Multi-Objective Optimal Allocation of River Basin Water Resources under Full Probability Scenarios Considering Wet–Dry Encounters: A Case Study of Yellow River Basin
Abstract
:1. Introduction
2. Study Area and Data Source
2.1. Study Area
2.2. Data Sources
3. Research Methodology
3.1. Scenario Setting
3.2. Analysis of Wet–Dry Encounters between Basins and Regions
3.3. Full Probability Scenarios Considering Wet–Dry Encounters between Basins and Regions (FPS-MOWAM) Considering Wet–Dry Encounters
3.3.1. Objective Functions
Equality Objective
Benefit Objective
3.3.2. Constraint Setting
Constraints on Water Supply and Demand
Constraints on Reservoir Water
Constraints on Eco-Environmental Flow
Constraints on Non-Negative Variables
3.3.3. Global Model
3.4. Model Solution and Scheme Optimisation
3.4.1. Solution of Multi-Objective Model Based on NSGA-II
3.4.2. Scheme Optimisation Based on the Fuzzy Comprehensive Evaluation Model
4. Results and Recommendations
4.1. Analysis of Wet–Dry Encounters in the Yellow River Basin
4.1.1. Precipitation Spatial Clustering
4.1.2. Joint Distribution Function Optimisation
4.1.3. Scenarios and Probabilities of Wet–Dry Encounters between the Yellow River Basin and Regions
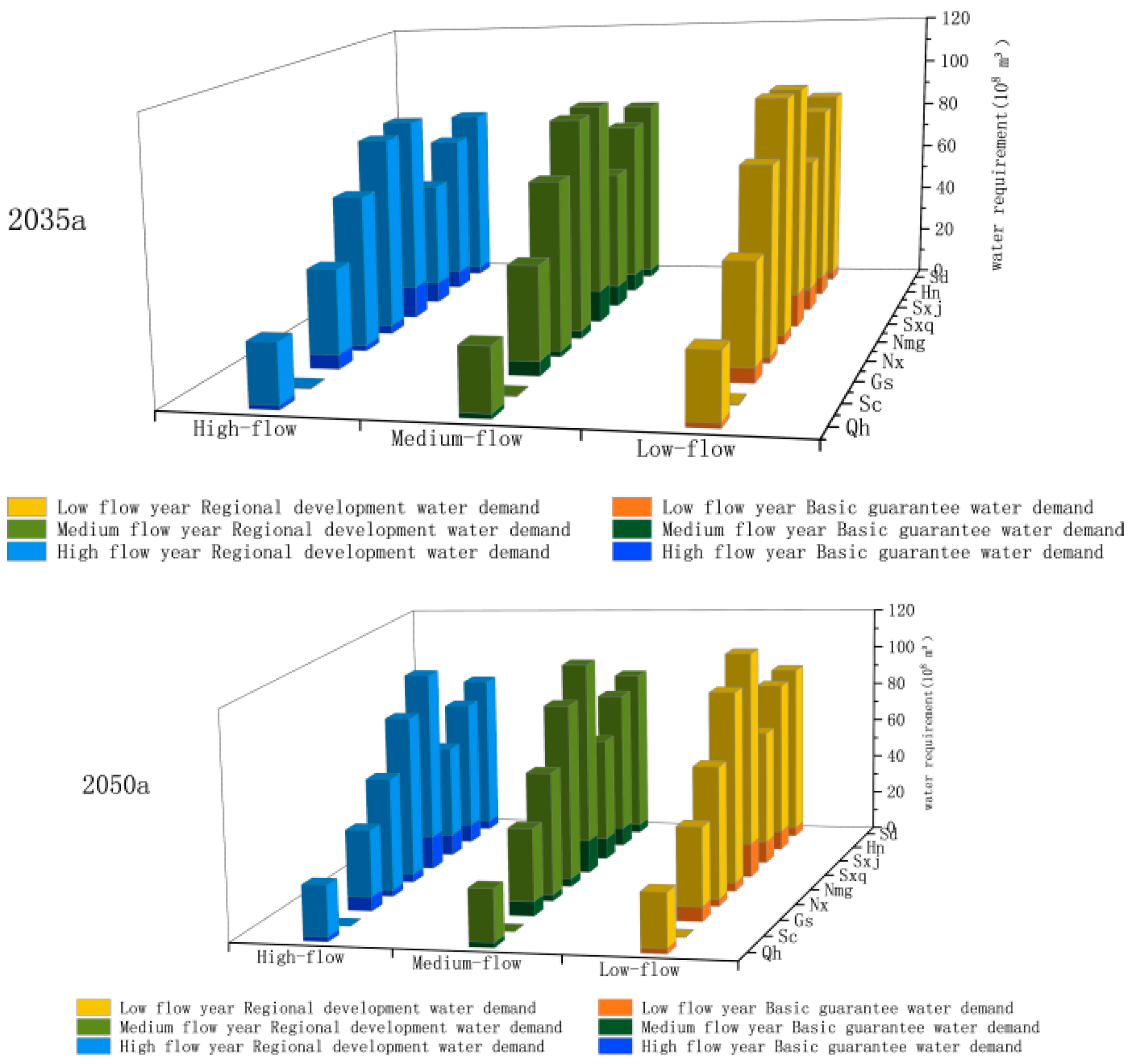
4.2. Water Demand Forecast for Each Province in the Yellow River Basin
4.3. Water Resource Allocation Scheme in the Yellow River Basin
4.4. Analysis of Social and Economic Benefits
4.5. Analysis of the Difference between the Water Allocation Scheme and Expected Water Demand
4.6. Rationality Analysis of the Water Allocation Scheme Based on FPS-MOWAM
5. Conclusions
Author Contributions
Funding
Institutional Review Board Statement
Informed Consent Statement
Data Availability Statement
Acknowledgments
Conflicts of Interest
References
- Babel, M.S.; Gupta, A.D.; Nayak, D.K. A model for optimal allocation of water to competing demands. Water Resour. Manag. 2005, 19, 693–712. [Google Scholar] [CrossRef]
- Xuan, W.; Quan, C.; Shuyi, L. An optimal water allocation model based on water resources security assessment and its application in Zhangjiakou Region, Northern China. Resour. Conserv. Recycl. 2012, 69, 57–65. [Google Scholar] [CrossRef]
- Zhang, J.; Dong, Z.; Chen, T. Multi-Objective optimal allocation of water resources based on the NSGA-2 Algorithm while considering intergenerational equity: A case study of the middle and upper reaches of Huaihe River Basin, China. Int. J. Environ. Res. Public Health 2020, 17, 9289. [Google Scholar] [CrossRef]
- Roozbahani, R.; Schreider, S.; Abbasi, B. Optimal water allocation through a multi-objective compromise between environmental, social, and economic preferences. Environ. Model. Softw. 2015, 64, 18–30. [Google Scholar] [CrossRef]
- Habibi Davijani, M.; Banihabib, M.E.; Nadjafzadeh Anvar, A.; Hashemi, S.R. Optimization model for the allocation of water resources based on the maximization of employment in the agriculture and industry sectors. J. Hydrol. 2016, 533, 430–438. [Google Scholar] [CrossRef]
- Safari, N.; Zarghami, M.; Szidarovszky, F. Nash bargaining and leader-follower models in water allocation: Application to the Zarrinehrud River Basin, Iran. Appl. Math. Model. 2014, 38, 1959–1968. [Google Scholar] [CrossRef]
- Veintimilla-Reyes, J.; Cattrysse, D.; De Meyer, A.; Van Orshoven, J. Mixed integer linear programming (MILP) approach to deal with spatio-temporal water allocation. Procedia Eng. 2016, 162, 221–229. [Google Scholar] [CrossRef] [Green Version]
- Tsai, W.-P.; Cheng, C.-L.; Uen, T.-S.; Zhou, Y.; Chang, F.-J. Drought mitigation under urbanization through an intelligent water allocation system. Agric. Water Manag. 2019, 213, 87–96. [Google Scholar] [CrossRef]
- Massé, P.; Boutteville, R. Les Réserves et La Régulation de L’avenir dans La Vie Économiques; Hermann Et Cie: Paris, France, 1946. [Google Scholar]
- Read, L.; Madani, K.; Inanloo, B. Optimality versus stability in water resource allocation. J. Environ. Manag. 2014, 133, 343–354. [Google Scholar] [CrossRef]
- DeShan, T. Optimal allocation of water resources in large river basins: I. theory. Water Resour. Manag. 1995, 13, 39–51. [Google Scholar]
- De-León Almaraz, S.; Boix, M.; Montastruc, L.; Azzaro-Pantel, C.; Liao, Z.; Domenech, S. Design of a water allocation and energy network for multi-contaminant problems using multi-objective optimization. Process Saf. Environ. 2016, 103, 348–364. [Google Scholar] [CrossRef] [Green Version]
- Li, M.; Guo, P. A multi-objective optimal allocation model for irrigation water resources under multiple uncertainties. Appl. Math. Model. 2014, 38, 4897–4911. [Google Scholar] [CrossRef]
- Wang, X.; Sun, Y.; Song, L.; Mei, C. An eco-environmental water demand based model for optimising water resources using hybrid genetic simulated annealing algorithms. Part, I. Model development. J. Environ. Manag. 2009, 90, 2628–2635. [Google Scholar] [CrossRef] [PubMed]
- Ye, Q.; Li, Y.; Zhuo, L.; Zhang, W.; Xiong, W.; Wang, C.; Wang, P. Optimal allocation of physical water resources integrated with virtual water trade in water scarce regions: A case study for Beijing, China. Water Res. 2018, 129, 264–276. [Google Scholar] [CrossRef]
- Georgakakos, K.P. Water supply and demand sensitivities of linear programming solutions to a water allocation problem. Appl. Math. 2012, 03, 1285–1297. [Google Scholar] [CrossRef] [Green Version]
- Li, W.; Jiao, K.; Bao, Z.; Xie, Y.; Zhen, J.; Huang, G.; Fu, L. Chance-constrained dynamic programming for multiple water resources allocation management associated with risk-aversion analysis: A case study of Beijing, China. Water 2017, 9, 596. [Google Scholar] [CrossRef]
- Li, M.; Fu, Q.; Singh, V.P.; Liu, D. An interval multi-objective programming model for irrigation water allocation under uncertainty. Agric. Water Manag. 2018, 196, 24–36. [Google Scholar] [CrossRef]
- Morais, D.C.; de Almeida, A.T. Group decision making on water resources based on analysis of individual rankings. Omega 2012, 40, 42–52. [Google Scholar] [CrossRef]
- Kucukmehmetoglu, M. An integrative case study approach between game theory and Pareto frontier concepts for the transboundary water resources allocations. J. Hydrol. 2012, 450–451, 308–319. [Google Scholar] [CrossRef]
- Madani, K. Game theory and water resources. J. Hydrol. 2010, 381, 225–238. [Google Scholar] [CrossRef]
- Haghighi, A.; Asl, A.Z. Uncertainty analysis of water supply networks using the fuzzy set theory and NSGA-II. Eng. Appl. Artif. Intel. 2014, 32, 270–282. [Google Scholar] [CrossRef]
- Zhao, J.; Cai, X.; Wang, Z. Comparing administered and market-based water allocation systems through a consistent agent-based modeling framework. J. Environ. Manag. 2013, 123, 120–130. [Google Scholar] [CrossRef]
- Sadati, S.; Speelman, S.; Sabouhi, M.; Gitizadeh, M.; Ghahraman, B. Optimal irrigation water allocation using a genetic algorithm under various weather conditions. Water 2014, 6, 3068–3084. [Google Scholar] [CrossRef]
- Wardlaw, R.; Bhaktikul, K. Application of a genetic algorithm for water allocation in an irrigation system. Irrig. Drain. 2001, 50, 159–170. [Google Scholar] [CrossRef]
- Nguyen-ky, T.; Mushtaq, S.; Loch, A.; Reardon-Smith, K.; An-Vo, D.-A.; Ngo-Cong, D.; Tran-Cong, T. Predicting water allocation trade prices using a hybrid artificial neural network-bayesian modelling approach. J. Hydrol. 2018, 567, 781–791. [Google Scholar] [CrossRef] [Green Version]
- Yuan, Q.; Xu, H.; Li, T.; Shen, H.; Zhang, L. Estimating surface soil moisture from satellite observations using a generalized regression neural network trained on sparse ground-based measurements in the continental U.S. J. Hydrol. 2020, 580, 124351. [Google Scholar] [CrossRef]
- Cunha, M.; Marques, J. A new multiobjective simulated annealing algorithm—mosa-gr: Application to the optimal design of water distribution networks. Water Resour. Res. 2020, 56, e2019WR025852. [Google Scholar] [CrossRef]
- Li, M.; Guo, P.; Singh, V.P. An efficient irrigation water allocation model under uncertainty. Agric. Syst. 2016, 144, 46–57. [Google Scholar] [CrossRef]
- Yao, L.; Xu, Z.; Chen, X. Sustainable water allocation strategies under various climate scenarios: A case study in China. J. Hydrol. 2019, 574, 529–543. [Google Scholar] [CrossRef]
- Sobkowiak, L.; Perz, A.; Wrzesiński, D.; Faiz, M.A. Estimation of the river flow synchronicity in the upper indus river basin using copula functions. Sustainability 2020, 12, 5122. [Google Scholar] [CrossRef]
- Gu, H.; Yu, Z.; Li, G.; Ju, Q. Nonstationary multivariate hydrological frequency analysis in the upper Zhanghe River Basin, China. Water 2018, 10, 772. [Google Scholar] [CrossRef] [Green Version]
- Zhang, Z.; Zhang, Q.; Singh, V.P.; Peng, S. Ecohydrological effects of water reservoirs with consideration of asynchronous and synchronous concurrences of high- and low-flow regimes. Hydrol. Sci. J. 2018, 63, 615–629. [Google Scholar] [CrossRef]
- Zhang, Q.; Wang, B.; Li, H. Analysis of asynchronism-synchronism of regional precipitation in inter-basin water transfer areas. Trans. Tianjin Univ. 2012, 18, 384–392. [Google Scholar] [CrossRef]
- Renard, B.; Lang, M. Use of a Gaussian copula for multivariate extreme value analysis: Some case studies in hydrology. Adv. Water Resour. 2007, 30, 897–912. [Google Scholar] [CrossRef] [Green Version]
- Salas, J.D.; Lee, T. Copula-based stochastic simulation of hydrological data applied to Nile River flows. Hydrol. Res. 2011, 42, 318–330. [Google Scholar]
- Shiau, J.T. Fitting drought duration and severity with two-dimensional copulas. Water Resour. Manag. 2006, 20, 795–815. [Google Scholar] [CrossRef]
- Grimaldi, S.; Serinaldi, F. Design hyetograph analysis with 3-copula function. Hydrol. Sci. J. 2010, 51, 223–238. [Google Scholar] [CrossRef]
- Shiau, J.-T.; Feng, S.; Nadarajah, S. Assessment of hydrological droughts for the Yellow River, China, using copulas. Hydrol. Process. 2007, 21, 2157–2163. [Google Scholar] [CrossRef]
- Wang, H.R.; Dong, Y.Y.; Wang, Y.; Liu, Q. Water right institution and strategies of the Yellow River Valley. Water Resour. Manag. 2008, 22, 1499–1519. [Google Scholar] [CrossRef]
- Li, X.; Zhao, X.; Shen, X.; Wei, Z. Prediction of water demand in Gui’an city of Guizhou province in China. In International Forum on Energy, Environment Science and Materials; Atlantis Press: Shenzhen, China, 2015; pp. 1353–1358. [Google Scholar]
- Sklar, M. Fonctions de repartition an dimensions et leurs marges. Open J. Statistics 1959, 8, 229–231. [Google Scholar]
- Liu, Z.; Guo, S.; Xiong, L.; Xu, C.-Y. Hydrological uncertainty processor based on a copula function. Hydrol. Sci. J. 2017, 63, 74–86. [Google Scholar] [CrossRef]
- Jin, H.; Chen, X.; Wu, P.; Song, C.; Xia, W. Evaluation of spatial-temporal distribution of precipitation in mainland China by statistic and clustering methods. Atmos. Res. 2021, 262, 105772. [Google Scholar] [CrossRef]
- Jia, W.; Dong, Z.; Duan, C.; Ni, X.; Zhu, Z. Ecological reservoir operation based on DFM and improved PA-DDS algorithm: A case study in Jinsha river, China. Hum. Ecol. Risk Assess. 2019, 26, 1723–1741. [Google Scholar] [CrossRef]












| Test Method | Distribution Function | Yr | Qh-Sc | Gs-Nx-Nmg | Sxq-Sxj | Hn-Sd |
|---|---|---|---|---|---|---|
| MAE | gamma | 0.019072 | 0.054294 | 0.07684 | 0.083501 | 0.090433 |
| lnorm | 0.021876 | 0.053756 | 0.07678 | 0.083491 | 0.090256 | |
| norm | 0.026867 | 0.055502 | 0.077037 | 0.083603 | 0.09093 | |
| logis | 0.02333 | 0.055292 | 0.077721 | 0.085438 | 0.093036 | |
| Weibull | 0.02989 | 0.051729 | 0.071843 | 0.077436 | 0.084873 | |
| RMSE | gamma | 0.000408 | 0.002878 | 0.004356 | 0.004509 | 0.004715 |
| lnorm | 0.000533 | 0.002913 | 0.004433 | 0.004583 | 0.004776 | |
| norm | 0.000811 | 0.002837 | 0.004221 | 0.004385 | 0.004619 | |
| logis | 0.000632 | 0.00303 | 0.004512 | 0.004739 | 0.004992 | |
| Weibull | 0.000993 | 0.002302 | 0.003503 | 0.003635 | 0.003877 | |
| PPCC | gamma | 0.001914 | 0.001147 | 0.003778 | 0.00488 | 0.008173 |
| lnorm | 0.002460 | 0.001196 | 0.003764 | 0.004882 | 0.008183 | |
| norm | 0.002031 | 0.001027 | 0.003796 | 0.004867 | 0.008147 | |
| logis | 0.002226 | 0.001175 | 0.003801 | 0.004906 | 0.008178 | |
| Weibull | 0.002367 | 0.000899 | 0.003836 | 0.004838 | 0.008118 |
| Copula Function | AIC | RMSE |
|---|---|---|
| Clayton | −198.27 | 0.0581 |
| Gumbel | −207.15 | 0.0459 |
| Frank | −217.84 | 0.0435 |
| Joe | −201.43 | 0.049 |
| Station | Xiaheyan | Shizuishan | Toudaoguai | Tongguan | Huayuankou | Gaocun | Linjin |
|---|---|---|---|---|---|---|---|
| Runoff(m³/s) | 200 | 150 | 50 | 50 | 150 | 120 | 50 |
| Region | Groundwater | Transfer Water | Surface Water in the Yellow River Basin | |||||
|---|---|---|---|---|---|---|---|---|
| 2035a | 2050a | |||||||
| H-Flow | M-Flow | L-Flow | H-Flow | M-Flow | L-Flow | |||
| Qh | 3.27 | 0 | 24.65 | 24.98 | 25.52 | 26.04 | 26.23 | 26.79 |
| Sc | 0.01 | 0 | 0.31 | 0.31 | 0.31 | 0.12 | 0.13 | 0.13 |
| Gs | 5.68 | 0 | 37.86 | 39.00 | 41.46 | 37.97 | 39.04 | 40.90 |
| Nx | 7.68 | 0 | 60.52 | 61.47 | 64.58 | 55.25 | 56.26 | 58.58 |
| Nmg | 25.08 | 0 | 62.58 | 64.09 | 69.47 | 64.02 | 65.03 | 69.80 |
| Sxq | 29.51 | 16.37 | 48.17 | 54.36 | 58.00 | 61.97 | 66.59 | 69.98 |
| Sxj | 21.06 | 0 | 36.43 | 41.48 | 45.58 | 41.32 | 45.86 | 48.96 |
| Hn | 21.55 | 0 | 51.94 | 56.56 | 62.93 | 56.89 | 61.06 | 66.49 |
| Sd | 11.44 | 1.26 | 69.98 | 72.58 | 79.52 | 72.35 | 75.06 | 82.52 |
| Total | 125.28 | 17.63 | 392.44 | 414.83 | 447.37 | 415.94 | 435.26 | 464.16 |
Publisher’s Note: MDPI stays neutral with regard to jurisdictional claims in published maps and institutional affiliations. |
© 2021 by the authors. Licensee MDPI, Basel, Switzerland. This article is an open access article distributed under the terms and conditions of the Creative Commons Attribution (CC BY) license (https://creativecommons.org/licenses/by/4.0/).
Share and Cite
Guan, X.; Dong, Z.; Luo, Y.; Zhong, D. Multi-Objective Optimal Allocation of River Basin Water Resources under Full Probability Scenarios Considering Wet–Dry Encounters: A Case Study of Yellow River Basin. Int. J. Environ. Res. Public Health 2021, 18, 11652. https://doi.org/10.3390/ijerph182111652
Guan X, Dong Z, Luo Y, Zhong D. Multi-Objective Optimal Allocation of River Basin Water Resources under Full Probability Scenarios Considering Wet–Dry Encounters: A Case Study of Yellow River Basin. International Journal of Environmental Research and Public Health. 2021; 18(21):11652. https://doi.org/10.3390/ijerph182111652
Chicago/Turabian StyleGuan, Xike, Zengchuan Dong, Yun Luo, and Dunyu Zhong. 2021. "Multi-Objective Optimal Allocation of River Basin Water Resources under Full Probability Scenarios Considering Wet–Dry Encounters: A Case Study of Yellow River Basin" International Journal of Environmental Research and Public Health 18, no. 21: 11652. https://doi.org/10.3390/ijerph182111652
APA StyleGuan, X., Dong, Z., Luo, Y., & Zhong, D. (2021). Multi-Objective Optimal Allocation of River Basin Water Resources under Full Probability Scenarios Considering Wet–Dry Encounters: A Case Study of Yellow River Basin. International Journal of Environmental Research and Public Health, 18(21), 11652. https://doi.org/10.3390/ijerph182111652

