Implementation of a Follow-Up Program for Intensive Care Unit Survivors
Abstract
:1. Introduction
2. Aims of the Study
3. Materials and Methods
3.1. Study Design and Observed Variables
3.2. Follow-Up Program
3.3. Instruments
3.4. Ethical Issue
3.5. Statistical Analysis
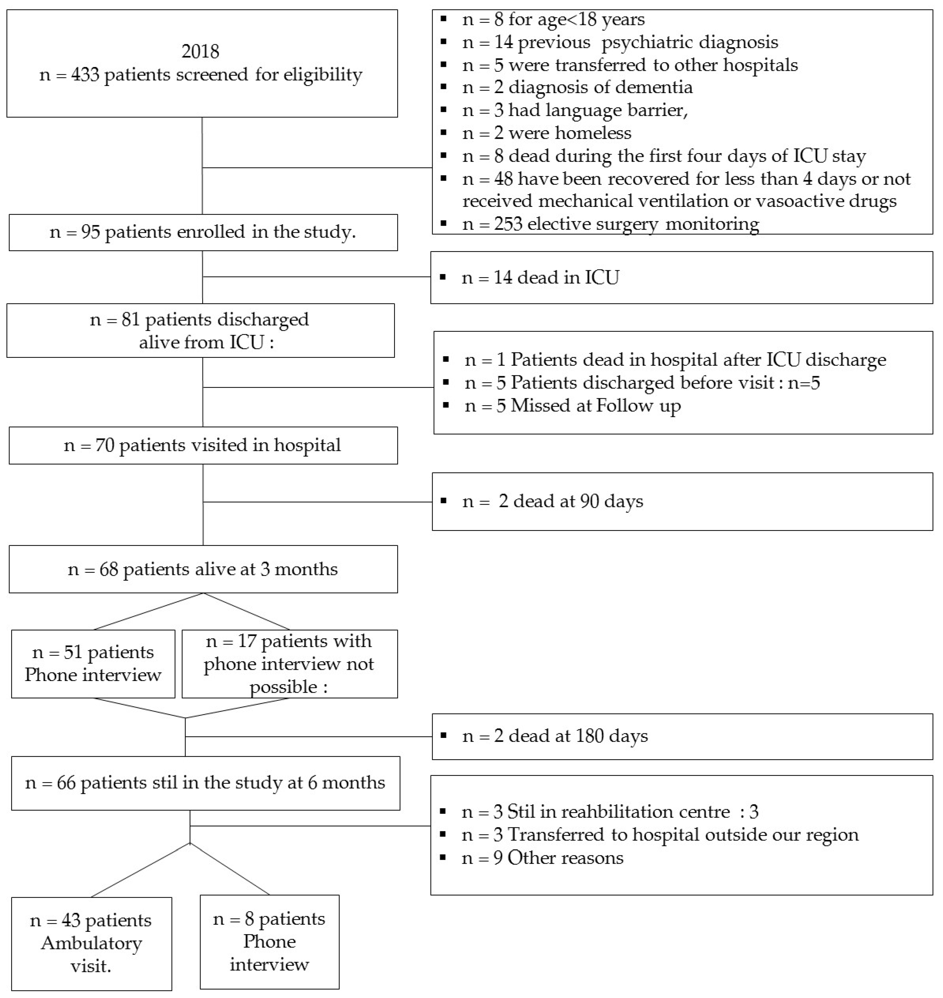
4. Results
5. Discussion
6. Limitations and Future Lines of Research
7. Conclusions
Author Contributions
Funding
Institutional Review Board Statement
Informed Consent Statement
Data Availability Statement
Acknowledgments
Conflicts of Interest
References
- Parker, A.M.; Sricharoenchai, T.; Raparla, S.; Schneck, K.W.; Bienvenu, O.J.; Needham, D.M. Posttraumatic stress disorder in critical illness survivors: A metaanalysis. Crit. Care Med. 2015, 43, 1121–1129. [Google Scholar] [CrossRef]
- Kamdar, B.B.; Suri, R.; Suchyta, M.R.; Digrande, K.F.; Sherwood, K.D.; Colantuoni, E.; Dinglas, V.D.; Needham, D.M.; Hopkins, R.O. Return to work after critical illness: A systematic review and meta-analysis. Thorax 2020, 75, 17–27. [Google Scholar] [CrossRef]
- Nates, J.L.; Nunnally, M.; Kleinpell, R.; Blosser, S.; Goldner, J.; Birriel, B.; Fowler, C.S.; Byrum, D.; Miles, W.S.; Bailey, H.; et al. ICU Admission, Discharge, and Triage Guidelines: A Framework to Enhance Clinical Operations, Development of Institutional Policies, and Further Research. Crit. Care Med. 2016, 44, 1553–1602. [Google Scholar] [CrossRef] [Green Version]
- Pandharipande, P.P.; Girard, T.D.; Jackson, J.C.; Morandi, A.; Thompson, J.L.; Pun, B.T.; Brummel, N.E.; Hughes, C.G.; Vasilevskis, E.E.; Shintani, A.K.; et al. BRAIN-ICU Study Investigators. Long-term cognitive impairment after critical illness. N. Engl. J. Med. 2013, 369, 1306–1316. [Google Scholar] [CrossRef] [Green Version]
- Rawal, G.; Yadav, S.; Kumar, R. Post-intensive Care Syndrome: An Overview. J. Transl. Int. Med. 2017, 5, 90–92. [Google Scholar] [CrossRef] [Green Version]
- Wunsch, H.; Christiansen, C.F.; Johansen, M.B.; Olsen, M.; Ali, N.; Angus, D.C.; Sørensen, H.T. Psychiatric diagnoses and psychoactive medication use among nonsurgical critically ill patients receiving mechanical ventilation. JAMA 2014, 311, 1133–1134. [Google Scholar] [CrossRef] [Green Version]
- Jackson, J.C.; Pandharipande, P.P.; Girard, T.D.; Brummel, N.E.; Thompson, J.L.; Hughes, C.G.; Pun, B.T.; Vasilevskis, E.E.; Morandi, A.; Shintani, A.K.; et al. Bringing to light the Risk Factors And Incidence of Neuropsychological dysfunction in ICU survivors (BRAIN-ICU) study investigators. Depression, post-traumatic stress disorder, and functional disability in survivors of critical illness in the BRAIN-ICU study: A longitudinal cohort study. Lancet Respir. Med. 2014, 2, 369–379. [Google Scholar]
- Rosa, R.G.; Ferreira, G.E.; Viola, T.W.; Robinson, C.C.; Kochhann, R.; Berto, P.P.; Biason, L.; Cardoso, P.R.; Falavigna, M.; Teixeira, C. Effects of post-ICU follow-up on subject outcomes: A systematic review and meta-analysis. J. Crit. Care 2019, 52, 115–125. [Google Scholar] [CrossRef]
- Inoue, S.; Hatakeyama, J.; Kondo, Y.; Hifumi, T.; Sakuramoto, H.; Kawasaki, T.; Taito, S.; Nakamura, K.; Unoki, T.; Kawai, Y.; et al. Post-intensive care syndrome: Its pathophysiology, prevention, and future directions. Acute Med. Surg. 2019, 6, 233–246. [Google Scholar] [CrossRef] [Green Version]
- Lee, M.; Kang, J.; Jeong, Y.J. Risk Factors for Post–Intensive Care Syndrome: A Systematic Review and Meta-Analysis. Aust. Crit. Care 2020, 33, 287–294. [Google Scholar] [CrossRef]
- Poulsen, L.M.; Estrup, S.; Mortensen, C.B.; Andersen-Ranberg, N.C. Delirium in Intensive Care. Curr. Anesth. Rep. 2021, 1–8. [Google Scholar] [CrossRef]
- Stollings, J.L.; Kotfis, K.; Chanques, G.; Pun, B.T.; Pandharipande, P.P.; Ely, E.W. Delirium in critical illness: Clinical manifestations, outcomes, and management. Intensive Care Med. 2021, 1–15. [Google Scholar] [CrossRef]
- Griffiths, J.; Hatch, R.A.; Bishop, J.; Morgan, K.; Jenkinson, C.; Cuthbertson, B.H.; Brett, S.J. An exploration of social and economic outcome and associated health-related quality of life after critical illness in general intensive care unit survivors: A 12-month follow-up study. Crit. Care 2013, 17, 1–12. [Google Scholar] [CrossRef] [Green Version]
- Harvey, M.A.; Davidson, J.E. Post-intensive care syndrome: Right care, right now and later. Crit. Care Med. 2016, 44, 381–385. [Google Scholar] [CrossRef]
- Doiron, K.A.; Hoffmann, T.C.; Beller, E.M. Early intervention (mobilization or active exercise) for critically ill adults in the intensive care unit. Cochrane Database Syst. Rev. 2018, 3, CD010754. [Google Scholar] [CrossRef] [Green Version]
- Krupp, A.; Steege, L.; King, B. A systematic review evaluating the role of nurses and processes for delivering early mobility interventions in the intensive care unit. Intensive Crit. Care Nurs. 2018, 47, 30–38. [Google Scholar] [CrossRef]
- Engström, A.; Andersson, S.; Söderberg, S. Re-visiting the ICU Experiences of follow-up visits to an ICU after discharge: A qualitative study. Intensive Crit. Care Nurs. 2008, 24, 233–241. [Google Scholar] [CrossRef]
- Cuthbertson, B.H.; Rattray, J.; Campbell, M.K.; Gager, M.; Roughton, S.; Smith, A.; Hull, A.; Breeman, S.; Norrie, J.; Jenkinson, D.; et al. The PRaCTICaL study of nurse led, intensive care follow-up programmes for improving long term outcomes from critical illness: A pragmatic randomised controlled trial. BMJ 2009, 339, b3723. [Google Scholar] [CrossRef] [Green Version]
- Egerod, I.; Risom, S.S.; Thomsen, T.; Storli, S.L.; Eskerud, R.S.; Holme, A.N.; Samuelson, K.A. ICU-recovery in Scandinavia: A comparative study of intensive care follow-up in Denmark, Norway and Sweden. Intensive Crit. Care Nurs. 2013, 29, 103–111. [Google Scholar] [CrossRef]
- Ely, E.W.; Inouye, S.K.; Bernard, G.R.; Gordon, S.; Francis, J.; May, L.; Truman, B.; Speroff, T.; Gautam, S.; Margolin, R.; et al. Delirium in Mechanically Ventilated Patients: Validity and Reliability of the Confusion Assessment Method for the Intensive Care Unit (CAM-ICU). JAMA 2001, 286, 2703–2710. [Google Scholar] [CrossRef] [Green Version]
- Gaspardo, P.; Peressoni, L.; Comisso, I.; Mistraletti, G.; Ely, E.W.; Morandi, A. Delirium among critically ill adults: Evaluation of the psychometric properties of the Italian ‘Confusion Assessment Method for the Intensive Care Unit’. Intensive Crit Care Nurs. 2014, 30, 283–291. [Google Scholar] [CrossRef]
- Richter, J.C.; Waydhas, C.; Pajonk, F.G. Incidence of posttraumatic stress disorder after prolonged surgical intensive care unit treatment. Psychosomatics 2006, 47, 223–230. [Google Scholar] [CrossRef]
- Capodilupo, A.; Danieli, M.; Sansoni, J. Post-traumatic stress disorder in the Ares 118 voluntary ambulance staff in the Latina area: Preliminary study to validate the PTSS-10. Prof. Inferm. 2012, 65, 46–54. [Google Scholar]
- Herrmann, C. International experiences with the Hospital Anxiety and Depression Scale-A review of validation data and clinical results. J. Psychosom. Res. 1997, 42, 17–41. [Google Scholar] [CrossRef]
- Snaith, R.P. The Hospital Anxiety and Depression Scale. Health Qual. Life Outcomes 2003, 1, 29. [Google Scholar] [CrossRef] [Green Version]
- Jutte, J.E.; Needham, D.M.; Pfoh, E.R.; Bienvenu, O.J. Psychometric evaluation of the Hospital Anxiety and Depression Scale 3 months after acute lung injury. J. Crit. Care 2015, 30, 793–798. [Google Scholar] [CrossRef] [Green Version]
- Costantini, M.; Musso, M.; Viterbori, P.; Bonci, F.; Del Mastro, L.; Garrone, O.; Venturini, M.; Morasso, G. Detecting psychological distress in cancer patients: Validity of the Italian version of the Hospital Anxiety and Depression Scale. Support. Care Cancer 1999, 7, 121–127. [Google Scholar] [CrossRef]
- Mahoney, F.; Barthel, D. Functional evaluation: The Barthel index. Md. State Med. J. 1965, 14, 61–65. [Google Scholar]
- Collin, C.; Wade, D.T.; Davies, S.; Horne, V. The Barthel ADL Index: A reliability study. Int. Disabil. Stud. 1988, 10, 61–63. [Google Scholar] [CrossRef]
- Castiglia, S.F.; Galeoto, G.; Lauta, A.; Palumbo, A.; Tirinelli, F.; Viselli, F.; Santilli, V.; Sacchetti, M.L. The culturally adapted Italian version of the Barthel Index (IcaBI): Assessment of structural validity, inter-rater reliability and responsiveness to clinically relevant improvements in patients admitted to inpatient rehabilitation centers. Funct. Neurol. 2017, 22, 221–228. [Google Scholar] [CrossRef] [PubMed]
- Rabin, R.; de Charro, F. EQ-5D: A measure of health status from the EuroQol Group. Ann. Med. 2001, 33, 337–343. [Google Scholar] [CrossRef]
- Savoia, E.; Fantini, M.P.; Pandolfi, P.P.; Dallolio, L.; Collina, N. Assessing the construct validity of the Italian version of the EQ-5D: Preliminary results from a cross-sectional study in North Italy. Health Qual. Life Outcomes 2006, 4, 47. [Google Scholar] [CrossRef] [PubMed] [Green Version]
- Parry, S.M.; Nalamalapu, S.R.; Nunna, K.; Rabiee, A.; Friedman, L.A.; Colantuoni, E.; Needham, D.M.; Dinglas, V.D. Six-Minute Walk Distance After Critical Illness: A Systematic Review and Meta-Analysis. J. Intensive Care Med. 2021, 36, 343–351. [Google Scholar] [CrossRef] [PubMed]
- Holland, A.E.; Spruit, M.A.; Troosters, T.; Puhan, M.A.; Pepin, V.; Saey, D.; McCormack, M.C.; Carlin, B.W.; Sciurba, F.C.; Pitta, F.; et al. An official European Respiratory Society/American Thoracic Society technical standard: Field walking tests in chronic respiratory disease. Eur. Respir. J. 2014, 44, 1428–1446. [Google Scholar] [CrossRef]
- Mikkelsen, M.E.; Still, M.; Anderson, B.J.; Bienvenu, O.J.; Brodsky, M.B.; Brummel, N.; Butcher, B.; Clay, A.S.; Felt, H.; Ferrante, L.E.; et al. Society of Critical Care Medicine’s International Consensus Conference on Prediction and Identification of Long-Term Impairments After Critical Illness. Crit. Care Med. 2020, 48, 1670–1679. [Google Scholar] [CrossRef]
- Brodsky, M.B.; Huang, M.; Shanholtz, C.; Mendez-Tellez, P.A.; Palmer, J.B.; Colantuoni, E.; Needham, D.M. Recovery from Dysphagia Symptoms after Oral Endotracheal Intubation in Acute Respiratory Distress Syndrome Survivors. A 5-Year Longitudinal Study. Ann. Am. Thorac.Soc. 2017, 14, 376–383. [Google Scholar] [CrossRef]
- McIntyre, M.; Chimunda, T.; Koppa, M.; Dalton, N.; Reinders, H.; Doeltgen, S. Risk Factors for Postextubation Dysphagia: A Systematic Review and Meta-analysis. Laryngoscope 2020. [Google Scholar] [CrossRef]
- McInytre, M.; Doeltgen, S.; Shao, C.; Chimunda, T. The incidence and clinical outcomes of post-extubation dysphagia in a regional critical care setting. Aust. Crit. Care 2021. [Google Scholar] [CrossRef]
- Simpson, A.I.; Vaghela, K.R.; Brown, H.; Adams, K.; Sinisi, M.; Fox, M.; Quick, T. Reducing the Risk and Impact of Brachial Plexus Injury Sustained from Prone Positioning-A Clinical Commentary. J. Intensive Care Med. 2020, 35, 1576–1582. [Google Scholar] [CrossRef]
- Miller, C.; O’Sullivan, J.; Jeffrey, J.; Power, D. Brachial Plexus Neuropathies During the COVID-19 Pandemic: A Retrospective Case Series of 15 Patients in Critical Care. Phys. Ther. 2021, 101. [Google Scholar] [CrossRef]
- Brugliera, L.; Filippi, M.; Del Carro, U.; Butera, C.; Bianchi, F.; Castellazzi, P.; Cimino, P.; Capodaglio, P.; Monti, G.; Mortini, P.; et al. Nerve Compression Injuries After Prolonged Prone Position Ventilation in Patients With SARS-CoV-2: A Case Series. Arch. Phys. Med. Rehabil. 2021, 102, 359–362. [Google Scholar] [CrossRef]
- Douglas, I.S.; Rosenthal, C.A.; Swanson, D.D.; Hiller, T.; Oakes, J.; Bach, J.; Whelchel, C.; Pickering, J.; George, T.; Kearns, M.; et al. Safety and Outcomes of Prolonged Usual Care Prone Position Mechanical Ventilation to Treat Acute Coronavirus Disease 2019 Hypoxemic Respiratory Failure. Crit. Care Med. 2021, 49, 490–502. [Google Scholar] [CrossRef]
- Guérin, C.; Reignier, J.; Richard, J.C.; Beuret, P.; Gacouin, A.; Boulain, T.; Mercier, E.; Badet, M.; Mercat, A.; Baudin, O.; et al. Prone positioning in severe acute respiratory distress syndrome. N. Engl. J. Med. 2013, 368, 2159–2168. [Google Scholar] [CrossRef] [PubMed]
- Guérin, C.; Albert, R.K.; Beitler, J.; Gattinoni, L.; Jaber, S.; Marini, J.J.; Munshi, L.; Papazian, L.; Pesenti, A.; Vieillard-Baron, A.; et al. Prone position in ARDS patients: Why, when, how and for whom. Intensive Care Med. 2020, 46, 2385–2396. [Google Scholar] [CrossRef]
- Sud, S.; Friedrich, J.O.; Adhikari, N.K.; Taccone, P.; Mancebo, J.; Polli, F.; Latini, R.; Pesenti, A.; Curley, M.A.; Fernandez, R.; et al. Effect of prone positioning during mechanical ventilation on mortality among patients with acute respiratory distress syndrome: A systematic review and meta-analysis. CMAJ 2014, 186, E381–E390. [Google Scholar] [CrossRef] [Green Version]
- Binda, F.; Marelli, F.; Galazzi, A.; Pascuzzo, R.; Adamini, I.; Laquintana, D. Nursing Management of Prone Positioning in Patients With COVID-19. Crit. Care Nurs. 2021, 41, 27–35. [Google Scholar] [CrossRef]
- Lucchini, A.; De Felippis, C.; Pelucchi, G.; Grasselli, G.; Patroniti, N.; Castagna, L.; Foti, G.; Pesenti, A.; Fumagalli, R. Application of prone position in hypoxaemic patients supported by veno-venous ECMO. Intensive Crit. Care Nurs. 2018, 48, 61–68. [Google Scholar] [CrossRef]
- Lucchini, A.; Bambi, S.; Mattiussi, E.; Elli, S.; Villa, L.; Bondi, H.; Rona, R.; Fumagalli, R.; Foti, G. Prone Position in Acute Respiratory Distress Syndrome Patients: A Retrospective Analysis of Complications. Dimens. Crit. Care Nurs. 2020, 39, 39–46. [Google Scholar] [CrossRef]
- Woods, C.E.; Jones, R.; O’Shea, E.; Grist, E.; Wiggers, J.; Usher, K. Nurse-led post-discharge telephone follow-up calls: A mixed study systematic review. J. Clin. Nurs. 2019, 28, 3386–3399. [Google Scholar] [CrossRef]
- Egerod, I.; Kaldan, G.; Albarran, J.; Coombs, M.; Mitchell, M.; Latour, J.M. Elements of intensive care bereavement follow-up services: A European survey. Nurs. Crit. Care 2019, 24, 201–208. [Google Scholar] [CrossRef]

| Study Population n = 95 | Median (IQR) | |
|---|---|---|
| Age (years) | 65 (55–73) | |
| Gender, Female n = (%) | 34 (36%) | |
| Weight Kg (at ICU admission) | 75 (70–84) | |
| Height (cm) | 170 (164–175) | |
| Body Mass Index | 27 (24–31) | |
| Frailty score | 2 (2–3) | |
| SOFA | 8 (6–10) | |
| SAPS 2 | 46 (37–54) | |
| Type of patients | Medical | 63 (69.2%) |
| Surgical | 18 (19.8%) | |
| Trauma | 10 (11.0%) | |
| Admitted to ICU from | Ward | 16 (17.6%) |
| Other ICU | 32 (35.2%) | |
| Emergency room | 43 (47.3%) | |
| Respiratory failure | 49 (52.1%) | |
| Major diagnosis for ICU admission | Sepsis | 16 (17%) |
| Cardiac arrest | 5 (5.3%) | |
| Surgery | 9 (9.6%) | |
| Non-septic shock | 5 (5.3%) | |
| Trauma | 7 (7.4%) | |
| Stroke | 1 (1.1%) | |
| Comorbidities | Chronic obstructive pulmonary disease | 14 (15%) |
| Heart failure | 10 (11%) | |
| Renal failure | 8 (8%) | |
| Hepatic failure | 1 (1%) | |
| Cancer | 11 (12%) | |
| Hematologic disease | 8 (8%) | |
| Diabetes | 14 (15%) | |
| Vasculopathy | 8 (9%) | |
| Immunosuppression | 10 (11%) | |
| Length of ICU stay | 13 (8–20) | |
| Length of Hospital stay | 30 (18–47) | |
| Alive at ICU discharge | 81 (85%) | |
| Mechanical ventilation days | 11 (6–18) | |
| Patients with tracheostomy performed during ICU stay | 21 (22%) | |
| Veno-Venous Extracorporeal Membrane Oxygenation (yes) | 16 (23%) | |
| Continuous renal replacement therapy | (yes) | 24 (25%) |
| Prone position (yes) | 15 (16%) | |
| Number of Prone Position cycles | 3.5 (1.75–4) | |
| Days of sedation drugs administration | 8 (4–14) | |
| Propofol (intravenous) | 51 (100%) | |
| Dexmetomidine (intravenous) | 18 (19%) | |
| Isoflurane (volatile anaesthetic gas) | 10 (11%) | |
| Patients with oral sedation | 54 (57%) | |
| Benzodiazepines | 40 (74%) | |
| Quetiapine | 9 (16%) | |
| Antidepressants | 5 (10%) | |
| NMBA infusion (yes) | 42 (44%) | |
| NMBA infusion days | 5.5 (2–9) | |
| Vasoactive drugs infusion | 83 (87%) | |
| Steroid administration | 30 (32%) | |
| Physiotherapist available during ICU stay | 37 (39%) | |
| CAM-ICU (positive at ICU discharge) | 0 (0%) | |
| 7 Days Hospital Visit | 3 Months Phone Interview | 6 Months Hospital Visit or Phone Interview | p. Value | |
|---|---|---|---|---|
| Alive | n = 70 | n = 68 | n = 51 | |
| CAM-ICU (positive) | 6 (9%) | --- | --- | |
| PTSS-10—median (IQR) | 10 (4–23) | 5 (1–11) | 7 (0–19) | 0.004 |
| Pts with PTSS-10 ≥ 35 | 5 (7%) | 2 (4%) | 4 (9%) | 0.006 |
| HADS—median (IQR) | 13 (9–18) | 4 (2–13) | 6 (3–14) | 0.0001 |
| Pts with HADS ≥ 8 | 47 (70%) | 20 (40%) | 20 (46%) | 0.05 |
| EuroQol-5D-VAS median (IQR) | --- | 75 (55–87) | 80 (65–83) | 0.441 |
Publisher’s Note: MDPI stays neutral with regard to jurisdictional claims in published maps and institutional affiliations. |
© 2021 by the authors. Licensee MDPI, Basel, Switzerland. This article is an open access article distributed under the terms and conditions of the Creative Commons Attribution (CC BY) license (https://creativecommons.org/licenses/by/4.0/).
Share and Cite
Villa, M.; Villa, S.; Vimercati, S.; Andreossi, M.; Mauri, F.; Ferlicca, D.; Rona, R.; Foti, G.; Lucchini, A. Implementation of a Follow-Up Program for Intensive Care Unit Survivors. Int. J. Environ. Res. Public Health 2021, 18, 10122. https://doi.org/10.3390/ijerph181910122
Villa M, Villa S, Vimercati S, Andreossi M, Mauri F, Ferlicca D, Rona R, Foti G, Lucchini A. Implementation of a Follow-Up Program for Intensive Care Unit Survivors. International Journal of Environmental Research and Public Health. 2021; 18(19):10122. https://doi.org/10.3390/ijerph181910122
Chicago/Turabian StyleVilla, Marta, Silvia Villa, Simona Vimercati, Mara Andreossi, Fabrizia Mauri, Daniela Ferlicca, Roberto Rona, Giuseppe Foti, and Alberto Lucchini. 2021. "Implementation of a Follow-Up Program for Intensive Care Unit Survivors" International Journal of Environmental Research and Public Health 18, no. 19: 10122. https://doi.org/10.3390/ijerph181910122
APA StyleVilla, M., Villa, S., Vimercati, S., Andreossi, M., Mauri, F., Ferlicca, D., Rona, R., Foti, G., & Lucchini, A. (2021). Implementation of a Follow-Up Program for Intensive Care Unit Survivors. International Journal of Environmental Research and Public Health, 18(19), 10122. https://doi.org/10.3390/ijerph181910122

