.; Harper, G.T.K. Low Speed Rear-End Collision Testing Using Human Subjects. Accid. Reconstr. J. 1993, 5, 22–26. [Google Scholar]
- Anderson, R.D.; Welcher, J.B.; Szabo, T.J.; Eubanks, J.J. Effect of Braking on Human Occupant and Vehicle Kinematics in Low Speed Rear-End Collisions. Soc. Automot. Eng. 1998, 107, e980298. [Google Scholar]
- Bailey, M.N.; Wong, B.C.; Lawrence, J.M. Data and Methods for Estimating the Severity of Minor Impacts. SAE Trans. 1995, 104, 639–675. [Google Scholar]
- Braun, T.A.; Jhoun, J.H.; Braun, M.J.; Wong, B.M.; Boster, T.A.; Kobayashi, T.M.; Perez, F.A. Rear-End Impact Testing with Human Test Subjects. Soc. Automot. Eng. 2001. [Google Scholar] [CrossRef]
- Castro, W.H.M.; Schilgen, M.; Meyer, S.; Weber, M.; Peuker, C.; Wörtler, K. Do ‘whiplash injuries’ occur in low-speed rear impacts. Eur. Spine J. 1997, 6, 366–375. [Google Scholar] [CrossRef]
- Croft, A.C.; Philippens, M.M.G.M. The RID2 Biofidelic Rear Impact Dummy: A Validation Study Using Human Subjects in Low Speed Rear Impact Full Scale Crash Tests: Neck Injury Criterion (NIC). No. 2006-01-0067; SAE International: Warrendale, PA, USA, 2006; pp. 567–573. [Google Scholar]
- Davidsson, J.; Deutscher, C.; Hell, W.; Linder, A. Human Volunteer Motion in Rear-End Impacts. In Proceedings of the 1998 International IRCOBI Conference on the Biomechanics of Impact, Goeteborg, Sweden, 16–18 September 1998; pp. 289–301. [Google Scholar]
- Erikson, M.S. Fidelity of Biodynamic Simulation Models for Low Speed Collinear Rear Crash Conditions. SAE Technical Paper No. 2012-01–0570; SAE International: Warrendale, PA, USA, 2012. [Google Scholar]
- Fugger, T.F.; Randles, B.C.; Welcher, J.B.; Szabo, T.J. Vehicle and Occupant Kinematics in Low-Speed Override/Underride Collisions: SAE Technical Paper No. 2003-01–0158; SAE International: Warrendale, PA, USA, 2003. [Google Scholar]
- Furbish, C.; Ivory, M.; Hoffman, M.; Anderson, R.; Anderson, R. Steering Column Loads and Upper Extremity Motions During Low Speed Rear-End Collisions: SAE Technical Paper No. 2011-01–0275; SAE International: Warrendale, PA, USA, 2011. [Google Scholar]
- Goodwin, V.; Martin, D.; Sackett, R.; Schaefer, G.; Olson, D.; Tencer, A. Vehicle and Occupant Response in Low peed Car to Barrier Override Impacts: SAE Technical Paper No. 1999-01–0442; SAE International: Warrendale, PA, USA, 1999. [Google Scholar]
- Henderson, B.J. A Retrospective Study in Understanding ‘Low Speed Change Vehicle Collisions, Occupant Movement’ and Likelihood of Injury. Ph.D. Thesis, University of Central Lancashire, Preston, UK, 2012. [Google Scholar]
- Hong, S.W.; Park, S.J.; Lee, Y.N.; Yoo, J.H.; Kim, H. Low-speed rear impact sled tests involving human subjects. Ann. Adv. Automot. Med. 2013, 57, 353–355. [Google Scholar] [PubMed]
- Hoyes, P.; Henderson, B. A study and comparison of the effects of low speed change vehicle collisions on the human body. Accid. Anal. Prev. 2013, 51, 318–324. [Google Scholar] [CrossRef]
- Ivory, M.A.; Furbish, C.J.; Hoffman, M.R.; Miller, E.R.; Anderson, R.L.; Anderson, R.D. Brake Pedal Response and Occupant Kinematics During Low Speed Rear-End Collisions: SAE Technical Paper No. 2010-01–0067; SAE International: Warrendale, PA, USA, 2010. [Google Scholar]
- Linder, H.; Lovsund, A.; Steffan, P. Validation of the BioRID P3 Against Volunteer and PMHS Test Data and Comparison to the Hybrid III in Low-Velocity Rear-End Impacts. Annu. Proc. Assoc. Adv. Automot. Med. 1999, 43, 367–381. [Google Scholar]
- Matsushita, T.; Sato, T.B.; Hirabayashi, K.; Fujimura, S.; Asazuma, T.; Takatori, T. X-ray Study of the Human Neck Motion due to Head Inertia Loading: SAE Technical Paper No. 942208; SAE International: Warrendale, PA, USA, 1994. [Google Scholar]
- McConnell, W.E.; Howard, R.P.; Guzman, H.M.; Bomar, J.B.; Raddin, J.H.; Benedict, J.V.; Smith, H.L. Analysis of Human Test Subject Kinematic Responses to Low Velocity Rear End Impacts: SAE Technical Paper No. 930889; SAE International: Warrendale, PA, USA, 1993. [Google Scholar]
- McConnell, W.E.; Howard, R.P.; Poppel, J.V.; Krause, R.; Guzman, H.M.; Bomar, J.B.; Raddin, J.H.; Benedict, J.V. Human Head and Neck Kinematics after Low Velocity Rear-End Impacts-Understanding Whiplash: SAE Technical Paper Nr. 952724; SAE International: Warrendale, PA, USA, 1995; pp. 3106–3129. [Google Scholar]
- McConnell, W.E.; Guzman, H.M.; Krenrich, S.W.; Bomar, J.B.; Harding, R.M.; Raddin, J.H.; Funk, J.R. Human kinematics during non-collinear low velocity rear end collisions. Annu. Proc. Assoc. Adv. Automot. Med. 2003, 47, 467–492. [Google Scholar] [PubMed]
- Ono, K.; Kaneoka, K.; Inami, S. Influence of seat properties on human cervical vertebral motion and head/neck/torso kinematics during rear-end impacts. In Proceedings of the International IRCOBI Conference on the Biomechanics of Impact, Goeteborg, Sweden, 16–18 September 1998; pp. 303–318. [Google Scholar]
- Ono, K.; Ejima, S.; Suzuki, Y.; Kaneoka, K.; Fukushima, M.; Ujihashi, S. Prediction of Neck Injury Risk Based on the Analysis of Localized Cervical Vertebral Motion of Human Volunteers During Low-Speed Rear Impacts. In Proceedings of the International IRCOBI Conference on the Biomechanics of Impact, Madrid, Spain, 20–22 September 2006; pp. 103–113. [Google Scholar]
- Rosenbluth, W.; Hicks, L. Evaluating Low-Speed Rear-End Impact Severity and Resultant Occupant Stress Parameters. J. Forensic Sci. 1994, 39, 1393–1424. [Google Scholar] [CrossRef]
- Sato, F.; Nakajima, T.; Ono, K.; Svensson, M.; Brolin, K.; Kaneoka, K. Dynamic Cervical Vertebral Motion of Female and Male Volunteers and Analysis of its Interaction with Head/Neck/Torso Behavior during Low-Speed Rear Impact. Available online: https://publications.lib.chalmers.se/records/fulltext/207480/local_207480.pdf (accessed on 10 March 2021).
- Schmidt, B.F.; Haight, W.R.; Szabo, T.J.; Welcher, J.B. System-Based Energy and Momentum Analysis of Collisions: SAE Technical Paper Nr. 980026; SAE International: Warrendale, PA, USA, 1998. [Google Scholar]
- Scott, M.W.; McConnell, W.E.; Guzman, H.M.; Howard, R.P.; Bomar, J.B.; Smith, H.L.; Benedict, J.V.; Raddin, J.H.; Hatsell, C.P. Comparison of Human and ATD Head Kinematics During Low-Speed Rearend Impacts: SAE Technical Paper Nr. 930094; SAE International: Warrendale, PA, USA, 1993. [Google Scholar]
- Siegmund, G.P. Speed change (ΔV) of amusement park bumper cars. In Proceedings of the Canadian Multidisciplinary Road Safety Conference VIII, Saskatoon, SK, Canada, 14–16 June 1993; pp. 299–308. [Google Scholar]
- Szabo, T.J.; Welcher, J.B.; Anderson, R.D.; Rice, M.M. Human Occupant Kinematic Response to Low Speed Rear-End Impacts: SAE Technical Paper No. 940532; SAE International: Warrendale, PA, USA, 1994; pp. 23–35. [Google Scholar]
- Szabo, T.J.; Welcher, J.B. Human Subject Kinematics and Electromyographic Activity during Low Speed Rear Impacts: SAE Technical Paper Nr. 962432; SAE International: Warrendale, PA, USA, 1996; pp. 1924–1944. [Google Scholar]
- Tanner, C.B.; Chen, H.F.; Wiechel, J.F.; Brown, D.R. Vehicle and Occupant Response in Heavy Truck to Car Low-Speed Rear Impacts: SAE Technical Paper Nr. 970120; SAE International: Warrendale, PA, USA, 1997; p. 1231. [Google Scholar]
- Watanabe, S.; Ichikawa, H.; Kayama, O.; Ono, K.; Kaneoka, K.; Inami, S. Relationships Between Occupant Motion and Seat Characteristics in Low-Speed Rear Impacts: SAE Technical Paper Nr. 1999-01–0635; SAE International: Warrendale, PA, USA, 1999. [Google Scholar]
- Welcher, J.B.; Szabo, T.J. Relationships Between Seat Properties and Human Subject Kinematics in Rear Impact Tests. Accid. Anal. Prev. 2001, 33, 289–304. [Google Scholar] [CrossRef]
- Welcher, J.B.; Szabo, T.J. Human Occupant Motion in Rear-End Impacts: Effects of Incremental Increases in Velocity Change: SAE Technical Paper Nr. 2001-01–8999; SAE International: Warrendale, PA, USA, 2001; pp. 1129–1137. [Google Scholar]
- Kavanagh, J.J.; Barrett, R.S.; Morrison, S. Upper body accelerations during walking in healthy young and elderly men. Gait Posture 2004, 20, 291–298. [Google Scholar] [CrossRef] [PubMed]
- Bussone, W.R. Linear and Angular Head Accelerations in Daily Life; Virginia Polytechnic Institute and State University: Blacksburg, VA, USA, 2005. [Google Scholar]
- Ng, T.P.; Bussone, W.R. The effect of gender and body size on linear accelerations of the head observed during daily activities. Biomed. Sci. Instrum. 2006, 42, 25–30. [Google Scholar]
- Carriot, J.; Jamali, M.; Chacron, M.J.; Cullen, K.E. Statistics of the vestibular input experienced during natural self-motion: Implications for neural processing. J. Neurosci. 2014, 34, 8347–8357. [Google Scholar] [CrossRef]
- Kuo, C.; Wu, L.C.; Yu, P.P.; Laksari, K.; Camarillo, D.B.; Kuhl, I. Pilot findings of brain displacements and deformations during roller coaster rides. J. Neurotrauma 2017, 34, 3198–3205. [Google Scholar] [CrossRef] [PubMed]
- Bussone, W.R.; Duma, S.M. The effect of gender and body size on angular accelerations of the head observed during everyday activities. Biomed. Sci. Instrum. 2010, 46, 166–171. [Google Scholar] [PubMed]
- Krafft, M.; Kullgren, A.; Ydenius, A.; Tingvall, C. Influence of Crash Pulse Characteristics on Whiplash Associated Disorders in Rear Impacts--Crash Recording in Real Life Crashes. Traffic Inj. Prev. 2002, 3, 141–149. [Google Scholar] [CrossRef]
- Ono, K.; Ejima, S.; Yamazaki, K.; Sato, F.; Pramudita, J.A.; Kaneoka, K.; Ujihashi, S. Evaluation criteria for the reduction of minor neck injuries during rear-end impacts based on human volunteer experiments and accident reconstruction using human FE model simulations. In Proceedings of the International Research Council on the Biomechanics of Impact (IRCOBI) Conference, York, UK, 2009; pp. 381–398. [Google Scholar]
- Sterling, M. Whiplash: Evidence Base for Clinical Practice; Sterling, M., Kenardy, J., Eds.; Churchill Livingstone: Sidney, Australia, 2011; pp. 11–14. [Google Scholar]
- Cormier, J.; Gwin, L.; Reinhart, L.; Wood, R.; Bain, C. A Comprehensive Review of Low-Speed Rear Impact Volunteer Studies and a Comparison to Real-World Outcomes. Spine 2018, 43, 1250–1258. [Google Scholar] [CrossRef] [PubMed]
- Freeman, M.D. Biomechanical, Mechanical, and Epidemiologic Characteristics of Low Speed Rear Impact Collisions. In Proceedings of the 67th Annual Meeting of the American Academy of Forensic Sciences, Orlando, FL, USA, 16–21 February 2015; pp. 517–518. [Google Scholar]
- Croft, A.C.; Freeman, M.D. Correlating crash severity with injury risk, injury severity, and long-term symptoms in low velocity motor vehicle collisions. Med. Sci. Monit. 2005, 11, 316–321. [Google Scholar]
- Robbins, M.C. Lack of Relationship between Vehicle Damage and Occupant Injury: SAE Technical Paper Nr. 970494; SAE International: Warrendale, PA, USA, 1997; pp. 117–119. [Google Scholar]
- Chapline, J.F.; Ferguson, S.A.; Lillis, R.P.; Lund, A.K.; Williams, A.F. Neck pain and head restraint position relative to the driver’s head in rear-end collisions. Accid. Anal. Prev. 2000, 32, 287–297. [Google Scholar] [CrossRef]
- Bartsch, A.J.; Gilbertson, L.G.; Prakash, V.; Morr, D.R.; Wiechel, J.F. Minor crashes and ‘whiplash’in the United States. Ann. Adv. Automot. Med. Sci. Conf. 2008, 52, 117. [Google Scholar]
- Moss, R.T.; Bardas, A.M.; Hughes, M.C.; Happer, A.J. Injury Symptom Risk Curves for Occupants Involved in Rear End Low Speed Motor Vehicle Collisions: SAE Technical Paper Nr. 2005-01-0296; SAE International: Warrendale, PA, USA, 2005. [Google Scholar]
- La Flamme v. Stevens; S.C. 586; Supreme Court of British Columbia: Courtenay, BC, Canada, 1991.
- Vijayakumar, V.; Scher, I.; Gloeckner, D.C.; Pierce, J.; Bove, R.; Young, D. Head Kinematics and Upper Neck Loading during Simulated Low-Speed Rear-End Collisions: A Comparison with Vigorous Activities of Daily Living: SAE Technical Paper Nr. 0247; SAE International: Warrendale, PA, USA, 2006; pp. 155–166. [Google Scholar]
- Funk, J.R.; Cormier, J.M.; Bain, C.E.; Guzman, H.; Bonugli, E. An Evaluation of Various Neck Injury Criteria in Vigorous Activities. Available online: https://brconline.com/publications/an-evaluation-of-various-neck-injury-criteria-in-vigorous-activities/ (accessed on 10 March 2021).
- Society of Automotive Engineers International. SAE J885: Human Tolerance to Impact Conditions as Related to Motor Vehicle Design; SAE International: Warrendale, PA, USA, 2011. [Google Scholar]
- Freeman, M.D.; Croft, A.C.; Rossignol, A.M.; Weaver, D.S.; Reiser, M. A review and methodologic critique of the literature refuting whiplash syndrome. Spine 1999, 24, 86–96. [Google Scholar] [CrossRef]







| Crash Test Variable | n (%) | Mean Delta V, (95% CI) [km/h] | 
|---|---|---|
| Gender, total | 407 | p = 0.70 | 
| Female | 68 (16.7) | 6.3 (5.7–6.9) | 
| Male | 339 (83.3) | 6.8 (6.3–7.2) | 
| Ethics/Consent, total | 380 | p < 0.001 | 
| Yes | 248 (65.3) | 6.2 (5.7–6.6) | 
| No | 132 (34.7) | 6.6 (6.3–6.9) | 
| Subject state, total | 298 | p = 0.002 | 
| Prepared | 108 (36.2) | 7.1 (6.7–7.4) | 
| Unprepared | 190 (63.8) | 6.5 (6.1–6.9) | 
| Post-test symptoms reported, total | 384 | p < 0.001 | 
| Yes | 144 (37.5) | 7.2 (6.7–7.6) | 
| No | 240 (62.5) | 6.0 (5.7–6.3) | 
| Vehicle Type Total | 407 | p < 0.001 | 
| Vehicle | 272 (66.8) | 6.8 (6.5–7.1) | 
| Sled | 127 (31.2) | 5.5 (5.3–5.8) | 
| Bumper Car | 8 (2.0) | 7.0 (6.5–7.6) | 
| Crash Test Subjects | n | Mean (SD) | 
| Age (years) | 331 | 36.1 (10.7) | 
| Height (cm) | 275 | 174.9 (9.9) | 
| Weight (Kg) | 275 | 79.3 (17.6) | 
| Delta V (km/h) | 408 | 6.4 (2.3) | 
| Highest measured acceleration of head (g) | 129 | 5.9 (4.5) | 
| Acceleration at head forward (g) | 80 | 4.1 (3.8) | 
| Acceleration at head rearward (g) | 66 | −2.2 (1.4) | 
| Acceleration at sternum/T1 (g) | 97 | 3.1 (1.2) | 
| Acceleration at L5 (g) | 39 | 2.9 (1.5) | 
| Head angular acceleration (rad/s2) | 53 | −413.9 (369.2) | 
| Impact duration (msec) | 69 | 125.6 (33.7) | 
| NIC Max | 51 | 5.6 (2.9) | 
| ADL (g) | Allen 1994 | Bussone 2005 | Carriot 2014 | Funk 2011 | Kavanagh 2004 | Kuo 2017 | Ng 2006 | Pooled Avg (g) | Total Subjects (n) | |
|---|---|---|---|---|---|---|---|---|---|---|
| Walk | Subjects (n) | 18 | 8 | 16 | 18 | 60 | ||||
| Avg (g) | 0.7 | 1.0 | 0.5 | 0.7 | 0.7 | |||||
| High (g) | 1.0 | 1.0 | 1.0 | |||||||
| Low (g) | 0.5 | 0.5 | ||||||||
| Sit Down | Subjects (n) | 18 | 18 | 36 | ||||||
| Avg (g) | 0.8 | 0.9 | 0.9 | |||||||
| High (g) | 0.8 | 1.4 | 1.6 | |||||||
| Low (g) | 0.4 | 0.4 | ||||||||
| Head Nod | Subjects (n) | 18 | 18 | |||||||
| Avg (g) | 1.3 | 1.3 | ||||||||
| High (g) | 2.8 | 2.8 | ||||||||
| Low (g) | ||||||||||
| Run | Subjects (n) | 18 | 8 | 2 | 18 | 46 | ||||
| Avg (g) | 1.6 | 4.1 | 3.6 | 1.7 | 2.2 | |||||
| High (g) | 2.6 | 2.6 | 2.6 | |||||||
| Low (g) | 1.3 | 1.3 | ||||||||
| Chair Plop | Subjects (n) | 8 | 18 | 20 | 18 | 64 | ||||
| Avg (g) | 4.4 | 2.0 | 3.7 | 2.4 | 3.0 | |||||
| High (g) | 8.5 | 4.0 | 12.0 | 4.0 | 12.0 | |||||
| Low (g) | 1.8 | 2.5 | 1.1 | 1.1 | ||||||
| Hop off Stair | Subjects (n) | 8 | 18 | 20 | 18 | 64 | ||||
| Avg (g) | 4.6 | 3.1 | 3.9 | 3.3 | 3.6 | |||||
| High (g) | 6.7 | 4.2 | 6.1 | 5.0 | 6.7 | |||||
| Low (g) | 1.3 | 1.7 | 2.0 | 1.3 | ||||||
| Vertical Leap | Subjects (n) | 8 | 18 | 26 | ||||||
| Avg (g) | 2.9 | 4.7 | 4.2 | |||||||
| High (g) | 9.5 | 9.5 | ||||||||
| Low (g) | 2.5 | 2.5 | ||||||||
| ADL | Bussone 2005 | Bussone 2010 | Funk 2011 | Kuo 2017 | Pooled Avg (rad/s2) | Total Subjects (n) | |
|---|---|---|---|---|---|---|---|
| Sit Down | Subjects (n) | 18 | 18 | ||||
| Avg (rad/s2) | 13.3 | 13.3 | |||||
| High (rad/s2) | 52.6 | 52.6 | |||||
| Low (rad/s2) | |||||||
| Walk | Subjects (n) | 18 | 18 | 36 | |||
| Avg (rad/s2) | 24.9 | 31.9 | 28.4 | ||||
| High (rad/s2) | 48.6 | 58.0 | 58.0 | ||||
| Low (rad/s2) | 13.8 | 13.8 | |||||
| Run | Subjects (n) | 18 | 18 | 2 | 38 | ||
| Avg (rad/s2) | 66.1 | 80.1 | 161.0 | 70.7 | |||
| High (rad/s2) | 208.7 | 208.7 | 208.7 | ||||
| Low (rad/s2) | 31.6 | 31.6 | |||||
| Head Nod | Subjects (n) | 18 | 18 | 36 | |||
| Avg (rad/s2) | 73.8 | 89.7 | 81.7 | ||||
| High (rad/s2) | 73.9 | 183.1 | 183.1 | ||||
| Low (rad/s2) | 33.9 | 33.9 | |||||
| Chair Plop | Subjects (n) | 18 | 18 | 20 | 56 | ||
| Avg (rad/s2) | 84.5 | 129.1 | 169.0 | 74.7 | |||
| High (rad/s2) | 320.3 | 320.2 | 649.0 | 649.0 | |||
| Low (rad/s2) | 29.2 | 22.0 | 22.0 | ||||
| Hop off Stair | Subjects (n) | 18 | 18 | 20 | 56 | ||
| Avg (rad/s2) | 85.6 | 206.4 | 68.0 | 79.3 | |||
| High (rad/s2) | 232.6 | 445.1 | 170.0 | 445.1 | |||
| Low (rad/s2) | 44.8 | 27.0 | 44.8 | ||||
| Publisher’s Note: MDPI stays neutral with regard to jurisdictional claims in published maps and institutional affiliations. | 
© 2021 by the authors. Licensee MDPI, Basel, Switzerland. This article is an open access article distributed under the terms and conditions of the Creative Commons Attribution (CC BY) license (http://creativecommons.org/licenses/by/4.0/).
Share and Cite
Nolet, P.S.; Nordhoff, L.; Kristman, V.L.; Croft, A.C.; Zeegers, M.P.; Freeman, M.D. Is Acceleration a Valid Proxy for Injury Risk in Minimal Damage Traffic Crashes? A Comparative Review of Volunteer, ADL and Real-World Studies. Int. J. Environ. Res. Public Health 2021, 18, 2901. https://doi.org/10.3390/ijerph18062901
Nolet PS, Nordhoff L, Kristman VL, Croft AC, Zeegers MP, Freeman MD. Is Acceleration a Valid Proxy for Injury Risk in Minimal Damage Traffic Crashes? A Comparative Review of Volunteer, ADL and Real-World Studies. International Journal of Environmental Research and Public Health. 2021; 18(6):2901. https://doi.org/10.3390/ijerph18062901
Chicago/Turabian StyleNolet, Paul S., Larry Nordhoff, Vicki L. Kristman, Arthur C. Croft, Maurice P. Zeegers, and Michael D. Freeman. 2021. "Is Acceleration a Valid Proxy for Injury Risk in Minimal Damage Traffic Crashes? A Comparative Review of Volunteer, ADL and Real-World Studies" International Journal of Environmental Research and Public Health 18, no. 6: 2901. https://doi.org/10.3390/ijerph18062901
APA StyleNolet, P. S., Nordhoff, L., Kristman, V. L., Croft, A. C., Zeegers, M. P., & Freeman, M. D. (2021). Is Acceleration a Valid Proxy for Injury Risk in Minimal Damage Traffic Crashes? A Comparative Review of Volunteer, ADL and Real-World Studies. International Journal of Environmental Research and Public Health, 18(6), 2901. https://doi.org/10.3390/ijerph18062901
 
         
                                                



 
       