Relationship between Sprint Capacity and Acceleration of Wrists in Wheelchair Basketball Players: Design and Reliability of a New Protocol
Abstract
1. Introduction
2. Materials and Methods
2.1. Participants
2.2. Equipment
2.3. Design and Procedures
2.4. Statistical Analysis
3. Results
3.1. Twenty-Meter Sprint Test Protocol Reliability Using Two WIMU
3.2. Twenty-Meter Sprint Test Protocol Reliability Using BioLaserSport® with Computer Vision System
3.3. Players’ Wrist Bilateral Symmetry in Two Series of 20 M Sprint Tests
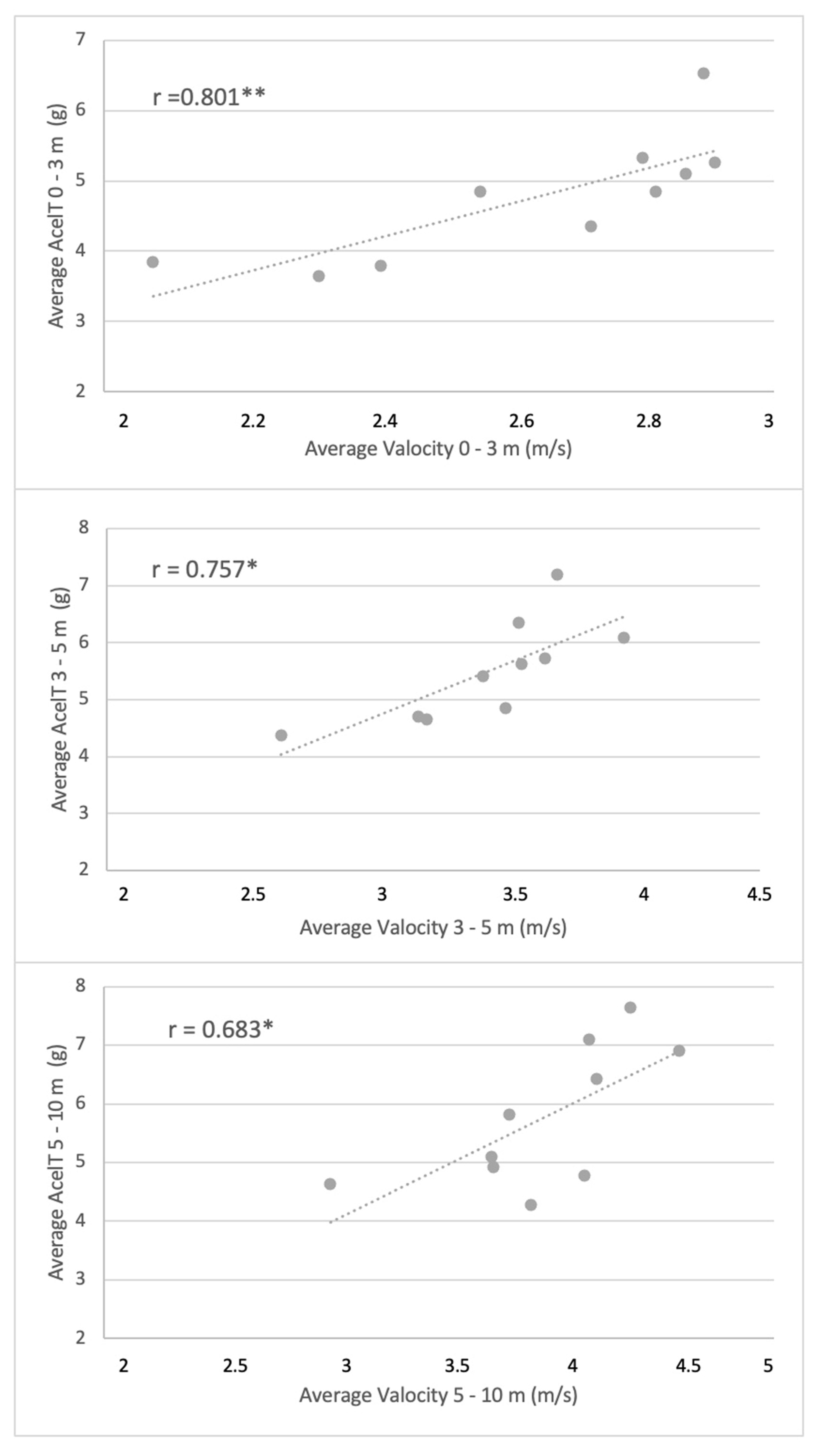
3.4. Relation between Average/Maximum Total Acceleration and Average/Maximum Velocity from Dominant/Non-Dominant Players’ Wrists
4. Discussion
5. Conclusions
Author Contributions
Funding
Institutional Review Board Statement
Informed Consent Statement
Data Availability Statement
Acknowledgments
Conflicts of Interest
References
- Bernardi, M.; Guerra, E.; Di Giacinto, B.; Di Cesare, A.; Castellano, V.; Bhambhani, Y. Field Evaluation of Paralympic Athletes in Selected Sports: Implications for Training. Med. Sci. Sports Exerc. 2010, 42, 1200–1208. [Google Scholar] [CrossRef] [PubMed]
- Crespo-Ruiz, B.M.; Del Ama-Espinosa, A.J.; Gil-Agudo, A.M. Relation between Kinematic Analysis of Wheelchair Propulsion and Wheelchair Functional Basketball Classification. Adapt. Phys. Act. Q. 2011, 28, 157–172. [Google Scholar] [CrossRef] [PubMed]
- Faupin, A.; Borel, B.; Meyer, C.; Gorce, P.; Watelain, E. Effects of Synchronous Versus Asynchronous Mode of Propulsion on Wheelchair Basketball Sprinting. Disabil. Rehabil. Assist. Technol. 2013, 8, 496–501. [Google Scholar] [CrossRef]
- Lenton, J.P.; van der Woude, L.; Fowler, N.; Goosey-Tolfrey, V. Effects of Arm Frequency during Synchronous and Asynchronous Wheelchair Propulsion on Efficiency. Int. J. Sports Med. 2009, 30, 233–239. [Google Scholar] [CrossRef]
- McGrath, D.; Greene, B.R.; O’Donovan, K.J.; Caulfield, B. Gyroscope-Based Assessment of Temporal Gait Parameters during Treadmill Walking and Running. Sports Eng. 2012, 15, 207–213. [Google Scholar] [CrossRef]
- Bergamini, E.; Morelli, F.; Marchetti, F.; Vannozzi, G.; Polidori, L.; Paradisi, F.; Traballesi, M.; Cappozzo, A.; Delussu, A.S. Wheelchair Propulsion Biomechanics in Junior Basketball Players: A Method for the Evaluation of the Efficacy of a Specific Training Program. BioMed Res. Int. 2015, 2015, 1–10. [Google Scholar] [CrossRef]
- Ferro, A.; Villacieros, J.; Pérez-Tejero, J. Sprint Performance of Elite Wheelchair Basketball Players: Applicability of a Laser System for Describing the Velocity Curve. Adapt. Phys. Act. Q. 2016, 33, 358–373. [Google Scholar] [CrossRef] [PubMed]
- Ferro, A.; Garrido, G.; Villacieros, J.; Pérez, J.; Grams, L. Nutritional Habits and Performance in Male Elite Wheelchair Basketball Players during a Precompetitive Period. Adapt. Phys. Act. Q. 2017, 34, 295–310. [Google Scholar] [CrossRef]
- Yanci, J.; Granados, C.; Otero, M.; Badiola, A.; Olasagasti, J.; Bidaurrazaga-Letona, I.; Iturricastillo, A.; Gil, S. Sprint, Agility, Strength and Endurance Capacity in Wheelchair Basketball Players. Biol. Sport 2015, 32, 71–78. [Google Scholar] [CrossRef] [PubMed]
- Vanlandewijck, Y.; Theisen, D.; Daly, D. Wheelchair Propulsion Biomechanics—Implications for Wheelchair Sports. Sports Med. 2001, 31, 339–367. [Google Scholar] [CrossRef] [PubMed]
- Mason, B.S.; Porcellato, L.; van der Woude, L.H.V.; Goosey-Tolfrey, V.L. A Qualitative Examination of Wheelchair Configuration for Optimal Mobility Performance in Wheelchair Sports: A Pilot Study. J. Rehabil. Med. 2010, 42, 141–149. [Google Scholar] [CrossRef] [PubMed]
- De Groot, S.; Balvers, I.J.; Kouwenhoven, S.M.; Janssen, T.W. Validity and Reliability of Tests Determining Performance-Related Components of Wheelchair Basketball. J. Sports Sci. 2012, 30, 879–887. [Google Scholar] [CrossRef] [PubMed]
- Vanlandewijck, Y.C.; Daly, D.J.; Theisen, D.M. Field Test Evaluation of Aerobic, Anaerobic, and Wheelchair Basketball Skill Performances. Int. J. Sports Med. 1999, 20, 548–554. [Google Scholar] [CrossRef]
- Villacieros, J.; Pérez-Tejero, J.; Garrido, G.; Grams, L.; López-Illescas, Á.; Ferro, A. Relationship between Sprint Velocity and Peak Moment at Shoulder and Elbow in Elite Wheelchair Basketball Players. Int. J. Environ. Res. Public Health 2020, 17, 6989. [Google Scholar] [CrossRef] [PubMed]
- Rao, S.S.; Bontrager, E.L.; Gronley, J.K.; Newsam, C.J.; Perry, J. Three-Dimensional Kinematics of Wheelchair Propulsion. IEEE Trans. Rehabil. Eng. 1996, 4, 152–160. [Google Scholar] [CrossRef] [PubMed]
- Bergamini, E.; Ligorio, G.; Summa, A.; Vannozzi, G.; Cappozzo, A.; Sabatini, A.M. Estimating Orientation using Magnetic and Inertial Sensors and Different Sensor Fusion Approaches: Accuracy Assessment in Manual and Locomotion Tasks. Sensors 2014, 14, 18625–18649. [Google Scholar] [CrossRef] [PubMed]
- Mason, B.S.; Rhodes, J.M.; Goosey-Tolfrey, V.L. Validity and Reliability of an Inertial Sensor for Wheelchair Court Sports Performance. J. Appl. Biomech. 2014, 30, 326–331. [Google Scholar] [CrossRef] [PubMed]
- Van Der Slikke, R.; Berger, M.; Bregman, D.; Lagerberg, A.; Veeger, H. Opportunities for Measuring Wheelchair Kinematics in Match Settings; Reliability of a Three Inertial Sensor Configuration. J. Biomech. 2015, 48, 3398–3405. [Google Scholar] [CrossRef]
- Fulton, S.K.; Pyne, D.B.; Burkett, B. Validity and Reliability of Kick Count and Rate in Freestyle using Inertial Sensor Technology. J. Sports Sci. 2009, 27, 1051–1058. [Google Scholar] [CrossRef] [PubMed]
- Pansiot, J.; Zhang, Z.; Lo, B.; Yang, G. WISDOM: Wheelchair Inertial Sensors for Displacement and Orientation Monitoring. Meas. Sci. Technol. 2011, 22, 105801. [Google Scholar] [CrossRef]
- Van der Slikke, R.; Berger, M.; Bregman, D.; Veeger, H. From Big Data to Rich Data: The Key Features of Athlete Wheelchair Mobility Performance. J. Biomech. 2016, 49, 3340–3346. [Google Scholar] [CrossRef] [PubMed]
- De Groot, S.; Veeger, D.H.; Hollander, A.P.; Van der Woude, L.H. Wheelchair Propulsion Technique and Mechanical Efficiency After 3 Wk of Practice. Med. Sci. Sports Exerc. 2002, 34, 756–766. [Google Scholar] [CrossRef] [PubMed][Green Version]
- Lalumiere, M.; Gagnon, D.; Routhier, F.; Desroches, G.; Hassan, J.; Bouyer, L. Effects of Rolling Resistances on Handrim Kinetics during the Performance of Wheelies among Manual Wheelchair Users with a Spinal Cord Injury. Spinal Cord 2013, 51, 245–251. [Google Scholar] [CrossRef] [PubMed][Green Version]
- Wei, S.H.; Huang, S.L.; Jiang, C.J.; Chiu, J.C. Wrist Kinematic Characterization of Wheelchair Propulsion in Various Seating Positions: Implication to Wrist Pain. Clin. Biomech. 2003, 18, S46–S52. [Google Scholar] [CrossRef]
- International Wheelchair Basketball Federation. International Wheelchair Basketball Federation Official Player Classification Mannual; International Wheelchair Basketball Federation: Winnipeg, MB, Canada, 2014. [Google Scholar]
- Williams, J.R. The Declaration of Helsinki and Public Health. Bull. World Health Organ. 2008, 86, 650–651. [Google Scholar] [CrossRef]
- Ferro, A. BioLaserSport. Trademark No. 3019808/9. CVE-BOPI-T1-20120312-00013355. Bolet(ín Oficial de la Propiedad Industrial (Official Bulletin of Industrial Property) Spain, 13355–13356, 12 March 2012. [Google Scholar]
- Ferro, A.; Floria, P. Kinematic Analysis System in Real Time for Training and Sports Competitions. Patent ES2331170A1, P200900134 (6) 17/11/2010 (A61B 5/11-G01S 11/00). Boletín Oficial de la Propiedad Industrial (Official Bulletin of Industrial Property) Spain, 14906–14907, 29 November 2010. [Google Scholar]
- Villacieros, J.; Mendoza, D.; Domínguez, S.; Garrido, G.; Grams, L.; Ferro, A. Reliability of a laser system with an automatic control tracking for monotoring the running of Athletes using computer vision. Proceeding of the 21st Annual Congress of the European College of Sport Science Actas, 285, Vienna, Austria, 7 July 2016. [Google Scholar]
- Ferro, A.; Floria, P.; Villacieros, J.; Aguado, R. Validity and Reliability of the Laser Sensor of BioLaserSport® System for the Analysis of the Running Velocity. Rev. Int. Cien. Deporte 2012, 8, 357–370. [Google Scholar] [CrossRef]
- Cooper, R.A.; DiGiovine, C.P.; Boninger, M.L.; Shimada, S.D. Filter Frequency Selection for Manual Wheelchair Biomechanics. J. Rehabil. Res. Dev. 2002, 39, 323. [Google Scholar]
- Morrow, J.R.; Jackson, A.W. How “Significant” is Your Reliability? Res. Q. Exerc. Sport 1993, 64, 352–355. [Google Scholar] [CrossRef]
- Vanlandewijck, Y.C.; Evaggelinou, C.; Daly, D.J.; Verellen, J.; Van Houtte, S.; Aspeslagh, V.; Hendrickx, R.; Piessens, T.; Zwakhoven, B. The Relationship between Functional Potential and Field Performance in Elite Female Wheelchair Basketball Players. J. Sports Sci. 2004, 22, 668–675. [Google Scholar] [CrossRef]
- Jackson, D.L.; Hynninen, B.C.; Caborn, D.N.; McLean, J. Electrodiagnostic Study of Carpal Tunnel Syndrome in Wheelchair Basketball Players. Clin. J. Sport Med. 1996, 6, 27–31. [Google Scholar] [CrossRef] [PubMed]
- Brasile, F.M. Wheelchair Basketball Skills Proficiencies Versus Disability Classification. Adapt. Phys. Act. Q. 1986, 3, 6–13. [Google Scholar] [CrossRef]
- Molik, B.; Laskin, J.J.; Kosmol, A.; Marszalek, J.; Morgulec-Adamowicz, N.; Frick, T. Relationships between Anaerobic Performance, Field Tests, and Functional Level of Elite Female Wheelchair Basketball Athletes. Hum. Mov. 2013, 14, 366–371. [Google Scholar] [CrossRef]
- Coutts, K.D. Drag and Sprint Performance of Wheelchair Basketball Players. J. Rehabil. Res. Dev. 1994, 31, 138. [Google Scholar] [PubMed]
- Mason, B.S.; van der Woude, L.H.V.; Goosey-Tolfrey, V.L. The Ergonomics of Wheelchair Configuration for Optimal Performance in the Wheelchair Court Sports. Sports Med. 2013, 43, 23–38. [Google Scholar] [CrossRef]



| Player | Age | Weight (Kg) | Height (m) | Disability | IWFB Classification | Experience (Years) |
|---|---|---|---|---|---|---|
| P1 | 33 | 74 | 1.80 | Amputation | 4.5 | 20 |
| P2 | 39 | 75 | 1.86 | Amputation | 4.0 | 22 |
| P3 | 28 | 75 | 1.86 | Amputation | 4.0 | 8 |
| P4 | 39 | 90 | 1.82 | Paraplegia | 4.0 | 21 |
| P5 | 17 | 60 | 1.84 | Amputation | 3.5 | 5 |
| P6 | 40 | 90 | 1.82 | Spina Bifida | 3 | 10 |
| P7 | 26 | 83 | 1.78 | Spina Bifida | 3 | 8 |
| P8 | 23 | 72 | 1.75 | Paraplegia | 2.5 | 6 |
| P9 | 30 | 55 | 1.50 | Paraplegia | 1 | 18 |
| P10 | 33 | 102 | 1.80 | Paraplegia | 1 | 17 |
| Sample | 30.80 ± 7.54 | 77.60 ± 14.18 | 1.78 ± 0.11 | 13.50 ± 6.70 |
| Variable/ Cycle 1–9 | Test 1 | Test 2 | ICC | SEM |
|---|---|---|---|---|
| (95% IC) | (g) | |||
| AcelTp 1 (g) | 10.03 ± 2.02 | 9.69 ± 1.87 | 0.796 (0.393–0.944) | 0.84 |
| AcelTp 2 (g) | 12.10 ± 2.52 | 11.89 ± 2.65 | 0.770 (0.304–0.938) | 1.20 |
| AcelTp 3 (g) | 13.15 ± 3.48 | 12.64 ± 3.13 | 0.854 (0.432–0.950) | 1.20 |
| AcelTp 4 (g) | 14.12 ± 3.98 | 13.96 ± 4.26 | 0.959 (0.846–0.990) | 0.81 |
| AcelTp 5 (g) | 14.76 ± 4.29 | 14.81 ± 5.10 | 0.961 (0.850–0.990) | 0.85 |
| AcelTp 6 (g) | 15.70 ± 5.15 | 15.04 ± 5.83 | 0.962 (0.858–0.990) | 1.00 |
| AcelTp 7 (g) | 16.18 ± 5.22 | 15.87 ± 5.68 | 0.944 (0.796–0.986) | 1.24 |
| AcelTp 8 (g) | 17.42 ± 6.10 | 16.20 ± 5.99 | 0.924 (0.709–0.981) | 1.65 |
| AcelTp 9 (g) | 17.94 ± 6.37 | 16.30 ± 6.09 | 0.930 (0.483–0.985) | 1.61 |
| Variable/ Cycle 1–9 | Test 1 | Test 2 | ICC | SEM |
|---|---|---|---|---|
| (95% IC) | (g) | |||
| AcelTp 1 (g) | 9.22 ± 1.65 | 9.49 ± 1.95 | 0.772 (0.327–0.938) | 0.79 |
| AcelTp 2 (g) | 10.83 ± 2.19 | 10.44 ± 1.88 | 0.772 (0.304–0.937) | 0.90 |
| AcelTp 3 (g) | 11.62 ± 3.10 | 11.83 ± 3.02 | 0.855 (0.519–0.962) | 1.15 |
| AcelTp 4 (g) | 12.39 ± 3.18 | 12.40 ± 3.08 | 0.869 (0.446–0.968) | 1.11 |
| AcelTp 5 (g) | 13.69 ± 4.27 | 13.30 ± 3.63 | 0.866 (0.371–0.970) | 1.33 |
| AcelTp 6 (g) | 13.45 ± 4.34 | 13.36 ± 3.76 | 0.884 (0.516–0.972) | 1.28 |
| AcelTp 7 (g) | 14.39 ± 4.96 | 13.90 ± 3.84 | 0.855 (0.410–0.964) | 1.46 |
| AcelTp 8 (g) | 14.76 ± 5.16 | 14.19 ± 4.61 | 0.863 (0.446–0.966) | 1.71 |
| AcelTp 9 (g) | 14.47 ± 4.65 | 14.68 ± 4.76 | 0.904 (0.602–0.976) | 1.44 |
| Variable/ section | Test 1 | Test 2 | ICC | SEM |
|---|---|---|---|---|
| (95% IC) | (m/s) | |||
| Vmax 0–3 (m/s) | 3.41 ± 0.27 | 3.44 ± 0.28 | 0.962 (0.851–0.981) | 0.05 |
| Vmax 3–5 (m/s) | 3.97 ± 0.21 | 4.01 ± 0.16 | 0.962 (0.862–0.990) | 0.04 |
| Vmax 5–10 (m/s) | 4.65 ± 0.22 | 4.75 ± 0.29 | 0.958 (0.851–0.989) | 0.05 |
| Vmax 10–15 (m/s) | 5.05 ± 0.26 | 5.09 ± 0.32 | 0.976 (0.913–0.994) | 0.05 |
| Vmax 15–20 (m/s) | 5.30 ± 0.29 | 5.33 ± 0.29 | 0.970 (0.885–0.992) | 0.05 |
Publisher’s Note: MDPI stays neutral with regard to jurisdictional claims in published maps and institutional affiliations. |
© 2021 by the authors. Licensee MDPI, Basel, Switzerland. This article is an open access article distributed under the terms and conditions of the Creative Commons Attribution (CC BY) license (https://creativecommons.org/licenses/by/4.0/).
Share and Cite
Ferro, A.; Pérez-Tejero, J.; Garrido, G.; Villacieros, J. Relationship between Sprint Capacity and Acceleration of Wrists in Wheelchair Basketball Players: Design and Reliability of a New Protocol. Int. J. Environ. Res. Public Health 2021, 18, 10380. https://doi.org/10.3390/ijerph181910380
Ferro A, Pérez-Tejero J, Garrido G, Villacieros J. Relationship between Sprint Capacity and Acceleration of Wrists in Wheelchair Basketball Players: Design and Reliability of a New Protocol. International Journal of Environmental Research and Public Health. 2021; 18(19):10380. https://doi.org/10.3390/ijerph181910380
Chicago/Turabian StyleFerro, Amelia, Javier Pérez-Tejero, Guadalupe Garrido, and Jorge Villacieros. 2021. "Relationship between Sprint Capacity and Acceleration of Wrists in Wheelchair Basketball Players: Design and Reliability of a New Protocol" International Journal of Environmental Research and Public Health 18, no. 19: 10380. https://doi.org/10.3390/ijerph181910380
APA StyleFerro, A., Pérez-Tejero, J., Garrido, G., & Villacieros, J. (2021). Relationship between Sprint Capacity and Acceleration of Wrists in Wheelchair Basketball Players: Design and Reliability of a New Protocol. International Journal of Environmental Research and Public Health, 18(19), 10380. https://doi.org/10.3390/ijerph181910380

