Lower Extremity Muscle Activation in Alternative Footwear during Stance Phase of Slip Events
Abstract
1. Introduction
2. Materials and Methods
2.1. Participants
2.2. Instrumentation
2.3. Experimental Procedures
2.4. Data Analysis
2.5. Statistical Analysis
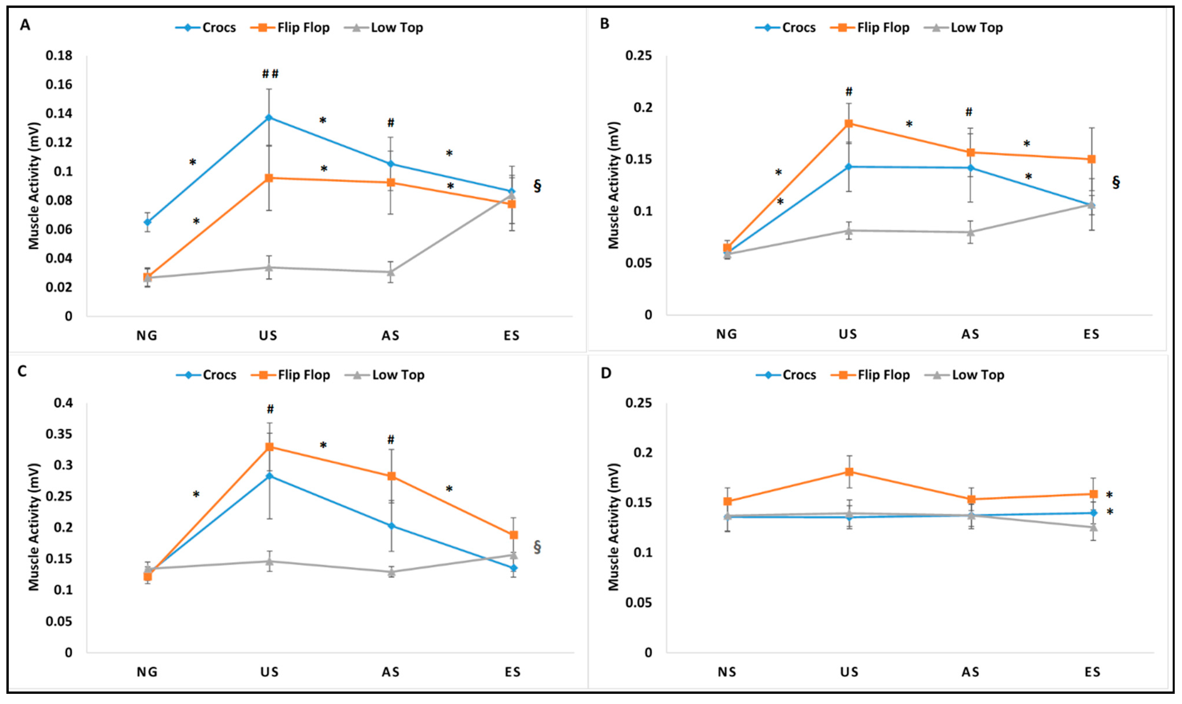
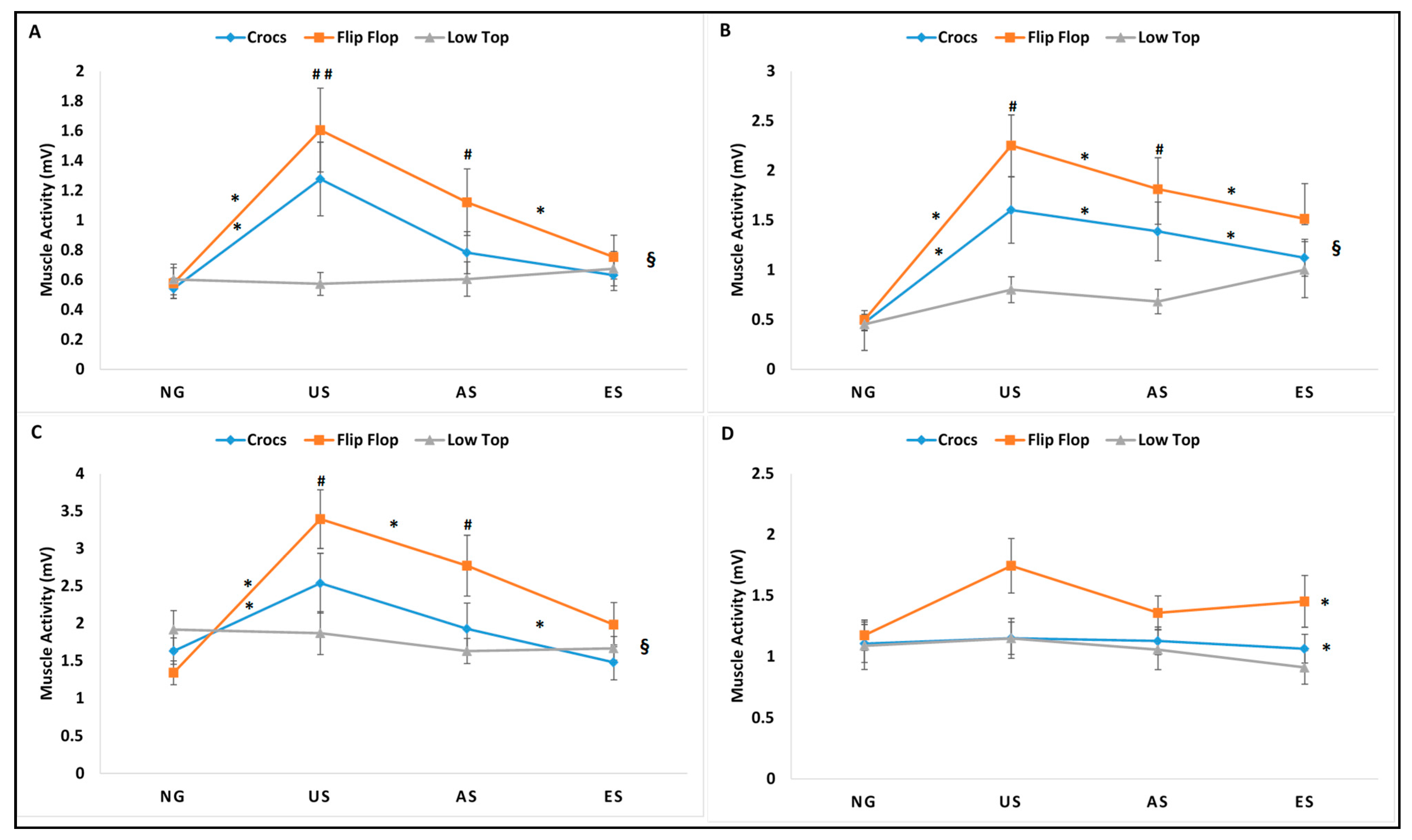
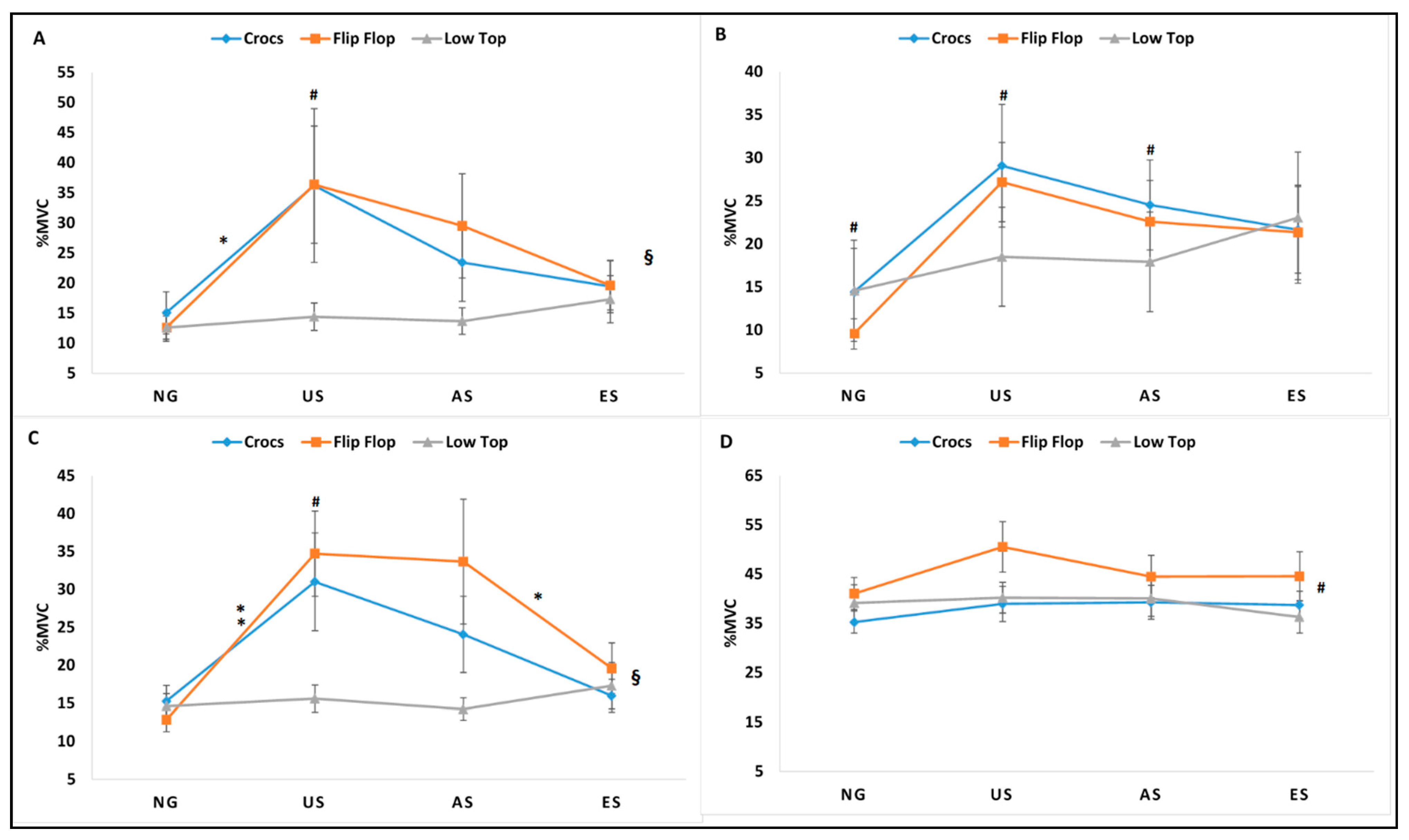
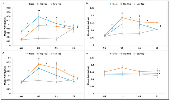
3. Results
4. Discussion
4.1. Extrinsic Factors–Impact of Footwear Design Characteristics
4.2. Intrinsic Factors–Impact of Perception and Anticipation of Slips
5. Conclusions
Author Contributions
Funding
Institutional Review Board Statement
Informed Consent Statement
Conflicts of Interest
References
- DAVIS, P.R. Human Factors Contributing to Slips, Trips and Falls. Ergonomics 1983, 26, 51–59. [Google Scholar] [CrossRef]
- Gauchard, G.; Chau, N.; Mur, J.M.; Perrin, P. Falls and Working Individuals: Role of Extrinsic and Intrinsic Factors. Ergonomics 2001, 44, 1330–1339. [Google Scholar] [CrossRef]
- Kincl, L.D.; Bhattacharya, A.; Succop, P.A.; Clark, C.S. Postural Sway Measurements: A Potential Safety Monitoring Technique for Workers Wearing Personal Protective Equipment. Appl. Occup. Environ. Hyg. 2002, 17, 256–266. [Google Scholar] [CrossRef]
- Chander, H.; Wade, C.; Garner, J.C.; Knight, A.C. Slip Initiation in Alternative and Slip-Resistant Footwear. Int. J. Occup. Saf. Ergon. 2017, 23, 558–569. [Google Scholar] [CrossRef]
- Chambers, A.J.; Cham, R. Slip-Related Muscle Activation Patterns in the Stance Leg during Walking. Gait Posture 2007, 25, 565–572. [Google Scholar] [CrossRef]
- Lockhart, T.E.; Spaulding, J.M.; Park, S.H. Age-Related Slip Avoidance Strategy While Walking over a Known Slippery Floor Surface. Gait Posture 2007, 26, 142–149. [Google Scholar] [CrossRef][Green Version]
- Parijat, P.; Lockhart, T.E. Effects of Quadriceps Fatigue on the Biomechanics of Gait and Slip Propensity. Gait Posture 2008, 28, 568–573. [Google Scholar] [CrossRef] [PubMed]
- Ferber, R.; Osternig, L.R.; Woollacott, M.H.; Wasielewski, N.J.; Lee, J.-H. Reactive Balance Adjustments to Unexpected Perturbations during Human Walking. Gait Posture 2002, 16, 238–248. [Google Scholar] [CrossRef]
- Tang, P.-F.; Woollacott, M.H. Inefficient Postural Responses to Unexpected Slips during Walking in Older Adults. J. Gerontol. Ser. A 1998, 53, M471–M480. [Google Scholar] [CrossRef] [PubMed]
- Tang, P.-F.; Woollacott, M.H. Phase-Dependent Modulation of Proximal and Distal Postural Responses to Slips in Young and Older Adults. J. Gerontol. Ser. A 1999, 54, M89–M102. [Google Scholar] [CrossRef] [PubMed]
- Chander, H.; Garner, J.C.; Wade, C.; Knight, A.C. Postural Control in Workplace Safety: Role of Occupational Footwear and Workload. Safety 2017, 3, 18. [Google Scholar] [CrossRef]
- Chander, H.; Garner, J.C.; Wade, C. Impact on Balance While Walking in Occupational Footwear. Footwear Sci. 2014, 6, 59–66. [Google Scholar] [CrossRef]
- Chander, H.; Morris, C.E.; Wilson, S.J.; Garner, J.C.; Wade, C. Impact of Alternative Footwear on Human Balance. Footwear Sci. 2016, 8, 165–174. [Google Scholar] [CrossRef]
- Menant, J.C.; Perry, S.D.; Steele, J.R.; Menz, H.B.; Munro, B.J.; Lord, S.R. Effects of Shoe Characteristics on Dynamic Stability When Walking on Even and Uneven Surfaces in Young and Older People. Arch. Phys. Med. Rehabil. 2008, 89, 1970–1976. [Google Scholar] [CrossRef]
- Divert, C.; Mornieux, G.; Baur, H.; Mayer, F.; Belli, A. Mechanical Comparison of Barefoot and Shod Running. Int. J. Sports Med. 2005, 26, 593–598. [Google Scholar] [CrossRef]
- Menant, J.C.; Steele, J.R.; Menz, H.B.; Munro, B.J.; Lord, S.R. Effects of Walking Surfaces and Footwear on Temporo-Spatial Gait Parameters in Young and Older People. Gait Posture 2009, 29, 392–397. [Google Scholar] [CrossRef]
- Perry, S.D.; Radtke, A.; Goodwin, C.R. Influence of Footwear Midsole Material Hardness on Dynamic Balance Control during Unexpected Gait Termination. Gait Posture 2007, 25, 94–98. [Google Scholar] [CrossRef]
- Zhang, X.; Paquette, M.R.; Zhang, S. A Comparison of Gait Biomechanics of Flip-Flops, Sandals, Barefoot and Shoes. J. Foot Ankle Res. 2013, 6, 45. [Google Scholar] [CrossRef] [PubMed]
- Willems, C.; Stassijns, G.; Cornelis, W.; D’Août, K. Biomechanical Implications of Walking with Indigenous Footwear. Am. J. Phys. Anthropol. 2017, 162, 782–793. [Google Scholar] [CrossRef] [PubMed]
- Hosoda, M.; Yoshimura, O.; Takayanagi, K.; Kobayashi, R.; Minematsu, A.; Nakayama, A.; Ishibashi, T.; Wilson, C.K. The Effect of Various Footwear Types and Materials, and of Fixing of the Ankles by Footwear, on Upright Posture Control. J. Phys. Ther. Sci. 1997, 9, 47–51. [Google Scholar] [CrossRef]
- Tennant, L.M.; Fok, D.J.; Kingston, D.C.; Winberg, T.B.; Parkinson, R.J.; Laing, A.C.; Callaghan, J.P. Analysis of Invoked Slips While Wearing Flip-Flops in Wet and Dry Conditions: Does Alternative Footwear Alter Slip Kinematics? Appl. Ergon. 2021, 92, 103318. [Google Scholar] [CrossRef] [PubMed]
- Chander, H.; Garner, J.C.; Wade, C. Heel Contact Dynamics in Alternative Footwear during Slip Events. Int. J. Ind. Ergon. 2015, 48, 158–166. [Google Scholar] [CrossRef]
- Chander, H.; Garner, J.C.; Wade, C. Ground Reaction Forces in Alternative Footwear during Slip Events. Int. J. Kinesiol. Sports Sci. 2015, 3, 1–8. [Google Scholar]
- Robinson, L.E.; Rudisill, M.E.; Weimar, W.H.; Shroyer, J.F.; Breslin, C.M.; Morera, M. Footwear and Locomotor Skill Performance in Preschoolers. Percept. Mot. Skills 2011, 113, 534–538. [Google Scholar] [CrossRef] [PubMed]
- Cham, R.; Redfern, M.S. Changes in Gait When Anticipating Slippery Floors. Gait Posture 2002, 15, 159–171. [Google Scholar] [CrossRef]
- Cham, R.; Redfern, M.S. Lower Extremity Corrective Reactions to Slip Events. J. Biomech. 2001, 34, 1439–1445. [Google Scholar] [CrossRef]
- Chander, H.; Wade, C.; Garner, J.C. The Influence of Occupational Footwear on Dynamic Balance Perturbations. Footwear Sci. 2015, 7, 115–126. [Google Scholar] [CrossRef]
- Shroyer, J.F.; Weimar, W.H. Comparative Analysis of Human Gait While Wearing Thong-Style Flip-Flops versus Sneakers. J. Am. Podiatr. Med. Assoc. 2010, 100, 251–257. [Google Scholar] [CrossRef] [PubMed]
- Chard, A.; Greene, A.; Hunt, A.; Vanwanseele, B.; Smith, R. Effect of Thong Style Flip-Flops on Children’s Barefoot Walking and Jogging Kinematics. J. Foot Ankle Res. 2013, 6, 8. [Google Scholar] [CrossRef]
- Iraqi, A.; Cham, R.; Redfern, M.S.; Vidic, N.S.; Beschorner, K.E. Kinematics and Kinetics of the Shoe during Human Slips. J. Biomech. 2018, 74, 57–63. [Google Scholar] [CrossRef]
- Redfern, M.S.; Cham, R.; Gielo-Perczak, K.; Grönqvist, R.; Hirvonen, M.; Lanshammar, H.; Marpet, M.; Pai, C.Y.C., IV; Powers, C. Biomechanics of Slips. Ergonomics 2001, 44, 1138–1166. [Google Scholar] [CrossRef] [PubMed]
- Courtney, T.K.; Webster, B.S. Antecedent Factors and Disabling Occupational Morbidity—Insights from the New BLS Data. AIHAJ Am. Ind. Hyg. Assoc. 2001, 62, 622–632. [Google Scholar] [CrossRef]






| Variable | Footwear Effect | Gait Trials Effect | Interaction (Footwear × Gait Trial) | ||||||
|---|---|---|---|---|---|---|---|---|---|
| p Value | F Statistic | ηp2 | p Value | F Statistic | ηp2 | p Value | F Statistic | ηp2 | |
| Mean VM (mV) | 0.002 * | F (2, 34) = 7.197 | 0.297 | 0.0005 * | F (3, 51) = 12.940 | 0.432 | 0.001 * | F (3.598, 61.171) = 5.662 | 0.25 |
| Mean MH (mV) | 0.008 * | F (2, 34) = 5.561 | 0.246 | 0.0005 * | F (3, 51) = 14.015 | 0.452 | 0.035 * | F (4.381, 74.476) = 2.661 | 0.135 |
| Mean TA (mV) | 0.0005 * | F (2, 34) = 9.656 | 0.362 | 0.0005 * | F (2.020, 34.345) = 10.503 | 0.382 | 0.022 * | F (2.451, 41.667) = 3.876 | 0.186 |
| Mean MG (mV) | 0.013 * | F (2, 34) = 4.972 | 0.226 | 0.306 | F (3, 51) = 1.236 | 0.068 | 0.13 | F (3.506, 59.604) = 1.901 | 0.101 |
| Peak VM (mV) | 0.002 * | F (2, 34) = 7.578 | 0.308 | 0.0005 * | F (2.080, 35.358) = 10.727 | 0.387 | 0.0005 * | F (2.869, 48.766) = 4.686 | 0.216 |
| Peak MH (mV) | 0.002 * | F (2, 34) = 7.239 | 0.299 | 0.0005 * | F (3, 51) = 16.650 | 0.495 | 0.032 * | F (3.362, 57.157) = 3.020 | 0.151 |
| Peak TA (mV) | 0.016 * | F (2, 34) = 4.655 | 0.215 | 0.0005 * | F (3, 51) = 12.091 | 0.416 | 0.001 * | F (3.400, 57.801) = 5.661 | 0.25 |
| Peak MG (mV) | 0.003 * | F (2, 34) = 6.847 | 0.287 | 0.086 | F (3, 51) = 2.320 | 0.12 | 0.098 | F (3.175, 53.977) = 2.181 | 0.114 |
| %MVC VM | 0.102 | F (2, 34) = 2.441 | 0.126 | 0.008 * | F (1.925, 32.721) = 5.726 | 0.252 | 0.045 * | F (2.346, 39.890) = 2.979 | 0.149 |
| %MVC MH | 0.613 | F (1.101, 18.709) = 0.298 | 0.017 | 0.0005* | F (2.061, 35.031) = 9.433 | 0.357 | 0.132 | F (2.036, 34.617) = 2.145 | 0.112 |
| %MVC TA | 0.015 * | F (1.467, 24.933) = 5.773 | 0.253 | 0.0005 * | F (3, 51) = 10.181 | 0.375 | 0.007 * | F (2.739, 46.565) = 4.710 | 0.217 |
| %MVC MG | 0.077 | F (2, 34) = 2.765 | 0.14 | 0.023 * | F (2.065, 35.099) = 4.140 | 0.196 | 0.135 | F (3.168, 53.852) = 1.913 | 0.101 |
Publisher’s Note: MDPI stays neutral with regard to jurisdictional claims in published maps and institutional affiliations. |
© 2021 by the authors. Licensee MDPI, Basel, Switzerland. This article is an open access article distributed under the terms and conditions of the Creative Commons Attribution (CC BY) license (http://creativecommons.org/licenses/by/4.0/).
Share and Cite
Chander, H.; Garner, J.C.; Wade, C.; Knight, A.C. Lower Extremity Muscle Activation in Alternative Footwear during Stance Phase of Slip Events. Int. J. Environ. Res. Public Health 2021, 18, 1533. https://doi.org/10.3390/ijerph18041533
Chander H, Garner JC, Wade C, Knight AC. Lower Extremity Muscle Activation in Alternative Footwear during Stance Phase of Slip Events. International Journal of Environmental Research and Public Health. 2021; 18(4):1533. https://doi.org/10.3390/ijerph18041533
Chicago/Turabian StyleChander, Harish, John C. Garner, Chip Wade, and Adam C. Knight. 2021. "Lower Extremity Muscle Activation in Alternative Footwear during Stance Phase of Slip Events" International Journal of Environmental Research and Public Health 18, no. 4: 1533. https://doi.org/10.3390/ijerph18041533
APA StyleChander, H., Garner, J. C., Wade, C., & Knight, A. C. (2021). Lower Extremity Muscle Activation in Alternative Footwear during Stance Phase of Slip Events. International Journal of Environmental Research and Public Health, 18(4), 1533. https://doi.org/10.3390/ijerph18041533

