Family-to-Work Interface and Workplace Injuries: The Mediating Roles of Burnout, Work Engagement, and Safety Violations
Abstract
:1. Introduction
1.1. Family-To-Work Conflict
1.2. Family-To-Work Enrichment
1.3. Burnout, Work Engagement, Safety Violations, and Workplace Injuries
2. Method
2.1. Participants and Procedures
2.2. Measures
2.2.1. Family-to-work Conflict (FWC)
2.2.2. Family-to-Work Enrichment (FWE)
2.2.3. Burnout
2.2.4. Work Engagement
2.2.5. Safety Violations
2.2.6. Workplace Injuries
2.3. Data Analysis
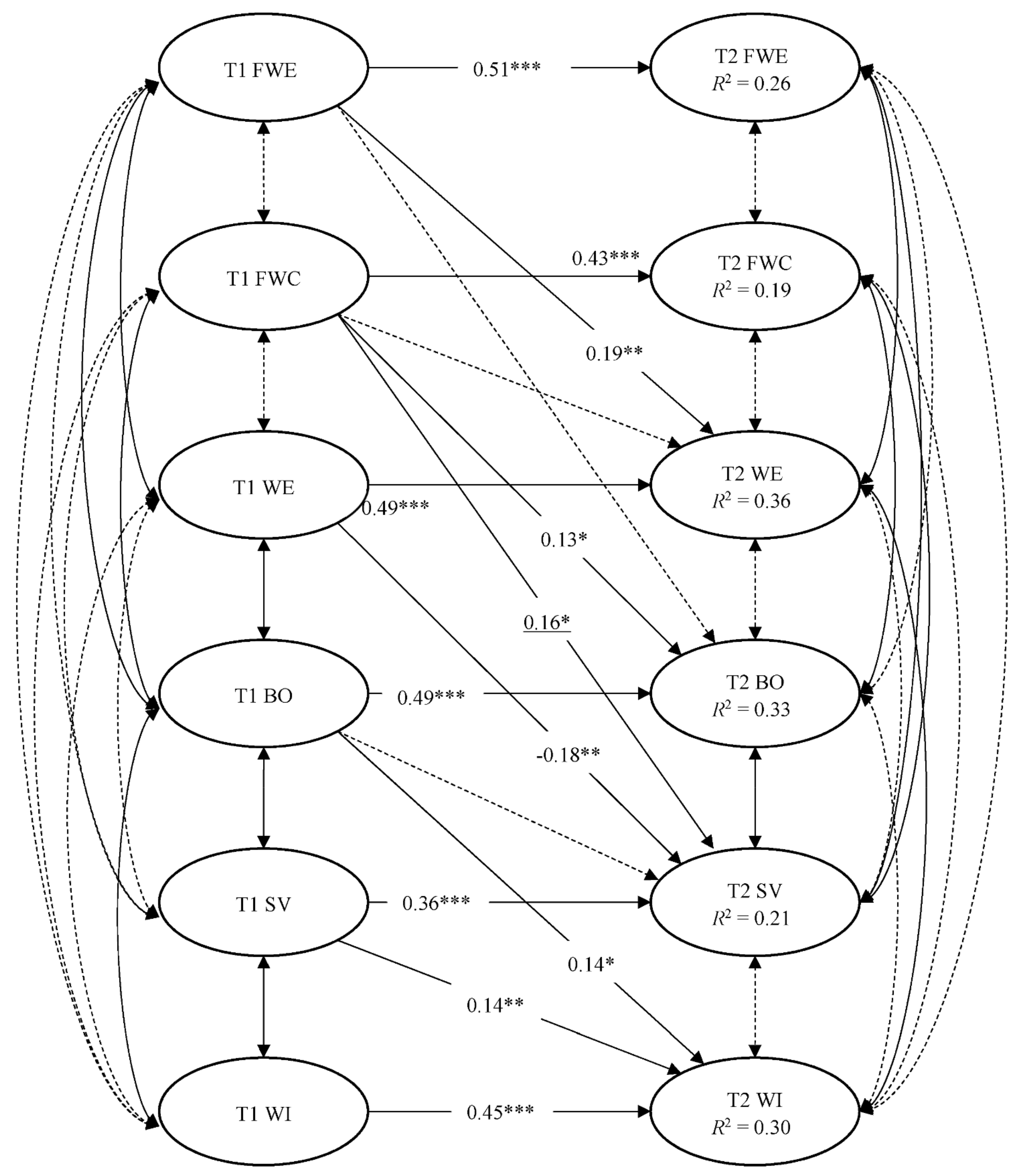
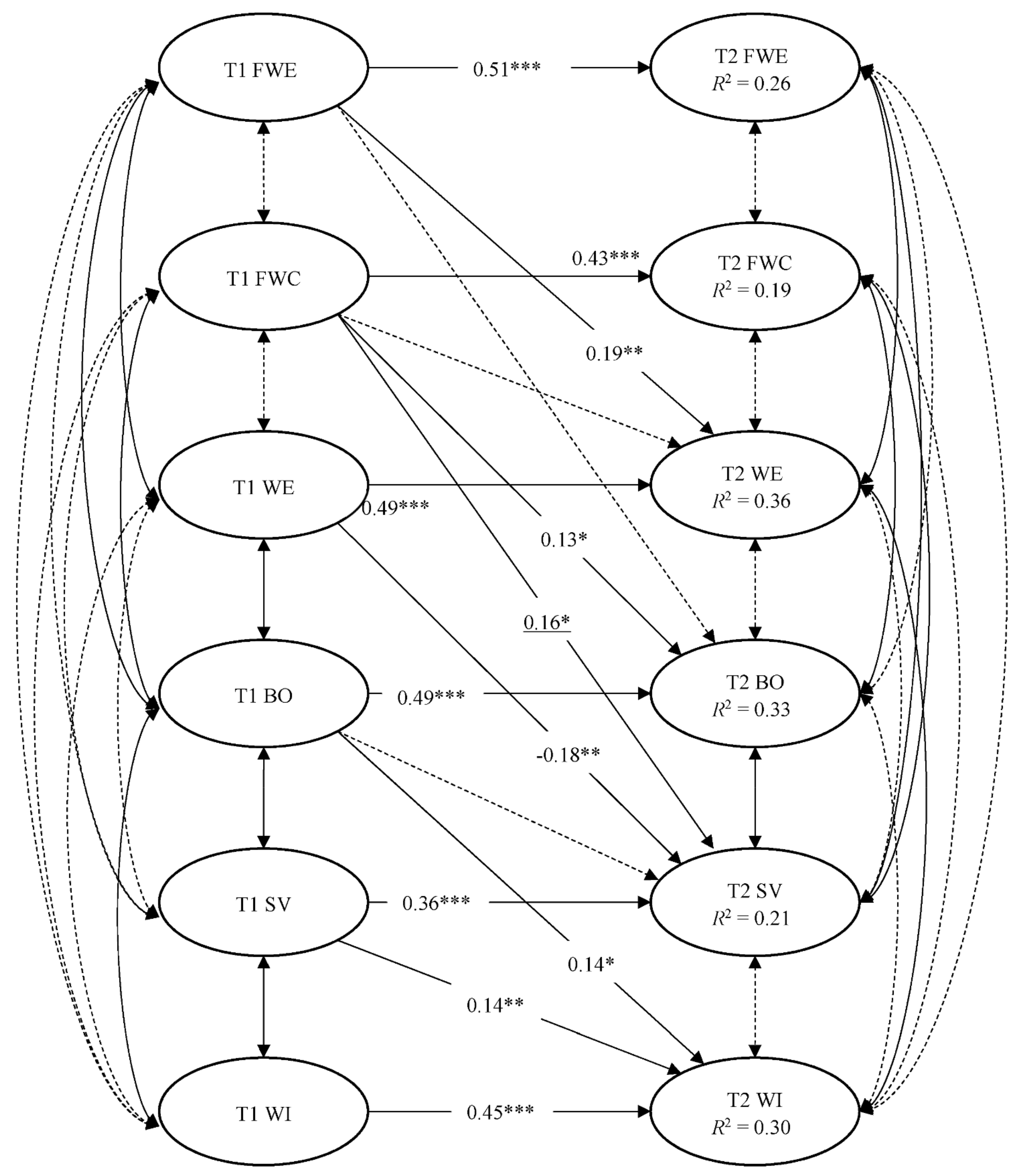
3. Results
3.1. Descriptive Statistics and the Measurement Model
3.2. Hypotheses Testing
4. Discussion
5. Implications
6. Limitations and Future Directions
7. Conclusions
Author Contributions
Funding
Institutional Review Board Statement
Informed Consent Statement
Data Availability Statement
Conflicts of Interest
Appendix A
- The time I spend on family responsibilities often interferes with my work responsibilities.
- The time I spend with my family often causes me not to spend time in activities at work that could be helpful to my career.
- I have to miss work activities due to the amount of time I must spend on family responsibilities.
- Due to stress at home, I am often preoccupied with family matters at work.
- Because I am often stressed from family responsibilities, I have a hard time concentrating on my work.
- Tension and anxiety from my family life often weakens my ability to do my job.
- The behaviors that work for me at home do not seem to be effective at work.
- Behavior that is effective and necessary for me at home would be counterproductive at work.
- The problem-solving behavior that works for me at home does not seem to be as useful at work.
- Helps me gain knowledge and this helps me to be a better worker
- Helps me acquire skills and this helps me to be a better worker
- Helps me expand my knowledge of new things and this helps me to be a better worker.
- Puts me in a good mood and this helps me to be a better worker
- Makes me feel happy and this helps me be to be a better worker
- Makes me cheerful and this helps me to be a better worker
- Requires me to avoid wasting time at work and this helps me to be a better worker
- Encourages me to use my work time in a focused manner and this helps me to be a better worker.
- Causes me to be more focused at work and this helps me to be a better worker
- At my work, I feel bursting with energy.
- At my job, I feel strong and vigorous.
- I am enthusiastic about my job.
- My job inspires me.
- When I get up in the morning, I feel like going to work.
- I feel happy when I am working intensely
- I am proud of the work that I do.
- I am immersed in my work.
- I get carried away when I am working.
- I feel mentally exhausted by my work.
- I doubt the purpose of my work.
- An entire day of work is a great toll for me.
- I can solve the problems in my work adequately.
- I feel “burned out” by my work.
- I have the feeling that I contribute positively with my work at the functioning of the organization.
- I see that I distanced myself from my work too much.
- I’m not as enthusiastic as I used to be about my work.
- I think I’m doing my work well.
- If I finish something at work, I become happy.
- At the end of a workday I feel empty.
- I achieved a lot of valuable things in this job.
- I just want my job not being bothered any further.
- I feel tired when I get up in the morning and there is another workday ahead of me.
- I became more cynical about the effects of my work.
- At work, I have a lot of self-confidence.
- I sometimes cut corners if it makes the task easier.
- Production pressures mean that I sometimes bend the rules.
- Occasionally I bend the rules when I know it is safe to do so.
- When my boss is not around, I can be more flexible with which procedures I follow.
- sprains/strains
- scratches/cuts/punctures
- burns
- contusion/struck by objects
- bone crack/broken
- bone dislocation
- Slip/trip/fall
- injured when moving items/objects
- injured when doing some movements
- injured when using tools
- injured in collisions at work
References
- Takala, J.; Hämäläinen, P.; Saarela, K.L.; Yun, L.Y.; Manickam, K.; Jin, T.W.; Heng, P.; Tjong, C.; Kheng, L.G.; Lim, S.; et al. Global estimates of the burden of injury and illness at work in 2012. J. Occup. Environ. Hyg. 2014, 11, 326–337. [Google Scholar] [CrossRef] [PubMed]
- Haight, J.M.; Kecojevic, V. Automation vs. human intervention: What is the best fit for the best performance? Process Saf. Prog. 2005, 24, 45–51. [Google Scholar] [CrossRef]
- Ji, Z.; Pons, D.; Pearse, J. Why do workers take safety risks? A conceptual model for the motivation underpinning perverse agency. Safety 2018, 4, 24. [Google Scholar] [CrossRef] [Green Version]
- Christian, M.S.; Bradley, J.C.; Wallace, J.C.; Burke, M. Workplace safety: A meta-analysis of the roles of person and situation factors. J. Appl. Psychol. 2009, 94, 1103–1127. [Google Scholar] [CrossRef]
- Clarke, S. An integrative model of safety climate: Linking psychological climate and work attitudes to individual safety outcomes using meta-analysis. J. Occup. Organ. Psychol. 2010, 83, 553–578. [Google Scholar] [CrossRef]
- Hansez, I.; Chmiel, N. Safety behavior: Job demands, job resources, and perceived management commitment to safety. J. Occup. Health Psychol. 2010, 15, 267–278. [Google Scholar] [CrossRef]
- Hofmann, D.A.; Burke, M.J.; Zohar, D. 100 years of occupational safety research: From basic protections and work analysis to a multilevel view of workplace safety and risk. J. Appl. Psychol. 2017, 102, 375–388. [Google Scholar] [CrossRef]
- Nahrgang, J.D.; Morgeson, F.P.; Hofmann, D.A. Safety at work: A meta-analytic investigation of the link between job demands, job resources, burnout, engagement, and safety outcomes. J. Appl. Psychol. 2011, 96, 71–94. [Google Scholar] [CrossRef]
- Zohar, D. Thirty years of safety climate research: Reflections and future directions. Accid. Anal. Prev. 2010, 42, 1517–1522. [Google Scholar] [CrossRef]
- Cullen, J.C.; Hammer, L.B. Developing and testing a theoretical model linking work-family conflict to employee safety. J. Occup. Health Psychol. 2007, 12, 266–278. [Google Scholar] [CrossRef]
- Turner, N.; Hershcovis, M.S.; Reich, T.C.; Totterdell, P. Work–family interference, psychological distress, and workplace injuries. J. Occup. Organ. Psychol. 2014, 87, 715–732. [Google Scholar] [CrossRef] [Green Version]
- Beham, B.; Drobnič, S.; Präg, P. Work demands and resources and the work–family interface: Testing a salience model on German service sector employees. J. Vocat. Behav. 2011, 78, 110–122. [Google Scholar] [CrossRef] [Green Version]
- Eby, L.T.; Casper, W.J.; Lockwood, A.; Bordeaux, C.; Brinley, A. Work and family research in IO/OB: Content analysis and review of the literature (1980–2002). J. Vocat. Behav. 2005, 66, 124–197. [Google Scholar] [CrossRef]
- Lazarova, M.; Westman, M.; Shaffer, M.A. Elucidating the positive side of the work-family interface on international assignments: A model of expatriate work and family performance. Acad. Manag. Rev. 2010, 35, 93–117. [Google Scholar]
- Hobfoll, S.E. Conservation of resources: A new attempt at conceptualizing stress. Am. Psychol. 1989, 44, 513–524. [Google Scholar] [CrossRef]
- Hobfoll, S.E. The influence of culture, community, and the nested-self in the stress process: Advancing conservation of resources theory. Appl. Psychol. 2001, 50, 337–421. [Google Scholar] [CrossRef]
- Greenhaus, J.H.; Beutell, N.J. Sources of conflict between work and family roles. Acad. Manag. Rev. 1985, 10, 76–88. [Google Scholar] [CrossRef]
- Nohe, C.; Meier, L.L.; Sonntag, K.; Michel, A. The chicken or the egg? A meta-analysis of panel studies of the relationship between work–family conflict and strain. J. Appl. Psychol. 2015, 100, 522–536. [Google Scholar] [CrossRef] [Green Version]
- Greenhaus, J.H.; Powell, G.N. When work and family are allies: A theory of work-family enrichment. Acad. Manag. Rev. 2006, 31, 72–92. [Google Scholar] [CrossRef]
- Lu, C.-Q.; Siu, O.-L.; Chen, W.-Q.; Wang, H.-J. Family mastery enhances work engagement in Chinese nurses: A cross-lagged analysis. J. Vocat. Behav. 2011, 78, 100–109. [Google Scholar] [CrossRef]
- Siu, O.L. Industrial Accident Prevention Programme for Infrastructure Maintenance Department, MTR Corporation; Unpublished report; Lingnan University: Hong Kong, China, 2011. [Google Scholar]
- Siu, O.L. Consultancy Services of Fatigue Risk Management Training for the MTR Corporation; Unpublished report; Lingnan University: Hong Kong, China, 2012. [Google Scholar]
- Siu, O.L.; Phillips, D.R.; Leung, T.-W. Safety climate and safety performance among construction workers in Hong Kong: The role of psychological strains as mediators. Accid. Anal. Prev. Sci. 2004, 36, 359–366. [Google Scholar] [CrossRef]
- Hammer, L.B.; Johnson, R.C.; Crain, T.L.; Bodner, T.; Kossek, E.E.; Davis, K.D.; Kelly, E.L.; Buxton, O.M.; Karuntzos, G.; Chosewood, L.C. Intervention effects on safety compliance and citizenship behaviors: Evidence from the work, family, and health study. J. Appl. Psychol. 2016, 101, 190–208. [Google Scholar] [CrossRef] [PubMed] [Green Version]
- Carlson, D.S.; Kacmar, K.M.; Zivnuska, S.; Ferguson, M.; Whitten, D. Work-family enrichment and job performance: A constructive replication of affective events theory. J. Occup. Health Psychol. 2011, 16, 297. [Google Scholar] [CrossRef] [PubMed]
- Wayne, J.H.; Grzywacz, J.G.; Carlson, D.S.; Kacmar, K.M. Work–family facilitation: A theoretical explanation and model of primary antecedents and consequences. Hum. Resour. Manag. Rev. 2007, 17, 63–76. [Google Scholar] [CrossRef]
- Wayne, J.H.; Randel, A.E.; Stevens, J. The role of identity and work–family support in work–family enrichment and its work-related consequences. J. Vocat. Behav. 2006, 69, 445–461. [Google Scholar] [CrossRef]
- Odle-Dusseau, H.N.; Britt, T.W.; Greene-Shortridge, T.M. Organizational work–family resources as predictors of job performance and attitudes: The process of work–family conflict and enrichment. J. Occup. Health Psychol. 2012, 17, 28. [Google Scholar] [CrossRef]
- Tang, S.W.; Siu, O.L.; Cheung, F. A study of work–family enrichment among Chinese employees: The mediating role between work support and job satisfaction. Appl. Psychol. 2014, 63, 130–150. [Google Scholar] [CrossRef]
- Bakker, A.B.; Demerouti, E. The job demands-resources model: State of the art. J. Manag. Psychol. 2007, 22, 309–328. [Google Scholar] [CrossRef] [Green Version]
- Bakker, A.B.; Demerouti, E. Job demands–resources theory: Taking stock and looking forward. J. Occup. Health Psychol. 2017, 22, 273–285. [Google Scholar] [CrossRef]
- Maslach, C.; Jackson, S.E.; Leiter, M.P. Maslach Burnout Inventory Manual, 3rd ed.; Consulting Psychologists Press: Palo Alto, CA, USA, 1996. [Google Scholar]
- Bakker, A.B.; Schaufeli, W.B.; Leiter, M.P.; Taris, T.W. Work engagement: An emerging concept in occupational health psychology. Work Stress 2008, 22, 187–200. [Google Scholar] [CrossRef]
- Lapierre, L.M.; Hammer, L.B.; Truxillo, D.M.; Murphy, L.A. Family interference with work and workplace cognitive failure: The mitigating role of recovery experiences. J. Vocat. Behav. 2012, 81, 227–235. [Google Scholar] [CrossRef]
- Innstrand, S.T.; Melbye Langballe, E.; Arild Espnes, G.; Falkum, E.; Aasland, O.G. Positive and negative work–family interaction and burnout: A longitudinal study of reciprocal relations. Work Stress 2008, 22, 1–15. [Google Scholar] [CrossRef]
- Van Hooff, M.L.; Geurts, S.A.; Beckers, D.G.; Kompier, M.A. Daily recovery from work: The role of activities, effort and pleasure. Work Stress 2011, 25, 55–74. [Google Scholar] [CrossRef]
- Karatepe, O.M.; Karadas, G. Service employees’ fit, work-family conflict, and work engagement. J. Serv. Mark. 2016, 30, 554–566. [Google Scholar] [CrossRef]
- Hammer, L.B.; Cullen, J.C.; Neal, M.B.; Sinclair, R.R.; Shafiro, M.V. The longitudinal effects of work-family conflict and positive spillover on depressive symptoms among dual-earner couples. J. Occup. Health Psychol. 2005, 10, 138. [Google Scholar] [CrossRef]
- Liu, Y.; Wang, M.; Chang, C.-H.; Shi, J.; Zhou, L.; Shao, R. Work–family conflict, emotional exhaustion, and displaced aggression toward others: The moderating roles of workplace interpersonal conflict and perceived managerial family support. J. Appl. Psychol. 2015, 100, 793–808. [Google Scholar] [CrossRef]
- Livingston, B.A.; Judge, T.A. Emotional responses to work-family conflict: An examination of gender role orientation among working men and women. J. Appl. Psychol. 2008, 93, 207–216. [Google Scholar] [CrossRef]
- Judge, T.A.; Ilies, R.; Scott, B.A. Work–family conflict and emotions: Effects at work and at home. Pers. Psychol. 2006, 59, 779–814. [Google Scholar] [CrossRef]
- Siu, O.L.; Lu, J.-F.; Brough, P.; Lu, C.-Q.; Bakker, A.B.; Kalliath, T.; O’Driscoll, M.; Phillips, D.R.; Chen, W.-Q.; Lo, D. Role resources and work–family enrichment: The role of work engagement. J. Vocat. Behav. 2010, 77, 470–480. [Google Scholar] [CrossRef]
- Ten Brummelhuis, L.L.; Haar, J.M.; Roche, M. Does family life help to be a better leader? A closer look at crossover processes from leaders to followers. Pers. Psychol. 2014, 67, 917–949. [Google Scholar] [CrossRef]
- Amstad, F.T.; Meier, L.L.; Fasel, U.; Elfering, A.; Semmer, N.K. A meta-analysis of work–family conflict and various outcomes with a special emphasis on cross-domain versus matching-domain relations. J. Occup. Health Psychol. 2011, 16, 151. [Google Scholar] [CrossRef] [Green Version]
- Lapierre, L.M.; Allen, T.D. Control at work, control at home, and planning behavior: Implications for work–family conflict. J. Manag. 2012, 38, 1500–1516. [Google Scholar] [CrossRef]
- Laurent, J.; Chmiel, N.; Hansez, I. Jobs and safety: A social exchange perspective in explaining safety citizenship behaviors and safety violations. Saf. Sci. 2018, 110, 291–299. [Google Scholar] [CrossRef]
- Beal, D.J.; Weiss, H.M.; Barros, E.; MacDermid, S.M. An episodic process model of affective influences on performance. J. Appl. Psychol. 2005, 90, 1054–1068. [Google Scholar] [CrossRef]
- Reason, J.; Parker, D.; Lawton, R. Organizational controls and safety: The varieties of rule-related behaviour. J. Occup. Health Psychol. 1998, 71, 289–304. [Google Scholar] [CrossRef]
- Chmiel, N. Promoting healthy work: Self-reported minor injuries, work characteristics, and safety behaviour. In Change and Quality in Human Service Work; Korunka, C., Hoffman, P., Eds.; Rainer Hampp Verlag: Munich, Germany, 2005; pp. 277–288. [Google Scholar]
- Clarke, S. The effect of challenge and hindrance stressors on safety behavior and safety outcomes: A meta-analysis. J. Occup. Health Psychol. 2012, 17, 387–397. [Google Scholar] [CrossRef] [PubMed]
- Probst, T.M.; Brubaker, T.L. The effects of job insecurity on employee safety outcomes: Cross-sectional and longitudinal explorations. J. Occup. Health Psychol. 2001, 6, 139–159. [Google Scholar] [CrossRef] [PubMed]
- Carlson, D.S.; Kacmar, K.M.; Williams, L.J. Construction and initial validation of a multidimensional measure of work–family conflict. J. Vocat. Behav. 2000, 56, 249–276. [Google Scholar] [CrossRef]
- Carlson, D.S.; Kacmar, K.M.; Wayne, J.H.; Grzywacz, J.G. Measuring the positive side of the work–family interface: Development and validation of a work–family enrichment scale. J. Vocat. Behav. 2006, 68, 131–164. [Google Scholar] [CrossRef]
- Lu, C.-q.; Wang, H.-j.; Lu, J.-j.; Du, D.-y.; Bakker, A.B. Does work engagement increase person–job fit? The role of job crafting and job insecurity. J. Vocat. Behav. 2014, 84, 142–152. [Google Scholar] [CrossRef]
- Schaufeli, W.B.; Bakker, A.B.; Salanova, M. The measurement of work engagement with a short questionnaire: A cross-national study. Educ. Psychol. Meas. 2006, 66, 701–716. [Google Scholar] [CrossRef]
- Cole, D.A.; Maxwell, S.E. Testing mediational models with longitudinal data: Questions and tips in the use of structural equation modeling. J. Abnorm. Psychol. 2003, 112, 558–577. [Google Scholar] [CrossRef] [Green Version]
- Lo, B.C.Y.; Ng, T.K.; So, Y. Parental Demandingness Predicts Adolescents’ Rumination and Depressive Symptoms in a One-year Longitudinal Study. J. Abnorm. Child. Psych. 2021, 49, 117–123. [Google Scholar]
- Little, T.D.; Cunningham, W.A.; Shahar, G.; Widaman, K.F. To parcel or not to parcel: Exploring the question, weighing the merits. Struct. Equ. Modeling 2002, 9, 151–173. [Google Scholar] [CrossRef]
- Hu, L.-t.; Bentler, P.M. Cutoff criteria for fit indexes in covariance structure analysis: Conventional criteria versus new alternatives. Struct. Equ. Modeling A Multidiscip. J. 1999, 6, 1–55. [Google Scholar] [CrossRef]
- Ye, S.; Ng, T.K.; Lam, C.L. Nostalgia and temporal life satisfaction. J. Happiness Stud. 2018, 19, 1749–1762. [Google Scholar] [CrossRef]
- Ye, S.; Ng, T.K.; Lu, E.Y.; Ma, Z. Chinese Proverb Scale: Development and validation of an indigenous measure of Chinese traditional values. Asian J. Soc. Psychol. 2018, 21, 156–177. [Google Scholar] [CrossRef]
- Burnham, K.P.; Anderson, D.R. Multimodel inference: Understanding AIC and BIC in model selection. Sociol. Methods Res. 2004, 33, 261–304. [Google Scholar] [CrossRef]
- Ng, T.K. Psychometric properties of the Chinese version of the Intimacy, Passion, and Commitment Scale. Curr. Psychol. 2020, 39, 58–67. [Google Scholar] [CrossRef]
- Ng, T.K.; Rochelle, T.L.; Shardlow, S.M.; Ng, S.H. A transnational bicultural place model of cultural selves and psychological citizenship: The case of Chinese immigrants in Britain. J. Environ. Psychol. 2014, 40, 440–450. [Google Scholar] [CrossRef] [Green Version]
- James, L.R.; Mulaik, S.A.; Brett, J.M. A tale of two methods. Organ. Res. Methods 2006, 9, 233–244. [Google Scholar] [CrossRef]
- DeWall, C.N.; Baumeister, R.F.; Stillman, T.F.; Gailliot, M.T. Violence restrained: Effects of self-regulation and its depletion on aggression. J. Exp. Soc. Psychol. 2007, 43, 62–76. [Google Scholar] [CrossRef]
- Grandey, A.A.; Fisk, G.M.; Steiner, D. Must” service with a smile” be stressful? The moderating role of personal control for American and French employees. J. Appl. Psychol. 2005, 90, 893–904. [Google Scholar] [CrossRef] [Green Version]
- Hammer, L.B.; Kossek, E.E.; Anger, W.K.; Bodner, T.; Zimmerman, K.L. Clarifying work–family intervention processes: The roles of work–family conflict and family-supportive supervisor behaviors. J. Appl. Psychol. 2011, 96, 134–150. [Google Scholar] [CrossRef] [Green Version]




| n | % | |
|---|---|---|
| Occupation | ||
| Nurse | 166 | 71.2 |
| Railway worker | 67 | 28.8 |
| Gender | ||
| Male | 84 | 36.4 |
| Female | 147 | 63.6 |
| Age | ||
| 24 or below | 19 | 8.3 |
| 25–29 | 58 | 25.2 |
| 30–34 | 21 | 9.1 |
| 35–39 | 36 | 15.7 |
| 40–44 | 26 | 11.3 |
| 45–49 | 30 | 13.0 |
| 50–54 | 25 | 10.9 |
| 55 or above | 15 | 6.5 |
| Marital Status | ||
| Never married | 123 | 52.8 |
| Married | 110 | 47.2 |
| Education | ||
| High school or below | 185 | 79.4 |
| Bachelor’s degree or above | 48 | 20.6 |
| Position | ||
| Manager or supervisor | 74 | 31.8 |
| Frontline staff | 159 | 68.2 |
| Shift work | ||
| Yes | 142 | 60.9 |
| No | 91 | 39.1 |
| Variable | M | SD | 1 | 2 | 3 | 4 | 5 | 6 | 7 | 8 | 9 | 10 | 11 | 12 |
|---|---|---|---|---|---|---|---|---|---|---|---|---|---|---|
| 1. T1 FWE | 3.58 | 0.61 | (0.93) | |||||||||||
| 2. T1 FWC | 2.52 | 0.58 | 0.02 | (0.84) | ||||||||||
| 3. T1 WE | 3.19 | 0.98 | 0.42 ** | −0.04 | (0.92) | |||||||||
| 4. T1 BO | 3.45 | 0.64 | −0.15 * | 0.34 *** | −0.25 *** | (0.84) | ||||||||
| 5. T1 SV | 3.00 | 0.83 | −0.02 | 0.13 | −0.06 | 0.23 ** | (0.83) | |||||||
| 6. T1 WI | 1.21 | 0.38 | −0.04 | 0.03 | −0.09 | 0.18 ** | 0.17 ** | (0.80) | ||||||
| 7. T2 FWE | 3.60 | 0.61 | 0.50 *** | 0.06 | 0.26 *** | −0.02 | −0.07 | −0.06 | (0.94) | |||||
| 8.T2 FWC | 2.58 | 0.61 | −0.04 | 0.45 *** | −0.08 | 0.27 *** | 0.20 ** | 0.01 | 0.04 | (0.88) | ||||
| 9. T2 WE | 3.71 | 1.12 | 0.38 ** | −0.02 | 0.58 *** | −0.16 * | −0.07 | −0.16 * | 0.37 *** | 0.00 | (0.94) | |||
| 10. T2 BO | 3.55 | 0.70 | −0.18 ** | 0.28 *** | −0.23 ** | 0.56 *** | 0.21 ** | 0.20 ** | −0.07 | 0.39 *** | −0.24 *** | (0.87) | ||
| 11.T2 SV | 3.19 | 0.85 | −0.09 | 0.18 ** | −0.20 ** | 0.21 ** | 0.45 *** | 0.05 | 0.06 | 0.40 *** | −0.06 | 0.37 *** | (0.84) | |
| 12. T2 WI | 1.27 | 0.50 | 0.01 | 0.13 | −0.13 * | 0.21 ** | 0.23 ** | 0.51 *** | 0.00 | 0.07 | −0.22 ** | 0.18 ** | 0.13 | (0.83) |
| Indirect Effect | b | BC 95% CI | β |
|---|---|---|---|
| FWC → BO → SV → WI | 0.00 | [−0.004, 0.01] | 0.00 |
| FWC → WE → SV → WI | 0.00 | [−0.003, 0.01] | 0.00 |
| FWE → BO → SV → WI | 0.00 | [−0.01, 0.003] | 0.00 |
| FWE → WE → SV → WI | −0.01 * | [−0.02, −0.002] | −0.01 |
| FWC → BO → WI | 0.02 * | [0.000, 0.07] | 0.02 |
| FWC → SV → WI | 0.03 * | [0.003, 0.07] | 0.02 |
Publisher’s Note: MDPI stays neutral with regard to jurisdictional claims in published maps and institutional affiliations. |
© 2021 by the authors. Licensee MDPI, Basel, Switzerland. This article is an open access article distributed under the terms and conditions of the Creative Commons Attribution (CC BY) license (https://creativecommons.org/licenses/by/4.0/).
Share and Cite
Siu, O.L.; Ng, T.K. Family-to-Work Interface and Workplace Injuries: The Mediating Roles of Burnout, Work Engagement, and Safety Violations. Int. J. Environ. Res. Public Health 2021, 18, 11760. https://doi.org/10.3390/ijerph182211760
Siu OL, Ng TK. Family-to-Work Interface and Workplace Injuries: The Mediating Roles of Burnout, Work Engagement, and Safety Violations. International Journal of Environmental Research and Public Health. 2021; 18(22):11760. https://doi.org/10.3390/ijerph182211760
Chicago/Turabian StyleSiu, Oi Ling, and Ting Kin Ng. 2021. "Family-to-Work Interface and Workplace Injuries: The Mediating Roles of Burnout, Work Engagement, and Safety Violations" International Journal of Environmental Research and Public Health 18, no. 22: 11760. https://doi.org/10.3390/ijerph182211760
APA StyleSiu, O. L., & Ng, T. K. (2021). Family-to-Work Interface and Workplace Injuries: The Mediating Roles of Burnout, Work Engagement, and Safety Violations. International Journal of Environmental Research and Public Health, 18(22), 11760. https://doi.org/10.3390/ijerph182211760
